A Non-Uniform Broadcast Fertilization Method and Its Performance Analysis under Basin Irrigation
Abstract
1. Introduction
2. Non-Uniform Broadcast Fertilization Method
3. Materials and Methods
3.1. Field Experiment
3.1.1. Experimental Area Overview
3.1.2. Field Experimental Design
3.1.3. Experimental Observation and Test Methods
3.2. Solute Transport Model for Broadcast Fertilization
3.2.1. Model Introduction
3.2.2. Boundary Conditions
3.2.3. Simulation Conditions and Boundary Selection
3.2.4. Numerical Simulation Experimental Design
3.3. Evaluation Indexes
3.3.1. Variation Index
3.3.2. Fertilization Performance Indexes
3.3.3. Numerical Simulation Metrics
4. Results and Analysis
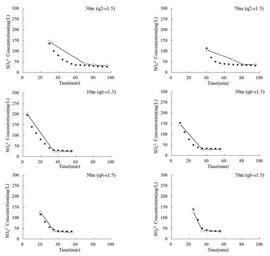
4.1. The Variability of Fertilizer Concentration in the Surface Water Flow
4.2. The Spatial Distribution of Fertilizer Concentration in the Soil
4.3. The Evaluation of the Fertilization Performance
4.4. Simulation Analysis of Influence of Non-uniform Application Coefficient on Fertilization Performance
4.4.1. Model Validation
4.4.2. The Variation of Fertilization Performance with Non-uniform Application Coefficient
5. Discussion
6. Conclusions
- (1)
- The non-uniform broadcast fertilization method could weaken the “backward warping “, which was caused by the accumulation of fertilizer in the tail of the basin caused by the advance of irrigation water and the solid fertilizer migration, and could effectively improve fertilization uniformity and fertilization efficiency. Under the six treatments of the designed experiments, the most effective combination of non-uniform application coefficient and inflow rate increased its fertilization uniformity and fertilization storage efficiency by 20.6% and 21.1%, compared with uniform broadcast fertilization.
- (2)
- The numerical simulation results successfully showed the effects of basin length, inflow rate and non-uniform application coefficient on fertilization uniformity and storage efficiency. With the increase of non-uniform application coefficient, the fertilization uniformity and storage efficiency increased first and then decreased. And for different basin length and inflow rate the optimum non-uniform application coefficient is different. The results showed that the higher basin length and inflow rate had greater potential to fertilization performance improvement by adopting non-uniform broadcast fertilization method. In order to be practically applicable, this paper presents a combination of the basin length, inflow rate, and non-uniform application coefficient with highest fertilization performance. In addition, in areas where it is not convenient to use the non-uniform broadcast fertilization method, smaller basin length and inflow rate will also improve the uniformity and storage efficiency of fertilization.
Author Contributions
Funding
Acknowledgments
Conflicts of Interest
References
- Adamala, S.; Raghuwanshi, N.S.; Mishra, A. Development of Surface Irrigation Systems Design and Evaluation Software (SIDES). Comput. Electron. Agric. 2014, 100, 100–109. [Google Scholar] [CrossRef]
- Amer, A.M. Effects of water infiltration and storage in cultivated soil on surface irrigation. Agric. Water Manag. 2011, 98, 815–822. [Google Scholar] [CrossRef]
