Next Article in Journal
Impact of Microplastic Fibers from the Degradation of Nonwoven Synthetic Textiles to the Magdalena River Water Column and River Sediments by the City of Neiva, Huila (Colombia)
Previous Article in Journal
Rockfall and Debris Flow Hazard Assessment in the SW Escarpment of Montagna del Morrone Ridge (Abruzzo, Central Italy)
 
 
Font Type:
Arial Georgia Verdana
Font Size:
Aa Aa Aa
Line Spacing:
Column Width:
Background:
Article

Comparison of the Influences of Cadmium Toxicity to Phosphate Removal in Activated Sludge Separately Fed by Glucose and Acetic Acid as Carbon Sources

1
Department of Civil Engineering, National Chi-Nan University, Puli 545, Taiwan
2
Department of Health and Applied Sciences, Dong Nai Technology University, Bien Hoa, Dong Nai 810000, Vietnam
*
Author to whom correspondence should be addressed.
Water 2020, 12(4), 1205; https://doi.org/10.3390/w12041205
Submission received: 13 February 2020 / Revised: 4 April 2020 / Accepted: 19 April 2020 / Published: 23 April 2020
(This article belongs to the Section Water Quality and Contamination)

Abstract

This study used high and low concentrations of glucose and acetic acid as carbon sources in two aerobic-anoxic-oxic (A2O) processes. Trials were shock loaded with different concentrations of Cd2+. It was observed that the substrate utilization rate decreased when glucose concentration increased and thus the activated sludge of A2O preferred acetic acid as a carbon source over glucose. Under anaerobic conditions, activated sludge readily transformed the substrate into poly-b-hydroxybutyrate (PHB) by the Entner–Douderoff (ED) pathway with ease, but not into poly-b-hydroxyvalerate (PHV) by the Embden–Meyerhof–Parnas (EMP) pathway. However, ED pathway was suppressed more severely by cadmium shock loading than that of the EMP pathway. The shock loading of Cd2+ greatly inhibited the anaerobic phosphate release rate with a half inhibition concentration of 10 mg L−1 when acetic acid was used as a substrate. The phosphate removal efficiency of A2O with acetic acid was affected by Cd2+ shock loading more than that of glucose. Therefore, A2O with glucose as a substrate could tolerate the Cd2+ shock loading better than that of A2O with acetic acid. This study also showed that polyphosphate accumulating organisms (PAOs) were more sensitive to Cd2+ toxicity than that of glycogen accumulating organisms (GAOs). With the addition of Cd2+, PHB/PHV synthesis/degradation was inhibited more apparently in acetic acid trials than that of glucose trials.

1. Introduction

Enhanced biological phosphorous removal (EBPR) remediates wastewater by subjecting activated sludge in anaerobic and aerobic conditions alternately. In the anaerobic phase, polyphosphate accumulating organisms (PAOs) absorb organic matter and produce poly-b-hydroxyalkanoate (PHA) for storage, and release of orthophosphate. After switching to the aerobic phase, the PAOs consume PHA for reproduction and overload of orthophosphate from their surroundings. Phosphate, then, is removed from wastewater through the discharge of orthophosphate-rich sludge [1].
The appeal of EBPR mainly depends on its use of economical and environmentally benign components. Nevertheless, phosphorous removal performance issues hamper its widespread application [1]. To improve this, much research has been devoted to factors that could affect PAOs, especially focused on PHA synthesis and degradation. PHAs are mainly composed of varying amounts of poly-b-hydroxybutyrate (PHB) or poly-b-hydroxyvalerate (PHV), depending on the types of carbon sources that were supplied to the activated sludge [2]. It was found that the types of carbon sources were highly critical because it could dictate the metabolism of the microorganisms. The microorganisms could take the keto-deoxy sugar pathway (Entner–Douderoff Pathway, i.e., ED pathway) when acetic acid was used as the main source of carbon and could produce a greater proportion of PHB. The microorganisms could follow the ED pathway or double sugar-phosphate pathway (Emden–Meyerhoff–Parnas pathway, i.e., EMP pathway) when glucose was used as the main source of carbon and could produce PHB and PHV, but with a greater proportion of PHV [3].
Wang et al. [4] suggested that the acetate might be a better substrate than glucose because of the reason that its conversion to PHA required energy and reducing power that was conveniently provided by polyphosphate transformations. However, the conversion of glucose yielded a large amount of energy by itself, so the role of polyphosphate was minimized.
Besides, the carbon source could also be responsible for the growth of PAOs’ competition and glycogen accumulating organisms (GAOs). Like PAOs, GAOs consumed carbon under anaerobic conditions. However, they utilized glycogen as the energy source instead of polyphosphate and, therefore, did not release or uptake phosphate for metabolic processes. Several studies have been focused on the effect of different carbon sources on the dynamics of PAOs and GAOs. It was found that acetate was traditionally used as a carbon source with reports of functional EBPR, but recent studies found that GAOs preferred acetate as a substrate, and PAOs might grow better in propionate [1,5]. The use of glucose has also been explored, providing diverse outcomes. In some studies, glucose exhibited better phosphate removal [3,6], while in others it also caused an overabundance of GAO [7,8].
The type of carbon source was found to be the major determinant of EBPR performance. However, wastewater has contained many constituents in conjunction with organic substrates, which could influence the phosphate removal. One of the constituents probably having a drastic impact was heavy metals. Depending on its source, wastewater might contain different amounts of heavy metals like chromium, copper, lead, and mercury, among others.
Microbes in activated sludge are capable of adsorbing these metals on their cell walls or extracellular polymeric substances (EPS), which could eliminate these metals from wastewater [9]. Nevertheless, the heavy metals could deteriorate microbial activities. Several studies observed that the organic matter removal efficiency was decreased by heavy metals viz. copper, chromium, nickel, lead, and zinc [10,11,12]. Both nickel and cadmium affected nitrification and denitrification, but nickel caused a greater reduction of specific ammonia utilization rate (SAUR) and cadmium caused a greater reduction of specific nitrate utilization rate (SNUR) [13,14].
Boswell et al. [15] reported the possible impact of heavy metals on the phosphate lifecycle, wherein they utilized the minor PAO Acinetobacter johnsonii to remove La3+ from wastewater by allowing the metal to precipitate with anaerobically released orthophosphate and LaPO3 was eventually absorbed by the microorganisms. A similar approach was reported by Renninger et al. [16], which focused on the precipitation and biosorption of uranyl phosphate (UO2HPO4) on biomass to remove UO22+ from wastewater. These studies focused on metal phosphate precipitation and biosorption, but not on the removal of nutrients from wastewater. Thus, so far, the effect of heavy metals on EBPR has not been investigated in detail. To address these complex functions, Obruca et al. [17] reviewed many recent papers and summarized the protective effects of PHA for microorganisms and the involvement of PHA in stress resistance was also discussed from a praxis-oriented perspective.
Our previous studies have shown a marked impact of heavy metals on the removal efficiency of phosphate [18,19,20,21], especially the efficiency of phosphate removal was much more sensitive to heavy metals than that of nitrogen and carbon removal. Additionally, most of the previous studies of metal toxicities toward wastewater microorganisms have been devoted to the chemical oxygen demand (COD) removal or nitrification efficiencies, and few have been devoted to the EBPR. Accordingly, extremely little was known about the metal interaction with PAOs biomass, especially from the intracellular storage compounds’ transformation [22].
By considering all these, this research aims to examine the impacts of the heavy metal (Cd2+) on two EBPR processes, i.e., A2O systems, fed with acetic acid and glucose as control substrates, respectively. This would determine the effectiveness of the two carbon sources and the response of A2O in the presence of heavy metals. Moreover, this could help to assess whether EBPR might be adapted in the management of wastewaters with considerable heavy metal content or not.

