Next Article in Journal
Thermodynamic Study of a Mediterranean Cyclone with Tropical Characteristics in September 2020
Next Article in Special Issue
Research on Optimization of Urban Commercial District Layout Based on PM2.5 Diffusion Simulation
Previous Article in Journal
Analysis of the PM2.5/PM10 Ratio in Three Urban Areas of Northeastern Romania
 
 
Font Type:
Arial Georgia Verdana
Font Size:
Aa Aa Aa
Line Spacing:
Column Width:
Background:
Article

Long-Term Fine Particulate Matter (PM2.5) Trends and Exposure Patterns in the San Joaquin Valley of California

Health Sciences Research Institute, University of California, Merced, CA 95343, USA
*
Author to whom correspondence should be addressed.
Atmosphere 2025, 16(6), 721; https://doi.org/10.3390/atmos16060721
Submission received: 29 April 2025 / Revised: 29 May 2025 / Accepted: 12 June 2025 / Published: 14 June 2025

Abstract

Since 1989, California pollution control efforts have caused annual PM2.5 averages to decrease. Despite the decline in ambient air concentrations of PM2.5, the San Joaquin Valley (SJV) of California continues to violate the federal standard for PM2.5. This study evaluated PM2.5 trends, diurnal and seasonal patterns, pollution sources, and air quality improvements from 2000 to 2022 in the SJV. Hourly and daily PM2.5 data from CARB and EPA-certified monitors were analyzed using regression models, polar plots, and Air Quality Index (AQI) classification methods. Monthly PM2.5 concentrations peaked in winter (November–January) and during commute periods, with higher levels observed on Fridays and Saturdays. In this study, the highest daily PM2.5 levels observed in Fresno and Bakersfield occurred during the autumn, most likely due to agricultural activities and higher wind speeds, with daily values greater than 25 µgm−3 and 50 µgm−3, respectively. In contrast, in Clovis, the highest daily PM2.5 concentrations occurred in the winter during episodes characterized by low wind speeds, with values greater than 22 µgm−3. While PM2.5 has declined since 1999, progress has slowed significantly since 2010. However, all sites exceeded the new EPA standard of 9 µgm−3. Without substantial changes to emission sources, meeting federal standards will be difficult.

1. Introduction

The federal government of the United States of America has established National Ambient Air Quality Standards (NAAQS) for six criteria pollutants, including the standard for fine particulate matter (PM) of less than 2.5 microns in diameter (PM2.5) and PM of less than 10 microns in diameter (PM10). The purpose of the development and implementation of these standards was to remedy and prevent negative impacts to human health. Since 1989, California pollution control efforts via gaseous emissions have caused annual PM2.5 and PM10 averages to decrease in most sites [1]. Despite the decline in ambient air concentrations of PM2.5 and PM10, locations in the Central Valley of California have been violating the federal standard for PM2.5 and PM10; however, the PM10 standard has been under attainment since 2007 in some locations [2,3,4]. The PM2.5 air monitoring program has been in operation in California since 1998 for the purpose of providing information to determine which areas violate PM2.5 standards, as well as to identify sources and supporting research [4]. PM2.5 in the San Joaquin Valley (SJV) area differs throughout the year, with air concentrations driven by emission source activities and meteorological conditions [1].
The California SJV and its surrounding mountainous topography create meteorological conditions from this complex terrain that can cause a buildup of air pollutants with low mixing heights and poor dispersal (Figure 1).
These conditions and the emissions created by the activities of 4.3 million residents, transportation within and from other urban areas, and construction, industrial, and agricultural activities create high PM concentrations. The California Air Resources Board (CARB) calculates emissions estimates for the different activities that contribute to PM2.5. According to the latest 2020 annual average emission estimates, the main contributors to PM2.5 in the SJV include industrial processes, manufacturing fuel combustions, residential fuel combustion, farming operations, constructions and demolitions, paved and unpaved road dust, fugitive windblown dust, managed burning and disposal, cooking, mobile vehicles (on road and other with combustions engines), and wildfires [5]. Wildfires occur periodically, while large destructive wildfires occur episodically and emit large amounts of smoke that contribute directly and indirectly (through secondary aerosol formation) to high PM2.5 levels in the SJV [6]. Wildfire activity is expected to increase in California’s forests, which will directly affect the SJV.
Globally, exposure to PM2.5 air pollution is associated with millions of deaths annually [7]. It may be the leading environmental cause of death in the world. Epidemiological studies in California continue to provide evidence that PM2.5 ambient air pollution has been associated with all-cause mortality, as well as respiratory and cardiovascular mortality [8]. There are very few studies that have focused on the specific source components of PM2.5. Ambient PM2.5 and the subsequent health impacts are of great concern in California. In California, the major sources of ambient PM2.5 that have been found to be associated with all respiratory and asthma emergency department (ED) visits are vehicular emissions, biomass burning, and soil sources [9]. Short-term exposure to PM2.5 air pollution from anthropogenic sources and wildfires has been found to be associated with work loss due to sickness [10], which negatively impacts the California economy. The persistence of elevated PM2.5 concentrations is expected to exacerbate rates of cardiovascular and respiratory diseases, leading to increased hospitalizations, ED visits, and chronic disease management costs [11,12,13]. Based on a recent study from the SJV, PM2.5-related respiratory illnesses already contribute over USD 223.55 million annually in direct hospitalization costs [12]. However, if current PM2.5 trends continue or worsen, these healthcare costs are projected to rise significantly. These escalating healthcare costs will be borne by private insurers, as well as state and federal healthcare programs, including Medi-Cal, Medicare, and emergency assistance funds, further increasing the economic strain on public health resources [12,14].
Preterm birth, defined as birth happening before 37 weeks of gestation, is the leading cause of infant morbidity and mortality, and it increases the risk of poor health outcomes during childhood and adulthood [15,16]. Studies conducted in California have identified that exposure to PM2.5 during pregnancy is associated with preterm birth [16,17]. Black and Latino mothers were the most susceptible to PM2.5 exposure [16]. In California, Latino, Black, and Asian populations are found to live in areas with the highest PM2.5 concentrations [18]. The vulnerability of these underserved communities is important for public health policy. Further reductions in PM2.5 are possible. For example, during the COVID-19 pandemic self-quarantine measures in California, there was a slowdown of human activities that led to a decrease in PM2.5 and improved surface air quality [19].
Ambient PM2.5 monitoring in the SJV has been in operation since the year 2000. There are only a few studies that have characterized PM10 in the SJV air basin. These were conducted in the 1990s, but no study has investigated trends for PM2.5 in the area. In this study, we investigated trends, patterns, and air quality across the SJV of California from 2000 to 2022 for PM2.5. These trend and pattern analyses are important for tracking the success of regulatory activities and emission reduction programs to protect human health. The objective of this study is to determine if air quality is improving in the vulnerable communities of the SJV of California.

2. Materials and Methods

2.1. Site Study Location

The focus of this study is the SJV. The SJV is located in the southern half of the Central Valley of California. The SJV is largely rural and produces a significant part of the agricultural output of the state but also has large urban centers (Stockton/Modesto, Fresno, Visalia, and Bakersfield). The climate here includes hot, dry summers and mild winters with dense tule fog. Rain typically occurs during the winter and spring. The SJV is an ethnically diverse area, with about half the population being Latino. Additionally, the SJV has one of the highest percentages of the population living below the federal poverty line in the United States. The area has coastal ranges to the west and the Sierra Nevada to the east. These mountains tend to create poor dispersal conditions, and therefore, air pollutants can remain for extended periods of time, creating one of the most polluted air sheds in the country for PM2.5. This study uses long-term air quality data collected from Fresno, Clovis, and Bakersfield (Figure 1).

