Numerical Investigation of the Cooling Performance of Water Mist Spray Inside an Idealized 2D Street Canyon
Abstract
1. Introduction
2. Methodology
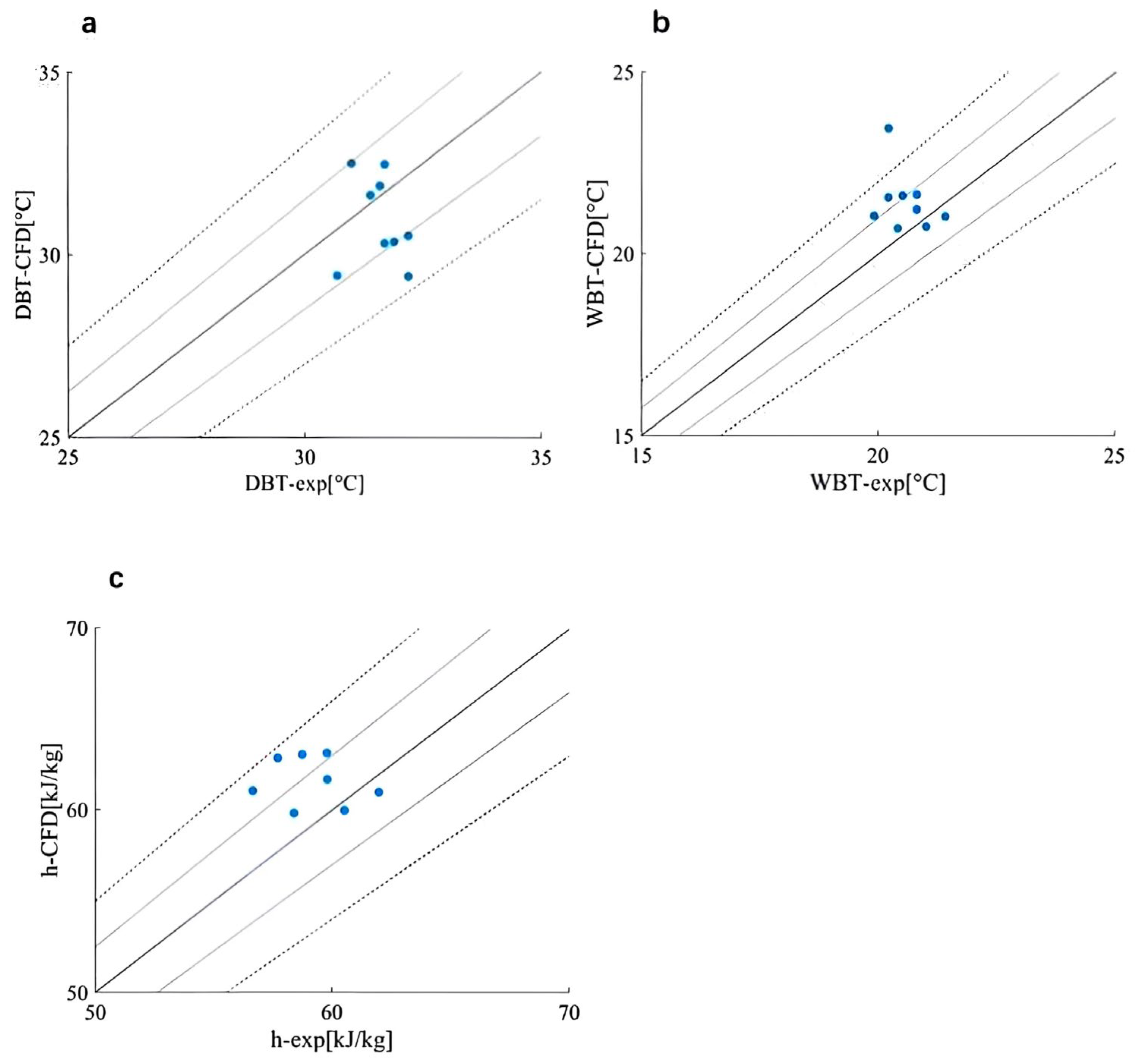
3. CFD Validation
4. CFD Model Description
4.1. Computational Geometry
4.2. Computational Grid
4.3. Boundary Condition
4.4. Numerical Settings
5. Results and Analysis
5.1. Wind Field Without Mist Spray
5.2. Temperature and RH Distribution of Case 1
5.3. Influences of Water Flow Rate
5.4. Influences of Spray Nozzle Height
5.5. Influences of the Background RH
5.6. Influences of Spray Nozzle Location
5.7. Comparison Between Nozzle Height and Water Flow Rate
6. Discussion
7. Conclusions and Future Work
- (1)
- Increasing the water flow rate significantly enhances the cooling efficiency within street canyons. Specifically, a stepwise increment of 0.3 L/min (e.g., from 0.6 to 1.2 L/min) reduces the minimum air temperature by 1.3 °C, while increasing the maximum RH by 7% in the canyon microenvironment.
