Recent Trends in Freshwater Influx to the Arctic Ocean from Four Major Arctic-Draining Rivers
Abstract
1. Introduction
2. Basin Characteristics
3. Data and Analysis
3.1. Data Sources
3.2. Spring Freshet Definition
3.3. Trend Analysis
4. Results
4.1. Freshet Characteristics
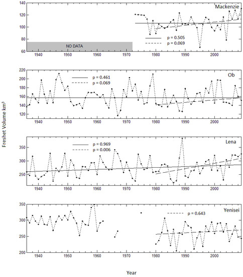
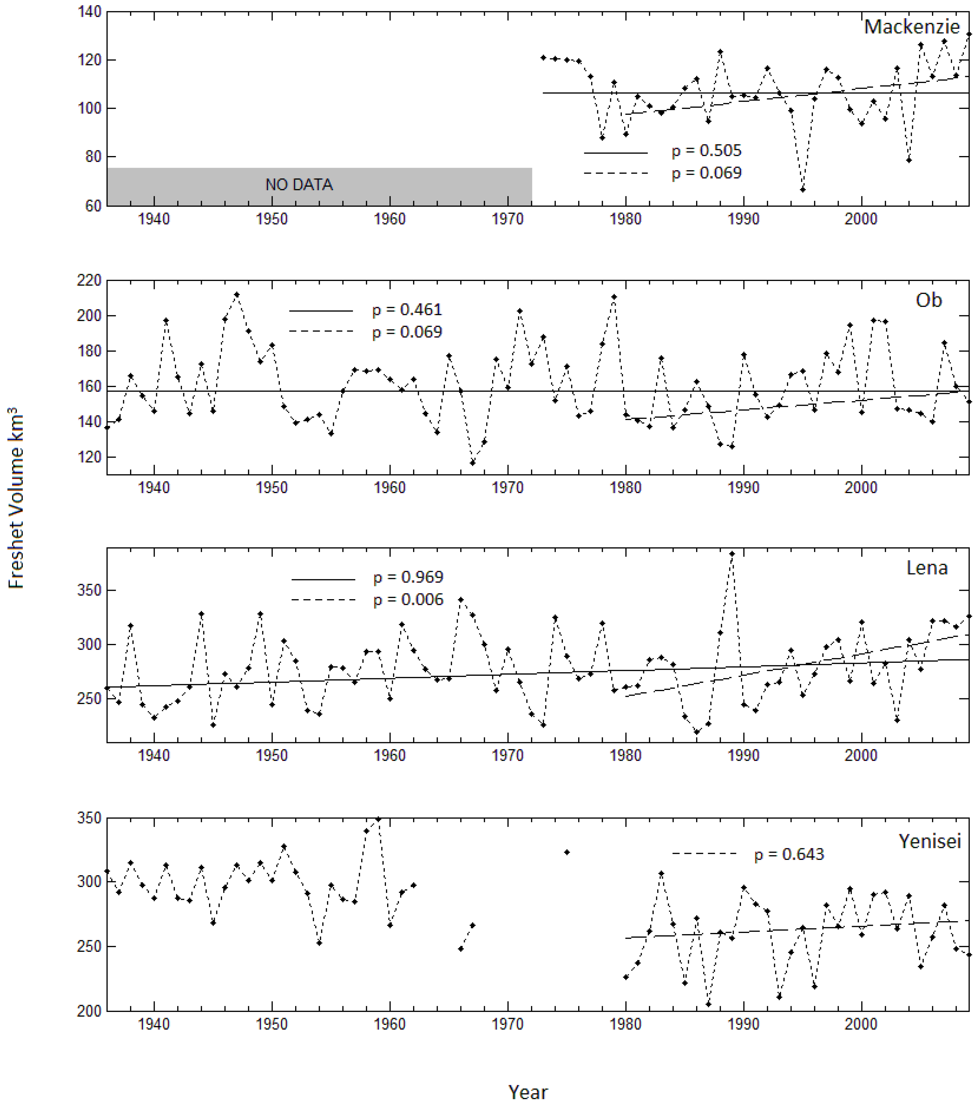
4.2. Changes in Timing and Magnitude
4.3. Changes in Combined Circumpolar Discharge
5. Summary and Conclusions
Author Contributions
Funding
Acknowledgments
Conflicts of Interest
References
- Anisimov, O.; Vaughan, D.G.; Callaghan, T.; Furgal, C.; Marchant, H.; Prowse, T.D.; Vilhjalmsson, H.; Walsh, J.E. Polar regions (Arctic and Antarctic). In Climate Change 2007: Impacts, Adaptation and Vulnerability; Parry, M.L., Canziani, O.F., Palutikof, J.P., van der Linden, P.J., Hanson, C.E., Eds.; Contribution of Working Group II to the Fourth Assessment Report of the Intergovernmental Panel on Climate Change; Cambridge University Press: Cambridge, UK, 2007; pp. 653–685. [Google Scholar]
- Aagaard, K.; Carmack, E.C. The role of fresh water in ocean circulation and climate. J. Geophys. Res. 1989, 94, 14485–14498. [Google Scholar] [CrossRef]
- Anisimov, O.; Fitzharris, B.; Hagen, J.O.; Jefferies, R.; Marchant, H.; Nelson, F.; Prowse, T.D.; Vaughan, D.G. Polar regions (Arctic and Antarctic). In Climate Change 2001: Impacts, Adaptation and Vulnerability; McCarthy, J.J., Canziani, O.F., Leary, N.A., Dokken, D.J., White, K.S., Eds.; Contribution of Working Group II to the Third Assessment Report of the Intergovernmental Panel on Climate Change; Cambridge University Press: Cambridge, UK, 2001; pp. 803–841. [Google Scholar]
- Dickson, B.; Osborn, T.; Hurrell, J.W.; Meincke, J.; Blindheim, J.; Adlandsvik, B.; Vinje, T.; Alekseev, G.; Maslowski, W. The Arctic Ocean response to the North Atlantic Oscillation. J. Climatol. 2000, 13, 2671–2696. [Google Scholar] [CrossRef]
- Dickson, B.; Yashayaev, I.; Meincke, J.; Turrell, B.; Dye, S.; Holfort, J. Rapid freshening of the deep North Atlantic Ocean over the past four decades. Nature 2002, 416, 832–837. [Google Scholar] [CrossRef] [PubMed]