2.2. Data

Data is included for all years with an annual dataset (2001–2022). These sites were run by CARB. Additionally, in the discussion, a comparison to California sites uses data that goes back to 1998. Hourly PM2.5 air quality concentrations and meteorological data were downloaded from the CARB Air Quality and Meteorological Information System [20] for all years available (Bakersfield 2001–2022; Clovis 1991–2022; Fresno 2013–2022; Sacramento 2000–2022; and Visalia 2001–2020). Daily mean data was downloaded from the United States Environmental Protection Agency pre-generated data files (Environmental Protection Agency, 2023a) for all years available (1999–2022). This data is taken from monitors that meet the Federal Reference Method (FRM) or Federal Equivalent Methods (FEM) protocol. The monitors currently used to collect the data are Met One Inc. Beta Attenuation Monitors (BAMs). The BAM has been designated by the Environmental Protection Agency (EPA) as an FEM for measuring PM2.5. The BAM hourly measurements have a resolution of ±0.1 µgm−3, with a 24 h average lower detection limit of less than 1.0 µgm−3.

2.3. Data Calculations and Statistical Methods

Daily PM2.5 concentrations were used to calculate annual data and trends. The day of the week, yearly patterns, polar plots, and regression analysis were calculated using the R Statistical Package Openair version 2.18-2 [21] and the openair package [22]. Annual PM2.5 calculations were calculated using the guideline on data handling conventions for PM NAAQS developed by the EPA. The Air Quality Index (AQI) used in the study is a system of reporting daily air quality that has been established by the EPA. The AQI consists of 6 categories: good, moderate, unhealthy for sensitive groups, unhealthy, very unhealthy, and hazardous. The corresponding thresholds for the 24 h PM2.5 AQI categories are 0–12, 12.1–35.4, 35.5–55.4, 55.5–150.4, 150.5–250.4, and 250.5–500 µgm⁻3.

3. Results

3.1. Analysis of Air Quality Exposure Variations and Patterns

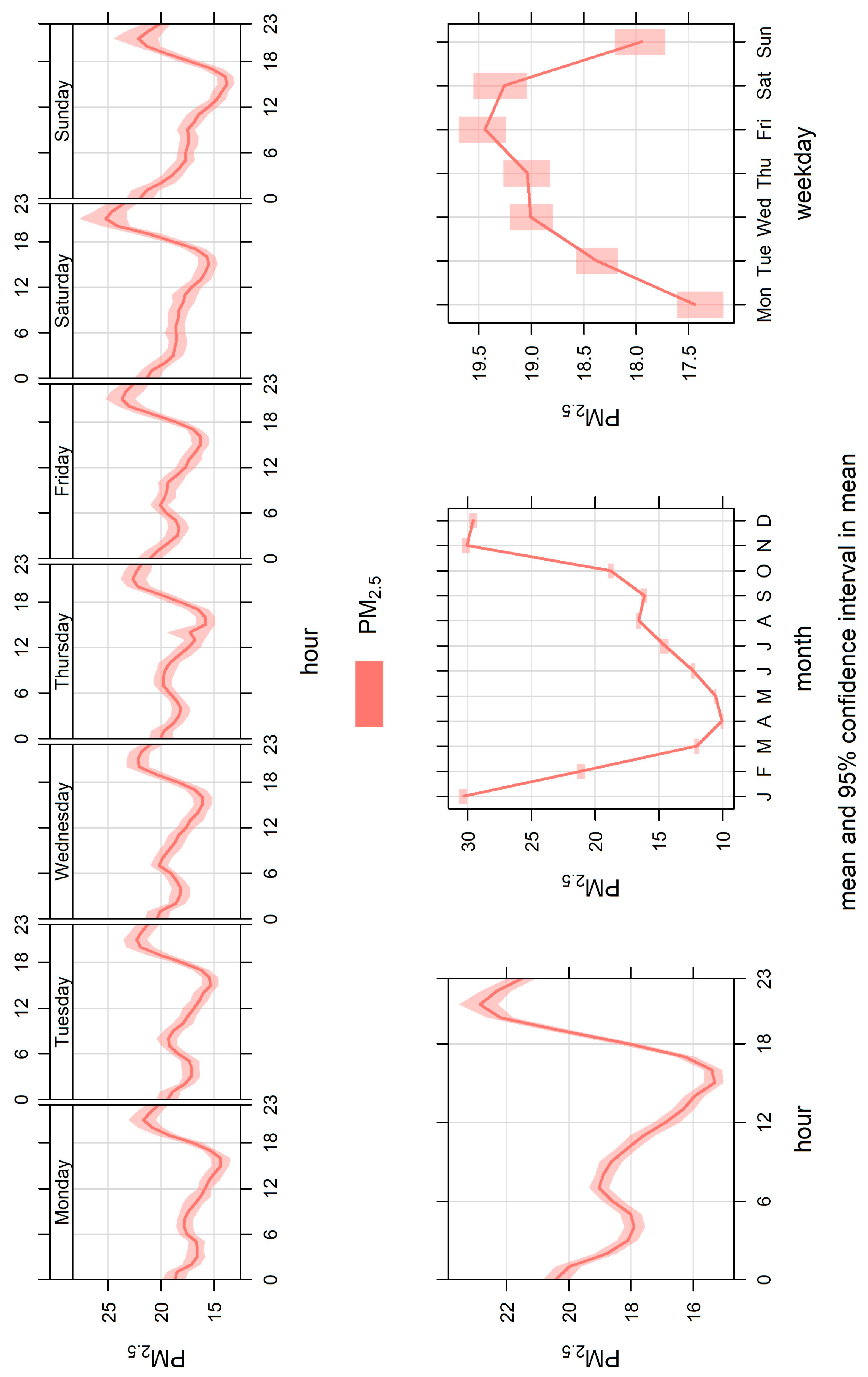
Figure 2 describes the diurnal patterns of PM2.5 by hours and days, as well as the monthly daily PM2.5 distribution for the years 2013 to 2022 for Fresno.
The diurnal cycle shows a high of 18.3 µgm−3 at 2200 and a minimum of 12.0 µgm⁻3 at 1700. Day-of-the-week diurnal profiles indicate that PM2.5 in Fresno has two pronounced peaks. The first PM2.5 peak (around 16.0 µgm−3) occurs around 0900. The daily increase starts at 0600 and begins to decrease at 1200. The second and highest PM2.5 peak (around 18.0 µg) of the day occurs around 2100, with Saturday having the highest mean concentration. The second increase of PM2.5 begins at 1700, with a significant decrease starting around 0200 (approximately 15 µgm−3). The lowest concentrations of PM2.5, approximately 12 µgm−3, are observed at 1500. The morning increases and peaks are well defined Monday through Saturday; however, this pattern is not observed on Sunday. Sundays have a later peak (~2100) but not an early morning high (~0900). On Sunday, only a slight increase in PM2.5 is observed. The nighttime increases in PM2.5 are most pronounced from Friday through early Sunday. The PM2.5 concentration exposure in Fresno is lower Monday through Thursday (average between 14.0 and 15.0 µgm−3), with the lowest concentration exposures occurring on Mondays. Friday, Saturday, and Sunday have higher PM2.5 concentrations (between 12.0 and 16.5 µgm−3) in Fresno. Saturday in Fresno has the highest PM2.5 concentration exposures (21.0 µgm−3).
The mean monthly concentrations of PM2.5 vary drastically in Fresno throughout the year, with the months of March (8.7 µgm−3), April (7.8 µgm−3), May (7.6 µgm−3), and June (8.1 µgm−3) having the lowest ambient PM2.5. The average monthly PM2.5 concentrations start to increase in July (10.9 µgm−3). PM2.5 concentrations stay around the same level during August (16.3 µgm−3), September (15.4 µgm−3), and October (15.4 µgm−3). The highest monthly PM2.5 concentration occurs during the winter. November (23.5 µgm−3), December (25.2 µgm−3), and January (25.3 µgm−3) have the highest monthly concentrations. The PM2.5 concentrations begin to decrease starting in February (16.4 µgm−3).
The diurnal cycle at Clovis shows two pronounced PM2.5 peaks that occur each weekday (Figure 3): one at 1100 (18.6 µgm−3) and the second, slightly larger peak at 2100 (18.7 µgm−3). The Clovis site has two low hourly concentration periods, with concentrations of 13.8 µgm−3 at 0500 and 14.2 µgm−3 around 1700. In Clovis, the lowest PM2.5 concentrations occur on Monday at 0500 (13.3 µgm−3), Tuesday at 0500 (13.7 µg), and Sunday at 0600 (13.3 µgm−3). The highest PM2.5 level exposures are on Wednesday at 1000 (19.5 µgm−3), Thursday at 1100 (19.5 µgm−3), Friday at 1000 (19.9 µgm−3), and Saturday at 2100 (19.6 µgm−3).
The lowest mean monthly PM2.5 concentrations occur in the months of March (9.6 µgm−3), April (9.3 µgm−3), and May (9.6 µgm−3). The PM2.5 concentration starts increasing in the months of June (10.7 µgm−3) and July (13.5 µgm−3). The PM2.5 concentration increase slows down in August (15.8 µgm−3), September (17.0 µgm−3), and October (17.2 µgm−3). The highest PM2.5 monthly concentrations at Clovis occurred during the months of November (24.1 µgm−3), December (25.7 µgm−3), and January (25.3 µgm−3). Monthly PM2.5 concentrations at Clovis begin to decrease in February (16.3 µgm−3).
Figure 4 shows the PM2.5 diurnal, weekly, and monthly patterns for the monitoring site in Bakersfield. The overall diurnal pattern in Bakersfield has a peak concentration of 22.9 µgm−3 at 2200 and the lowest concentration of 15.3 µgm−3 at 1600.
The daily diurnal pattern shows two distinct PM2.5 concentration peaks and two distinct bottoms, but only for Monday through Friday. Saturday and Sunday only have one pronounced peak, with the highest hourly concentration of 25.2 µgm−3 on Saturday at 2100. For Monday–Friday, the morning peak PM2.5 concentration (around 19.0 µgm−3) occurs around 0800, which is earlier and higher in value than the Fresno and Clovis sites. The second peak, which is higher in value than the monitoring sites in Fresno and Clovis, occurs around 2100, with an average concentration of 23 µgm−3. The lowest PM2.5 concentrations are observed around 1500 on Sunday, with a concentration of approximately 13.8 µgm−3.
The lowest monthly mean PM2.5 concentration exposure for Bakersfield (10.1 µgm−3) was observed in April and then increased slightly in May (10.6 µgm−3), followed by increases in June (12.3 µgm−3), July (14.5 µgm−3), and August (16.6 µgm−3). September had a slightly lower mean at 16.1 µgm−3. Then, October increased to 18.8 µgm−3, followed by November at 30.1 µgm−3. December was slightly lower at 29.6 µgm−3, followed by the highest monthly concentration in January (30.3 µgm−3). Mean monthly concentrations then fell, with February at 21.1 µgm−3 and March at 12.0 µgm−3, to the lowest month of April.