- (2)
- Higher installation heights of spray nozzles can lead to a weakening of the mist cooling effect at pedestrian levels. For instance, the spray nozzle is raised for each meter (i.e., from 3 m to 5 m), the lowest temperature increases by 1.45 °C, and the maximum RH decreases by 7.4% inside the street canyon.
- (3)
- Elevated ambient RH enhances both humidification and cooling effects. Experimental results demonstrate that a 10% increase in background RH (from 50% to 70%) corresponds to a 0.3 °C increase in the minimum air temperature at pedestrian level, accompanied by an expansion of the humidified area within the street canyon.
- (4)
- When spray nozzles are installed adjacent to either windward- or leeward-side buildings, the resulting cooling and humidification effects are localized primarily beneath the spray nozzles. Notably, this configuration leads to a 0.9 °C rise in minimum temperature and a 5.2% reduction in maximum RH in surrounding areas, beyond the immediate spray zone.
- (5)
- Raising the installation height is more effective in maintaining the cooling zone proportion than decreasing the water flow rate.
Author Contributions
Funding
Data Availability Statement
Conflicts of Interest
Correction Statement
Appendix A. CFD Validation



References
- Ko, Y.J.; Elsagan, N. Investigation of the performance of fire suppression systems in protection of mass timber residential buildings. Indoor Built Environ. 2023, 32, 230–241. [Google Scholar] [CrossRef]
- Gomez-Acebo, I.; Llorca, J.; Dierssen, T. Cold-related mortality due to cardiovascular diseases, respiratory diseases and cancer: A case-crossover study. Public Health 2013, 127, 252–258. [Google Scholar] [CrossRef] [PubMed]
- Guo, Y.; Gasparrini, A.; Armstrong, B.; Li, S.; Tawatsupa, B.; Tobias, A.; Lavigne, E.; Zanotti Stagliorio Coelho, M.d.S.; Leone, M.; Pan, X.; et al. Global Variation in the Effects of Ambient Temperature on Mortality A Systematic Evaluation. Epidemiology 2014, 25, 781–789. [Google Scholar] [CrossRef] [PubMed]
- Zhou, H.Z.; Zhu, N.; Wang, Q.Q. Modelling and simulation of the urban heat island effect in a tropical seaside city considering multiple street canyons. Indoor Built Environ. 2021, 30, 1124–1141. [Google Scholar] [CrossRef]
- Li, X.; Zhou, Y.; Yu, S.; Jia, G.; Li, H.; Li, W. Urban heat island impacts on building energy consumption: A review of approaches and findings. Energy 2019, 174, 407–419. [Google Scholar] [CrossRef]
- Chen, L.; Mak, C.M. Integrated impacts of building height and upstream building on pedestrian comfort around ideal lift-up buildings in a weak wind environment. Build. Environ. 2021, 200, 107963. [Google Scholar] [CrossRef]
- Chen, L.; Mak, C.M.; Hang, J.; Dai, Y. Influence of elevated walkways on outdoor thermal comfort in hot-humid climates based on on-site measurement and CFD modeling. Sustain. Cities Soc. 2024, 100, 105048. [Google Scholar] [CrossRef]