2. Materials and Methods

2.1. A2O System

In this study, two bench-scale A2O pilot plants were used (Figure 1). The overview of the A2O plant was reported by Tsai et al. [23]. The seeded sludge was obtained from the wastewater treatment plant of National Chi Nan University (NCNU), Taiwan, with 600 m3/day using sequencing batch reactor (SBR) under phases (anaerobic, aerobic, anoxic, re-aeration, settling, and draw), three cycles per day as shown in Table 1.
Table 2 and Table 3 show the concentration of synthetic wastewater. The synthetic wastewater was used to acclimatize the activated sludge. The compositions of the synthetic wastewater included milk, KH2PO4, Urea, FeCl3, CH3COOH, Glucose, and NH4Cl as shown in Table 1. The pH was adjusted to 6.8–7.2 with 6 M NaOH. The water qualities of the synthetic wastewater were 250 mg L−1 COD, 40 mg L−1 total nitrogen, 25 mg L−1 NH4+-N, 5 mg L−1 total phosphorus (TP), 4 mg L−1 PO43-P, 100 mg L−1 alkalinity.
The activated sludge used in this study was collected from the wastewater treatment plant of NCNU and acclimatized with synthetic substrates. Table 4 shows the comparison of the concentration and removal rate of the inlet and outlet of A2O and NCNU wastewater treatment plant (average of eight samples).
The influent patterns were continuous, and the reactors could be modeled as a continuously stirred tank reactor under the conditions of the study. The A2O systems used in this study were operated according to following conditions: inflow rate 160 mL min−1, return sludge flow rate 80 mL min−1, return supernatant flow rate 400 mL min−1, hydraulic retention time (HRT) of anaerobic tank 1.66 h, HRT of anoxic tank 3.33 h, HRT of aerobic tank 5 h, sludge retention time 10 days, and organic loading 0.26 g COD gVSS−1 day−1. The pH value in the aerobic tank was maintained at 7.2 ± 0.1 by adding a NaOH-NaHCO3 solution, and the dissolved oxygen (DO) concentration was controlled at 2.0 mg L−1 (Table 5).

2.2. Batch Experiments

The batch tests were performed during the steady-state of the A2O system. Batch experiments were performed in a 2-L, airtight acrylic cylinder at a constant temperature of 25 °C via a water bath. A total of 5 L of mixed liquid from A2O’s aerobic phase was washed twice using distilled water to remove the residual COD, phosphorous, and other chemical species. The activated sludge was re-suspended in 5 L distilled water and was divided into six equal parts. Carbon source and different concentrations of Cd2+ (0, 1, 3, 6, 10, and 15 mg L−1) were added to each part. The cylinder was sealed and N2 (flow rate = 1.5 L min−1) was continuously pumped to achieve the anaerobic conditions. Sampling was done at 0, 30, 70, and 120 min. After 2 h of anaerobic incubation, the cylinder was unlocked and the air was pumped, to achieve aerobic conditions. Sampling was done at 150, 190, 240, 300, and 360 min.

2.3. Sample Analysis

The mixed liquid samples were taken, filtered, and analyzed immediately at a certain interval (150, 190, 240, 300, and 360 min), according to the standard methods from the environmental protection agency (EPA) in Taiwan. The concentration of Cd2+ was analyzed by atomic absorption spectrometry (Shimadzu, Japan AA-6200). All the data shown were average values from duplicate analysis. The cellular phosphorous content (P%) was analyzed using ultrasound extraction following with Tube™Vials kit (HACH, Loveland, CO, USA) according to the manufacturer’s instructions. The PHA concentration was analyzed by gas chromatography-mass spectrometry (GC-MS; GC17A/MS-QP5050A; Shimadzu, Japan) as reported by Satoh et al. [22], and in this study, a BP1 capillary column (SGE Analytical Science, Ringwood, Victoria, Australia; 25 m × 220 mm × 0.25 mm) was used. The temperatures of the detector and injector were 230 and 220 °C, respectively. The initial temperature for the column was set at 70 °C for 2 min; subsequently, the temperature was increased to 270 °C at 8 °C/min and was maintained for 3 min. The carrier gas of the mass spectrometry was helium with a flow rate of 2 mL/min. The injection volume of the GC column was 2 μL, as controlled by an automatic sampler (AOC-20i, Shimadzu, Japan) with a split ratio of 1:20. The obtained peak was compared to the standard value in the mass spectrometry database of the National Institute of Standards and Technology (NIST) to acquire the species information and concentration of the sample.