3.2. Air Pollution Source Direction Analysis

A large amount of the PM2.5 pollution arrives in Fresno from between the N and WNW quadrants, accounting for 42% of the frequencies (Figure S1). WNW and NWbW account for 17% of the frequencies; 12% of the frequencies arrive from the N, 11.5% arrive from NWbN, 7.5% arrive from the W, and 4% arrive from the S (Figure S2). This site experienced calm winds 40% of the time. Figure 5 shows polar plots that combine wind direction, wind speed, and PM2.5 concentrations, which are used to understand and identify the weekend and weekday seasonal sources of air pollution that impact the monitoring site in Fresno.
Pollution exposure levels with average concentrations of around 12.0 to 17.0 µgm−3 are mostly created by activities near the monitor when the winds are calm. The highest PM2.5 level exposures (concentrations greater than 25 µgm−3) came to Fresno from the WNW and NWbW directions when the wind speed was higher than 3.5 ms−1 (Figure 5). This elevated exposure occurred during the months of September, October, and November, but mostly during the weekdays. During the spring, which has the lowest PM2.5, the highest concentrations (between 9.0 and 13.0 µgm−3) came from the N, NbE, NNE, S, and SSE. During the summer, PM2.5 levels higher than 17 µgm−3 came from the S, SSE, and SE and from locations closer to the monitor. During the winter, concentrations of PM2.5 higher than 17 µgm−3 come from the N, NNE, and NE and from local sources, given the occurrence of higher PM2.5 levels during calm winds.
On average, PM2.5 pollution is transported to Clovis from all directions, with the higher frequencies coming from the WNW and NWbW accounting for 20% of the frequencies; 7% of the frequencies arrive from the NWbN, 5.3% arrive from the W, and 5% arrive from the SEbS (Figure S3). This site experienced calm winds 15% of the time. The site in Clovis experienced the maximum concentrations of PM2.5 (between 17.0 to 23.0 µgm−3) when speeds were less than 1 ms−1, indicating impacts from local activities (Figure 6 and Figure S4).
These maximum concentrations occurred in the autumn (September, October, and November) and winter (December, January, and February). The months of March, April, and May have the lowest PM2.5, with the highest levels (around 13 µgm−3) occurring when the winds came from the S and the wind speed was less than 2 ms−1. During the summer (June, July, and August), the highest concentrations of PM2.5 (ranging between 16.0 and 19.0 µgm−3) occurred when the winds came from between the south and east quadrants. During September, October, and November, the highest PM2.5 concentration, ranging from 17.0 to 25.0 µgm−3, came from all directions when the winds were less than 1 ms−1 and was most likely from local urban activities, given the transport conditions with low wind speeds and calm winds. The highest concentrations occurred during the winter months of December, January, and February, with the highest PM2.5 levels ranging between 20.0 and 30.0 µgm−3 from all directions when the winds were less than 1 ms−1, indicating that local sources impact this location. The highest PM2.5 levels (ranging from 23.0 to 33.0 µgm−3) at Clovis occurred in the winter during the weekend when the wind speed was higher than 4 ms−1.
The predominant (37% of the frequencies) PM2.5 pollution in Bakersfield came from the NNW quadrant to the WNW quadrant, with calm winds occurring 10% of the time (Figure S5). Bakersfield experienced higher PM2.5 exposures than the sites of Fresno and Clovis (Figure 7). The highest PM2.5 levels (between 33 to 63 µgm−3) in Bakersfield were observed during the weekdays in autumn, arriving from the SE and ESE when the wind speeds were higher than 4 ms−1 (Figure 7).
Also, the second-highest PM2.5 concentrations occurred when the wind speeds were higher than 8 ms⁻1, and winds arrived from the N and NNW, with PM2.5 levels ranging from 20.0 to 50.0 µgm−3. The higher winter PM2.5 concentrations in Bakersfield occurred when wind speeds were lower than 1 ms−1 and higher than 10 ms−1, arriving from the SE and SSE. The PM2.5 levels observed under these conditions ranged from 32.0 to 38.0 µgm−3.

