Evaluation of Multi-Satellite Precipitation Products and Their Ability in Capturing the Characteristics of Extreme Climate Events over the Yangtze River Basin, China
Abstract
1. Introduction
2. Study Area and Data
2.1. Study Area
2.2. Data
2.2.1. Reference Data
2.2.2. SSPs
2.2.3. Data Pre-Processing
3. Methodology
3.1. Evaluation Metrics
3.2. Indexes for Describing ECEs
3.2.1. Extreme Precipitation Indexes
3.2.2. Meteorological Drought Indices
4. Results and Discussion
4.1. SPP Evaluation on Different Temporal Scales
4.1.1. Annual Scale
4.1.2. Monthly Scale
4.1.3. Daily Scale
4.2. Accuracy of Extreme Precipitation Description
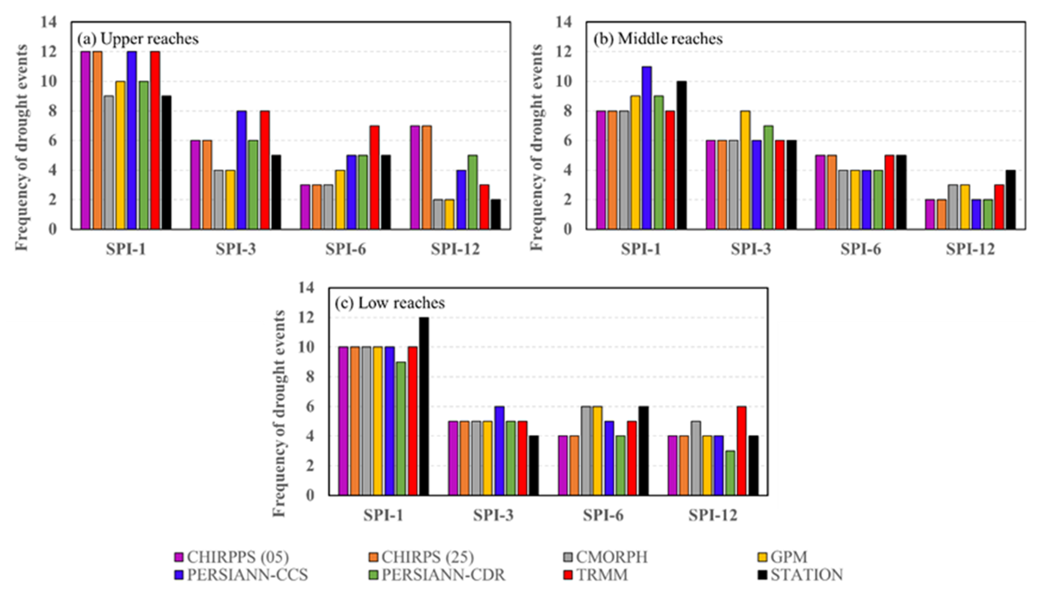
4.3. Drought Event Monitoring Accuracy
5. Conclusions
- (1)
- The SPPs have higher accuracy on the annual and monthly scales than on the daily scale. Among the seven SPPs, CMORPH performs relatively well on the daily and annual scales, whereas GPM IMERG performs relatively well on the monthly scale. In general, the SPPS have lower accuracy for monitoring of the mountainous areas in the upper reach and the estuary and coastal areas in the lower reach compared to the plains areas in the middle reach.
- (2)
- In response to extreme precipitation, GPM IMERG and CMORPH perform better in the upper, middle, and lower reaches, which is consistent with their accuracy on the daily scale. Higher errors were noted for extreme precipitation monitoring in the lower reach, for both intensity and frequency and compared to the results for the upper and middle reaches. Therefore, the SPPs can less effectively capture the characteristics of extreme precipitation in the lower reach compared to the upper and middle reaches.
- (3)
- As regards drought monitoring, the best-performing SPP varies for the upper, middle, and lower reaches. That is, GPM IMERG performs best in the upper reach, whereas CMORPH performs best for the middle and lower reaches; this finding is consistent with the accuracies of these SPPs on the monthly scale. As regards the overall performance of the SPPs in capturing drought characteristics at the three sub-watersheds, the SPPs exhibit inferior performance for the upper reach compared to the middle and lower reaches.
- (4)
- The SPP accuracy largely determines the extreme precipitation and drought monitoring performance. Meanwhile, the ability of a given SPP to capture extreme precipitation characteristics is consistent with its ability to capture drought characteristics. Therefore, more studies are necessary to verify the impact of mountainous and coastal areas on ECE monitoring.