- Bai, M.J.; Li, Y.N.; Pereira, L.S.; Xu, D.; Cai, L.G. Evaluation of the field water application efficiency for basin irrigation at the regional scale. In Land and Water Management: Decision Tools and Practices, Proceedings of the 7th Inter-Regional Conference Environment and Water, Beijing, China, OCT 11-14, 2004; Huang, G.H., Pereira, L.S., Eds.; China Agriculture Press: Beijing, China, 2004; Volume 1, pp. 101–108. [Google Scholar]
- Cao, Q.; Cui, Z.L.; Chen, X.P.; Khosla, R.; Dao, T.H.; Miao, Y.X. Quantifying spatial variability of indigenous nitrogen supply for precision nitrogen management in small scale farming. Precis. Agric. 2012, 13, 45–61. [Google Scholar] [CrossRef]
- Jin, L.B.; Cui, H.Y.; Li, B.; Zhang, J.W.; Dong, S.T.; Liu, P. Effects of integrated agronomic management practices on yield and nitrogen efficiency of summer maize in North China. Field Crops Res. 2012, 134, 30–35. [Google Scholar] [CrossRef]
- Meng, Q.F.; Sun, Q.P.; Chen, X.P.; Cui, Z.L.; Yue, S.C.; Zhang, F.S.; Römheld, V. Alternative cropping systems for sustainable water and nitrogen use in the North China Plain. Agric. Ecosyst. Environ. 2012, 146, 93–102. [Google Scholar] [CrossRef]
- Miao, Y.X.; Stewart, B.A.; Zhang, F.S. Long-term experiments for sustainable nutrient management in China. A review. Agron. Sustain. Dev. 2011, 31, 397–414. [Google Scholar] [CrossRef]
- Guo, J.H.; Liu, X.J.; Zhang, Y.; Shen, J.L.; Han, W.X.; Zhang, W.F.; Christie, P.; Goulding, K.W.T.; Vitousek, P.M.; Zhang, F.S. Significant acidification in major Chinese croplands. Science 2010, 327, 1008–1010. [Google Scholar] [CrossRef] [PubMed]
- Ju, X.T.; Kou, C.L.; Zhang, F.S.; Christie, P. Nitrogen balance and groundwater nitrate contamination: Comparison among three intensive cropping systems on the North China Plain. Environ. Pollut. 2006, 143, 117–125. [Google Scholar] [CrossRef]
- Liu, X.J.; Ju, X.T.; Zhang, Y.; He, C.; Kopsch, J.; Zhang, F.S. Nitrogen deposition in agroecosystems in the Beijing area. Agric. Ecosyst. Environ. 2006, 113, 370–377. [Google Scholar] [CrossRef]
- Zhu, Z.L.; Chen, D.L. Nitrogen fertilizer use in China–contributions to food production, impacts on the environment and best management strategies. Nutr. Cycl. Agroecosyst. 2002, 63, 117–127. [Google Scholar] [CrossRef]
- Chen, X.P.; Cui, Z.L.; Vitousek, P.M.; Cassman, K.G.; Matson, P.A.; Bai, J.S.; Meng, Q.F.; Hou, P.; Yue, S.C.; Römheld, V. Integrated soil–crop system management for food security. Proc. Natl. Acad. Sci. USA 2011, 108, 6399–6404. [Google Scholar] [CrossRef] [PubMed]
- Fang, Q.X.; Ma, L.; Green, T.R.; Yu, Q.; Wang, T.D.; Ahuja, L.R. Water resources and water use efficiency in the North China Plain: Current status and agronomic management options. Agric. Water Manag. 2010, 97, 1102–1116. [Google Scholar] [CrossRef]
- Lv, P.; Zhang, J.W.; Liu, W.; Yang, J.S.; Liu, P.; Dong, S.T.; Li, D.H. Effects of nitrogen application dates on yield and nitrogen use efficiency of summer maize in super-high yield conditions. Plant Nutr. Fertil. Sci. 2011, 17, 1099–1107, (In Chinese with English Abstract). [Google Scholar]
- Bar-Yosef, B. Advances in fertigation. Adv. Agron. 1999, 65, 1–77. [Google Scholar]
- Demir, V.; Yurdem, H.; Degirmencioglu, A. Development of prediction models for friction losses in drip irrigation laterals equipped with integrated in-line and on-line emitters using dimensional analysis. Biosyst. Eng. 2007, 96, 617–631. [Google Scholar] [CrossRef]