3.3. Trend Analysis

There were 41 sites in California with data from 1999 to 2022, with daily mean concentrations. Compiling these sites as an estimate of the statewide PM2.5 trend shows a decline in the average annual PM2.5 (r2 = 0.73 and p-value < 0.001 pearson −0.86; spearman −0.88). This trend analysis suggests that across California, emission reductions have been very effective in reducing annual PM2.5 (Figure 8).
However, the reduction of the annual PM2.5 has slowed down since 2010, although the correlation is weaker, with an r2 value of 0.004 and a p-value of 0.829 (pearson −0.07; spearman −0.05) (Figure S6). For the years 1999 to 2022, linear regression correlation was at an r2 value of 0.81 and a p-value of <0.001 (pearson −0.90; spearman −0.85). Overall, PM2.5 levels are higher in the San Joaquin Valley urban locations than in the rest of California. The annual PM2.5 has also been decreasing in Fresno, Clovis, and Bakersfield (Figure 9, Figure 10 and Figure 11).
Like the rest of California, the decrease in the annual PM2.5 concentrations has slowed down since 2010. The reduction in the annual PM2.5 levels has significantly slowed down, and the improvement in the air quality is much less than in the rest of California. In Fresno, the highest annual mean PM2.5 of 26.4 µgm−3 occurred in 2000, and the lowest annual mean of 10.9 µgm−3 occurred in 2019. During the year 2020, the annual mean increased to 18.7 µgm−3 and later dropped to 13.2 µgm−3 in 2022. The monitoring site in Clovis experienced the highest annual PM2.5 concentration of 22.3 µgm−3 in 2008 and the lowest annual PM2.5 concentration of 9.8 µgm−3 in the year 2019. Similarly, the Clovis mean annual PM2.5 increased to 19.0 µgm−3 in 2020 and dropped to 13.6 µgm−3 in 2022. Bakersfield experienced the highest annual PM2.5 concentrations of all the locations in the SJV, with the highest mean annual PM2.5 of 23.8 µgm−3 observed in the year 1999. The lowest mean annual PM2.5 concentration of 11.8 µgm−3 was observed in the year 2019.

3.4. Mean Annual Concentrations and Air Quality Index

The annual PM2.5 concentrations at all sites surpassed the previous federal standard of 12 µgm−3, except for the year of 2019 (Table 1).
The new annual federal standard established by the EPA on February 7, 2024, for PM2.5 is set to 9 µgm−3. This new standard was surpassed in all of the years for all sites recorded in this study. All yearly concentrations for all sites were above 9 µgm−3. The lowest PM2.5 concentration of 9.7 µgm−3 was observed in Clovis during the year 2019.
The monitoring sites in Bakersfield, Clovis, and Fresno recorded most days with air quality in the good AQI category (Table 2 and Table S1). The AQI was good for approximately half of all the days, and no site experienced hazardous AQI for PM2.5. Bakersfield had a good AQI on 48% of the days, with 40% of the days being moderate, 7% being unhealthy for sensitive groups, 4% being unhealthy, and 3 days being very unhealthy (<1%) in terms of PM2.5. Clovis experienced a good PM2.5 AQI on 50% of the measured days, with 42% of the days being moderate, 6% being unhealthy for sensitive groups, 2% being unhealthy, and 2 days being very unhealthy in terms of PM2.5 AQI. In Fresno, 53% of the days were good, 36% were moderate, 8% were unhealthy for sensitive groups, 4% were unhealthy, and 2 days were very unhealthy in terms of PM2.5 AQI (Table 2). Very unhealthy AQI occurred in 2001, 2009, and 2020 in Bakersfield; twice in 2020 in Clovis; and once in 2000 and 2020 in Fresno (Table S1).

