Effect of Inclination Angles on the Local Scour around a Submerged Cylinder
Abstract
1. Introduction
2. Numerical Model
2.1. Governing Equations of the Flow
2.2. Sediment Transport Model
3. Numerical Model Validation and Setup
3.1. Model Validation
3.2. Model Domain
3.3. Boundary Conditions
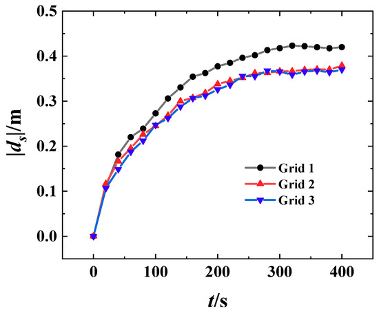
3.4. Model Grids and Sensitivity Analysis of the Grid Size
4. Results and Discussion
4.1. Flow Fields in front of the Cylinder
4.2. Flow Fields behind the Cylinder
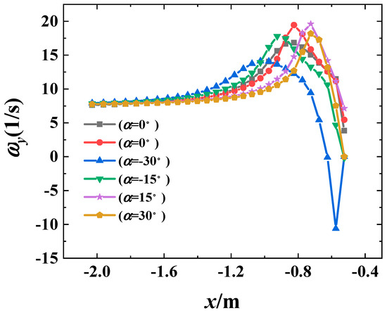
4.3. Vorticity Distribution in front of the Cylinder
4.4. The Distribution of the Bed Shear Stress
4.5. The Morphology around the Cylinder
4.6. Research Limitation and Future Interest
5. Conclusions
- (1)
- The strength of the downflow in front of the cylinder changes monotonically with the inclination angle α. When the cylinder inclines to the upstream, the strength of the downflow increases with the inclination angle. In cases of downstream inclination, the strength of the downflow decreases with the inclination angle.
- (2)
- The inclination changes the position and the strength of the horseshoe vortex. For the upstream-inclined cylinder, the strength of the horseshoe vortex in front of the cylinder is suppressed, while the distance between the horseshoe vortex and the cylinder increases in comparison with the vertical case. When the cylinder inclines towards downstream, the horseshoe vortex gets closer to the cylinder, while the vortex strength depends on the inclination angle. For a small inclination angle (α = 15°), the strength of the horseshoe vortex slightly increases compared with the vertical case. When the inclination angle increases to 30°, the strength of the horseshoe vortex decreases compared with the vertical case.
- (3)
- The local scour around a submerged inclined cylinder is dominated by the interaction of the downflow and the horseshoe vortex. The maximum scour depth decreases with the inclination angle for the downstream-inclined cylinder, while for the upstream-inclined cylinder, the scour depth does not vary monotonically with the inclination angle.
- (4)
- The inclination of the cylinder also changes the morphology of the scour hole. When the cylinder inclines to the upstream, a more violent erosion takes place in front of the cylinder so that the scour hole moves to the upstream. For the downstream-inclined cylinder, the scour depth in front of the cylinder decreases, while the scour on the sides of the cylinder becomes more obvious. for the upstream-inclined cylinder, the stronger downflow makes the bed surface in front of the cylinder more vulnerable to erosion, and the accelerated flow at the sides of the cylinder causes obvious scour on both sides of the cylinder for the downstream cases.
Author Contributions
Funding
Acknowledgments
Conflicts of Interest
References
- Melville, B.W.; Raudkivi, A.J. Flow characteristics in local scour at bridgr piers. J. Hydraul. Res. 1977, 15, 373–380. [Google Scholar] [CrossRef]
- Roulund, A.; Sumer, B.M.; Fredsøe, J.; Michelsen, J. Numerical and experimental investigation of flow and scour around a circular pile. J. Fluid Mech. 2005, 534, 351–401. [Google Scholar] [CrossRef]
- Kirkil, G.; Constantinescu, S.G.; Ettema, R. Coherent Structures in the Flow Field around a Circular Cylinder with Scour Hole. J. Hydraul. Eng. 2008, 134, 572–587. [Google Scholar] [CrossRef]
- Guan, D.; Chiew, Y.-M.; Wei, M.; Hsieh, S.-C. Characterization of horseshoe vortex in a developing scour hole at a cylindrical bridge pier. Int. J. Sediment Res. 2019, 34, 118–124. [Google Scholar] [CrossRef]
- Dargahi, B. The turbulent flow field around a circular cylinder. Exp. Fluids 1989, 8, 1–12. [Google Scholar] [CrossRef]