3. Results and Discussion

3.1. Performance of Acetic Acid and Glucose as Carbon Sources in the Absence Cd2+

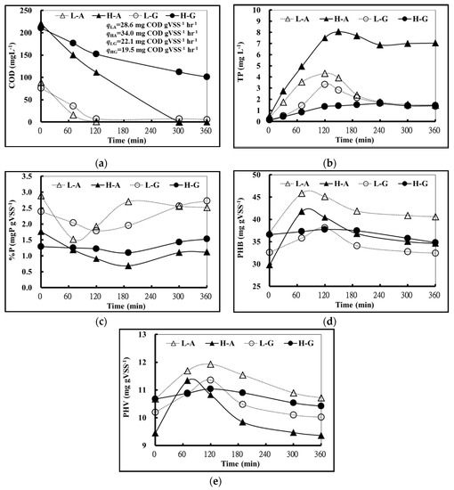
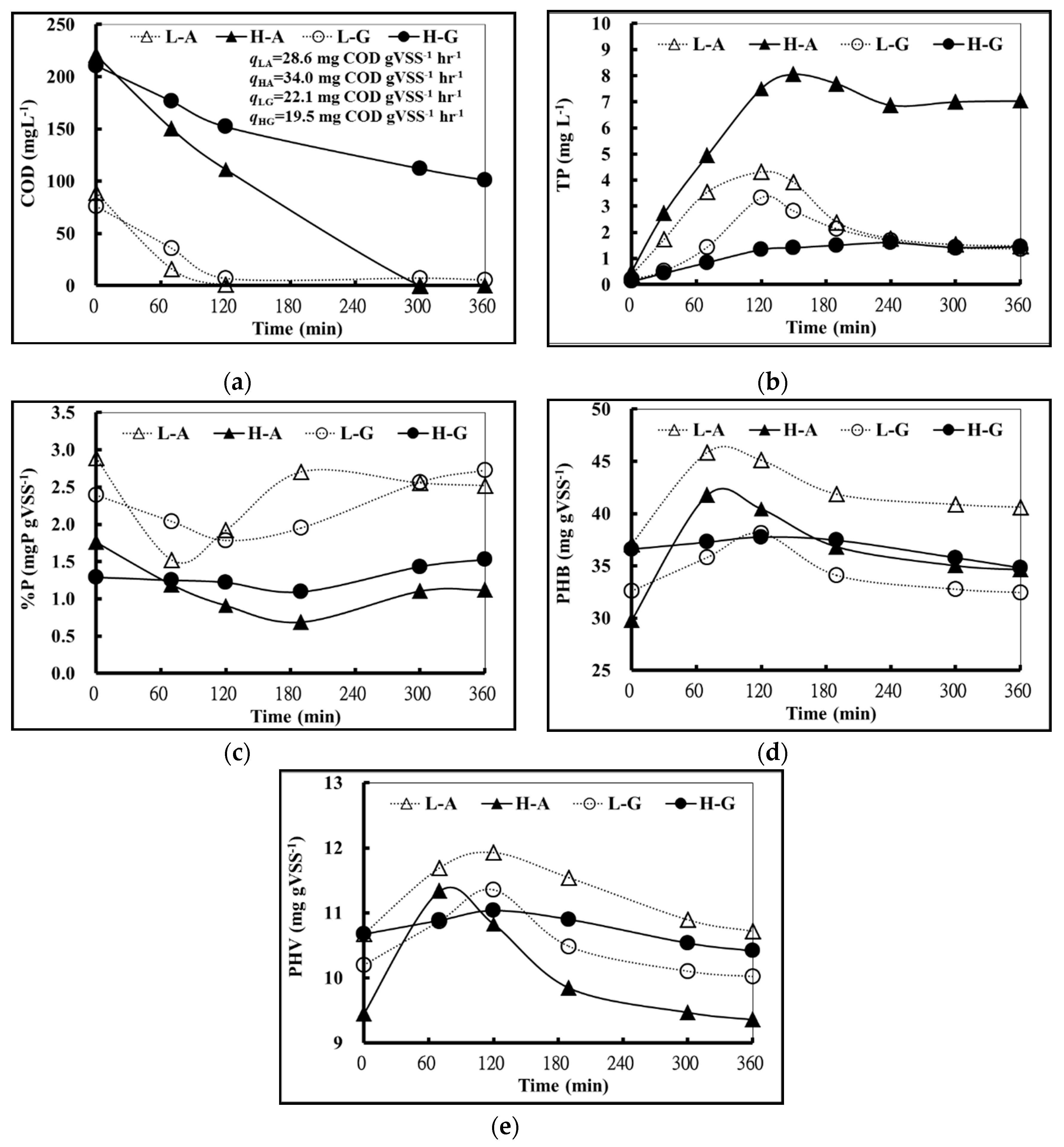
To investigate the effect of carbon source and its concentration on the EBPR process, a series of batch experiments were performed in this study. Two carbon sources such as acetic acid (A) and glucose (G) were added with high (H) and low (L) concentrations. Figure 1 shows the changes in COD, TP, P%, PHB, and PHV of high concentration acetic acid (HA), low concentration acetic acid (LA), high concentration glucose (HG), and low concentration glucose (LG) in 360 min.
Under anaerobic conditions (0–120 min), it was observed that the specific acetic acid utilization rate (qLA and qHA) was higher than that of specific glucose utilization rate (qLG and qHG), in either high or low substrate concentration as shown in Figure 2a. This vividly indicated that the A2O process preferred acetic acid as a carbon source rather than glucose. Additionally, the specific substrate utilization rate of the high concentration acetic acid trials (qHA = 34.0 mg COD g−1 VSS h−1) was higher than that of low concentration acetic acid trials (qLA = 28.6 mg COD g−1 VSS h−1). Contrarily, the specific utilization rate of the high concentration glucose trials (qHG = 19.5 mg COD g−1 VSS h−1) was lower than that of low concentration glucose trials (qLG = 22.1 mg COD g−1 VSS h−1). This indicated that the activated sludge of A2O did not only dislike the glucose as a carbon source but also decreased its substrate utilization rate when the glucose concentration was increased. This result varied from the study of Hollender et al. [2], which reported that the degradation of glucose was fast, whereas the degradation of acetate was slow and incomplete.
It was also observed that the anaerobic phosphate release rates of glucose trials were all lower than that of acetic acid trials, in either high or low substrate concentration as shown in Figure 1b. Additionally, the anaerobic phosphate release rates of high acetic acid concentration trials were higher than that of the low acetic acid concentration trials. However, the anaerobic phosphate release rates of high glucose concentration trials were lower than that of low glucose concentration trials. This suggested that the amount of phosphate released was relatively low when the activated sludge of the A2O process utilized glucose as a substrate.
Table 6 shows the required amount of COD that was consumed to release 1 mg phosphorous (γ), which is calculated from Figure 1a,b. It was observed that 15.6 mg of COD was consumed to release 1 mg of phosphate when a high concentration of acetic acid was used as a carbon source. Meanwhile, almost three times more COD (47.9 mg) was consumed to release 1 mg of phosphate by using a high concentration of glucose. This might be due to the existence of GAOs in the activated sludge. Some bacteria could be observed in failed EBPR systems that had no anaerobic phosphate release with carbon uptake and these bacteria were easily observed in glucose reactors. Cech and Hartman [24] called the bacteria “G-bacterium”, which consumed intracellular glycogen under anaerobic conditions and accumulated glycogen under aerobic conditions. Trials using a low concentration of glucose indicated that there was no anaerobic phosphate release. In this study, a high concentration of glucose possessed a remarkably high γ value (47.9 mg COD mg−1 P). It showed that the phosphate release in glucose trial was much more difficult than that of acetic acid trial. This might be ascribed to the predominance of GAOs, which could utilize a lot of carbon but without any phosphate release.
Figure 1b and Figure 2a show that the residual COD at the beginning of the aerobic phase (t = 120 min) was 111 mg/L for high concentration acetic acid trial, with a phosphate uptake rate of 0.11 mgP gVSS−1 h−1 (120–360 min). Additionally, the residual COD at t = 120 min was 152 mg/L of high concentration glucose trial, with a phosphate uptake rate of −0.01 mg P g VSS−1 h−1. These data suggested that regardless of the type of carbon source, the phosphate uptake rate decreased when residual COD at the beginning of the aerobic phase increased. The results indicated that the phosphate release possibly would occur during aerobic conditions if there was too much residual COD in the aerobic phase. A similar observation was reported by You et al. [25], stating that the anaerobic phosphate uptake rate decreased as the residual COD concentration in the aerobic phase increased. In their study, it was deemed that this phenomenon might be due to the denitrifying phosphate accumulating organisms (DNPAOs), which could further release phosphate under aerobic conditions in the occurrence of a high amount of residual COD.
Figure 3a shows the phosphate release rate with substrate utilization rate under different concentrations of carbon sources. It was observed when the phosphate release rate increased, the substrate utilization rate also increased. This denoted that the amount of released phosphate increased with the increase of substrate utilization rate under any type of carbon source in A2O. Kuba et al. [26] showed that the amount of anaerobic phosphate release was proportional to acetate uptake. Hence, when the amount of acetate was higher than the minimum carbon requirement, extra carbon source contributed to increasing the amount of anaerobic phosphate release but had no impact on total phosphate removal performance. However, they did not investigate the impact of carbon sources on the contribution of phosphorus release. In this study, it was found that the phosphate release rate was proportional to the substrate utilization rate in any type or concentration of carbon source. The y-intercept of the trend line in Figure 3a shows the minimum carbon source for phosphate release (15.7 mg COD g−1 VSS h−1). Thus, when a high concentration of acetic acid was used as a carbon source, more phosphate was released under anaerobic conditions. However, the phosphorus removal performance was also inhibited due to the absence of phosphate uptake under aerobic conditions, indicating a high concentration of acetic acid resulted in the collapse of the EBPR process [27]. Besides, acetic acid caused a serious bulking problem of activated sludge in this study. Similar observations were also reported by the previous studies.
However, a previous study showed that the necessary conditions for stable EBPR processes were long anaerobic retention time, short aerobic retention time with low dissolved oxygen (DO), and high concentration of glucose [3]. The result of this study was inconsistent with previous reports when the EBPR process was inefficient under a high concentration of glucose, due to the release of phosphate instead of uptake under aerobic conditions. Thus, this study demonstrated that phosphate removal potential of the A2O process would increase with the increase of initial anaerobic COD concentration and decrease of residual aerobic COD. Moreover, higher phosphate removal performance was observed when acetic acid was used as a carbon source.
It was also noticeable that intracellular phosphorous content (P%) and phosphate concentration in bulk solution (TP) showed a highly negative correlation when acetic acid was used as a carbon source. The correlation was not as nearly as high when glucose was the carbon source (Figure 2b,c and Figure 3b). This revealed that in acetic acid, the activated sludge released phosphate by degrading the long-chain polyphosphate under anaerobic conditions, resulting in the reduction of intracellular polyphosphate content. Besides, the intracellular PHAs were oxidized to obtain the energy for phosphate uptake under aerobic conditions to enrich intracellular phosphorous content. On the contrary, when high concentration glucose was used as a carbon source, the anaerobic intracellular phosphorous content decreased and the rate was 0.02 mgP g VSS−1 h−1, with the phosphate release rate of 0.39 mgP g VSS−1 h−1. It was also observed that the aerobic intracellular phosphorous increase rate was found to be 0.04 mgP g VSS−1 h−1, with a phosphate uptake rate of −0.01 mgP g VSS−1 h−1. It was observed that the phosphate release rate did not reflect the phosphate content in the bulk solution. This might be due to the adsorption of phosphate onto extracellular polymeric substances (EPS).
The constituents of EPS were similar to microbial polymers. It included different types of macromolecules, such as protein, polysaccharide, nucleic acid, phosphoric acid, and other polymers. They could produce sticky material to flocculate the biofilm and activated sludge [28]. By X-ray observation, Cloete and Oosthuizen [29] observed that 80% of phosphate removal was due to the biochemical action of PAO, and 20% was due to the physical adsorption of EPS. Because of this, EPS was considered as the storage tank of phosphate. Additionally, the presence of glucose promoted the formation of EPS and enhanced adsorption ability [30,31]. It was also observed that EPS concentration decreased under anaerobic conditions, and increased under aerobic conditions. As a consequence, this resulted in the reduction of phosphate removal performance under anaerobic conditions in comparison with aerobic conditions. The glucose trials contained higher EPS under aerobic conditions, which caused the enhancement of the phosphate adsorption ability of EPS, increasing the phosphate content of activated sludge. The results of this study suggested that a similar phenomenon has occurred in the A2O process.
Figure 2d,e shows that the PHB and PHV anaerobic synthesis rate of acetic acid trials were higher than that of the glucose trials, regardless of the concentration of the substrate. This indicated that the activated sludge of A2O preferred to uptake acetic acid as a carbon source, and transformed it to PHA for energy storage. However, activated sludge did not transform glucose as easily. It could be seen from Figure 4a that the anaerobic PHA synthesis rate of acetic acid trials was higher than that of glucose trials, regardless of concentration. The specific PHA synthesis (PHA/q) of the trial that used low concentration acetic acid was 0.1 mg g−1 VSS h−1, while the trial that used high concentration was 0.11 mg g−1VSS h−1. Meanwhile, a low concentration glucose trial was 0.09 mg g−1 VSS h−1, and a high concentration glucose trial was 0.02 mg g−1 VSS h−1. These results suggested that it was easy for activated sludge to convert acetic acid to PHA, mostly in the form of PHB, via the ED pathway. On the contrary, the PHA synthesis rate was lower for glucose trials. This perhaps was because of the reason that the activated sludge could not utilize glucose well under anaerobic conditions.
The substrate utilization rate and PHB synthesis rate showed a high positive correlation, regardless of the type and concentration of carbon source as shown in Figure 3b. This conveyed that the activated sludge readily converted the substrate to PHB by ED pathway, but not as easily to PHV by EMP pathways. From Figure 4, it was observed that the ratio of PHB:PHV was about 80:20. The results thus implied that under aerobic conditions, the activated sludge could degrade the intracellular PHA to produce energy for the uptake of extracellular phosphate as shown in Figure 4b. However, the activated sludge of the high concentration glucose trial could not degrade PHA as easily. Under anaerobic conditions, activated sludge consumed more PHA for metabolic maintenance. Notably, the ratio of the degradation rates (PHV: PHB) was also found to be 80:20.