- Chen, L.; Mak, C.M.; Hang, J.; Dai, Y.; Niu, J.; Tse, K.T. Large eddy simulation study on pedestrian-level wind environments around elevated walkways and influential factors in ideal urban street canyons. Build. Environ. 2023, 235, 110236. [Google Scholar] [CrossRef]
- Li, W.; Mak, C.M.; Cai, C.; Fu, Y.; Tse, K.T.; Niu, J. Wind tunnel measurement of pedestrian-level gust wind flow and comfort around irregular lift-up buildings within simplified urban arrays. Build. Environ. 2024, 256, 111487. [Google Scholar] [CrossRef]
- Dong, W.; Ma, D.P.; Lin, S.; Ye, S.; Wang, S.W.; Shen, L.; Chen, D.; Qiu, Y.Y.; Yang, B.; Cheng, T.L.; et al. The Dual Role of Urban Vegetation: Trade-Offs Between Thermal Regulation and Biogenic Volatile Organic Compound Emissions. Atmosphere 2025, 16, 385. [Google Scholar] [CrossRef]
- Junk, J.; Lett, C.; Trebs, I.; Hipler, E.; Torres-Matallana, J.A.; Lichti, R.; Matzarakis, A. Quantifying the Effects of Climate Change on the Urban Heat Island Intensity in Luxembourg-Sustainable Adaptation and Mitigation Strategies Through Urban Design. Atmosphere 2025, 16, 462. [Google Scholar] [CrossRef]
- Ming, T.Z.; Hu, Y.W.; Shi, T.H.; Li, Y.W.; Hu, S.J.; Yang, D.; Lv, B.; Peng, C.; Chen, Y.H. Effect of Blue-Green Infrastructure in Mitigating Microenvironmental Heat Islands: Field- and Simulation-Based Insights. Atmosphere 2025, 16, 134. [Google Scholar] [CrossRef]
- Taleghani, M.; Berardi, U. The effect of pavement characteristics on pedestrians’ thermal comfort in Toronto. Urban Clim. 2018, 24, 449–459. [Google Scholar] [CrossRef]
- Tomasso, L.P.; Studer, K.; Bloniarz, D.; Escandon, D.; Spengler, J.D. Development of Visualization Tools for Sharing Climate Cooling Strategies with Impacted Urban Communities. Atmosphere 2025, 16, 258. [Google Scholar] [CrossRef]
- Zhou, J.S.; Guo, C.; Hu, M.Q.; Tang, Y.N.; Zhou, L.J.; Chen, X.; Wang, Q.Q.; Zhu, X.T. How Did Plant Communities Impact Microclimate and Thermal Comfort in City Green Space: A Case Study in Zhejiang Province, China. Atmosphere 2025, 16, 390. [Google Scholar] [CrossRef]
- Zhang, C.F. Effects of water spray on smoke layer in buildings with natural venting. Indoor Built Environ. 2023, 32, 200–213. [Google Scholar] [CrossRef]
- Gao, Z.H.; Wang, P.; Cai, J.J.; Liu, M.G.; Li, L.J. Influence of the water spray particle diameter and flow rate on the smoke flow and the back-layering in tunnels with longitudinal ventilation. Indoor Built Environ. 2024, 33, 843–858. [Google Scholar] [CrossRef]
- Haeussermann, A.; Hartung, E.; Jungbluth, T.; Vranken, E.; Aerts, J.-M.; Berckmans, D. Cooling effects and evaporation characteristics of fogging systems in an experimental piggery. Biosyst. Eng. 2007, 97, 395–405. [Google Scholar] [CrossRef]
- Dombrovsky, L.A.; Solovjov, V.P.; Webb, B.W. Attenuation of solar radiation by a water mist from the ultraviolet to the infrared range. J. Quant. Spectrosc. Radiat. Transf. 2011, 112, 1182–1190. [Google Scholar] [CrossRef]
- Lotrecchiano, N.; Montano, L.; Bonapace, I.M.; Giancarlo, T.; Trucillo, P.; Sofia, D. Comparison Process of Blood Heavy Metals Absorption Linked to Measured Air Quality Data in Areas with High and Low Environmental Impact. Processes 2022, 10, 1409. [Google Scholar] [CrossRef]