- Chen, Q.; Qi, M.; Zhong, Q.; Li, D. Experimental study on the multimodal dynamics of the turbulent horseshoe vortex system around a circular cylinder. Phys. Fluids 2017, 29, 15106. [Google Scholar] [CrossRef]
- Li, J.; Qi, M.; Fuhrman, D.R.; Chen, Q. Influence of turbulent horseshoe vortex and associated bed shear stress on sediment transport in front of a cylinder. Exp. Therm. Fluid Sci. 2018, 97, 444–457. [Google Scholar] [CrossRef]
- Unger, J.; Hager, W.H. Down-flow and horseshoe vortex characteristics of sediment embedded bridge piers. Exp. Fluids 2006, 42, 1–19. [Google Scholar] [CrossRef]
- Ettema, R.; Kirkil, G.; Muste, M. Similitude of Large-Scale Turbulence in Experiments on Local Scour at Cylinders. J. Hydraul. Eng. 2006, 132, 33–40. [Google Scholar] [CrossRef]
- Kirkil, G.; Constantinescu, G.; Ettema, R. Detached Eddy Simulation Investigation of Turbulence at a Circular Pier with Scour Hole. J. Hydraul. Eng. 2009, 135, 888–901. [Google Scholar] [CrossRef]
- Escauriaza, C.; Sotiropoulos, F. Initial stages of erosion and bed form development in a turbulent flow around a cylindrical pier. J. Geophys. Res. Space Phys. 2011, 116, 1–24. [Google Scholar] [CrossRef]
- Khosronejad, A.; Kang, S.; Sotiropoulos, F. Experimental and computational investigation of local scour around bridge piers. Adv. Water Resour. 2012, 37, 73–85. [Google Scholar] [CrossRef]
- Sadeque, M.A.; Rajaratnam, N.; Loewen, M. Flow around Cylinders in Open Channels. J. Eng. Mech. 2008, 134, 60–71. [Google Scholar] [CrossRef]
- Dey, S.; Raikar, R.V.; Roy, A. Scour at Submerged Cylindrical Obstacles under Steady Flow. J. Hydraul. Eng. 2008, 134, 105–109. [Google Scholar] [CrossRef]
- Yao, W.; An, H.; Draper, S.; Cheng, L.; Harris, J.M. Experimental investigation of local scour around submerged piles in steady current. Coast. Eng. 2018, 142, 27–41. [Google Scholar] [CrossRef]
- Zhao, M.; Cheng, L.; Zang, Z. Experimental and numerical investigation of local scour around a submerged vertical circular cylinder in steady currents. Coast. Eng. 2010, 57, 709–721. [Google Scholar] [CrossRef]
- Xie, L.; Liang, Z.; Wang, M.; Li, H.; Li, Y.; Su, T.-C. Horizontal Planar Scale Test of Local Scour at Submerged Monopile. J. Coast. Res. 2019, 93, 298–303. [Google Scholar] [CrossRef]
- Euler, T.; Herget, J. Obstacle-Reynolds-number based analysis of local scour at submerged cylinders. J. Hydraul. Res. 2011, 49, 267–271. [Google Scholar] [CrossRef]
- Bozkus, Z.; Yildiz, O. Effects of Inclination of Bridge Piers on Scouring Depth. J. Hydraul. Eng. 2004, 130, 827–832. [Google Scholar] [CrossRef]
- Vaghefi, M.; Ghodsian, M.; Salimi, S. The effect of circular bridge piers with different inclination angles toward downstream on scour. Sadhana 2016, 41, 75–86. [Google Scholar] [CrossRef]
- Euler, T.; Zemke, J.J.; Rodrigues, S.; Herget, J. Influence of inclination and permeability of solitary woody riparian plants on local hydraulic and sedimentary processes. Hydrol. Process. 2013, 28, 1358–1371. [Google Scholar] [CrossRef]
- Kitsikoudis, V.; Kirca, V.O.; Yagci, O.; Celik, M.F. Clear-water scour and flow field alteration around an inclined pile. Coast. Eng. 2017, 129, 59–73. [Google Scholar] [CrossRef]
- Norris, B.K.; Mullarney, J.C.; Bryan, K.R.; Henderson, S.M. Turbulence Within Natural Mangrove Pneumatophore Canopies. J. Geophys. Res. Oceans 2019, 124, 2263–2288. [Google Scholar] [CrossRef]
- Cruz, F.; Pereira, E.; Lima, M.; Johnson, J.; Duarte, D.; Valente, I.B.; Miranda, T.; Maslov, D.; Pinheiro, M. Experimental characterization of the scour of innovative artificial reef prototypes using hydraulic flume and photogrammetry. In OCEANS 2019 MTS/IEEE Marseille; IEEE: Piscataway, NJ, USA, 2019; pp. 1–10. [Google Scholar]