3.2. Effect of Cd2+ Shock Loading on the EBPR Process

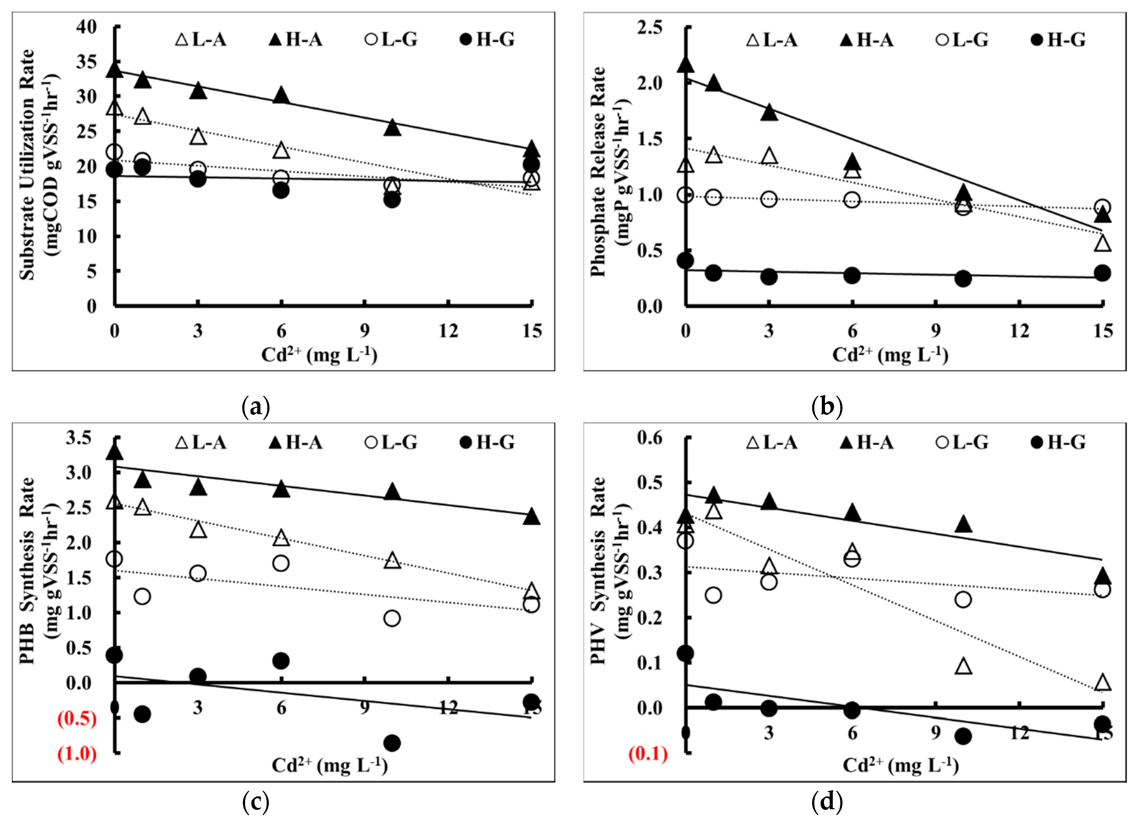
To investigate the effect of Cd2+ shock loading on the EBPR process under different types and concentrations of carbon source, different concentrations such 0, 1, 3, 6, 10, and 15 mg L−1 were used. Substrate utilization rate, residual substrate amount, phosphate release rate, phosphate uptake rate, PHA synthesis rate, and PHA degradation rate were compared under different concentrations of Cd2+ to investigate the effect of the heavy metal on the A2O system.
The activated sludge that originally possessed a higher substrate utilization rate was more affected by the addition of Cd2+ than that of activated sludge that was originally associated with lower substrate utilization rate, regardless of the concentration as shown in Figure 5a. It might be ascribed to the competition of cadmium ions with organic substrates on cellular adsorption sites, and decreased the interaction of the substrate with the floc [10] because of the reason that the heavy metals were generally bound on microbial surfaces instead of accumulating within the cells [32].
In this study, it was observed that the activated sludge fed with acetic acid was more vulnerable to the shock loading of Cd2+ than that of glucose for the inhibition on substrate utilization rate as shown in Figure 5a. The inhibition rate increased when Cd2+ concentration increased. This suggested that in the presence of toxic heavy metal such as Cd2+, the activated sludge could adapt to the toxic environment and lower its consumption of carbon source to avoid the inhibition of regular cell metabolisms. The average of the slope of HA or LA obtained from Figure 4a is −0.75. As such, it could be suggested that Cd2+ significantly inhibited the substrate utilization rate of activated sludge that used acetic acid as a carbon source i.e., the addition of 1 mg L−1 of Cd2+ could decrease the substrate utilization rate by 0.75 mg g VSS−1 h−1. From Figure 6a, it was also observed that the aerobic residual COD increased when Cd2+ concentration increased, with an average slope of HA or LA equal to 2.38.
Figure 5b shows that for the acetic acid trials, phosphate release rate (PRR) significantly decreased when Cd2+ concentration increased, and the activated sludge fed with a high concentration of acetic acids was more vulnerable to the shock loading of Cd2+ than that fed with a low concentration of acetic acid. A similar trend was observed for the glucose trials, but the slope of PRR was comparatively lower. This indicated that the inhibition effect of Cd2+ on the glucose trials was not as great as the acetic acid trials. The average phosphate release rate was about 33% when Cd2+ concentration was 6 mg L−1 in the high concentration of acetic acid trials. Meanwhile, the average phosphate release rate reached 50% when Cd2+ concentration was 10 mg L−1. The average phosphate release rate was 66% when Cd2+ concentration was 15 mg L−1. It was evident when acetic acid was used as a substrate, the sudden introduction of Cd2+ in the anaerobic phase caused a great reduction of phosphate release rate. The phosphate release rate was half when the concentration of Cd2+ was 10 mg L−1. On the other hand, the inhibition effect of Cd2+ on the phosphate release of glucose trials was much less. Thus, it could be said that the A2O process that utilized the glucose as a substrate showed more tolerance to the sudden intrusion of Cd2+. In general, GAOs were dominant in glucose trials and PAOs were dominant in acetic acid trials. Therefore, it could be said that PAOs were more sensitive to Cd2+ toxicity than GAOs. That is why the phosphate removal was easily deteriorated by the presence of heavy metals in an EBPR system, as proposed by Tsai et al. [18].
Figure 6b shows the relationship between Cd2+ and phosphate uptake. Regardless of the high or low concentration of carbon source, the phosphate uptake rate of the acetic acid trials was inhibited more by the introduction of Cd2+ than that of the glucose trials. This was because the acetic acid trials were more vulnerable to the toxicity of heavy metal. Another reason was that the increased residual COD (Figure 6a) suppressed the phosphate uptake rate. It was observed for the trial that used a high concentration of acetic acid or glucose that the value of phosphate uptake rate became negative, even in the absence of Cd2+, implying that the activated sludge did not uptake any orthophosphate from water during the aerobic phase. This was because the level of COD was high. The negative phosphate uptake rate became more obvious when Cd2+ was introduced and further increased. Hence, the activated sludge did not uptake orthophosphate in the aerobic phase, but rather, it released cellular polyphosphate.
The main reason for the aforementioned phenomenon was the toxicity of Cd2+, which caused the inhibition of cell metabolism causing cell death and subsequent lysis. The disturbance due to the aeration in the succeeding aerobic phase further disintegrated the activated sludge, until all cells were lysed. Thus, intracellular phosphate was released to the water, causing the phosphate uptake rate to be negative. The second reason was that Cd2+ did harm the activated sludge without the floc lysis. However, because of the toxicity, the activated sludge did not have enough energy to perform aerobic phosphate uptake. The cells utilized intracellular phosphate to continue metabolic activities. From Figure 6d, it was noticed that the amount of intracellular phosphate in the initial stage of the aerobic phase slightly decreased upon the introduction of Cd2+ in the trial that used a high concentration of acetic acid. Figure 6b indicates the apparent inhibition of PHB degradation. This implied that the activated sludge that has been poisoned by Cd2+ in the aerobic phase could decompose its intracellular polyphosphate and PHB to produce sufficient energy for continued metabolic activities. This was the reason for the phosphate uptake rate to be negative. It has been proven that shock loading of Cd2+ on the trial that used a high concentration of acetic acid caused its phosphate uptake rate to become negative.
It was observed that the PHB synthesis rate of the acetic acid trials was more suppressed by the increase of Cd2+ concentration than that of the glucose trials as shown in Figure 5c. The inhibition was more apparent for low concentration of acetic acid trials (slope = −0.08) and also the PHB degradation of the acetic acid trials was more suppressed by the increase of Cd2+ concentration than that of the glucose trials as shown in Figure 6c. Again, the inhibition was more apparent in the low concentration of acetic acid trials (slope = −0.11).
The metabolism of PHV was similarly influenced by Cd2+. From Figure 5d, it was observed that the PHV synthesis rate of the acetic acid trials was more suppressed by the increase of Cd2+ concentration than that of the glucose trials. The inhibition could be seen more clearly in the low concentration of acetic acid trials (slope = −0.03) and also from Figure 6d, it was observed that the PHV degradation rate of the acetic acid trials was more suppressed by the increase of Cd2+ concentration than that of the glucose trials. The inhibition was more apparent for the low concentration of acetic acid trials (slope = −0.02). Furthermore, by comparing the slopes of Figure 5c and Figure 6c with slopes of Figure 5d and Figure 6d, it was also apparent that the PHB synthesis/degradation rates were more suppressed by the increase of Cd2+ concentration than PHV synthesis/degradation rates, regardless of the type and concentration of carbon source. It indicated that the ED pathway, which related to PHB metabolism, was suppressed more severely by lead shock loading than that of the EMP pathway, which related to PHV metabolism.
In conclusion, it was stated that from all the aforementioned findings, the increase of concentration of Cd2+ inhibited the synthesis and decomposition of both PHB and PHV. Comparing the slopes of the trend lines of Figure 5c,d with Figure 6c,d, it could be seen that the shock loading of Cd2+ suppressed the synthesis and decomposition of PHAs more easily in acetic acid trials than that of glucose trials. This implied that if glucose was used as the main carbon source in the A2O process, synthesis and decomposition of intracellular PHAs would not be easily influenced by Cd2+. In other words, an EBPR process that used glucose as a carbon source has more tolerance to the sudden introduction of toxic Cd2+.

