Evolution of Hydrodynamic Characteristics with Scour Hole Developing around a Pile Group
Abstract
1. Introduction
2. Experimental Setup and Methodology
3. Hydrodynamic Characteristics for Developing Scour Holes
3.1. Evolution of Time-Averaged Flow and Characteristics
3.2. Evolution of Time-Averaged Flow and Characteristics
3.3. Bed Shear Velocity with the Scour Hole Development
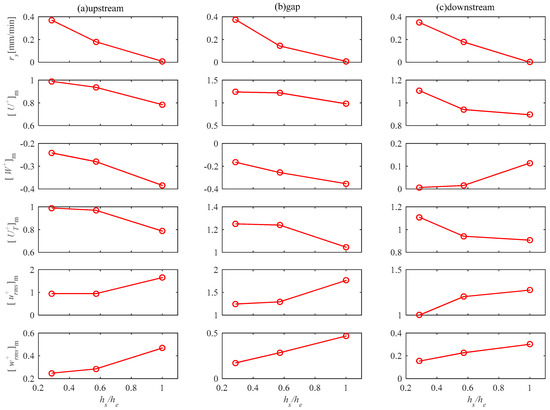
4. Spatial Variation of Flow Characteristics
4.1. Mean Streamline around the Pile Group
4.2. Variation of Mean Velocity Profiles
4.3. Similarity of Turbulence Characteristics
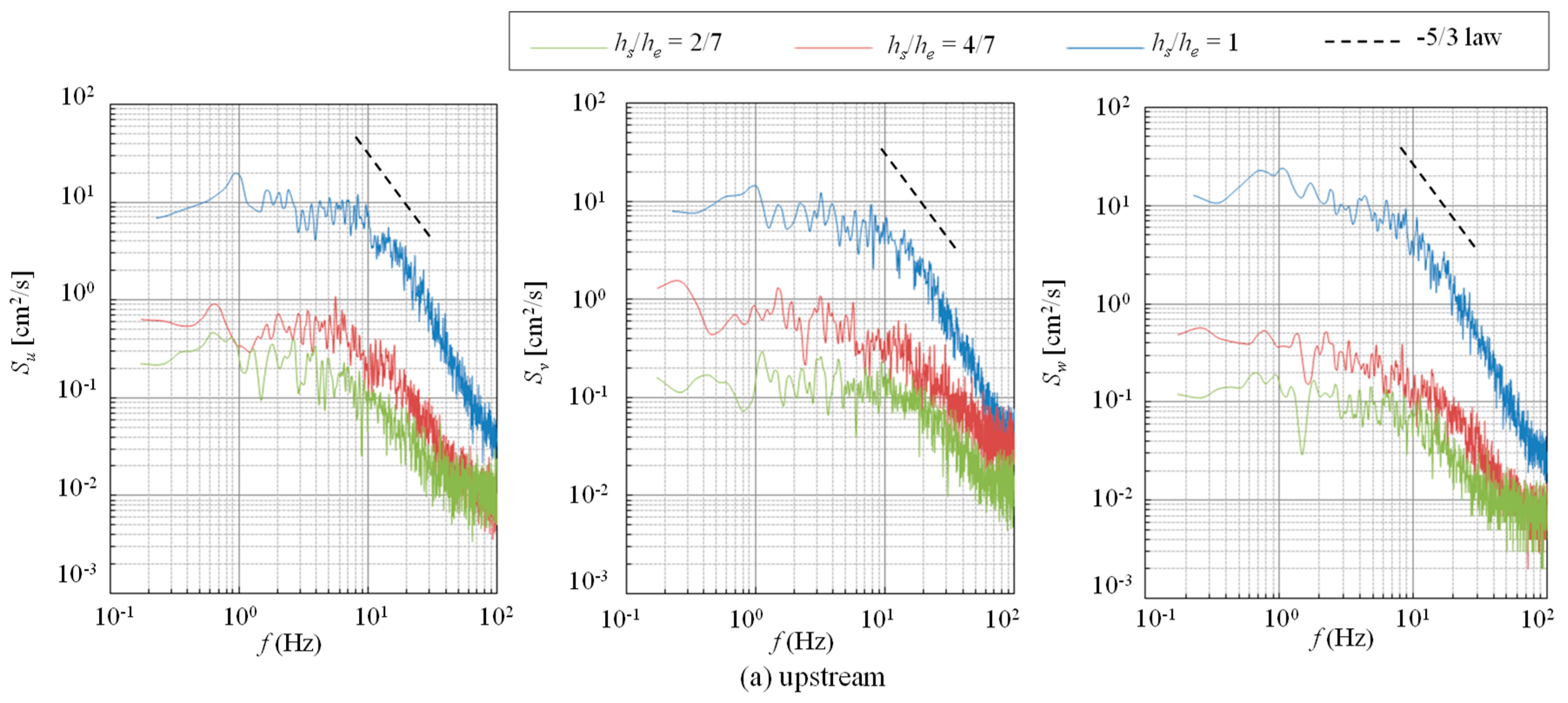
5. Energy Spectra Analysis
6. Conclusions
- Under the present conditions of the pile group arrangement, the reverse flow, downward flow, and horseshoe vortex were observed in the symmetry plane of the upstream region. With the development of scour holes, the size of the horseshoe vortex increased, whereas the vorticity induced by the horseshoe vortex decreased.