4. Discussion

The colder months of November, December, and January are the months with the highest PM2.5 exposure for Fresno, Clovis, and Bakersfield. Friday and Saturday are the days that have the highest PM2.5 concentrations (Figure 2, Figure 3 and Figure 4). The daily diurnal patterns of PM2.5 in Fresno, Clovis, and Bakersfield peak during commute periods, which is a pattern observed in other urban sites like Los Angeles, California. The PM2.5 pollution sources in these SJV locations are locally created by commuting and transportation activities; however, pollution also arrives to the monitors in significant amounts after being generated by agricultural activities during autumn and winter (Figure 5, Figure 6 and Figure 7). Human activities appear to be the main drivers of PM2.5 in Fresno, Clovis, and Bakersfield. Transportation and agriculture operations seem to be the largest contributors to PM2.5 concentrations at these sites.
According to the San Joaquin Valley Air Pollution Control District emissions estimates (does not include automobile estimates), the main human activities that contribute to PM2.5 in the SJV are (listed in order, with only the biggest contributors listed) farming operations, managed burning and disposal, fugitive windblown dust, paved road dust, fuel combustion (electric utilities, cogeneration, oil and gas production, petroleum refining, manufacturing and industrial processes, food and agricultural processing, and service and commercial), cooking, unpaved road dust, and residential fuel combustion [5]. Farming operations, managed burning, and disposal account for 50% of these estimates.
The highest PM2.5 level exposures, with daily concentrations greater than 25 µgm−3, in Fresno occurred during the weekdays in autumn, pointing to agriculture activities and higher wind speeds. In Clovis, the highest PM2.5 concentrations (greater than 22 µgm−3) occurred on weekdays during the winter months and resulted from urban activities closer to the monitor. During the weekend, PM2.5 came from unknown activities with higher wind speeds. Bakersfield was similar to Fresno and experienced the highest PM2.5 concentrations (with numbers greater 50 µgm−3) in the autumn, most likely due to agricultural activities and higher wind speeds.
During the wintertime, the range of influence of primary PM emitted in major population centers within the SJV ranges from 15 to 50 km [23]. This range is important because it explains why the majority of the observed pollution exposure came from near-source activities in urban locations during this season. Other factors that contribute to the observed patterns are the time and day of the year. Local topography and meteorological factors specific to each site additionally lead to high-pollution events. The main meteorological factors that contribute to PM2.5 are wind speed, temperature, and relative humidity. These affect primary and secondary formations, as well as the temporal mesoscale meteorology that influences mixing height and creates inversion episodes that entrap and increase pollution concentrations [23].
Sun et al., 2022, studied the composition and sources of PM2.5 in the SJV from October 2018 to May 2019 and found that during the winter, residential wood burning and nitrate from combustion engines were the largest contributors [24]. During autumn, agricultural activities, such as almond harvesting and wildfire activity, were found to be the main cause of PM2.5 pollution [24]. Destructive wildfires will add to the already elevated PM2.5 in these locations [13,25]. However, not all years will have the same amount of wildfire activity and the same impact [25,26,27,28]. Even in the heaviest wildfire activity years, wildfires have not been found to be the main driver of PM exceedances of the yearly Federal Standard in the SJV of California [27,28,29].
Nonetheless, other research challenges the generalization that wildfires are not major contributors to PM2.5. For example, in the Northwestern U.S., wildfires have been identified as the main driver behind increasing trends in extreme PM2.5 days (98th percentile), offsetting reductions due to declining anthropogenic emissions [30]. In the southeastern U.S., wildfire events contributed 41–49% of PM2.5 during active fire periods, with localized enhancements of 10–14% above background levels [31]. Even in Europe, wildfires have been found to account for up to 50% of total organic aerosol (OA) during summer months, suggesting that their contribution to background PM levels and health impacts may be significantly underrecognized due to the evolving chemistry of wildfire plumes [32]. Moreover, wildfire-related PM has been shown to increase the toxicity of air, as observed in Los Angeles during fire events, where certain harmful chemical properties of PM were amplified [33]. Taken together, these findings suggest that while wildfires may not always drive annual PM2.5 standard exceedances in the SJV, they can be dominant contributors to PM2.5 during specific seasons or events and may pose significant episodic health risks that are underrepresented in long-term averages.
Almond harvesting operations produce large amounts of dust, generating locally elevated levels of PM2.5; recent machine learning models have demonstrated high accuracy in predicting emissions based on harvesting parameters, suggesting opportunities for mitigation [34]. Agricultural workers are especially vulnerable, facing projected increases of up to 190% in days with unhealthy air quality. While these issues are particularly acute in California, similar patterns are observed globally—for instance, crop residue burning in northwest India contributes up to 78% of PM2.5 spikes in urban centers like Delhi during post-harvest seasons [35]. These seasonal sources underscore the need for targeted monitoring and mitigation strategies to reduce health impacts in agricultural and downwind communities.
According to recent estimates, a 1 µgm−3 reduction in PM2.5 could prevent 7785 emergency department visits annually and 5937 hospitalizations annually, resulting in USD 46.66 million per year in healthcare and productivity cost savings [12]. This estimate aligns with findings from multiple regions showing that both short- and long-term reductions in PM2.5 levels lead to substantial decreases in ED visits and hospital admissions, especially for respiratory and cardiovascular diseases. For instance, Dardati et al. (2023) found that a 1 µg/m3 increase in PM2.5 is associated with a 0.36% increase in respiratory ED visits across all age groups [36], while Fan et al. (2016) reported a 1.5% increase in asthma ED visits per 10 µg/m3, with children being particularly vulnerable [37]. In Tianjin, China, reducing PM2.5 to national air quality standards was projected to avoid 59,000–85,000 ED visits annually [38]. Similarly, in New York State, large reductions in PM2.5 between 2005 and 2016 were associated with 13,500–27,000 fewer cardiovascular hospitalizations and 2600–19,000 fewer respiratory hospitalizations each year [39]. Older adults and young children remain especially susceptible. Sun et al. (2024) observed that even PM2.5 levels below WHO air quality guidelines were linked to increases in respiratory ED visits among younger adults [40]. Aguilera et al. (2022) reported significant drops in pediatric respiratory ED visits during COVID-19 lockdowns, in part due to temporary improvements in air quality [41].
Conversely, failing to meet air quality standards will result in compounding productivity losses, particularly in outdoor labor sectors where workers face prolonged PM2.5 exposure. If PM2.5 levels remain at or above current concentrations, one can expect absenteeism and work loss days due to respiratory illnesses, particularly during peak PM2.5 pollution months (November–January). Without decisive action, the long-term economic consequences of PM2.5 exposure in the SJV will continue to mount, leading to declining quality of life, increased healthcare spending, and reduced productivity. The cost of inaction on PM2.5 pollution in the SJV is substantial and unsustainable. Without further mitigation efforts, healthcare costs will escalate, workforce productivity will decline, and regulatory noncompliance will impose additional economic burdens on local governments and businesses. Proactive, rather than reactive, policies grounded in real-world evidence and economic modeling are critical for protecting both public health and regional economic stability [14].
It is evident from the data that PM2.5 polution is improving in Fresno, Clovis, and Bakersfield, but the progress has slowed down since 2010. The year with the best air quality was 2019. During this year, human activities were slowed down due to restrictions put in place due to the COVID pandemic. During 2019, all locations in this study experienced annual averages of 10.6, 9.7, and 11.9 µgm−3 (Fresno, Clovis, and Bakersfield, respectively), which were under the previous EPA standard of 12 µgm−3. However, the new EPA standard of 9 µgm−3, which was approved on 7 February 2024, was surpassed every year during this study. The 20% reduction in PM2.5 since 1999 is not sufficient, particularly with the slowing increase since 2010. The SJV is currently classified as an area that does not meet the National Ambient Air Quality Standard for PM2.5 and Ozone. Agricultural activities in these locations are the main driver of PM pollution in this area [5,42]. Without completely overhauling the current agriculture operations, it is unlikely that the San Joaquin Valley will ever attain this new standard. More needs to be done to protect these vulnerable communities. Agricultural activities need to be changed to facilitate meaningful reductions in PM2.5 that would allow for compliance with the EPA standard. Other options should be explored, such as a move to a regenerative agricultural model, one that creates less pollution and is less toxic.

5. Limitations

This study was conducted outside of a community context, which may introduce biases that affect the findings. The absence of community engagement can limit the applicability of the results to real-world settings where community dynamics and local factors play a crucial role in influencing air quality. Long-term air quality monitoring data was only available at one location for each city (Fresno, Clovis, and Bakersfield). Therefore, the findings of this study cannot be generalized to other contexts or populations. The specific conditions and characteristics of the study sample may not reflect those of different communities or settings, which limits the broader applicability of the results. To enhance the validity and relevance of the findings, it is advisable to conduct similar studies within community settings. This would allow for a comparative analysis of outcomes and provide insights that are more representative of community-based dynamics, leading to more effective air quality management strategies.