4. Conclusions

In this study, high and low concentrations of glucose and acetic acid were used as carbon sources and trials were shock loaded with different concentrations of Cd2+ to examine the influences in two aerobic-anoxic-oxic (A2O) processes.
Regardless of the type of carbon source, the phosphate uptake rate decreased when residual COD at the beginning of the aerobic phase increased. The results indicated that the phosphate release possibly would occur during aerobic conditions if there was too much residual COD in the aerobic phase. The phosphate removal potential of activated sludge increased with the increase of initial COD and the decrease of residual COD.
It was found that the phosphate release rate was proportional to the substrate utilization rate in any type or concentration of carbon source. The phosphate removal performance was found to be high when acetic acid was used as the main carbon source.
Regardless of type or concentration of carbon source, under anaerobic conditions, the activated sludge transformed the substrate into PHB by ED pathway easily, but not into PHV by EMP pathway.
It was noted that the Cd2+ shock loading greatly inhibited the anaerobic phosphate release rate, with half inhibition concentration of 10 mg L−1 when acetic acid was used as a substrate. The sudden loading of Cd2+ inhibited the synthesis and decomposition of PHAs more easily in acetic acid trials than that of glucose trials. The phosphate removal efficiency of A2O with acetic acid was affected more than that of glucose. Therefore, A2O with glucose as a substrate could tolerate the Cd2+ shock loading better than that of A2O with acetic acid.

Author Contributions

Formal analysis, J.-W.L.; Methodology, M.-S.L., C.-C.Y., and K.C.D.; Writing—original draft, Y.-H.C.; Writing—review and editing, Y.-P.T. All authors have read and agreed to the published version of the manuscript.

Funding

This study was founded by Ministry of Science and Technology, Taiwan.

Acknowledgments

This study was supported by a grant received from the Ministry of Science and Technology, Taiwan, (NSC 100-2221-E-260-002-MY3).

Conflicts of Interest

The authors declared no conflict of interest.

Symbols and Abbreviations

A2OAnaerobic–anoxic–oxic
PHBpoly-b-hydroxybutyrate, mg gVSS−1
PHVpoly-b-hydroxyvalerate, mg gVSS−1
GAOsglycogen accumulating organisms
PAOspolyphosphate accumulating organisms
CODchemical oxygen demand, mg L−1
HRThydraulic retention time, hours
TPtotal phosphorus, mg L−1
PO43-Pphosphate, mg L−1
P%intracellular phosphorous content, mgP gVSS−1
HAhigh concentration acetic acid, as COD:300 mg L−1
LAlow concentration acetic acid, as COD:100 mg L−1
HGhigh concentration glucose, as COD: 300 mg L−1
LGlow concentration glucose, as COD:100 mg L−1
qLA and qHAspecific acetic acid utilization rate, mg COD gVSS−1h−1
qLG and qHGspecific glucose utilization rate, mg COD gVSS−1h−1
γthe required COD amount for phosphorous release, mg COD mg−1 P
PHA/qspecific PHA synthesis, mg g−1VSS h−1