- Zhang, C.; Yuan, S.; Zhang, N.; Li, C.; Li, H.; Yang, W. Dust-suppression and cooling effects of spray system installed between hydraulic supports in fully mechanized coal-mining face. Build. Environ. 2021, 204, 108106. [Google Scholar] [CrossRef]
- Meng, X.J.; Lv, Y.H.; Yang, H.G.; Wang, Y. The cooling effect of a spray fan in an indoor hot environment. Indoor Built Environ. 2021, 30, 851–858. [Google Scholar] [CrossRef]
- Xia, L.L.; Montazeri, H.; Blocken, B. On the accuracy of Eulerian-Lagrangian CFD simulations for spray On the accuracy of Eulerian-Lagrangian CFD simulations for spray evaporation in turbulent flow evaporation in turbulent flow. Int. J. Therm. Sci. 2025, 208, 109461. [Google Scholar] [CrossRef]
- Huang, C.; Ye, D.; Zhao, H.; Liang, T.; Lin, Z.; Yin, H.; Yang, Y. The research and application of spray cooling technology in Shanghai Expo. Appl. Therm. Eng. 2011, 31, 3726–3735. [Google Scholar] [CrossRef]
- Ulpiani, G.; Di Giuseppe, E.; Di Perna, C.; D'Orazio, M.; Zinzi, M. Thermal comfort improvement in urban spaces with water spray systems: Field measurements and survey. Build. Environ. 2019, 156, 46–61. [Google Scholar] [CrossRef]
- Zhang, M.; Xu, C.; Meng, L.; Meng, X. Outdoor comfort level improvement in the traffic waiting areas by using a mist spray system: An experiment and questionnaire study. Sustain. Cities Soc. 2021, 71, 102973. [Google Scholar] [CrossRef]
- Montazeri, H.; Toparlar, Y.; Blocken, B.; Hensen, J.L.M. Simulating the cooling effects of water spray systems in urban landscapes: A computational fluid dynamics study in Rotterdam, The Netherlands. Landsc. Urban Plan. 2017, 159, 85–100. [Google Scholar] [CrossRef]
- Kim, J.; Kang, J. Evaluating the efficiency of fog cooling for climate change adaptation in vulnerable groups: A case study of Daegu Metropolitan City. Build. Environ. 2022, 217, 109120. [Google Scholar] [CrossRef]
- Zhao, Y.; Zhao, K.; Zhang, X.; Zhang, Y.; Du, Z. Assessment of combined passive cooling strategies for improving outdoor thermal comfort in a school courtyard. Build. Environ. 2024, 252, 111247. [Google Scholar] [CrossRef]
- Yamada, H.; Yoon, G.; Okumiya, M.; Okuyama, H. Study of Cooling System with Water Mist Sprayers: Fundamental Examination of Particle Size Distribution and Cooling Effects. Build. Simul. 2008, 1, 214–222. [Google Scholar] [CrossRef]
- Yoon, G.; Yamada, H.; Okumiya, M. Study on a Cooling System Using Water Mist Sprayers: System Control Considering Outdoor Environment. In Proceedings of the Program and Abstracts of the 32nd International Conference Korea-Japan Joint Symposium on Human-Environment System, Cheju, Korea, 29–30 November 2008; pp. 104–107. Available online: https://www.google.com/url?sa=t&source=web&rct=j&opi=89978449&url=https://researchmap.jp/yoonlab/published_papers/21864538/attachment_file.pdf&ved=2ahUKEwitht_dhrePAxVxhf0HHTFNNMEQFnoECBcQAQ&usg=AOvVaw0pA7AGi4-u-mEBA0II6pTn (accessed on 13 May 2025).