6. Conclusions

This study provides a detailed assessment of long-term PM2.5 trends, diurnal and seasonal patterns, and pollution source directions in Fresno, Clovis, and Bakersfield within California’s San Joaquin Valley (SJV) from 2000 to 2022. During this study, the months of November, December, and January exhibited the highest PM2.5 levels for Fresno, Clovis, and Bakersfield. Also, PM2.5 levels peaked during commute periods at all locations. On average, Friday and Saturday were the days of the week with the highest PM2.5 concentrations. Fresno and Bakersfield experienced the highest daily PM2.5 level exposures during the weekdays in the autumn due to agriculture activities and higher wind speeds. In Clovis, the highest daily PM2.5 concentrations occurred during winter weekdays with low wind speeds. The lowest levels occurred in 2019, coinciding with reduced activity during the COVID-19 pandemic.
While notable improvements in air quality have occurred over the past two decades, the rate of progress has significantly slowed since 2010. Despite past reductions, PM2.5 levels in all three cities consistently exceed the newly established federal annual standard of 9 µg/m3, indicating that current mitigation strategies are insufficient to achieve full compliance. Our analysis reveals that PM2.5 concentrations peak during the colder months and are largely driven by human activities, particularly transportation and agriculture. The influence of local topography and meteorological conditions, including low wind speeds and temperature inversions, exacerbates pollutant buildup. Although wildfires contribute episodically, they are not the primary driver of long-term exceedances in the SJV.
Without transformative changes in agricultural practices and additional targeted air pollution control measures, it is unlikely that the region will meet federal standards in the near future. Further efforts, including the adoption of regenerative agricultural methods and enhanced emissions regulation, are necessary to protect public health and reduce the economic burden associated with PM2.5-related illnesses. Continued monitoring and analysis are critical for guiding policy decisions and ensuring sustainable air quality improvements for the vulnerable populations of the SJV.

Supplementary Materials

The following supporting information can be downloaded at: https://www.mdpi.com/article/10.3390/atmos16060721/s1, Figure S1: Fresno polar plot PM2.5 2013_2022; Figure S2: Fresno Garland pollution rose PM2.5 2013_2022; Figure S3: Clovis pollution rose PM2.5 2007_2022; Figure S4: Clovis polar plot PM2.5 2007_2022; Figure S5: Bakersfield pollution rose PM2.5¬ 2001_2022; Figure S6: California PM2.5 average for 2010 to 2022; Table S1: Number of days for each category of AQI for PM2.5 1999–2022.

Author Contributions

Conceptualization, R.C. and G.Z.-G.; Methodology, D.S. and H.G.; Software, D.S. and H.G.; Investigation, M.A. and H.G.; Writing—original draft, R.C. and G.Z.-G.; Writing—review & editing, R.C., D.S., M.A., G.Z.-G. and H.G.; Supervision, R.C.; Project administration, R.C. All authors have read and agreed to the published version of the manuscript.

Funding

This research received no external funding.

Institutional Review Board Statement

Not applicable.

Informed Consent Statement

Not applicable.

Data Availability Statement

No new data were created or analyzed in this study.

Acknowledgments

The authors would like to thank the California Air Resources Board (CARB) and the United States Environmental Protection Agency (EPA) for providing access to the air quality monitoring data used in this study. We also acknowledge valuable support from colleagues and collaborators who contributed insights during the development of this research. Additionally, we appreciate the constructive feedback from the peer reviewers, which helped improve the quality of this manuscript.

Conflicts of Interest

The authors declare no conflicts of interest.