References

  1. Oehmen, A.; Lemos, P.C.; Carvalho, G.; Yuan, Z.; Keller, J.; Blackall, L.L.; Reis, M. Advances in enhanced biological phosphorus removal: From micro to macro scale. Water Res. 2007, 41, 2271–2300. [Google Scholar] [CrossRef] [PubMed]
  2. Hollender, J.; Van Der Krol, D.; Kornberger, L.; Gierden, E.; Dott, W. Effect of different carbon sources on the enhanced biological phosphorus removal in a sequencing batch reactor. World J. Microbiol. Biotechnol. 2002, 18, 359–364. [Google Scholar] [CrossRef]
  3. Wang, N.; Peng, J.; Hill, G. Biochemical model of glucose induced enhanced biological phosphorus removal under anaerobic condition. Water Res. 2002, 36, 49–58. [Google Scholar] [CrossRef]
  4. Wang, D.; Li, X.; Yang, Q.; Zheng, W.; Liu, Z.-Y.; Liu, Y.-L.; Cao, J.-B.; Yue, X.; Shen, T.-T.; Zeng, G.-M.; et al. The probable metabolic relation between phosphate uptake and energy storages formations under single-stage oxic condition. Bioresour. Technol. 2009, 100, 4005–4011. [Google Scholar] [CrossRef]
  5. Oehmen, A.; Saunders, A.; Vives, M.T.; Yuan, Z.; Keller, J. Competition between polyphosphate and glycogen accumulating organisms in enhanced biological phosphorus removal systems with acetate and propionate as carbon sources. J. Biotechnol. 2006, 123, 22–32. [Google Scholar] [CrossRef] [PubMed]
  6. Jeon, C.O.; Park, J.M. Enhanced biological phosphorus removal in a sequencing batch reactor supplied with glucose as a sole carbon source. Water Res. 2000, 34, 2160–2170. [Google Scholar] [CrossRef]
  7. Tsai, C.-S.; Liu, W.-T. Phylogenetic and physiological diversity of tetrad-forming organisms in deteriorated biological phosphorus removal systems. Water Sci. Technol. 2002, 46, 179–184. [Google Scholar] [CrossRef][Green Version]
  8. Zengin, G.E.; Artan, N.; Orhon, D.; Chua, A.S.M.; Satoh, H.; Mino, T. Population dynamics in a sequencing batch reactor fed with glucose and operated for enhanced biological phosphorus removal. Bioresour. Technol. 2010, 101, 4000–4005. [Google Scholar] [CrossRef]
  9. Comte, S.; Guibaud, G.; Baudu, M. Biosorption properties of extracellular polymeric substances (EPS) towards Cd, Cu and Pb for different pH values. J. Hazard. Mater. 2008, 151, 185–193. [Google Scholar] [CrossRef] [PubMed]
  10. Chua, H.; Yu, P.; Sin, S.; Cheung, M. Sub-lethal effects of heavy metals on activated sludge microorganisms. Chemosphere 1999, 39, 2681–2692. [Google Scholar] [CrossRef]
  11. Ong, S.-A.; Lim, P.-E.; Seng, C.-E.; Hirata, M.; Hano, T. Effects of Cu (II) and Cd (II) on the performance of sequencing batch reactor treatment system. Process. Biochem. 2005, 40, 453–460. [Google Scholar] [CrossRef]
  12. Ong, S.A.; Toorisaka, E.; Hirata, M.; Hano, T. The behavior of Ni (II), Cr (III), and Zn (II) in biological wastewater treatment process. Acta. Hydroch. Hydrob. 2005, 33, 95–103. [Google Scholar] [CrossRef]
  13. You, S.-J.; Tsai, Y.-P.; Huang, R.-Y. Effects of heavy metals on the specific ammonia and nitrate uptake rates in activated sludge. Environ. Sci. Technol. 2009, 26, 1207–1215. [Google Scholar] [CrossRef]
  14. You, S.J.; Tsai, Y.-P.; Huang, R.-Y. Effect of heavy metals on nitrification performance in different activated sludge processes. J. Hazard. Mater. 2009, 165, 987–994. [Google Scholar] [CrossRef] [PubMed]
  15. Boswell, C.D.; Dick, R.E.; Eccles, H.; Macaskie, L. Phosphate uptake and release by Acinetobacter johnsonii in continuous culture and coupling of phosphate release to heavy metal accumulation. J. Ind. Microbiol. Biotechnol. 2001, 26, 333–340. [Google Scholar] [CrossRef]
  16. Renninger, N.; McMahon, K.D.; Knopp, R.; Nitsche, H.; Clark, U.S.; Keasling, J.D. Uranyl precipitation by biomass from an enhanced biological phosphorus removal reactor. Biodegradation 2001, 12, 401–410. [Google Scholar] [CrossRef]
  17. Obruca, S.; Sedlacek, P.; Koller, M.; Kucera, D.; Pernicová, I. Involvement of polyhydroxyalkanoates in stress resistance of microbial cells: Biotechnological consequences and applications. Biotechnol. Adv. 2018, 36, 856–870. [Google Scholar] [CrossRef]
  18. Tsai, Y.-P.; Chen, H.-T. Influence of sludge retention time on tolerance of copper toxicity for polyphosphate accumulating organisms linked to polyhydroxyalkanoates metabolism and phosphate removal. Bioresour. Technol. 2011, 102, 11043–11047. [Google Scholar] [CrossRef]
  19. You, S.J.; Tsai, Y.-P.; Cho, B.-C.; Chou, Y.-H. Metabolic influence of lead on polyhydroxyalkanoates (PHA) production and phosphate uptake in activated sludge fed with glucose or acetic acid as carbon source. Bioresour. Technol. 2011, 102, 8165–8170. [Google Scholar] [CrossRef]
  20. Tsai, Y.-P.; Tzeng, H.-F.; Lin, J.-W.; Lu, M.-S.; Lin, J.-Y. Verification of enzymes deterioration due to Cu (II) presence in an enhanced biological phosphorus removal system. Chemosphere 2013, 91, 602–607. [Google Scholar] [CrossRef]
  21. Wang, Y.; Ren, Z.; Jiang, F.; Geng, J.; He, W.; Yang, J. Effect of copper ion on the anaerobic and aerobic metabolism of phosphorus-accumulating organisms linked to intracellular storage compounds. J. Hazard. Mater. 2011, 186, 313–319. [Google Scholar] [CrossRef] [PubMed]
  22. Satoh, H.; Ramey, W.; Koch, F.; Oldham, W.; Mino, T.; Matsuo, T. Anaerobic substrate uptake by the enhanced biological phosphorus removal activated sludge treating real sewage. Water Sci. Technol. 1996, 34, 9–16. [Google Scholar] [CrossRef]
  23. Tsai, Y.-P.; You, S.J.; Pai, T.-Y.; Chen, K.-W. Effect of Cd (II) on different bacterial species present in a single sludge activated sludge process for carbon and nutrient removal. J. Environ. Eng. 2006, 132, 173–180. [Google Scholar] [CrossRef]
  24. Čech, J.S.; Hartman, P. Competition between polyphosphate and polysaccharide accumulating bacteria in enhanced biological phosphate removal systems. Water Res. 1993, 27, 1219–1225. [Google Scholar] [CrossRef]
  25. You, S.J.; Shen, Y.; Ouyang, C.; Hsu, C. The effect of residual chemical oxygen demand on anoxic and aerobic phosphate uptake and release with various intracellular polymer levels. Water Environ. Res. 2004, 76, 149–154. [Google Scholar] [CrossRef] [PubMed]
  26. Kuba, T.; Wachtmeister, A.; Van Loosdrecht, M.; Heijnen, J.J. Effect of nitrate on phosphorus release in biological phosphorus removal systems. Water Sci. Technol. 1994, 30, 263–269. [Google Scholar] [CrossRef]
  27. Randall, C.W.; Chapin, R.W. Acetic acid inhibition of biological phosphorus removal. Water Environ. Res. 1997, 69, 955–960. [Google Scholar] [CrossRef]