Author Contributions
Funding
Acknowledgments
Conflicts of Interest
Appendix A


References
- Seneviratne, S.I.; Nicholls, N.; Easterling, D.; Goodess, C.M.; Zhang, X. Changes in climate extremes and their impacts on the natural physical environment: An overview of the IPCC SREX report. EGU General Assembly Conference Abstracts. In Managing the Risks of Extreme Events and Disasters to Advance Climate Change Adaptation (SREX); Cambridge University Press: Cambridge, UK; New York, NY, USA, 2012. [Google Scholar]
- Gao, L.P.; Tao, B.; Miao, Y.X.; Zhang, L.H.; Song, X.; Ren, W.; He, L.Y.; Xu, X.F. A Global Data Set for Economic Losses of Extreme Hydrological Events During 1960–2014. Water Resour. Res. 2019, 55, 5165–5175. [Google Scholar] [CrossRef]
- Diffenbaugh, N.S.; Singh, D.; Mankin, J.S.; Horton, D.E.; Swain, D.L.; Touma, D.; Charland, A.; Liu, Y.J.; Haugen, M.; Tsiang, M.; et al. Quantifying the influence of global warming on unprecedented extreme climate events. Proc. Natl. Acad. Sci. USA 2017, 114, 4881–4886. [Google Scholar] [CrossRef] [PubMed]
- Stocker, T. Climate Change 2013: The Physical Science Basis: Working Group I Contribution to the Fifth Assessment Report of the Intergovernmental Panel on Climate Change; Cambridge University Press: Cambridge, UK, 2014. [Google Scholar]
- Hirabayashi, Y.; Mahendran, R.; Koirala, S.; Konoshima, L.; Yamazaki, D.; Watanabe, S.; Kim, H.; Kanae, S. Global flood risk under climate change. Nat. Clim. Chang. 2013, 3, 816–821. [Google Scholar] [CrossRef]
- Soltani, M.; Laux, P.; Kunstmann, H.; Stan, K.; Sohrabi, M.M.; Molanejad, M.; Sabziparvar, A.A.; SaadatAbadi, A.R.; Ranjbar, F.; Rousta, I.; et al. Assessment of climate variations in temperature and precipitation extreme events over Iran. Theor. Appl. Climatol. 2016, 126, 775–795. [Google Scholar] [CrossRef]
- Ren, Z.G.; Zhang, M.J.; Wang, S.J.; Qiang, F.; Zhu, X.F.; Dong, L. Changes in daily extreme precipitation events in South China from 1961 to 2011. J. Geogr. Sci. 2015, 25, 58–68. [Google Scholar] [CrossRef]
- Buttafuoco, G.; Caloiero, T.; Coscarelli, R. Analyses of Drought Events in Calabria (Southern Italy) Using Standardized Precipitation Index. Water Resour. Manag. 2015, 29, 557–573. [Google Scholar] [CrossRef]
- Michaelides, S.; Levizzani, V.; Anagnostou, E.; Bauer, P.; Kasparis, T.; Lane, J.J.A.R. Precipitation: Measurement, remote sensing, climatology and modeling. Atmos. Res. 2009, 94, 512–533. [Google Scholar] [CrossRef]
- Jongjin, B.; Jongmin, P.; Dongryeol, R.; Minha, C.J.H.P. Geospatial blending to improve spatial mapping of precipitation with high spatial resolution by merging satellite-based and ground-based data. Hydrol. Process. 2016, 30, 2789–2803. [Google Scholar] [CrossRef]
- Sun, Q.H.; Miao, C.Y.; Duan, Q.Y.; Ashouri, H.; Sorooshian, S.; Hsu, K.L. A Review of Global Precipitation Data Sets: Data Sources, Estimation, and Intercomparisons. Rev. Geophys. 2018, 56, 79–107. [Google Scholar] [CrossRef]
- Habib, E.; Haile, A.T.; Tian, Y.; Joyce, R.J. Evaluation of the High-Resolution CMORPH Satellite Rainfall Product Using Dense Rain Gauge Observations and Radar-Based Estimates. J. Hydrometeorol. 2012, 13, 1784–1798. [Google Scholar] [CrossRef]