- As the scour depth increased, the mean flow intensity generally decreased, while the turbulence became more intense simultaneously, indicating that much more mean energy was transferred to the turbulent energy in the late scouring process. The main factor driving sediment transport (i.e., mean flow) was weakened and thus may cause the decrease of scour rate.
- The bed shear velocity within the scour hole was apparently lower compared to that in the approach region outside of the scour hole. A negative peak of the bed shear stress was found near the pile in the upstream region due to the effect of the horseshoe vortex. With the development of the scour hole, the magnitude of the bed shear velocity was generally reduced.
- An individual horseshoe vortex was formed around each pile in the intermediate scour hole, whereas an integral vortex system was formed in the equilibrium scour hole due to the merging of horseshoe vortexes. The local flow pattern in the gap region between the two tandem piles from reattachment regime turned into an extended-body regime, also implying that the four piles behaved more like a single bluff body as the dimensions of the scour hole increased.
- The turbulence intensities inside the pile group were relatively large. The vertical distribution of turbulence intensity kept similarity at different locations around the pile group and could collapse in a narrow band.
- The energy spectra density distribution shows that with the scour hole development, the large-scale horseshoe vortex system was more stable and the dissipation of small-scale eddies were more significant. Meanwhile, the formation and regular shedding of large-scale roller vortices behind the pile group was suppressed due to the expansion of the scour hole.
Author Contributions
Acknowledgments
Conflicts of Interest
References
- Rui, L.; Fael, C.; Maia, R. Clear-Water Scour at Pile Groups. J. Hydraul. Eng. 2013, 139, 1089–1098. [Google Scholar] [CrossRef]
- Vittal, N.; Kothyari, U.C.; Haghighat, M. Clear Water Scour around Bridge Pier Group. J. Hydraul. Eng. 1994, 120, 1309–1318. [Google Scholar] [CrossRef]
- Sheppard, D.M.; Melville, B.W.; Demir, H. Evaluation of existing equations for local scour at bridge piers. J. Hydraul. Eng. 2013, 140, 14–23. [Google Scholar] [CrossRef]
- Arneson, L.A.; Zevenbergen, L.W.; Lagasse, P.F. Evaluating Scour at Bridges, 5th ed.; Hydraulic Engineering Circular No. 18 (HEC-18); Federal Highway Administration: Washington, DC, USA, 2012; pp. 168–215.
- Brandimarte, L.; Paron, P.; Baldassarre, G.D. Bridge pier scour: A review of processes, measurements and estimates. Environ. Eng. Manag. J. 2012, 11, 975–989. [Google Scholar] [CrossRef]
- Ataie-Ashtiani, B.; Beheshti, A.A. Experimental Investigation of Clear-Water Local Scour at Pile Groups. J. Hydraul. Eng. 2006, 132, 1100–1104. [Google Scholar] [CrossRef]
- Bayram, A.; Larson, M. Analysis of scour around a group of vertical piles in the field. J. Waterw. Port Coast. Ocean Eng. 2000, 126, 215–220. [Google Scholar] [CrossRef]
- Liang, F.; Wang, C.; Huang, M.; Wang, Y. Experimental observations and evaluations of formulae for local scour at pile groups in steady currents. Mar. Geotechnol. 2016, 35, 245–255. [Google Scholar] [CrossRef]
- Ettema, R.; Constantinescu, G.; Melville, B.W. Flow-field complexity and design estimation of pier-scour depth: Sixty years since Laursen and Toch. J. Hydraul. Eng. 2017, 143, 03117006. [Google Scholar] [CrossRef]
- Qi, M.; Li, J.; Chen, Q. Comparison of existing equations for local scour at bridge piers: Parameter influence and validation. Nat. Hazards 2016, 82, 2089–2105. [Google Scholar] [CrossRef]