- Loeng, H.; Brander, K.; Carmack, E.; Denisenko, S.; Drinkwater, K.; Hansen, B.; Kovacs, K.; Livingston, P.; Mclaughlin, F.; Bellerby, R.; et al. Ch. 9: Marine Systems. In Arctic Climate Impact Assessment; Symon, C., Arris, L., Heal, B., Eds.; Cambridge University Press: New York, NY, USA, 2005; pp. 453–538. [Google Scholar]
- Serreze, M.C.; Francis, J.A. The Arctic Amplification Debate. Clim. Chang. 2006, 76, 241–264. [Google Scholar] [CrossRef]
- Kattsov, V.M.; Walsh, J.E.; Chapman, W.L.; Govorkova, V.; Pavlova, T.V.; Zhang, X. Simulation and Projection of Arctic Freshwater Budget Components by the IPCC AR4 Global Climate Models. J. Hydrometeorol. 2007, 8, 571–589. [Google Scholar] [CrossRef]
- McClelland, J.W.; Holmes, R.M.; Dunton, K.H.; Macdonald, R.W. The Arctic Ocean Estuary. Estuaries Coasts 2011, 35, 353–368. [Google Scholar] [CrossRef]
- Tank, S.E.; Manizza, M.; Holmes, R.M.; McClelland, J.W.; Peterson, B.J. The processing and impact of dissolved riverine nitrogen in the Arctic Ocean. Estuaries Coasts 2011, 35, 401–415. [Google Scholar] [CrossRef]
- Bring, A.; Fedorova, I.; Dibike, Y.; Hinzman, L.; Mård, J.; Mernild, S.H.; Prowse, T.; Semenova, O.; Stuefer, S.L.; Woo, M.-K. Arctic terrestrial hydrology: A synthesis of processes, regional effects, and research challenges. J. Geophys. Res. Biogeosci. 2016, 121, 621–649. [Google Scholar] [CrossRef]
- Lammers, R.B.; Shiklomanov, A.I.; Vörösmarty, C.J.; Fekete, B.M.; Peterson, B.J. Assessment of contemporary Arctic river runoff based on observational discharge records. J. Geophys. Res. 2001, 106, 3321–3334. [Google Scholar] [CrossRef]
- Carmack, E.C.; Barber, D.G.; Christensen, J.R.; Macdonald, R.W.; Rudels, B.; Sakshaug, E. Climate variability and physical forcing of the food webs and the carbon budget of pan-Arctic shelves. Prog. Oceanogr. 2006, 71, 145–181. [Google Scholar] [CrossRef]
- Durocher, M.; Requena, A.I.; Burn, D.H.; Pellerin, J. Analysis of trends in annual streamflow to the Arctic Ocean. Hydrol. Process. 2019, 33, 1143–1151. [Google Scholar] [CrossRef]
- Peterson, B.J.; Holmes, R.M.; McClelland, J.W.; Vörösmarty, C.J.; Lammers, R.B.; Shiklomanov, A.I.; Shiklomanov, I.A.; Rahmstorf, S. Increasing river discharge to the Arctic Ocean. Science 2002, 298, 2171–2173. [Google Scholar] [CrossRef] [PubMed]
