Spatial Distribution Characteristics of Rainfall for Two-Jet Collisions in Air
Abstract
:1. Introduction
2. Model Design and Experiment
3. Experimental Results and Discussion
3.1. Spatial Distribution Characteristics of Rainfall Intensity
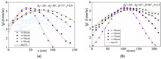
3.2. Rainfall Intensity Distribution on the x-Axis
3.3. Trajectory Line after the Collision on the x-Axis
4. Conclusions
Author Contributions
Funding
Conflicts of Interest
References
- Li, N.-W. Study on the Non-Collision Way of Flood Discharge and Energy Dissipation in High Arch Dams with Contracting Spillways and Middle Level Outlets; Sichuan University: Chengdu, China, 2008. [Google Scholar]
- Li, N.-W.; Xu, W.-L.; Zhou, M.-L.; Tian, Z. Experimental study on energy dissipation of flood discharge in high arch dams without impact of jets in air. J. Hydraul. Eng. 2008, 39, 927–933. [Google Scholar]
- Shuangke, S. Summary of research on flood discharge and energy dissipation of high dams in China. J. China Inst. Water Resour. Hydropower Res. 2009, 7, 89–95. [Google Scholar]
- Bai, R.; Zhang, F.; Liu, S.; Wang, W. Air concentration and bubble characteristics downstream of a chute aerator. Int. J. Multiph. Flow 2016, 87, 156–166. [Google Scholar] [CrossRef]
- Bai, R.; Liu, S.; Tian, Z.; Wang, W.; Zhang, F. Experimental investigations on air-water flow properties of offse-aerator. J. Hydraul. Eng. 2017, 144, 04017059. [Google Scholar] [CrossRef]
- Li, S.; Zhang, J.; Xu, W.; Chen, J.; Peng, Y. Evolution of Pressure and Cavitation on Side Walls Affected by Lateral Divergence Angle and Opening of Radial Gate. J. Hydraul. Eng. 2016, 142, 05016003. [Google Scholar] [CrossRef]
- Bai, Z.; Peng, Y.; Zhang, J. Three-dimensional turbulence simulation of flow in a V-shaped stepped spillway. J. Hydraul. Eng. 2017, 143, 06017011. [Google Scholar] [CrossRef]
- Huang, G.; Wu, S.; Chen, H. Model test studies of atomized flow for high dams. Hydro-Sci. Eng. 2008, 2008, 91–94. [Google Scholar]
- Xue, L.-F. Influence of atomization on environment during flood discharge from dam and reducing measures. Sichuan Water Power 2005, 24, 104–107. [Google Scholar]
- Bai, R.; Liu, S.; Tian, Z.; Wang, W.; Zhang, F. Experimental investigation of the dissipation rate in a chute aerator flow. Exp. Therm. Fluid Sci. 2019, 101, 201–208. [Google Scholar] [CrossRef]
- Xiong, X.-L.; Ge, G. The collision energy dissipation between surface hole’s water tongue and middle hole’s water tongue of Ertan hydropower station. J. Hydropower Eng. Res. 1991, 1–10. (In Chinese) [Google Scholar]
- Chi-gong, G.Y.W. An optimal research on the energy dissipation by collision of two free jets in ertan hydroelectric plant. J. Chengdu Univ. Sci. Technol. 1992, 18, 17–24. [Google Scholar]
- Liu, P.; Dong, J.; Liu, Y. Computation of energy dissipation for impact of two jets in air. J. Hydraul. Eng. 1995, 7, 38–44. [Google Scholar]
- Diao, M.J.; Yang, Y.Q. Experimental study on two jets impact in air for energy dissipation. J. Sichuan Univ. (Eng. Sci. Ed.) 2002, 34, 13–15. [Google Scholar]
- Sun, J.; Li, Y.-Z. Hydraulic characteristics of water jets by air-collision in lateral direction and estimation on limiting riverbed scour. Chin. J. Appl. Mech. 2004, 21, 134–137. [Google Scholar]