- Joyce, R.J.; Janowiak, J.E.; Arkin, P.A.; Xie, P.P. CMORPH: A method that produces global precipitation estimates from passive microwave and infrared data at high spatial and temporal resolution. J. Hydrometeorol. 2004, 5, 487–503. [Google Scholar] [CrossRef]
- Huffman, G.J.; Adler, R.F.; Bolvin, D.T.; Gu, G.J.; Nelkin, E.J.; Bowman, K.P.; Hong, Y.; Stocker, E.F.; Wolff, D.B. The TRMM multisatellite precipitation analysis (TMPA): Quasi-global, multiyear, combined-sensor precipitation estimates at fine scales. J. Hydrometeorol. 2007, 8, 38–55. [Google Scholar] [CrossRef]
- Hou, A.Y.; Kakar, R.K.; Neeck, S.; Azarbarzin, A.A.; Kummerow, C.D.; Kojima, M.; Oki, R.; Nakamura, K.; Iguchi, T. The Global Precipitation Measurement Mission. Bullet. Am. Meteorol. Soc. 2014, 95, 701. [Google Scholar] [CrossRef]
- Hong, Y.; Gochis, D.; Cheng, J.T.; Hsu, K.L.; Sorooshian, S. Evaluation of PERSIANN-CCS rainfall measurement using the NAME Event Rain Gauge Network. J. Hydrometeorol. 2007, 8, 469–482. [Google Scholar] [CrossRef]
- Ashouri, H.; Hsu, K.-L.; Sorooshian, S.; Braithwaite, D.K.; Knapp, K.R.; Cecil, L.D.; Nelson, B.R.; Prat, O.P. PERSIANN-CDR: Daily precipitation climate data record from multisatellite observations for hydrological and climate studies. Bullet. Am. Meteorol. Soc. 2015, 96, 69–83. [Google Scholar] [CrossRef]
- Funk, C.; Peterson, P.; Landsfeld, M.; Pedreros, D.; Verdin, J.; Shukla, S.; Husak, G.; Rowland, J.; Harrison, L.; Hoell, A.; et al. The climate hazards infrared precipitation with stations-a new environmental record for monitoring extremes. Sci. Data 2015, 2, 150066. [Google Scholar] [CrossRef]
- Bell, J.L.; Sloan, L.C.; Snyder, M.A. Regional Changes in Extreme Climatic Events: A Future Climate Scenario. J. Clim. 2004, 17, 81–87. [Google Scholar] [CrossRef]
- Wilhite, D.A. Drought as a natural hazard: Concepts and definitions. Drought A Glob. Assess. 2000, 1, 3–18. [Google Scholar]
- She, D.; Shao, Q.; Xia, J.; Taylor, J.A.; Zhang, Y.; Zhang, L.; Zhang, X.; Zou, L. Investigating the variation and non-stationarity in precipitation extremes based on the concept of event-based extreme precipitation. J. Hydrol. 2015, 530, 785–798. [Google Scholar] [CrossRef]
- Fang, J.; Yang, W.T.; Luan, Y.B.; Du, J.; Lin, A.W.; Zhao, L. Evaluation of the TRMM 3B42 and GPM IMERG products for extreme precipitation analysis over China. Atmos. Res. 2019, 223, 24–38. [Google Scholar] [CrossRef]
- Stampoulis, D.; Anagnostou, E.N.; Nikolopoulos, E.I. Assessment of High-Resolution Satellite-Based Rainfall Estimates over the Mediterranean during Heavy Precipitation Events. J. Hydrometeorol. 2013, 14, 1500–1514. [Google Scholar] [CrossRef]
- Mayor, Y.G.; Tereshchenko, I.; Fonseca-Hernandez, M.; Pantoja, D.A.; Montes, J.M. Evaluation of Error in IMERG Precipitation Estimates under Different Topographic Conditions and Temporal Scales over Mexico. Remote Sens. 2017, 9, 503. [Google Scholar] [CrossRef]
- Zhu, Q.; Luo, Y.L.; Zhou, D.Y.; Xu, Y.P.; Wang, G.Q.; Gao, H.Y. Drought Monitoring Utility using Satellite-Based Precipitation Products over the Xiang River Basin in China. Remote Sens. 2019, 11, 1483. [Google Scholar] [CrossRef]
- Gemmer, M.; Jiang, T.; Su, B.; Kundzewicz, Z.W. Seasonal precipitation changes in the wet season and their influence on flood/drought hazards in the Yangtze River Basin, China. Quat. Int. 2008, 186, 12–21. [Google Scholar] [CrossRef]