  28. Sheng, G.-P.; Yu, H.-Q.; Li, X.-Y. Extracellular polymeric substances (EPS) of microbial aggregates in biological wastewater treatment systems: A review. Biotechnol. Adv. 2010, 28, 882–894. [Google Scholar] [CrossRef] [PubMed]
  29. Cloete, T.E.; Oosthuizen, D.J. The role of extracellular exopolymers in the removal of phosphorus from activated sludge. Water Res. 2001, 35, 3595–3598. [Google Scholar] [CrossRef]
  30. Yuan, Z.; Wang, J.; Wang, Y.; Liu, Q.; Zhong, Y.; Wang, Y.; Li, L.; Lincoln, S.F.; Guo, X. Temperature effect on extracellular polymeric substances (EPS) and phosphorus accumulating organisms (PAOs) for phosphorus release of anaerobic sludge. RSC Adv. 2019, 9, 21075–21085. [Google Scholar] [CrossRef]
  31. Li, X.; Yang, S. Influence of loosely bound extracellular polymeric substances (EPS) on the flocculation, sedimentation and dewaterability of activated sludge. Water Res. 2007, 41, 1022–1030. [Google Scholar] [CrossRef] [PubMed]
  32. Pagnanelli, F.; Mainelli, S.; Bornoroni, L.; Dionisi, D.; Toro, L. Mechanisms of heavy-metal removal by activated sludge. Chemosphere 2009, 75, 1028–1034. [Google Scholar] [CrossRef] [PubMed]
Figure 1. (a) A2O mold schematic and (b) batch experiment reaction tank.
Figure 1. (a) A2O mold schematic and (b) batch experiment reaction tank.
Water 12 01205 g001
Figure 2. (a) COD; (b) total phosphorus (TP); (c) P%; (d) poly-b-hydroxybutyrate (PHB); and (e) poly-b-hydroxyvalerate (PHV) in 360 min. (L-A: low concentration acetic acid, H-A: high concentration acetic acid, L-G: low concentration glucose, H-G: high concentration glucose).
Figure 2. (a) COD; (b) total phosphorus (TP); (c) P%; (d) poly-b-hydroxybutyrate (PHB); and (e) poly-b-hydroxyvalerate (PHV) in 360 min. (L-A: low concentration acetic acid, H-A: high concentration acetic acid, L-G: low concentration glucose, H-G: high concentration glucose).
Water 12 01205 g002
Figure 3. (a) TP and P% correlation; (b) TP and poly-b-hydroxyalkanoate (PHA) correlation diagrams. (L-A: low concentration acetic acid, H-A: high concentration acetic acid, L-G: low concentration glucose, H-G: high concentration glucose).
Figure 3. (a) TP and P% correlation; (b) TP and poly-b-hydroxyalkanoate (PHA) correlation diagrams. (L-A: low concentration acetic acid, H-A: high concentration acetic acid, L-G: low concentration glucose, H-G: high concentration glucose).
Water 12 01205 g003
Figure 4. Map of variations in PHA composition. (L-A: low concentration acetic acid, H-A: high concentration acetic acid, L-G: low concentration glucose, H-G: high concentration glucose). (a) PHAs Synthesis Rate; (b) PHAs Degradation Rate
Figure 4. Map of variations in PHA composition. (L-A: low concentration acetic acid, H-A: high concentration acetic acid, L-G: low concentration glucose, H-G: high concentration glucose). (a) PHAs Synthesis Rate; (b) PHAs Degradation Rate
Water 12 01205 g004
Figure 5. (a) Substrate utilization, (b) phosphate release, (c) PHB synthesis, and (d) PHV synthesis with shock loading of Cd2+ under anaerobic conditions. (L-A: low concentration acetic acid, H-A: high concentration acetic acid, L-G: low concentration glucose, H-G: high concentration glucose).
Figure 5. (a) Substrate utilization, (b) phosphate release, (c) PHB synthesis, and (d) PHV synthesis with shock loading of Cd2+ under anaerobic conditions. (L-A: low concentration acetic acid, H-A: high concentration acetic acid, L-G: low concentration glucose, H-G: high concentration glucose).
Water 12 01205 g005
Figure 6. (a) Residual COD, (b) phosphate uptake, (c) PHB degradation, and (d) PHV degradation with shock loading of Cd2+ under aerobic conditions. (L-A: low concentration acetic acid, H-A: high concentration acetic acid, L-G: low concentration glucose, H-G: high concentration glucose).
Figure 6. (a) Residual COD, (b) phosphate uptake, (c) PHB degradation, and (d) PHV degradation with shock loading of Cd2+ under aerobic conditions. (L-A: low concentration acetic acid, H-A: high concentration acetic acid, L-G: low concentration glucose, H-G: high concentration glucose).
Water 12 01205 g006
Table 1. National Chi Nan University (NCNU) wastewater treatment plant operating parameters.
Table 1. National Chi Nan University (NCNU) wastewater treatment plant operating parameters.
Operating Parameters
Anaerobic (min)90
Aerobic (min)150
Anoxic (min)120
Re-aeration (min)40
Settling (min)70
Draw (min)10
DO of aerobic tank (mg/L)>2
pH of aerobic tank7
Three cycles per day.
Table 2. The complete composition of synthetic wastewater.
Table 2. The complete composition of synthetic wastewater.
ConstituentsDosage
Milk Powder350 g
KH2PO450 g
Urea90 g
FeCl33.6 g
CH3COOH150 mL
Glucose150 g
NH4Cl150 g
Adjust pH to 6.8–7.2 with 6N NaOH and dilute to 5 L with non-ion water.
Table 3. The concentration of synthetic wastewater.
Table 3. The concentration of synthetic wastewater.
ConstituentsDosage
TCOD350 mg/L
SCOD300 mg/L
TN40 mg/L
NH4+-N25 mg/L
NO2-N<0.1 mg/L
NO3-N<0.1 mg/L
TP5 mg/L
PO43−-P4 mg/L
Alkalinity100 mg/L
Table 4. Comparison of the concentration and removal rate of inflow and outflow of A2O operation and NCNU wastewater treatment plant.
Table 4. Comparison of the concentration and removal rate of inflow and outflow of A2O operation and NCNU wastewater treatment plant.
ParametersA2O (mg/L)Removal Rate (%)ParametersNCNU (mg/L)Removal Rate (%)
InletOutletInletOutlet
TCOD378 ± 5028 ± 1493TCOD160 ± 618 ± 988
SCOD342 ± 6619 ± 695SCOD108 ± 654 ± 896
TP5.37 ± 0.83.61 ± 0.833TP3.2 ± 0.82.6 ± 0.411
PO43−–P5.31 ± 0.93.66 ± 0.832PO43−–P2.2 ± 1.02.1 ± 0.512
TN48.9 ± 9.119.3 ± 3.161TN39.1 ± 2.332.4 ± 2.117
NH4+–N25.5 ± 2.4N.D.100NH4+–N40.1 ± 8.00.0 ± 0.1100
SVI148 ± 12 mL/g125 ± 20 mL/g
MLSS2195 ± 170 mg/L2133 ± 102 mg/L
MLVSS1925 ± 150 mg/L1407 ± 67 mg/L
Nitrification rate99% ± 2% 100% ± 0.49%
Denitrification rate71% ± 13% 61% ± 3%
Table 5. A2O operating parameters.
Table 5. A2O operating parameters.
Operating Parameters
Inflow rate (mL/min)160
Return sludge flow rate (mL/min)80
Return supernatant flow rate (mL/min)400
HRT of anaerobic tank (h)1.66
HRT of anoxic tank (h)3.33
HRT of aerobic tank (h)5
Total HRT (h)10
SRT (day)10
DO of aerobic tank (mg/L)2.0
pH of aerobic tank7.3
F/M (gCOD/gVSS/day)0.26
Table 6. The required chemical oxygen demand (COD) amount for phosphorous release.
Table 6. The required chemical oxygen demand (COD) amount for phosphorous release.
Substrateγ (mg COD mg−1 P) = q */PRR $
L-A22.3
H-A15.6
L-G22.1
H-G47.9
* q: COD utilization rates (mg COD gVSS−1 h−1). $ PRR: P release rate (mg P gVSS−1 h−1).