- Sun, J.; Li, Y.-Z.; Yu, C.-Z. Limiting scour depth by the interaction of water jets from surface outlets with jets from mid-level outlets in high arch dams. J. Tsinghua Univ. (Sci. Technol.) 2002, 42, 564–568. [Google Scholar]
- Liang, Z.-C. A Computation Model for Atomization Flow. J. Hydrodyn. 1992, 7, 247–255. [Google Scholar]
- Liu, X.-L.; Zhang, W. The investigation of dynamic characteristics of jet-flow in open air. J. Hydroelectr. Eng. 1988, 2, 46–54. (In Chinese) [Google Scholar]
- Liu, X.-L.; Liu, J. Experiment study on the diffusion and aeration of three-dimensional jet. J. Hydraul. Eng. 1989, 11, 9–17. (In Chinese) [Google Scholar]
- Li, W.-X.; Wang, W.; Xu, W.-L.; Diao, M.-J. A rough method to calculate the range of atomized flow caused by jet impact. J. Sichuan Union Univ. (Eng. Sci. Ed.) 1999, 3, 17–23. [Google Scholar]
- Liu, S.-H.; Liang, Z.-C. On atomizing problems by jumping jet in hydropower station at narrow and deep valley. J. Wuhan Univ. Hydraul. Electr. Eng. 1997, 30, 6–9. [Google Scholar]
- Liu, S.-H.; Qu, B. Investigation on splash length of aerated jet. J. Wuhan Univ. Hydraul. Electr. Eng. 2003, 36, 5–8. [Google Scholar]
- Liu, S.-H. Study of the atomized flow in hydraulic engineering. J. Hydrodyn. 1999, 2, 77–83. [Google Scholar]
- Liu, S.-H.; Yin, S.-R.; Luo, Q.-S. Numerical simulation of atomized flow diffusion in deep and narrow goeges. Conf. Glob. Chin. Scholar Hydrodyn. 2006, 18, 515–518. [Google Scholar]
- Sun, S.-K.; Liu, Z.-P. Longitudinal range of atomized flow forming by discharge of spillways and outlet works in hydropower stations. J. Hydraul. Eng. 2003, 34, 53–58. [Google Scholar]
- Liu, H.-T.; Sun, S.-K.; Liu, Z.-P.; Wang, X.-S. Atomization prediction based on artificial neural networks for flood releasing of high dams. J. Hydraul. Eng. 2005, 36, 1241–1245. [Google Scholar]
- Lian, J.-J.; Liu, F.; Huang, C.-Y. Numerical study on effects of environmental wind and terrain on spray caused by jet from flip bucket. J. Hydraul. Eng. 2005, 36, 1147–1152. [Google Scholar]
- Sun, X.-F.; Liu, S.-H. Investigation on the motion of splash droplets in atomized flow. J. Hydrodyn. 2008, 23, 61–66. [Google Scholar]
- Wang, S.-Y.; Chen, D.; Hou, D.-M. Experimental Research on the Rainfall intensity in the Source Area of Flood Discharge Atomization. J. Yangtze River Sci. Res. Inst. 2013, 30, 70–74. [Google Scholar]
- Lian, J.-J.; Li, C.-Y.; Liu, F.; Wu, S.-Q. A prediction method of flood discharge atomization for high dams. J. Hydraul. Res. 2014, 52, 274–282. [Google Scholar] [CrossRef]
- Zhang, W.; Zhu, D. Far-field properties of aerated water jets in air. Int. J. Multiph. Flow 2015, 76, 158–167. [Google Scholar] [CrossRef]
- Taylor, G. Formation of thin flat sheets of water. Proc. R. Soc. 1960, 259, 1–17. [Google Scholar] [CrossRef]
- Dombrowski, N.; Hooper, P.C. A study of the sprays formed by impinging jets in laminar and turbulent flow. J. Fluid Mech. 1963, 18, 392–440. [Google Scholar] [CrossRef]
- Anderson, W.E.; Ryan, H.M.; Pal, S.; Santoro, R.J. Fundamental studies of impinging liquid jets. In Proceedings of the 30th AIAA, Aerospace Sciences Meeting and Exhibit, Reno, NV, USA, 6–9 January 1992; Volume 1, pp. 6–9. [Google Scholar]