- Ella, V.B.; Reyes, M.R.; Yoder, R. Effect of hydraulic head and slope on water distribution uniformity of a low-cost drip irrigation system. Appl. Eng. Agric. 2009, 25, 349–356. [Google Scholar] [CrossRef]
- Yurdem, H.; Demir, V.; Mancuhan, A. Development of a simplified model for predicting the optimum lengths of drip irrigation laterals with coextruded cylindrical in-line emitters. Biosyst. Eng. 2015, 137, 22–35. [Google Scholar] [CrossRef]
- Burguete, J.; Zapata, N.; García-Navarro, P.; Maïkaka, M. Fertigation in furrows and level furrow systems. II: Field experiments, model calibration, and practical applications. J. Irrig. Drain. Eng. 2009, 135, 413–420. [Google Scholar] [CrossRef][Green Version]
- Playán, E.; Faci, J.M. Border fertigation: Field experiments and a simple model. Agric. Sci. 1997, 17, 163–171. [Google Scholar] [CrossRef]
- Jaynes, D.B.; Rice, R.C.; Hunsaker, D.J. Solute transport during chemigation of a level basin. Trans. ASAE 1992, 35, 1809–1815. [Google Scholar] [CrossRef]
- Abbasi, F.; Feyen, J.; Roth, R.L. Water flow and solute transport in furrow-irrigated fields. Agric. Sci. 2003, 22, 57–65. [Google Scholar] [CrossRef]
- Abbasi, F.; Feyen, J.; Douglas, J.; Feyen, J.; Shouse, P.; van Genuchten, M.T. Effects of Flow Depth on Water Flow and Solute Transport in Furrow Irrigation: Field Data Analysis. J. Irrig. Drain. Eng. 2003, 129, 237–246. [Google Scholar] [CrossRef]
- Abbasi, F.; Feyen, J.; van Genuchten, M.T.; Feyen, J.; Adamsen, F.J.; Hunsaker, D.J.; Strelkoff, T.S.; Shouse, P. Overland water flow and solute transport: Model development and field-data analysis. J. Irrig. Drain. Eng. 2003, 129, 71–81. [Google Scholar] [CrossRef]
- Adamsen, F.J.; Hunsaker, D.J.; Perea, H. Border strip fertigation: Effect of injection strategies on the distribution of bromide. Trans. ASAE 2005, 48, 529–540. [Google Scholar] [CrossRef]
- Bai, M.J.; Xu, D.; Zhang, S.H.; Li, Y.N. Spatial–temporal distribution characteristics of water-nitrogen and performance evaluation for basin irrigation with conventional fertilization and fertigation methods. Agric. Water Manag. 2013, 126, 75–84. [Google Scholar] [CrossRef]
- Yu, F. Experiment Study on Water and Nitrogen Distribution for Surface Irrigation; China Institute of Water Resources and Hydropower Research: Beijing, China, 2007. [Google Scholar]
- Liang, Y.P.; Xu, D.; Li, Y.N.; Bai, M.J. Field experiment on water and nitrogen distribution for winter wheat under border strip fertigation. Trans. CSAE 2009, 25, 22–27, (In Chinese with English Abstract). [Google Scholar]
- Bai, M.J.; Xu, D.; Li, Y.N.; Zhang, S.H. Spatial and temporal distribution of nitrogen in surface water and soil under scattering and fertigating ammonium-sulphate for border irrigation. Trans. CSAE 2011, 27, 19–24, (In Chinese with English Abstract). [Google Scholar]
- Zhang, S.H.; Xu, D.; Bai, M.J.; Li, Y.N. Fertilizer performance evaluation for fertigation and conventional fertilization in basin irrigation with ammonium-sulphate application. Trans. CSAE 2012, 22, 111–115, (In Chinese with English Abstract). [Google Scholar]
- Bai, M.J.; Xu, D.; Li, Y.N. Experimental study on spatial distribution of soil water and inorganic nitrogen under border irrigation after scattering urea. J. Hydraul. Eng. 2010, 41, 1254–1260, (In Chinese with English Abstract). [Google Scholar]