- Ribberink, J.S.; Katopodi, I.; Ramadan, K.A.H.; Koelewijn, R.; Longo, S. Sediment transport under (non)-linear waves and currents. In Proceedings of the 24th International Conference on Coastal Engineering, Kobe, Japan, 15–20 June 1994; pp. 2527–2541. [Google Scholar] [CrossRef]
- Longo, S. Two-Phase Flow Modeling of Sediment Motion in Sheet-Flows above Plane Beds. J. Hydraul. Eng. 2005, 131, 366–379. [Google Scholar] [CrossRef]
- Melville, B.W.; Raudkivi, A.J. Flow characteristics in local scour at bridge piers. J. Hydraul. Res. 1977, 15, 373–380. [Google Scholar] [CrossRef]
- Graf, W.H.; Istiarto, I. Flow pattern in the scour hole around a cylinder. J. Hydraul. Res. 2002, 40, 13–20. [Google Scholar] [CrossRef]
- Muzzammil, M.; Gangadhariah, T. The mean characteristics of horseshoe vortex at a cylindrical pier. J. Hydraul. Res. 2003, 41, 285–297. [Google Scholar] [CrossRef]
- Muzzammil, M.; Gangadharaiah, T.; Gupta, A.K. An experimental investigation of a horseshoe vortex induced by a bridge pier. Water Manag. 2004, 157, 109–119. [Google Scholar] [CrossRef]
- Dey, S.; Raikar, R.V. Characteristics of horseshoe vortex in developing scour holes at piers. J. Hydraul. Eng. 2007, 133, 399–413. [Google Scholar] [CrossRef]
- Kumar, A.; Kothyari, U.C. Three-Dimensional Flow Characteristics within the Scour Hole around Circular Uniform and Compound Piers. J. Hydraul. Eng. 2012, 138, 420–429. [Google Scholar] [CrossRef]
- Kumar, A.; Kothyari, U.C.; Raju, K.G.R. Flow structure and scour around circular compound bridge piers—A review. J. Hydro-Environ. Res. 2012, 6, 251–265. [Google Scholar] [CrossRef]
- Das, S.; Das, R.; Mazumdar, A. Circulation characteristics of horseshoe vortex in scour region around circular piers. Water Sci. Eng. 2013, 6, 59–77. [Google Scholar] [CrossRef]
- Das, S.; Das, R.; Mazumdar, A. Vorticity and Circulation of Horseshoe Vortex in Equilibrium Scour Holes at Different Piers. J. Inst. Eng. 2014, 95, 109–115. [Google Scholar] [CrossRef]
- Kirkil, G.; Constantinescu, G.; Ettema, R. Detached eddy simulation investigation of turbulence at a circular pier with scour hole. J. Hydraul. Eng. 2009, 135, 888–901. [Google Scholar] [CrossRef]
- Kirkil, G.; Constantinescu, S.G.; Ettema, R. Coherent Structures in the Flow Field around a Circular Cylinder with Scour Hole. J. Hydraul. Eng. 2008, 134, 82–84. [Google Scholar] [CrossRef]
- Link, O.; González, C.; Maldonado, M.; Escauriaza, C. Coherent structure dynamics and sediment particle motion around a cylindrical pier in developing scour holes. Acta Geophys. 2012, 60, 1689–1719. [Google Scholar] [CrossRef]
- Ataie-Ashtiani, B.; Aslani-Kordkandi, A. Flow Field Around Single and Tandem Piers. Flow Turbul. Combust. 2013, 90, 471–490. [Google Scholar] [CrossRef]
- Beheshti, A.A.; Ataie-Ashtiani, B. Scour Hole Influence on Turbulent Flow Field around Complex Bridge Piers. Flow Turbul. Combust. 2016, 97, 1–24. [Google Scholar] [CrossRef]
- Ataie-Ashtiani, B.; Aslani-Kordkandi, A. Flow field around side-by-side piers with and without a scour hole. Eur. J. Mech. 2012, 36, 152–166. [Google Scholar] [CrossRef]
- Das, S.; Mazumdar, A. Turbulence flow field around two eccentric circular piers in scour hole. Int. J. River Basin Manag. 2015, 13, 343–361. [Google Scholar] [CrossRef]
- Zdravkovich, M.M. The effects of interference between circular cylinders in cross flow. J. Fluids Struct. 1987, 1, 239–261. [Google Scholar] [CrossRef]
- Sumner, D. Two circular cylinders in cross-flow: A review. J. Fluids Struct. 2010, 26, 849–899. [Google Scholar] [CrossRef]
- Kim, H.S.; Nabi, M.; Kimura, I. Computational modeling of flow and morphodynamics through rigid-emergent vegetation. Adv. Water Resour. 2015, 84, 64–86. [Google Scholar] [CrossRef]