- Jiang, X.W.; Li, Y.Q.; Wang, X. Water vapor transport over China and its relationship with drought and flood in Yangtze River Basin. J. Geogr. Sci. 2009, 19, 153–163. [Google Scholar] [CrossRef]
- Wilks, D.S. Statistical Methods in the Atmospheric Sciences; Academic press: Cambridge, MA, USA, 2011; Volume 100. [Google Scholar]
- Su, F.G.; Hong, Y.; Lettenmaier, D.P. Evaluation of TRMM Multisatellite Precipitation Analysis (TMPA) and its utility in hydrologic prediction in the La Plata Basin. J. Hydrometeorol. 2008, 9, 622–640. [Google Scholar] [CrossRef]
- Shrestha, D.; Singh, P.; Nakamura, K. Spatiotemporal variation of rainfall over the central Himalayan region revealed by TRMM Precipitation Radar. J. Geophys Res.-Atmos. 2012, 117, 22106. [Google Scholar] [CrossRef]
- Zhang, X.B.; Alexander, L.; Hegerl, G.C.; Jones, P.; Tank, A.K.; Peterson, T.C.; Trewin, B.; Zwiers, F.W. Indices for monitoring changes in extremes based on daily temperature and precipitation data. Wires Clim. Chang. 2011, 2, 851–870. [Google Scholar] [CrossRef]
- Peterson, T.; Folland, C.; Gruza, G.; Hogg, W.; Mokssit, A.; Plummer, N. Report on the Activities of the Working Group on Climate Change Detection and Related Rapporteurs; World Meteorological Organization Geneva: Geneva, Swizerland, 2001. [Google Scholar]
- Zhang, Q.; Singh, V.P.; Li, J.F.; Jiang, F.Q.; Bai, Y.G. Spatio-temporal variations of precipitation extremes in Xinjiang, China. J. Hydrol. 2012, 434, 7–18. [Google Scholar] [CrossRef]
- Sen Roy, S.; Balling, R.C. Trends in extreme daily precipitation indices in India. Int. J. Climatol. 2004, 24, 457–466. [Google Scholar] [CrossRef]
- McKee, T.B. Drought monitoring with multiple time scales. In Proceedings of the 9th Conference on Applied Climatology, Dallas, TX, USA, 15–20 January 1995. [Google Scholar]
- McKee, T.B.; Doesken, N.J.; Kleist, J. The relationship of drought frequency and duration to time scales. In Proceedings of the 8th Conference on Applied Climatology, Anaheim, CA, USA, 17–22 January 1993; pp. 179–184. [Google Scholar]
- Hayes, M.J.; Svoboda, M.D.; Wiihite, D.A.; Vanyarkho, O.V. Monitoring the 1996 drought using the standardized precipitation index. Bullet. Am. Meteorol. Soc. 1999, 80, 429–438. [Google Scholar] [CrossRef]
- Li, R.; Shi, J.; Ji, D.; Zhao, T.; Plermkamon, V.; Moukomla, S.; Kuntiyawichai, K.; Kruasilp, J. Evaluation and Hydrological Application of TRMM and GPM Precipitation Products in a Tropical Monsoon Basin of Thailand. Water 2019, 11, 818. [Google Scholar] [CrossRef]
- Zeng, H.; Li, L.; Li, J. The evaluation of TRMM Multisatellite Precipitation Analysis (TMPA) in drought monitoring in the Lancang River Basin. J. Geogr. Sci. 2012, 22, 273–282. [Google Scholar] [CrossRef]
- Sharifi, E.; Steinacker, R.; Saghafian, B. Assessment of GPM-IMERG and Other Precipitation Products against Gauge Data under Different Topographic and Climatic Conditions in Iran: Preliminary Results. Remote Sens. 2016, 8, 135. [Google Scholar] [CrossRef]
- Tian, Y.; Peters-Lidard, C.D.; Choudhury, B.J.; Garcia, M. Multitemporal analysis of TRMM-based satellite precipitation products for land data assimilation applications. J. Hydrometeorol. 2007, 8, 1165–1183. [Google Scholar] [CrossRef]