- Haine, T.W.N.; Curry, B.; Gerdes, R.; Hansen, E.; Karcher, M.; Lee, C.; Rudels, B.; Spreen, G.; de Steur, L.; Stewart, K.D.; et al. Arctic freshwater export: Status, mechanisms, and prospects. Glob. Planet. Chang. 2015, 125, 13–25. [Google Scholar] [CrossRef]
- Déry, S.J.; Wood, J. Decreasing river discharge in northern Canada. Geophys. Res. Lett. 2005, 32, L10401. [Google Scholar] [CrossRef]
- Déry, S.J.; Stadnyk, T.A.; MacDonald, M.K.; Gauli-Sharma, B. Recent trends and variability in river discharge across northern Canada. Hydrol. Earth Syst. Sci. 2016, 20, 4801–4818. [Google Scholar] [CrossRef]
- Rood, S.B.; Kaluthota, S.; Philipsen, L.J.; Rood, N.J.; Zanewich, K.P. Increasing discharge from the Mackenzie River system to the Arctic Ocean. Hydrol. Process. 2017, 31, 150–160. [Google Scholar] [CrossRef]
- Walsh, J.E.; Anisimov, O.; Hagen, J.O.; Jakobsson, T.; Oerlemans, J.; Prowse, T.D.; Romanovsky, V.; Savelieva, N.; Serreze, M.C.; Shiklomanov, I.A.; et al. Cryosphere and hydrology. In Arctic Climate Impact Assessment (ACIA); Symon, C., Arris, L., Heal, B., Eds.; Cambridge University Press: Cambridge, UK, 2005; pp. 183–242. [Google Scholar]
- Larsen, J.N.; Anisimov, O.A.; Constable, A.; Hollowed, A.B.; Maynard, N.; Prestrud, P.; Prowse, T.D.; Stone, J.M.R. Polar regions. In Climate Change 2014: Impacts, Adaptation, and Vulnerability. Part B: Regional Aspects; Barros, V.R., Field, C.B., Dokken, D.J., Mastrandrea, M.D., Mach, K.J., Bilir, T.E., Chatterjee, M., Ebi, K.L., Estrada, Y.O., Genova, R.C., et al., Eds.; Contribution of Working Group II to the Fifth Assessment Report of the Intergovernmental Panel of Climate Change; Cambridge University Press: Cambridge, UK, 2014; pp. 1567–1612. [Google Scholar]
- Grabs, W.E.; Portmann, F.; De Couet, T. Discharge observation networks in Arctic regions: Computation of the river runoff into the Arctic Ocean, its seasonality and variability. In The Freshwater Budget of the Arctic Ocean; Lewis, E.L., Ed.; Kluwer: Dordrecht, The Netherlands, 2000; pp. 249–267. [Google Scholar]
- Prowse, T.D.; Flegg, P.O. Arctic river flow: A review of contributing areas. In The Freshwater Budget of the Arctic Ocean; Lewis, E.L., Ed.; Kluwer: Dordrecht, The Netherlands, 2000; pp. 269–280. [Google Scholar]