- Zhao, F.; Yin, G.; Ong, M.C. Numerical study on flow around partially buried two-dimensional ribs at high Reynolds numbers. Ocean Eng. 2020, 198, 106988. [Google Scholar] [CrossRef]
- Bauri, K.P.; Sarkar, A. Flow and scour around vertical submerged structures. Sadhana 2016, 41, 1039–1053. [Google Scholar] [CrossRef]
- Zhang, Q.; Zhou, X.-L.; Wang, J.-H. Numerical investigation of local scour around three adjacent piles with different arrangements under current. Ocean Eng. 2017, 142, 625–638. [Google Scholar] [CrossRef]
- Bradbrook, K.F.; Lane, S.N.; Richards, K.S.; Biron, P.M.; Roy, A.G. Role of Bed Discordance at Asymmetrical River Confluences. J. Hydraul. Eng. 2001, 127, 351–368. [Google Scholar] [CrossRef]
- Salaheldin, T.M.; Imran, J.; Chaudhry, M.H. Numerical Modeling of Three-Dimensional Flow Field Around Circular Piers. J. Hydraul. Eng. 2004, 130, 91–100. [Google Scholar] [CrossRef]
- Soulsby, R. Dynamics of Marine Sands; Thomas Telford Publications: London, UK, 1998. [Google Scholar]
- van Rijn, L.C. Sediment transport mechanisms I. Bed-load transport. J. Hydraul. Eng. 1984, 110, 1434–1456. [Google Scholar] [CrossRef]
- Winterwerp, J.C.; Bakker, W.T.; Mastbergen, D.R.; Van Rossum, H. Hyperconcentrated Sand?Water Mixture Flows over Erodible Bed. J. Hydraul. Eng. 1992, 118, 1508–1525. [Google Scholar] [CrossRef]
- Li, S.; Yang, H. 3D numerical simulation on local scour around a cylinder under steady flow. J. Waterw. Harb. 2018, 39, 519–527. (In Chinese) [Google Scholar]
- Zhang, J.; Gao, P.; Zheng, J.; Wu, X.; Peng, Y. Current-induced seabed scour around a pile-supported horizontal-axis tidal stream turbine. J. Mar. Sci. Tech. Jpn. 2015, 23, 929–936. [Google Scholar]
- Aghaee, Y.; Hakimzadeh, H. Three dimensional numerical modeling of flow around bridge piers using LES and RANS. River Flow 2010, 2010, 211–218. [Google Scholar]
- Euler, T.; Herget, J.; Schlömer, O.; Benito, G. Hydromorphological processes at submerged solitary boulder obstacles in streams. Catena 2017, 157, 250–267. [Google Scholar] [CrossRef]
- Majd, S.F.; Yagci, O.; Kirca, O.; Vasileios Kitsikoudis, E.L. Flow and Turbulence around an Inclined Pile. In Proceedings of the Twenty-sixth (2016) International Ocean and Polar Engineering Conference, Rhodes, Greece, 26 June–2 July 2016; pp. 1087–1093. [Google Scholar]















| V(m/s) | h(m) | hs(m) | D(m) | D50(mm) | ρs(m3/kg) |
|---|---|---|---|---|---|
| 2.5 | 2 | 1 | 1 | 5 | 2650 |
| Case Number | hc/m | α (°) |
|---|---|---|
| 1 | 3.0 | 0 |
| 2 | 1.0 | 0 |
| 3 | 1.0 | −30 |
| 4 | 1.0 | −15 |
| 5 | 1.0 | 15 |
| 6 | 1.0 | 30 |
| Grid Number | Total Cells | Minimum Mesh Size |
|---|---|---|
| Grid 1 | 9.28 × 105 | 0.08D |
| Grid 2 | 1.74 × 106 | 0.05D |
| Grid 3 | 3.19 × 106 | 0.04D |
© 2020 by the authors. Licensee MDPI, Basel, Switzerland. This article is an open access article distributed under the terms and conditions of the Creative Commons Attribution (CC BY) license (http://creativecommons.org/licenses/by/4.0/).
Share and Cite
Wang, S.; Yang, S.; He, Z.; Li, L.; Xia, Y. Effect of Inclination Angles on the Local Scour around a Submerged Cylinder. Water 2020, 12, 2687. https://doi.org/10.3390/w12102687
Wang S, Yang S, He Z, Li L, Xia Y. Effect of Inclination Angles on the Local Scour around a Submerged Cylinder. Water. 2020; 12(10):2687. https://doi.org/10.3390/w12102687
Chicago/Turabian StyleWang, Shaohua, Shiyu Yang, Zhiguo He, Li Li, and Yuezhang Xia. 2020. "Effect of Inclination Angles on the Local Scour around a Submerged Cylinder" Water 12, no. 10: 2687. https://doi.org/10.3390/w12102687
APA StyleWang, S., Yang, S., He, Z., Li, L., & Xia, Y. (2020). Effect of Inclination Angles on the Local Scour around a Submerged Cylinder. Water, 12(10), 2687. https://doi.org/10.3390/w12102687