References

  1. Dolislager, L.J.; Motallebi, N. Characterization of Particulate Matter in California. J. Air Waste Manag. Assoc. 1999, 49, 45–56. [Google Scholar] [CrossRef] [PubMed]
  2. Environmental Protection Agency EPA. 2023. Available online: https://aqs.epa.gov/aqsweb/airdata/download_files.html#Daily (accessed on 22 March 2023).
  3. Environmental Protection Agency, G.B. California Nonattainment Status/Maintenance Status for Each County by Year for All Criteria Pollutants. Available online: https://www3.epa.gov/airquality/greenbook/anayo_ca.html (accessed on 14 August 2023).
  4. California Air Resources Board Fine Particulate Air Pollution Monitoring Program. Available online: https://ww2.arb.ca.gov/resources/documents/fine-particulate-air-pollution-monitoring-program (accessed on 14 August 2023).
  5. California Air Resources Board 2020 Estimated Annual Average Emissions. Available online: https://www.arb.ca.gov/app/emsinv/2021/emssumcat.php (accessed on 26 April 2023).
  6. Sangkham, S.; Phairuang, W.; Sherchan, S.P.; Pansakun, N.; Munkong, N.; Sarndhong, K.; Islam, M.A.; Sakunkoo, P. An Update on Adverse Health Effects from Exposure to PM2.5. Environ. Adv. 2024, 18, 100603. [Google Scholar] [CrossRef]
  7. Burnett, R.; Chen, H.; Szyszkowicz, M.; Fann, N.; Hubbell, B.; Pope, C.A.; Apte, J.S.; Brauer, M.; Cohen, A.; Weichenthal, S.; et al. Global Estimates of Mortality Associated with Longterm Exposure to Outdoor Fine Particulate Matter. Proc. Natl. Acad. Sci. USA 2018, 115, 9592–9597. [Google Scholar] [CrossRef]
  8. Ostro, B.; Broadwin, R.; Green, S.; Feng, W.Y.; Lipsett, M. Fine Particulate Air Pollution and Mortality in Nine California Counties: Results from CALFINE. Environ. Health Perspect. 2006, 114, 29–33. [Google Scholar] [CrossRef]
  9. Ostro, B.; Malig, B.; Hasheminassab, S.; Berger, K.; Chang, E.; Sioutas, C. Associations of Source-Specific Fine Particulate Matter with Emergency Department Visits in California. Am. J. Epidemiol. 2016, 184, 450–459. [Google Scholar] [CrossRef] [PubMed]
  10. Meng, Y.-Y.; Yu, Y.; Al-Hamdan, M.Z.; Marlier, M.E.; Wilkins, J.L.; Garcia-Gonzales, D.; Chen, X.; Jerrett, M. Short-Term Total and Wildfire Fine Particulate Matter Exposure and Work Loss in California. Environ. Int. 2023, 178, 108045. [Google Scholar] [CrossRef]
  11. Zarate-Gonzalez, G.; Cisneros, R.; Gharibi, H.; Brown, P. Air Pollution Related Adverse Respiratory Health Outcomes in California’s San Joaquin Valley: Evidence from 2016 Linked Emergency Department and Hospital Records. Environ. Res. Health 2024, 2, 025003. [Google Scholar] [CrossRef]
  12. Zarate-Gonzalez, G.; Brown, P.; Cisneros, R. Costs of Air Pollution in California’s San Joaquin Valley: A Societal Perspective of the Burden of Asthma on Emergency Departments and Inpatient Care. J. Asthma Allergy 2024, 17, 369–382. [Google Scholar] [CrossRef]
  13. Schweizer, D.; Preisler, H.; Entwistle, M.; Gharibi, H.; Cisneros, R. Using a Statistical Model to Estimate the Effect of Wildland Fire Smoke on Ground Level PM2.5 and Asthma in California, USA. Fire 2023, 6, 159. [Google Scholar] [CrossRef]
  14. Zarate-Gonzalez, G.; Brown, P.; Cisneros, R. Assessing Public Support for Air Pollution Mitigation and Control Policies: Health, Socioeconomic, and Ideological Predictors in an Overburdened and Vulnerable Region of the U.S. BMC Public. Health 2025, 25, 263. [Google Scholar] [CrossRef]
  15. Goldenberg, R.L.; Culhane, J.F.; Iams, J.D.; Romero, R. Preterm Birth 1 Epidemiology and Causes of Preterm Birth. Obstet. Anesth. Dig. 2009, 29, 6–7. [Google Scholar] [CrossRef]
  16. Sheridan, P.; Ilango, S.; Bruckner, T.A.; Wang, Q.; Basu, R.; Benmarhnia, T. Ambient Fine Particulate Matter and Preterm Birth in California: Identification of Critical Exposure Windows. Am. J. Epidemiol. 2019, 188, 1608–1615. [Google Scholar] [CrossRef] [PubMed]
  17. Costello, J.M.; Steurer, M.A.; Baer, R.J.; Witte, J.S.; Jelliffe-Pawlowski, L.L. Residential Particulate Matter, Proximity to Major Roads, Traffic Density and Traffic Volume as Risk Factors for Preterm Birth in California. Paediatr. Perinat. Epidemiol. 2022, 36, 70–79. [Google Scholar] [CrossRef]
  18. Liévanos, R.S. Racialized Structural Vulnerability: Neighborhood Racial Composition, Concentrated Disadvantage, and Fine Particulate Matter in California. Int. J. Environ. Res. Public. Health 2019, 16, 3196. [Google Scholar] [CrossRef]
  19. Naeger, A.R.; Murphy, K. Impact of COVID-19 Containment Measures on Air Pollution in California. Aerosol Air Qual. Res. 2020, 20, 2025–2034. [Google Scholar] [CrossRef]
  20. ARB AQMIS. 2023. Available online: https://www.arb.ca.gov/aqmis2/aqdselect.php (accessed on 14 August 2023).
  21. R Core Team R Core Team. _R: A Language and Environment for Statistical Computing_. R Foundation for Statistical Computing: Vienna, Austria, 2023. Available online: https://Www.R-Project.Org/ (accessed on 10 June 2025).
  22. Carslaw, D.C.; Ropkins, K. Openair—An R Package for Air Quality Data Analysis. Environ. Model. Softw. 2012, 27–28, 52–61. [Google Scholar] [CrossRef]
  23. MacDonald, C.P.; McCarthy, M.C.; Dye, T.S.; Wheeler, N.J.M.; Hafner, H.R.; Roberts, P.T. Transport and Dispersion during Wintertime Particulate Matter Episodes in the San Joaquin Valley, California. J. Air Waste Manag. Assoc. 2006, 56, 961–976. [Google Scholar] [CrossRef][Green Version]
  24. Sun, P.; Farley, R.N.; Li, L.; Srivastava, D.; Niedek, C.R.; Li, J.; Wang, N.; Cappa, C.D.; Pusede, S.E.; Yu, Z.; et al. PM2.5 Composition and Sources in the San Joaquin Valley of California: A Long-Term Study Using ToF-ACSM with the Capture Vaporizer. Environ. Pollut. 2022, 292, 118254. [Google Scholar] [CrossRef]
  25. Cisneros, R.; Schweizer, D.W. The Efficacy of News Releases, News Reports, and Public Nuisance Complaints for Determining Smoke Impacts to Air Quality from Wildland Fire. Air Qual. Atmos. Health 2018, 11, 423–429. [Google Scholar] [CrossRef]
  26. Cisneros, R.; Schweizer, D.; Preisler, H.; Bennett, D.H.; Shaw, G.; Bytnerowicz, A. Spatial and Seasonal Patterns of Particulate Matter Less than 2.5 Microns in the Sierra Nevada Mountains, California. Atmos. Pollut. Res. 2014, 5, 581–590. [Google Scholar] [CrossRef]
  27. Cisneros, R.; Schweizer, D.; Gharibi, H.; Tavallali, P.; Veloz, D.; Navarro, K. Air Quality Impacts during the 2015 Rough Fire in Areas Surrounding the Sierra Nevada, California. Fire 2021, 4, 31. [Google Scholar] [CrossRef]
  28. Navarro, K.M.; Cisneros, R.; O’Neill, S.M.; Schweizer, D.; Larkin, N.K.; Balmes, J.R. Air-Quality Impacts and Intake Fraction of PM2.5 during the 2013 Rim Megafire. Environ. Sci. Technol. 2016, 50, 11965–11973. [Google Scholar] [CrossRef]
  29. Preisler, H.K.; Schweizer, D.; Cisneros, R.; Procter, T.; Ruminski, M.; Tarnay, L. A Statistical Model for Determining Impact of Wildland Fires on Particulate Matter (PM2.5) in Central California Aided by Satellite Imagery of Smoke. Environ. Pollut. 2015, 205, 340–349. [Google Scholar] [CrossRef]
  30. McClure, C.D.; Jaffe, D.A. US Particulate Matter Air Quality Improves except in Wildfire-Prone Areas. Proc. Natl. Acad. Sci. USA 2018, 115, 7901–7906. [Google Scholar] [CrossRef] [PubMed]
  31. Guan, S.; Wong, D.C.; Gao, Y.; Zhang, T.; Pouliot, G. Impact of Wildfire on Particulate Matter in the Southeastern United States in November 2016. Sci. Total Environ. 2020, 724, 138354. [Google Scholar] [CrossRef] [PubMed]
  32. Vasilakopoulou, C.N.; Matrali, A.; Skyllakou, K.; Georgopoulou, M.; Aktypis, A.; Florou, K.; Kaltsonoudis, C.; Siouti, E.; Kostenidou, E.; Błaziak, A.; et al. Rapid Transformation of Wildfire Emissions to Harmful Background Aerosol. NPJ Clim. Atmos. Sci. 2023, 6, 218. [Google Scholar] [CrossRef]
  33. Verma, V.; Polidori, A.; Schauer, J.J.; Shafer, M.M.; Cassee, F.R.; Sioutas, C. Physicochemical and Toxicological Profiles of Particulate Matter in Los Angeles during the October 2007 Southern California Wildfires. Environ. Sci. Technol. 2009, 43, 954–960. [Google Scholar] [CrossRef]
  34. Serajian, R.; Sun, J.Q.; Cobian-Iñiguez, J.; Ehsani, R. Predictive Neural Network Modeling for Almond Harvest Dust Control. Sensors 2024, 24, 2136. [Google Scholar] [CrossRef]
  35. Cusworth, D.H.; Mickley, L.J.; Sulprizio, M.P.; Liu, T.; Marlier, M.E.; Defries, R.S.; Guttikunda, S.K.; Gupta, P. Quantifying the Influence of Agricultural Fires in Northwest India on Urban Air Pollution in Delhi, India. Environ. Res. Lett. 2018, 13, 004018. [Google Scholar] [CrossRef]
  36. Dardati, E.; De Elejalde, R.; Giolito, E. On the Short-Term Impact of Pollution: The Effect of PM 2.5 on Emergency Room Visits. Health Econ. 2021, 33, 482–508. [Google Scholar] [CrossRef]
  37. Fan, J.; Li, S.; Fan, C.; Bai, Z.; Yang, K. The Impact of PM2.5 on Asthma Emergency Department Visits: A Systematic Review and Meta-Analysis. Environ. Sci. Pollut. Res. 2016, 23, 843–850. [Google Scholar] [CrossRef] [PubMed]
  38. Chen, L.; Shi, M.; Li, S.; Bai, Z.; Wang, Z. Combined Use of Land Use Regression and BenMAP for Estimating Public Health Benefits of Reducing PM2.5 in Tianjin, China. Atmos. Environ. 2017, 152, 16–23. [Google Scholar] [CrossRef]
  39. Hopke, P.K.; Hill, E.L. Health and Charge Benefits from Decreasing PM2.5 Concentrations in New York State: Effects of Changing Compositions. Atmos. Pollut. Res. 2021, 12, 47–53. [Google Scholar] [CrossRef]
  40. Sun, Y.; Milando, C.W.; Spangler, K.R.; Wei, Y.; Schwartz, J.; Dominici, F.; Nori-Sarma, A.; Sun, S.; Wellenius, G.A. Short Term Exposure to Low Level Ambient Fine Particulate Matter and Natural Cause, Cardiovascular, and Respiratory Morbidity among US Adults with Health Insurance: Case Time Series Study. BMJ 2024, 384, e076322. [Google Scholar] [CrossRef] [PubMed]
  41. Aguilera, R.; Leibel, S.; Corringham, T.; Bialostozky, M.; Nguyen, M.B.; Gershunov, A.; Benmarhnia, T. Mediating Role of Fine Particles Abatement on Pediatric Respiratory Health During COVID-19 Stay-at-Home Order in San Diego County, California. Geohealth 2022, 6, e2022GH000637. [Google Scholar] [CrossRef]
  42. Cisneros, R.; Brown, P.; Cameron, L.; Gaab, E.; Gonzalez, M.; Ramondt, S.; Veloz, D.; Song, A.; Schweizer, D. Understanding Public Views about Air Quality and Air Pollution Sources in the San Joaquin Valley, California. J. Environ. Public. Health 2017, 2017, 4535142. [Google Scholar] [CrossRef]
Figure 1. California map and study area.
Figure 1. California map and study area.
Atmosphere 16 00721 g001
Figure 2. Fresno PM2.5 diurnal patterns by hours, days, and months for the years 2013–2022.
Figure 2. Fresno PM2.5 diurnal patterns by hours, days, and months for the years 2013–2022.
Atmosphere 16 00721 g002
Figure 3. Clovis PM2.5 diurnal patterns by hours, days, and months for the years 1991–2022.
Figure 3. Clovis PM2.5 diurnal patterns by hours, days, and months for the years 1991–2022.
Atmosphere 16 00721 g003
Figure 4. Bakersfield PM2.5 diurnal patterns by hours, days, and months for the years 2001–2022.
Figure 4. Bakersfield PM2.5 diurnal patterns by hours, days, and months for the years 2001–2022.
Atmosphere 16 00721 g004
Figure 5. Fresno PM2.5 polar plot for 2013–2022.
Figure 5. Fresno PM2.5 polar plot for 2013–2022.
Atmosphere 16 00721 g005
Figure 6. Clovis PM2.5 polar plot for 2007–2022.
Figure 6. Clovis PM2.5 polar plot for 2007–2022.
Atmosphere 16 00721 g006
Figure 7. Bakersfield PM2.5 polar plot for 2001–2022.
Figure 7. Bakersfield PM2.5 polar plot for 2001–2022.
Atmosphere 16 00721 g007
Figure 8. California PM2.5 annual average for 1999–2022, including 41 air monitoring sites across the state.
Figure 8. California PM2.5 annual average for 1999–2022, including 41 air monitoring sites across the state.
Atmosphere 16 00721 g008
Figure 9. Fresno PM2.5 annual trend (pearson −0.64; spearman −0.61).
Figure 9. Fresno PM2.5 annual trend (pearson −0.64; spearman −0.61).
Atmosphere 16 00721 g009
Figure 10. Clovis PM2.5 annual trend (pearson −0.68; spearman −0.65).
Figure 10. Clovis PM2.5 annual trend (pearson −0.68; spearman −0.65).
Atmosphere 16 00721 g010
Figure 11. Bakersfield PM2.5 annual trend (pearson −0.63; spearman −0.65).
Figure 11. Bakersfield PM2.5 annual trend (pearson −0.63; spearman −0.65).
Atmosphere 16 00721 g011
Table 1. Fine particulate matter (PM2.5) annual mean and 3-year rolling average.
Table 1. Fine particulate matter (PM2.5) annual mean and 3-year rolling average.
YearBakersfieldClovisFresno
Annual Mean PM2.5 (µgm−3)Rolling 3-Year Mean PM2.5 (µgm−3)Annual Mean PM2.5 (µgm−3)Rolling 3-Year Mean PM2.5 (µgm−3)Annual Mean PM2.5 (µgm−3)Rolling 3-Year Mean PM2.5 (µgm−3)
202213.716.813.515.912.215.4
202116.616.215.314.615.614.9
202020.016.618.814.318.315.1
201911.915.39.712.410.613.8
201817.916.114.313.516.414.8
201716.015.513.214.014.514.1
201614.516.513.014.713.514.7
201516.018.315.815.614.316.6
201418.917.315.215.516.418.5
201320.116.515.916.519.218.2
201212.814.715.416.119.916.2
201116.716.718.016.915.314.6
201014.518.314.918.313.415.7
200919.020.817.819.515.217.6
200821.420.722.319.618.618.1
200721.919.418.418.119.117.7
200618.818.518.218.116.716.7
200517.617.917.619.017.217.0
200419.119.618.619.116.218.4
200317.120.220.819.817.719.6
200222.521.817.918.621.422.7
200121.021.820.820.119.8NA
200021.8NA17.2NA27.0NA
199922.5NA22.2NANANA
Table 2. Number of days for each category of AQI for PM2.5 1999–2022.
Table 2. Number of days for each category of AQI for PM2.5 1999–2022.
AQIBakersfieldClovisFresno
Good359527484264
Moderate302822922853
Unhealthy for sensitive groups561323611
Unhealthy297105293
Very unhealthy322
Hazardous000
Number of Days748454708023
Disclaimer/Publisher’s Note: The statements, opinions and data contained in all publications are solely those of the individual author(s) and contributor(s) and not of MDPI and/or the editor(s). MDPI and/or the editor(s) disclaim responsibility for any injury to people or property resulting from any ideas, methods, instructions or products referred to in the content.