- Salman, A.S.; Abdulrazzaq, N.M.; Tikadar, A.; Oudah, S.K.; Khan, J.A. Parametric study of heat transfer characteristics of enhanced surfaces in a spray cooling system: An experimental investigation. Appl. Therm. Eng. 2021, 183, 115824. [Google Scholar] [CrossRef]
- Peel, M.C.; Finlayson, B.L.; McMahon, T.A. Updated world map of the Koppen-Geiger climate classification. Hydrol. Earth Syst. Sci. 2007, 11, 1633–1644. [Google Scholar] [CrossRef]
- Huang, C.; Cai, J.; Lin, Z.F.; Zhang, Q.R.; Cui, Y.Z. Solving model of temperature and humidity profiles in spray cooling zone. Build. Environ. 2017, 123, 189–199. [Google Scholar] [CrossRef]
- Ge, L.M.; Gao, Y.; Meng, X. Effect of ethanol addition on enhancing the cooling performance improvement of spray system. Case Stud. Therm. Eng. 2024, 63, 105357. [Google Scholar] [CrossRef]
- Coccia, G.; Summa, S.; Di Giuseppe, E.; D'Orazio, M.; Zinzi, M.; Di Perna, C. Experimental evaluation of a water spray system for semi-outdoor spaces: Analysis of the effect of the operational parameters. Build. Environ. 2023, 241, 110456. [Google Scholar] [CrossRef]
- Farnham, C.; Nakao, M.; Nishioka, M.; Nabeshima, M.; Mizuno, T. Study of mist-cooling for semi-enclosed spaces in Osaka, Japan. In Proceedings of the Conference on Urban Environmental Pollution—Overcoming Obstacles to Sustainability and Quality of Life, Boston, MA, USA, 20–23 June 2010; pp. 228–238. [Google Scholar]
- Bao, J.; Wang, Y.; Xu, X.; Niu, X.; Liu, J.; Qiu, L. Analysis on the influences of atomization characteristics on heat transfer characteristics of spray cooling. Sustain. Cities Soc. 2019, 51, 101799. [Google Scholar] [CrossRef]
- Fahed, J.; Kinab, E.; Ginestet, S.; Adolphe, L. Impact of urban heat island mitigation measures on microclimate and pedestrian comfort in a dense urban district of Lebanon. Sustain. Cities Soc. 2020, 61, 102375. [Google Scholar] [CrossRef]
- Kim, J.; Kang, J. AI based temperature reduction effect model of fog cooling for human thermal comfort: Climate adaptation technology. Sustain. Cities Soc. 2023, 95, 104574. [Google Scholar] [CrossRef]
- Li, Y.; Hong, B.; Wang, Y.; Bai, H.; Chen, H. Assessing heat stress relief measures to enhance outdoor thermal comfort: A field study in China's cold region. Sustain. Cities Soc. 2022, 80, 103813. [Google Scholar] [CrossRef]
- Mao, H.; Meng, Q.; Li, S.; Qi, Q.; Wang, S.; Wang, J. Cooling effects of a mist-spraying system on ethylene tetrafluoroethylene cushion roofs in hot-humid areas: A case study in Guangzhou, China. Sustain. Cities Soc. 2021, 74, 103211. [Google Scholar] [CrossRef]
- Shi, W.; Yang, H.; Ma, X.; Liu, X. Techno-economic evaluation and environmental benefit of hybrid evaporative cooling system in hot-humid regions. Sustain. Cities Soc. 2023, 97, 104735. [Google Scholar] [CrossRef]
- Montazeri, H.; Blocken, B.; Hensen, J.L.M. Evaporative cooling by water spray systems: CFD simulation, experimental validation and sensitivity analysis. Build. Environ. 2015, 83, 129–141. [Google Scholar] [CrossRef]
- ANSYS Fluent 12. 0 Theory Guide; ANSYS Inc.: Canonsburg, PA, USA, 2009. [Google Scholar]