- Finnis, J.; Cassano, J.; Holland, M.; Uotila, P. Synoptically forced hydroclimatology of major Arctic watersheds in general circulation models, Part 1: The Mackenzie River Basin. Int. J. Climatol. 2009, 29, 1226–1243. [Google Scholar] [CrossRef]
- Yang, D.; Ye, B.; Shiklomanov, A. Discharge characteristics and changes over the Ob River watershed in Siberia. J. Hydrometeorol. 2004, 5, 595–610. [Google Scholar] [CrossRef]
- Yang, D.; Kane, D.L.; Hinzman, L.D.; Zhang, X.; Zhang, T.; Ye, H. Siberian Lena River hydrologic regime and recent change. J. Geophys. Res. 2002, 107, 4694. [Google Scholar] [CrossRef]
- Zhang, X.; Ikeda, M.; Walsh, J. Arctic sea ice and freshwater changes driven by the atmospheric leading mode in a coupled sea ice-ocean model. J. Climatol. 2003, 16, 2159–2177. [Google Scholar] [CrossRef]
- Dyurgerov, M.B.; Carter, C.L. Observational Evidence of Increases in Freshwater Inflow to the Arctic Ocean. Arct. Antarct. Alp. Res. 2004, 36, 117–122. [Google Scholar] [CrossRef]
- Carmack, E.C. The freshwater budget of the Arctic Ocean: Sources, storage and sinks. In The Freshwater Budget of the Arctic Ocean; Lewis, E.L., Ed.; Kluwer: Dordrecht, The Netherlands, 2000; pp. 91–126. [Google Scholar]
- Ye, B.; Yang, D.; Kane, D.L. Changes in Lena River streamflow hydrology: Human impacts versus natural variations. Water Resour. Res. 2003, 39, 1200. [Google Scholar] [CrossRef]
- Yang, D.; Ye, B.; Kane, D.L. Streamflow changes over Siberian Yenisei River Basin. J. Hydrol. 2004, 296, 59–80. [Google Scholar] [CrossRef]
- Stuefer, S.; Yang, D.; Shiklomanov, A. Effect of streamflow regulation on mean annual discharge variability of the Yenisei River. In Cold Region Hydrology in A Changing Climate, Proceedings of the Symposium H02 Held during IUGG2011 in Melbourne, Melbourne, Australia, 28 June–7 July 2011; IAHS Publ.: Wallingford, UK, 2011; Volume 346, pp. 27–32. [Google Scholar]
- Dynesius, M.; Nilsso, C. Fragmentation and flow regulation of river systems in the northern third of the world. Science 1994, 266, 753–762. [Google Scholar] [CrossRef]
- Woo, M.; Thorne, R. Streamflow in the Mackenzie basin, Canada. Arctic 2003, 56, 328–340. [Google Scholar] [CrossRef]
- Lammers, R.B.; Shiklomanov, A.I. A Regional, Hydrometeorological Data Network for Russia. 2013. Available online: http://www.r-arcticnet.sr.unh.edu/v4.0/index.html (accessed on 25 July 2015).