- Hu, Q.; Yang, D.; Wang, Y.; Yang, H.J.S.C.T.S. Accuracy and spatio-temporal variation of high resolution satellite rainfall estimate over the Ganjiang River Basin. Sci. China Technol. Sci. 2013, 56, 853–865. [Google Scholar] [CrossRef]
- Liu, J.; Duan, Z.; Jiang, J.; Zhu, A.J.A.i.M. Evaluation of three satellite precipitation products TRMM 3B42, CMORPH, and PERSIANN over a subtropical watershed in China. Adv. Meteorol. 2015, 2015, 151239. [Google Scholar] [CrossRef]
- Hirpa, F.A.; Gebremichael, M.; Hopson, T. Climatology. Evaluation of high-resolution satellite precipitation products over very complex terrain in Ethiopia. AMS 2010, 49, 1044–1051. [Google Scholar]
- West, T.K.; Steenburgh, W.J.; Mace, G.G. Characteristics of Sea-Effect Clouds and Precipitation Over the Sea of Japan Region as Observed by A-Train Satellites. JGR Atmos. 2019, 124, 1322–1335. [Google Scholar] [CrossRef]
- Liu, J.; Xia, J.; She, D.X.; Li, L.C.; Wang, Q.; Zou, L. Evaluation of Six Satellite-Based Precipitation Products and Their Ability for Capturing Characteristics of Extreme Precipitation Events over a Climate Transition Area in China. Remote Sens. 2019, 11, 1477. [Google Scholar] [CrossRef]
- Chen, C.; Chen, Q.W.; Duan, Z.; Zhang, J.Y.; Mo, K.L.; Li, Z.; Tang, G.Q. Multiscale Comparative Evaluation of the GPM IMERG v5 and TRMM 3B42 v7 Precipitation Products from 2015 to 2017 over a Climate Transition Area of China. Remote Sens. 2018, 10, 944. [Google Scholar] [CrossRef]
- Tan, M.L.; Duan, Z. Assessment of GPM and TRMM Precipitation Products over Singapore. Remote Sens. 2017, 9, 720. [Google Scholar] [CrossRef]
- Tang, G.Q.; Ma, Y.Z.; Long, D.; Zhong, L.Z.; Hong, Y. Evaluation of GPM Day-1 IMERG and TMPA Version-7 legacy products over Mainland China at multiple spatiotemporal scales. J. Hydrol. 2016, 533, 152–167. [Google Scholar] [CrossRef]
- Zhao, L.; Wu, J.J.; Fang, J. Robust Response of Streamflow Drought to Different Timescales of Meteorological Drought in Xiangjiang River Basin of China. Adv. Meteorol. 2016, 2016, 1634787. [Google Scholar] [CrossRef]
- Ji, L.; Peters, A.J. Assessing vegetation response to drought in the northern Great Plains using vegetation and drought indices. Remote Sens. Environ. 2003, 87, 85–98. [Google Scholar] [CrossRef]








| Dataset | Spatial Resolution | Temporal Resolution | Coverage | Time Span |
|---|---|---|---|---|
| CHIRPS v2.0 (0.25) | 0.25° × 0.25° | daily | 50° N–50° S | 1981 to present |
| CHIRPS v2.0 (0.05) | 0.05° × 0.05° | daily | 50° N–50° S | 1981 to present |
| CMORPH | 0.25° × 0.25° | daily | 60° N–60° S | 1998 to present |
| GPM IMERG V06 | 0.1° × 0.1° | daily | 60° N–60° S | 2001 to present |
| TRMM-3B42V7 | 0.25° × 0.25° | daily | 50° N–50° S | 2001 to 2018 |
| PERSIANN-CDR | 0.25° × 0.25° | daily | 60° N–60° S | 1983 to present |
| PERSIANN-CCS | 0.04° × 0.04° | daily | 60° N–60° S | 2003 to present |
| Index | Unit | Formula | Best Value |
| Bias | % | 0 | |
| R | NA | 1 | |
| RMSE | mm | 0 | |
| FBI | NA | 1 | |
| POD | NA | 1 | |
| FAR | NA | 0 | |
| ETS | NA | 1 |
| Index | Introduction | Unit |
|---|---|---|
| rx1day | Monthly maximum 1-day precipitation | mm |
| rx5day | Monthly maximum consecutive 5-day precipitation | mm |