Share and Cite

MDPI and ACS Style

Yang, C.-C.; Lu, M.-S.; Dao, K.C.; Lin, J.-W.; Chou, Y.-H.; Tsai, Y.-P. Comparison of the Influences of Cadmium Toxicity to Phosphate Removal in Activated Sludge Separately Fed by Glucose and Acetic Acid as Carbon Sources. Water 2020, 12, 1205. https://doi.org/10.3390/w12041205

AMA Style

Yang C-C, Lu M-S, Dao KC, Lin J-W, Chou Y-H, Tsai Y-P. Comparison of the Influences of Cadmium Toxicity to Phosphate Removal in Activated Sludge Separately Fed by Glucose and Acetic Acid as Carbon Sources. Water. 2020; 12(4):1205. https://doi.org/10.3390/w12041205

Chicago/Turabian Style

Yang, Chih-Chi, Meng-Shan Lu, Khanh Chau Dao, Jan-Wei Lin, Yi-Hsiu Chou, and Yung-Pin Tsai. 2020. "Comparison of the Influences of Cadmium Toxicity to Phosphate Removal in Activated Sludge Separately Fed by Glucose and Acetic Acid as Carbon Sources" Water 12, no. 4: 1205. https://doi.org/10.3390/w12041205

APA Style

Yang, C.-C., Lu, M.-S., Dao, K. C., Lin, J.-W., Chou, Y.-H., & Tsai, Y.-P. (2020). Comparison of the Influences of Cadmium Toxicity to Phosphate Removal in Activated Sludge Separately Fed by Glucose and Acetic Acid as Carbon Sources. Water, 12(4), 1205. https://doi.org/10.3390/w12041205

Note that from the first issue of 2016, this journal uses article numbers instead of page numbers. See further details here.

Article Metrics

Back to TopTop