- Cayan, D.R.; Kammerdiener, S.A.; Dettinger, M.D.; Caprio, J.M.; Peterson, D.H. Changes in the Onset of Spring in the Western United States. Bull. Am. Meteorol. Soc. 2001, 82, 399–415. [Google Scholar] [CrossRef]
- Stewart, I.; Cayan, D.; Dettinger, M. Changes toward earlier streamflow timing across western North America. J. Climatol. 2005, 18, 1136–1155. [Google Scholar] [CrossRef]
- Mann, H.B. Nonparametric tests against trend. Econometrica 1945, 13, 245–259. [Google Scholar] [CrossRef]
- Kendall, M. Rank Correlation Measures; Charles Griffin: London, UK, 1975. [Google Scholar]
- Hirsch, R.M.; Slack, J.R. A non-parametric trend test for seasonal data with serial dependence. Water Resour. Res. 1984, 20, 727–732. [Google Scholar] [CrossRef]
- Yue, S.; Pilon, P.J.; Phinney, B.; Cavadias, G. The influence of autocorrelation on the ability to detect trend in hydrological series. Hydrol. Process. 2002, 16, 1807–1829. [Google Scholar] [CrossRef]
- Burn, D.H.; Cunderlik, J.M. Hydrological trends and variability in the Liard River basin. Hydrol. Sci. 2004, 49, 53–67. [Google Scholar] [CrossRef]
- Kane, D.L. The impact of Arctic hydrologic perturbations on Arctic ecosystems induced by climate change. In Global Change and Arctic Terrestrial Ecosystems; Oechel, W.C., Callaghan, T., Gilmanov, T.G., Holten, J.I., Maxwell, B., Molau, U., Sveinbjornsson, B., Eds.; Springer: New York, NY, USA, 1997; pp. 63–81. [Google Scholar]
- Shiklomanov, A.I.; Lammers, R.B. Record Russian river discharge in 2007 and the limits of analysis. Environ. Res. Lett. 2009, 4, 045015. [Google Scholar] [CrossRef]
- Rawlins, M.A.; Steele, M.; Holland, M.M.; Adam, J.C.; Cherry, J.E.; Francis, J.A.; Groisman, P.Y.; Hinzman, L.D.; Huntington, T.G.; Kane, D.L.; et al. Analysis of the Arctic system for freshwater cycle intensification: Observations and expectations. J. Clim. 2010, 23, 5715–5737. [Google Scholar] [CrossRef]
- St Jacques, J.M.; Sauchyn, D.J. Increasing winter baseflow and mean annual streamflow from possible permafrost thawing in the Northwest Territories, Canada. Geophys. Res. Lett. 2009, 36, L01401. [Google Scholar] [CrossRef]





| Basin | ID | Name | Location (°N, °E) | Area (km2) | Avail. Years |
|---|---|---|---|---|---|
| Mackenzie | 10LC014 | Mackenzie at Arctic Red | 67.5, −133.8 | 1,679,100 | 1973–2009 |
| Lena | 3821 | Lena at Kusur | 56.8, −111.4 | 2,430,000 | 1936–2009 |
| Yenisei | 9803 | Yenisei at Igarka | 55.7, −117.6 | 2,440,000 | 1936–2009 * |
| Ob | 11801 | Ob at Salekhard | 59.1, −112.4 | 2,950,000 | 1936–2009 |
| Symbol | Description |
|---|---|
| FP | Freshet pulse date |
| FL | Freshet length |
| FM | Peak freshet magnitude |
| V1 | April–July volume |
| V2 | Freshet volume |
| VAPR | April volume |
| VMAY | May volume |