- Ibrahim, E.A.; Przekwas, A.J. Impinging jets atomization. Phys. Fluids Fluid Dyn. 1991, 3, 2981–2987. [Google Scholar] [CrossRef]
- Choo, Y.J.; Kang, B.S. Parametric study on impinging-jet liquid sheet thickness distribution using an interferometric method. Exp. Fluids 2001, 31, 56–62. [Google Scholar] [CrossRef]
- Choo, Y.J.; Kang, B.S. The velocity distribution of the liquid sheet formed by two low-speed impinging jets. Phys. Fluids 2002, 14, 622–627. [Google Scholar] [CrossRef]
- Couto, H.S.; Bastos-Netto, D. Modeling droplet size distribution from impinging jets. J. Propul. Power 1989, 7, 654–656. [Google Scholar] [CrossRef]
- Choo, Y.J.; Kang, B.S. A study on the velocity characteristics of the liquid elements produced by two impinging jets. Exp. Fluids 2003, 34, 655–661. [Google Scholar] [CrossRef]
- Lee, C.H. An experimental study on the distribution of the drop size and velocity in asymmetric impinging jet sprays. J. Mech. Sci. Technol. 2008, 22, 608. [Google Scholar] [CrossRef]
- Fore, L.B.; Dukler, A.E. The distribution of drop size and velocity in gas-liquid annular flow. Int. J. Multiph. Flow 1995, 21, 137–149. [Google Scholar] [CrossRef]
















| Run | θ1 (°) | θ2 (°) | qm (m2/s) | qc (m2/s) | f | Q × 2/(qm + qc) |
|---|---|---|---|---|---|---|
| T1-1 | −30 | 0 | 0.0373 | 0.1236 | 0.3 | 103% |
| T1-2 | −30 | 0 | 0.0745 | 0.1236 | 0.6 | 95% |
| T1-3 | −30 | 0 | 0.0727 | 0.0800 | 0.9 | 102% |
| T1-4 | −30 | 0 | 0.1091 | 0.0800 | 1.3 | 104% |
| T1-5 | −30 | 0 | 0.1073 | 0.0436 | 2.5 | 98% |
| T1-6 | −30 | 0 | 0.1427 | 0.0436 | 3.2 | 104% |
| T2-1 | −30 | 30 | 0.0373 | 0.1236 | 0.3 | 95% |
| T2-2 | −30 | 30 | 0.0745 | 0.1236 | 0.6 | 110% |
| T2-3 | −30 | 30 | 0.0727 | 0.0800 | 0.9 | 102% |
| T2-4 | −30 | 30 | 0.1091 | 0.0800 | 1.3 | 105% |
| T2-5 | −30 | 30 | 0.1073 | 0.0436 | 2.5 | 103% |
| T2-6 | −30 | 30 | 0.1427 | 0.0436 | 3.2 | 92% |
| T3-1 | −30 | 45 | 0.0373 | 0.1236 | 0.3 | 111% |
| T3-2 | −30 | 45 | 0.0745 | 0.1236 | 0.6 | 94% |
| T3-3 | −30 | 45 | 0.0727 | 0.0800 | 0.9 | 103% |
| T3-4 | −30 | 45 | 0.1091 | 0.0800 | 1.3 | 106% |
| T3-5 | −30 | 45 | 0.1073 | 0.0436 | 2.5 | 108% |
| T3-6 | −30 | 45 | 0.1427 | 0.0436 | 3.2 | 111% |
© 2018 by the authors. Licensee MDPI, Basel, Switzerland. This article is an open access article distributed under the terms and conditions of the Creative Commons Attribution (CC BY) license (http://creativecommons.org/licenses/by/4.0/).
Share and Cite
Yuan, H.; Xu, W.; Li, R.; Feng, Y.; Hao, Y. Spatial Distribution Characteristics of Rainfall for Two-Jet Collisions in Air. Water 2018, 10, 1600. https://doi.org/10.3390/w10111600
Yuan H, Xu W, Li R, Feng Y, Hao Y. Spatial Distribution Characteristics of Rainfall for Two-Jet Collisions in Air. Water. 2018; 10(11):1600. https://doi.org/10.3390/w10111600
Chicago/Turabian StyleYuan, Hao, Weilin Xu, Rui Li, Yanzhang Feng, and Yafeng Hao. 2018. "Spatial Distribution Characteristics of Rainfall for Two-Jet Collisions in Air" Water 10, no. 11: 1600. https://doi.org/10.3390/w10111600
APA StyleYuan, H., Xu, W., Li, R., Feng, Y., & Hao, Y. (2018). Spatial Distribution Characteristics of Rainfall for Two-Jet Collisions in Air. Water, 10(11), 1600. https://doi.org/10.3390/w10111600