- Liu, Y.; Jiao, X.Y.; Zhang, X.; Wang, Z.T. Variation of Nitrogen Concentration in Border Irrigation Surface Water under Surface Fertilizing. J. Irrig. Drain. 2013, 5, 36–39, (In Chinese with English Abstract). [Google Scholar]
- Zhang, S.H. Modeling and Application of Basin Surface Water Flow and Solute Transport with Two Fertilization Methods; China Institute of Water Resources and Hydropower Research: Beijing, China, 2012. [Google Scholar]
- Ju, X.T.; Pan, J.R.; Liu, X.J.; Zhang, F.S. Study on the fate of nitrogen fertilizer in winter wheat summer maize rotation system in Beijing suburban. Plant Nutr. Fertil. Sci. 2003, 9, 264–270. [Google Scholar]
- Brandford, S.F.; Sanders, B.F. Finite-volume model for shallow-water flooding of arbitrary topography. J. Hydraul. Eng. 2002, 128, 289–298. [Google Scholar] [CrossRef]
- Zhang, S.H.; Xu, D.; Li, Y.N.; Bai, M.J. One-dimensional surface flow and solute transport model for basin irrigation in traditional surface application of fertilizer. J. Hydraul. Eng. ASCE 2012, 138, 104–110. [Google Scholar] [CrossRef]
- Tartakovsky, A.M.; Meakin, P.; Scheibe, T.D.; West, R.M.E. Simulation of reactive transport and precipitation with smoothed particle hydrodynamics. J. Comput. Phys. 2007, 222, 654–672. [Google Scholar] [CrossRef]
- Bai, M.J.; Xu, D.; Li, Y.N. Simulating effects of microtopography distribution difference on basin irrigation process and performances. Trans. CSAE 2008, 24, 1–6, (In Chinese with English Abstract). [Google Scholar]
- Zhang, Z.S.; Cui, G.X.; Xu, X.C. Theory and Application of Numerical Simulation of Large Eddy in Turbulence; Tsinghua University Press: Beijing, China, 2008. [Google Scholar]
- Liu, G.Q.; Ma, L.X.; Xing, Z.Y. Chemical Engineer Physical Properties Nomograph Manual; Chemical Industry Press: Beijing, China, 2002. [Google Scholar]
- Zerihun, D.; Sanchez, C.A.; Farrell-Poe, K.L.; Adamsen, F.J.; Hunsaker, D.J. Performance indices for surface N fertigation. J. Irrig. Drain. Eng. 2003, 129, 173–184. [Google Scholar] [CrossRef]
- Russel, R.S.; Shorrocks, V.M. The relationship between transpiration and the absorption of inorganic ions by intact plants. J. Exp. Bot. 1959, 10, 301–316. [Google Scholar] [CrossRef]
- Xu, D.; Li, Y.N.; Li, F.X. Analysis of Economic Feasibility of Laser-Controlled Leveling Procedure. Trans. CSAE 2000, 16, 33–37, (In Chinese with English Abstract). [Google Scholar]
- Schoups, G.; Hopmans, J.W.; Tanji, K.K. Evaluation of model complexity and space-time resolution on the prediction of long-term soil salinity dynamics, western San Joaquin Valley, California. Hydrol. Process. 2006, 20, 2647–2668. [Google Scholar] [CrossRef]
- Zha, Y.Y.; Yeh, T.C.J.; Illman, W.A.; Onoe, H.; Mok, C.M.W.; Wen, J.C.; Huang, S.Y.; Wang, W.K. Incorporating geologic information into hydraulic tomograhpy: A general framework based on geostatistical approach. Water Resour. Res. 2017, 53, 2850–2876. [Google Scholar] [CrossRef]









| Depth | Percentage of Soil Particle (%) | Soil Texture | Dry Density | Saturated-Water Content * (%) | ||
|---|---|---|---|---|---|---|
| (cm) | 2~0.02 mm | 0.002~0.02 mm | <0.002 mm | (g/cm3) | ||
| 0~20 | 70.43 | 29.52 | 0.05 | Sandy loam | 1.38 | 44 |
| 20~40 | 66.53 | 33.37 | 0.10 | Sandy loam | 1.48 | 46 |
| 40~100 | 65.72 | 34.25 | 0.03 | Sandy loam | 1.38 | 45 |
| Treatment | Inflow Rate (L/(m·s)) | Non-Uniform Application Coefficient | The Amount of Nitrogen (kg/hm2) | Irrigation Amount (mm) |