| R95P | Annual total PRCP when RR > 95th percentile | mm |
| R99P | Annual total PRCP when RR > 99th percentile | mm |
| RCPRTOT | Annual total PRCP in wet days (RR ≥ 1 mm) | mm |
| r10 | Annual count of days when PRCP ≥ 10 mm | days |
| r20 | Annual count of days when PRCP ≥ 20 mm | days |
| CWD | Maximum number of consecutive days with RR ≥ 1 mm | days |
| SPI Value | Drought Level |
|---|---|
| 2.0 ≤ SPI | Extreme wet |
| 1.5 ≤ SPI < 2.0 | Very wet |
| 1 ≤ SPI < 1.5 | Moderate wet |
| −1.0 ≤ SPI < 1.0 | Normal |
| −1.5 ≤ SPI < −1.0 | Moderate drought |
| −2.0 ≤ SPI < −1.5 | Severe drought |
| SPI < −2.0 | Extreme drought |
| Upper Reaches | Middle Reaches | Lower Reaches | YRB | |
|---|---|---|---|---|
| CHIRPS (25) | 9.33 | 7.09 | 6.82 | 7.56 |
| CHIRPS (05) | 9.12 | 6.66 | 4.83 | 7.57 |
| CMORPH | 3.38 | 1.07 | 5.62 | 3.80 |
| GPM IMERG | 1.94 | 4.29 | 8.99 | 6.17 |
| TRMM | 25.93 | 9.23 | 6.43 | 14.30 |
| PERSIANN-CDR | 10.78 | −2.58 | 13.23 | 7.58 |
| PERSIANN-CCS | −4.66 | −50.03 | −32.04 | −36.33 |
| CHIRPS (25) | CHIRPS (05) | CMORPH | GPM IMERG | TRMM | PERSIANN-CDR | PERSIANN-CCS | ||
|---|---|---|---|---|---|---|---|---|
| Upper reaches | SPI–1 | 0.87 | 0.87 | 0.92 | 0.92 | 0.66 | 0.86 | 0.40 |
| SPI–3 | 0.85 | 0.86 | 0.93 | 0.94 | 0.65 | 0.86 | 0.25 | |
| SPI–6 | 0.87 | 0.88 | 0.93 | 0.96 | 0.67 | 0.88 | 0.14 | |
| SPI–12 | 0.86 | 0.86 | 0.95 | 0.96 | 0.64 | 0.88 | 0.04 | |
| Middle reaches | SPI–1 | 0.91 | 0.91 | 0.95 | 0.97 | 0.79 | 0.93 | 0.49 |
| SPI–3 | 0.91 | 0.91 | 0.95 | 0.97 | 0.71 | 0.93 | 0.47 | |
| SPI–6 | 0.93 | 0.93 | 0.97 | 0.98 | 0.79 | 0.95 | 0.57 | |
| SPI–12 | 0.93 | 0.93 | 0.98 | 0.99 | 0.88 | 0.94 | 0.46 | |
| Low reaches | SPI–1 | 0.92 | 0.92 | 0.94 | 0.96 | 0.70 | 0.89 | 0.48 |
| SPI–3 | 0.88 | 0.88 | 0.94 | 0.98 | 0.70 | 0.87 | 0.39 | |
| SPI–6 | 0.90 | 0.90 | 0.95 | 0.97 | 0.76 | 0.84 | 0.33 | |
| SPI–12 | 0.94 | 0.94 | 0.95 | 0.98 | 0.84 | 0.85 | 0.43 | |
© 2020 by the authors. Licensee MDPI, Basel, Switzerland. This article is an open access article distributed under the terms and conditions of the Creative Commons Attribution (CC BY) license (http://creativecommons.org/licenses/by/4.0/).
Share and Cite
Xiao, S.; Xia, J.; Zou, L. Evaluation of Multi-Satellite Precipitation Products and Their Ability in Capturing the Characteristics of Extreme Climate Events over the Yangtze River Basin, China. Water 2020, 12, 1179. https://doi.org/10.3390/w12041179
Xiao S, Xia J, Zou L. Evaluation of Multi-Satellite Precipitation Products and Their Ability in Capturing the Characteristics of Extreme Climate Events over the Yangtze River Basin, China. Water. 2020; 12(4):1179. https://doi.org/10.3390/w12041179
Chicago/Turabian StyleXiao, Shuai, Jun Xia, and Lei Zou. 2020. "Evaluation of Multi-Satellite Precipitation Products and Their Ability in Capturing the Characteristics of Extreme Climate Events over the Yangtze River Basin, China" Water 12, no. 4: 1179. https://doi.org/10.3390/w12041179
APA StyleXiao, S., Xia, J., & Zou, L. (2020). Evaluation of Multi-Satellite Precipitation Products and Their Ability in Capturing the Characteristics of Extreme Climate Events over the Yangtze River Basin, China. Water, 12(4), 1179. https://doi.org/10.3390/w12041179