- Sureshkumar, R.; Kale, S.R.; Dhar, P.L. Heat and mass transfer processes between a water spray and ambient air—I. Experimental data. Appl. Therm. Eng. 2008, 28, 349–360. [Google Scholar] [CrossRef]
- Morsi, S.A.; Alexander, A.J. An investigation of particle trajectories in two-phase flow systems. J. Fluid Mech. 1972, 55, 193–208. [Google Scholar] [CrossRef]
- Sun, H.; Zhong, H.; Dik, A.; Ding, K.M.; Jimenez-Bescos, C.; Calautit, J.K. Numerical investigation of evaporative cooling strategies on the aero-thermal performance of courtyard buildings in hot-dry climates. Build. Environ. 2024, 258, 111588. [Google Scholar] [CrossRef]
- Ulpiani, G. Water mist spray for outdoor cooling: A systematic review of technologies, methods and impacts. Appl. Energy 2019, 254, 113647. [Google Scholar] [CrossRef]
- Yang, H.; Lam, C.K.C.; Lin, Y.; Chen, L.; Mattsson, M.; Sandberg, M.; Hayati, A.; Claesson, L.; Hang, J. Numerical investigations of Re-independence and influence of wall heating on flow characteristics and ventilation in full-scale 2D street canyons. Build. Environ. 2021, 189, 107510. [Google Scholar] [CrossRef]
- Zhang, K.; Chen, G.; Wang, X.; Liu, S.; Mak, C.M.; Fan, Y.; Hang, J. Numerical evaluations of urban design technique to reduce vehicular personal intake fraction in deep street canyons. Sci. Total Environ. 2019, 653, 968–994. [Google Scholar] [CrossRef]















| Case | Background RH [%] | Spray Installation Site | Spray Height [m] | Water Flow Rate [L/min] |
|---|---|---|---|---|
| 0 | 60 | -- | -- | -- |
| 1 | 60 | middle | 3 | 1.2 |
| 2 | 60 | middle | 3 | 0.9 |
| 3 | 60 | middle | 3 | 0.6 |
| 4 | 60 | middle | 4 | 1.2 |
| 5 | 60 | middle | 5 | 1.2 |
| 6 | 50 | middle | 3 | 1.2 |
| 7 | 70 | middle | 3 | 1.2 |
| 8 | 60 | left | 3 | 1.2 |
| 9 | 60 | right | 3 | 1.2 |
Disclaimer/Publisher’s Note: The statements, opinions and data contained in all publications are solely those of the individual author(s) and contributor(s) and not of MDPI and/or the editor(s). MDPI and/or the editor(s) disclaim responsibility for any injury to people or property resulting from any ideas, methods, instructions or products referred to in the content. |
© 2025 by the authors. Licensee MDPI, Basel, Switzerland. This article is an open access article distributed under the terms and conditions of the Creative Commons Attribution (CC BY) license (https://creativecommons.org/licenses/by/4.0/).
Share and Cite
Chen, H.; Meng, H.; Du, Y. Numerical Investigation of the Cooling Performance of Water Mist Spray Inside an Idealized 2D Street Canyon. Atmosphere 2025, 16, 1036. https://doi.org/10.3390/atmos16091036
Chen H, Meng H, Du Y. Numerical Investigation of the Cooling Performance of Water Mist Spray Inside an Idealized 2D Street Canyon. Atmosphere. 2025; 16(9):1036. https://doi.org/10.3390/atmos16091036
Chicago/Turabian StyleChen, Hongjie, Handong Meng, and Yaxing Du. 2025. "Numerical Investigation of the Cooling Performance of Water Mist Spray Inside an Idealized 2D Street Canyon" Atmosphere 16, no. 9: 1036. https://doi.org/10.3390/atmos16091036
APA StyleChen, H., Meng, H., & Du, Y. (2025). Numerical Investigation of the Cooling Performance of Water Mist Spray Inside an Idealized 2D Street Canyon. Atmosphere, 16(9), 1036. https://doi.org/10.3390/atmos16091036