|---|---|---|---|---|
| I (q2-s0) | 2 | 0 | 200 | 103 |
| II (q2-s1) | 2 | 1 | ||
| III (q2-s1.5) | 2 | 1.5 | ||
| IV (q6-s0) | 6 | 0 | ||
| V (q6-s1) | 6 | 1 | ||
| VI (q6-s1.5) | 6 | 1.5 |
| Non-Uniform Application Coefficient | Section Number | |||||||||
|---|---|---|---|---|---|---|---|---|---|---|
| 1 | 2 | 3 | 4 | 5 | 6 | 7 | 8 | 9 | 10 | |
| 0 | 1.62 | 1.62 | 1.62 | 1.62 | 1.62 | 1.62 | 1.62 | 1.62 | 1.62 | 1.62 |
| 1 | 3.08 | 2.75 | 2.43 | 2.11 | 1.78 | 1.46 | 1.13 | 0.81 | 0.49 | 0.16 |
| 1.5 | 3.80 | 3.29 | 2.78 | 2.28 | 1.77 | 1.27 | 0.76 | 0.25 | 0 | 0 |
| Sampling Time | Coefficient of Variation (Cv) | |||||
|---|---|---|---|---|---|---|
| I (q2-s0) | II (q2-s1) | III (q2s-1.5) | IV (q6-s0) | V (q6-s1) | VI (q6-s1.5) | |
| Time 1 | 0.22 | 0.12 | 0.42 | 0.31 | 0.24 | 0.28 |
| Time 2 | 0.85 | 0.61 | 0.48 | 1.08 | 0.51 | 0.49 |
| Time 3 | 0.60 | 0.40 | 0.19 | 0.46 | 0.24 | 0.17 |
| Time 4 | 0.44 | 0.19 | 0.14 | 0.38 | 0.10 | 0.12 |
| Depth (cm) | Coefficient of Variation (Cv) | |||||
|---|---|---|---|---|---|---|
| I (q2-s0) | II (q2-s1) | III (q2s-1.5) | IV (q6-s0) | V (q6-s1) | VI (q6-s1.5) | |
| (0~20) | 0.21 | 0.11 | 0.13 | 0.19 | 0.08 | 0.18 |
| (20~40) | 0.18 | 0.07 | 0.11 | 0.13 | 0.08 | 0.14 |
| (40~60) | 0.10 | 0.05 | 0.05 | 0.10 | 0.07 | 0.09 |
| (60~80) | 0.09 | 0.06 | 0.07 | 0.06 | 0.09 | 0.10 |
| (0~80) | 0.24 | 0.07 | 0.15 | 0.27 | 0.09 | 0.17 |
| Fertilization Performance Index | Fertilization Mode | |||||
|---|---|---|---|---|---|---|
| I (q2-s0) | II (q2-s1) | III (q2-s1.5) | IV (q6-s0) | V (q6-s1) | VI (q6-s1.5) | |
| UCC * (%) | 69.8 bc | 76.0 abc | 72.0 abc | 64.7 c | 85.3 a | 78.8 ab |
| Ea * (%) | 55.5 bc | 62.5 b | 56 bc | 50.3 c | 71.4 a | 60.7 b |
| Q L/(m·s) | ARE (%) | |||
|---|---|---|---|---|
| 10 m | 30 m | 50 m | 70 m | |
| 2 | 8.51 | 6.94 | 7.47 | 13.91 |
| 6 | 7.56 | 8.05 | 6.60 | 9.74 |
| Q (L/(m·s)) | L (m) | ||||||||
|---|---|---|---|---|---|---|---|---|---|
| 60 | 100 | 150 | |||||||
| Coefficient * | UCC | Ea | Coefficient * | UCC | Ea | Coefficient * | UCC | Ea | |
| 2 | 0.2 | 82.5% | 72.0% | 0.4 | 84.2% | 72.5% | 0.6 | 87.5% | 70.0% |
| 4 | 0.4 | 85.0% | 75.0% | 0.6 | 87.0% | 73.5% | 0.8 | 89.0% | 73.0% |
| 6 | 0.6 | 85.7% | 74.8% | 0.8 | 87.7% | 74.0% | 1.0 | 89.7% | 73.5% |
© 2020 by the authors. Licensee MDPI, Basel, Switzerland. This article is an open access article distributed under the terms and conditions of the Creative Commons Attribution (CC BY) license (http://creativecommons.org/licenses/by/4.0/).
Share and Cite
Zhang, K.; Bai, M.; Li, Y.; Zhang, S.; Xu, D. A Non-Uniform Broadcast Fertilization Method and Its Performance Analysis under Basin Irrigation. Water 2020, 12, 292. https://doi.org/10.3390/w12010292
Zhang K, Bai M, Li Y, Zhang S, Xu D. A Non-Uniform Broadcast Fertilization Method and Its Performance Analysis under Basin Irrigation. Water. 2020; 12(1):292. https://doi.org/10.3390/w12010292
Chicago/Turabian StyleZhang, Kai, Meijian Bai, Yinong Li, Shaohui Zhang, and Di Xu. 2020. "A Non-Uniform Broadcast Fertilization Method and Its Performance Analysis under Basin Irrigation" Water 12, no. 1: 292. https://doi.org/10.3390/w12010292
APA StyleZhang, K., Bai, M., Li, Y., Zhang, S., & Xu, D. (2020). A Non-Uniform Broadcast Fertilization Method and Its Performance Analysis under Basin Irrigation. Water, 12(1), 292. https://doi.org/10.3390/w12010292