Share and Cite

MDPI and ACS Style

Cisneros, R.; Schweizer, D.; Amiri, M.; Zarate-Gonzalez, G.; Gharibi, H. Long-Term Fine Particulate Matter (PM2.5) Trends and Exposure Patterns in the San Joaquin Valley of California. Atmosphere 2025, 16, 721. https://doi.org/10.3390/atmos16060721

AMA Style

Cisneros R, Schweizer D, Amiri M, Zarate-Gonzalez G, Gharibi H. Long-Term Fine Particulate Matter (PM2.5) Trends and Exposure Patterns in the San Joaquin Valley of California. Atmosphere. 2025; 16(6):721. https://doi.org/10.3390/atmos16060721

Chicago/Turabian Style

Cisneros, Ricardo, Donald Schweizer, Marzieh Amiri, Gilda Zarate-Gonzalez, and Hamed Gharibi. 2025. "Long-Term Fine Particulate Matter (PM2.5) Trends and Exposure Patterns in the San Joaquin Valley of California" Atmosphere 16, no. 6: 721. https://doi.org/10.3390/atmos16060721

APA Style

Cisneros, R., Schweizer, D., Amiri, M., Zarate-Gonzalez, G., & Gharibi, H. (2025). Long-Term Fine Particulate Matter (PM2.5) Trends and Exposure Patterns in the San Joaquin Valley of California. Atmosphere, 16(6), 721. https://doi.org/10.3390/atmos16060721

Note that from the first issue of 2016, this journal uses article numbers instead of page numbers. See further details here.

Article Metrics

Back to TopTop