- Wang, D.; Shao, S.; Li, S.; Shi, Y.; Arikawa, T.; Zhang, H. 3D ISPH erosion model for flow passing a vertical cylinder. J. Fluids Struct. 2018, 78, 374–399. [Google Scholar] [CrossRef]
- Graf, W.H.; Yulistiyanto, B. Experiments on flow around a cylinder; the velocity and vorticity fields. J. Hydraul. Res. 1998, 36, 637–654. [Google Scholar] [CrossRef]
- Kitsikoudis, V.; Kirca, V.S.O.; Yagci, O.; Celik, M.F. Clear-water scour and flow field alteration around an inclined pile. Coast. Eng. 2017, 129, 59–73. [Google Scholar] [CrossRef]
- Wahl, T.L. Discussion of “Despiking Acoustic Doppler Velocimeter Data” by Derek G. Goring and Vladimir I. Nikora. J. Hydraul. Eng. 2003, 129, 484–487. [Google Scholar] [CrossRef]
- Longo, S.; Chiapponi, L.; Clavero, M. Experimental analysis of the coherent structures and turbulence past a hydrofoil in stalling condition beneath a water–air interface. Eur. J. Mech. B Fluids 2014, 43, 172–182. [Google Scholar] [CrossRef]
- Ligrani, P.M.; Moffat, R.J. Structure of transitionally rough and fully rough turbulent boundary layers. J. Fluid Mech. 1986, 162, 69–98. [Google Scholar] [CrossRef]
- Baker, C.J. The laminar horseshoe vortex. J. Fluid Mech. 1979, 95, 347–367. [Google Scholar] [CrossRef]
- Escauriaza, C.; Sotiropoulos, F. Reynolds number effects on the coherent dynamics of the turbulent horseshoe vortex system. Flow Turbul. Combust. 2011, 86, 231–262. [Google Scholar] [CrossRef]
- Kirkil, G.; Constantinescu, G.; Ettema, R. The Horseshoe Vortex System Around a Circular Bridge Pier on Equilibrium Scoured Bed. Am. Soc. Civ. Eng. 2005, 1–12. [Google Scholar] [CrossRef]
- Debnath, K.; Manik, M.K.; Mazumder, B.S. Turbulence statistics of flow over scoured cohesive sediment bed around circular cylinder. Adv. Water Resour. 2012, 41, 18–28. [Google Scholar] [CrossRef]
- Amini, A.; Melville, B.W.; Ali, T.M.; Ghazali, A.H. Clear-Water Local Scour around Pile Groups in Shallow-Water Flow. J. Hydraul. Eng. 2012, 138, 177–185. [Google Scholar] [CrossRef]
- Wang, H.; Tang, H.; Liu, Q.; Wang, Y. Local Scouring around Twin Bridge Piers in Open-Channel Flows. J. Hydraul. Eng. 2016, 142, 06016008. [Google Scholar] [CrossRef]
- Kim, H.S.; Nabi, M.; Kimura, I.; Shimizu, Y. Numerical investigation of local scour at two adjacent cylinders. Adv. Water Resour. 2014, 70, 131–147. [Google Scholar] [CrossRef]
- Petti, M.; Longo, S. Turbulence experiments in the swash zone. Coast. Eng. 2001, 43, 1–24. [Google Scholar] [CrossRef]
- Sumner, D.; Wong, S.S.T.; Price, S.J.; Paidoussis, M.P. Fluid behavior of side-by-side circular cylinders in steady cross-flow. J. Fluids Struct. 1999, 13, 309–338. [Google Scholar] [CrossRef]



















© 2018 by the authors. Licensee MDPI, Basel, Switzerland. This article is an open access article distributed under the terms and conditions of the Creative Commons Attribution (CC BY) license (http://creativecommons.org/licenses/by/4.0/).
Share and Cite
Yang, Y.; Qi, M.; Li, J.; Ma, X. Evolution of Hydrodynamic Characteristics with Scour Hole Developing around a Pile Group. Water 2018, 10, 1632. https://doi.org/10.3390/w10111632
Yang Y, Qi M, Li J, Ma X. Evolution of Hydrodynamic Characteristics with Scour Hole Developing around a Pile Group. Water. 2018; 10(11):1632. https://doi.org/10.3390/w10111632
Chicago/Turabian StyleYang, Yilin, Meilan Qi, Jinzhao Li, and Xiaodong Ma. 2018. "Evolution of Hydrodynamic Characteristics with Scour Hole Developing around a Pile Group" Water 10, no. 11: 1632. https://doi.org/10.3390/w10111632
APA StyleYang, Y., Qi, M., Li, J., & Ma, X. (2018). Evolution of Hydrodynamic Characteristics with Scour Hole Developing around a Pile Group. Water, 10(11), 1632. https://doi.org/10.3390/w10111632