| VJUN | June volume |
| VJUL | July volume |
| VANN | Annual volume |
| VDJF | December–February volume |
| VMAM | March–May volume |
| VJJA | June–August volume |
| VSON | September–November volume |
| River | V1% | V2% | VAPR% | VMAY% | VJUN% | VJUL% |
|---|---|---|---|---|---|---|
| Mackenzie | 14 | 13 | 19 | 20 | 10 | 15 |
| Lena | 31 | 35 | 11 | 15 | 37 | 37 |
| Yenisei | 35 | 32 | 48 | 43 | 37 | 22 |
| Ob | 20 | 20 | 22 | 22 | 16 | 26 |
| Rivers | Entire Period Trend | 30-Year Trend (1980–2009) | ||||||||
|---|---|---|---|---|---|---|---|---|---|---|
| FP | FL | FM | V1 | VANN | FP | FL | FM | V1 | VANN | |
| d/ 10 Year | d/ 10 Year | m3 s−1/ 10 Year | km3/ 10 Year | km3/ 10 Year | d/ 10 Year | d/ 10 Year | m3 s−1/ 10 Year | km3/ 10 Year | km3/ 10 Year | |
| Mackenzie | −1.2 * | 0.0 | −767 | 0.0 | 9.0 | −1.4 | 0.8 | 0 | 5.1 ** | 21.5 ** |
| Ob | 0.0 | −0.7 ** | −123 | 0.0 | 5.4 | 0.0 | 0.8 | 290 | 5.3 ** | 10.3 |
| Lena | −1.4 ** | 0.0 | −622 | 3.5 | 28.8 ** | −0.9 | 2.4 | −2000 | 18.9 ** | 40.6 ** |
| Yenisei | -- | -- | -- | -- | -- | −1.6 | 1.7 | −1600 | 4.0 | 23.7 ** |
| Rivers | Entire Period Trend (% Change) | 30-year Trend (1980–2009) (% Change) | ||||||||
|---|---|---|---|---|---|---|---|---|---|---|
| V2 | VDJF | VMAM | VJJA | VSON | V2 | VDJF | VMAM | VJJA | VSON | |
| Mackenzie | −0.8 | 1.5 ** | 2.6 | −4.3 | 0.7 | −0.6 | 1.3 | 2.2 | −3.4 ** | 0.8 |
| Ob | 0.3 | 2.2 ** | 2.7 | −3.6 * | −0.7 | −1.2 | −1.4 | 0.8 | 0.3 | 1.4 |
| Lena | −1.6 | 2.0 ** | 3.8 ** | −7.1 ** | −0.1 | −2.7 | 0.5 | 2.5 | −8.3 | 7.5 ** |
| Yenisei | -- | -- | -- | -- | -- | −2.0 | 2.8 ** | 4.3 | −6.0 * | 2.1 |
© 2020 by the authors. Licensee MDPI, Basel, Switzerland. This article is an open access article distributed under the terms and conditions of the Creative Commons Attribution (CC BY) license (http://creativecommons.org/licenses/by/4.0/).
Share and Cite
Ahmed, R.; Prowse, T.; Dibike, Y.; Bonsal, B.; O’Neil, H. Recent Trends in Freshwater Influx to the Arctic Ocean from Four Major Arctic-Draining Rivers. Water 2020, 12, 1189. https://doi.org/10.3390/w12041189
Ahmed R, Prowse T, Dibike Y, Bonsal B, O’Neil H. Recent Trends in Freshwater Influx to the Arctic Ocean from Four Major Arctic-Draining Rivers. Water. 2020; 12(4):1189. https://doi.org/10.3390/w12041189
Chicago/Turabian StyleAhmed, Roxanne, Terry Prowse, Yonas Dibike, Barrie Bonsal, and Hayley O’Neil. 2020. "Recent Trends in Freshwater Influx to the Arctic Ocean from Four Major Arctic-Draining Rivers" Water 12, no. 4: 1189. https://doi.org/10.3390/w12041189
APA StyleAhmed, R., Prowse, T., Dibike, Y., Bonsal, B., & O’Neil, H. (2020). Recent Trends in Freshwater Influx to the Arctic Ocean from Four Major Arctic-Draining Rivers. Water, 12(4), 1189. https://doi.org/10.3390/w12041189

