Abstract
Climate change and global warming have been shown to increase the frequency and intensity of extreme weather events. Concurrently, substantial efforts are being directed toward fostering the transition to a low-carbon economy. These concurrent trends result in the emergence of both physical and transition climate risks. This study investigates the impacts of climate risks, both physical and transition, on the return of major industrial metals (aluminum, copper, iron, lead, tin, nickel, and zinc) between January 2005 and December 2023. Employing the novel multivariate quantile-on-quantile regression (m-QQR) approach, this study examines how climate risks affect metal markets under different market conditions and risk levels. The results reveal that transition risks exert a more significant adverse impact on metal returns during bearish markets conditions, particularly for metals linked to high-emission industries, while physical risks affect metal returns across a wider range of quantiles, often increasing volatility during extreme market conditions. Furthermore, copper and nickel, both of which are crucial for renewable energy development, demonstrate resilience at higher quantiles, highlighting their role in the transition to a low-carbon economy. Finally, these two metals may serve as effective hedges against losses in other metals that are more vulnerable to transition risks, like aluminum and lead.
1. Introduction
In its 2024 Global Risks Report, [1] identifies extreme weather as the most significant risk to induce a global crisis within the next decade. The report further underscores the severity of climate change and environmental issues, both of which represent five of the ten most urgent global challenges. NASA data suggest 2024 as the warmest year on record, globally, with temperatures 1.28 degrees Celsius above the 20th-century average [2]. The Sixth Assessment Report of the Intergovernmental Panel on Climate Change underscores that 3.6 billion people live in areas highly vulnerable to climate change [3]. In addition, the [4] estimates that the effects of climate change will result in approximately 250,000 excess deaths per year between 2030 and 2050, stemming from malnutrition, malaria, diarrhea, and heat stress. The increasing pace of climate change has prompted substantial research efforts focused on its associated risks. Climate-related risks can be broadly categorized into physical and transition risks [5,6]. Physical risks include the direct detrimental consequences of climate change, such as long-term temperature increases, natural disasters, and extreme weather events, which may disrupt the production processes in many sectors and induce economic loss. On the other hand, transition risks are related to risks associated with the efforts to promote the transition to a low-carbon economy, including carbon taxes, emissions trading systems, market dynamics, sudden technological innovations, and a shifting demand for renewable energy technologies. According to [6], transition risks can influence firm value through technological upgrades, commitment to policies and regulations, and shifts in consumer preferences.
The related literature investigates the causes and effects of climate change. The main consensus is that human-caused greenhouse gases, particularly carbon dioxide, are the primary drivers of global warming and climate change [7,8,9,10]. Another strand of research has, instead, examined the repercussions of climate change on economic growth [11,12,13,14]. Other studies, instead, focus on the impacts of climate change on specific sectors, including agriculture [15,16], tourism [17,18,19], insurance [20,21,22], and transportation [23,24,25]. The impact of climate change on financial markets has also been analyzed in the existing literature [26,27,28]. Resource-dependent industries, particularly metals, have been shown to be more vulnerable to climate-related risks. Indeed, the functioning of metal markets, encompassing many industrial metals like aluminum, copper, and zinc, may be significantly affected by climate-related risks, potentially extending to industries reliant on these metals as inputs.
Industrial metals are particularly important for the development of renewable energy technologies and the promotion of energy transition [29,30]. Copper and nickel are utilized in the manufacturing process of electric vehicles, wind turbines, and solar panels, while aluminum and zinc serve as essential components of renewable energy infrastructure. Furthermore, lithium, cobalt, and graphite are necessary for the production of batteries. The demand for industrial metals has rapidly increased as the world shifts from fossil fuels to sustainable energy sources, making their prices susceptible to both transition and physical risks. According to [31], the development of renewable technologies, such as wind turbines and solar panels, is projected to increase substantially the demand for specific industrial metals, including aluminum, copper, lithium, and nickel, by 2050. In addition, [32] revealed that the demand for lithium and nickel will increase by 10–19% as a result of the expansion of the electric vehicle sector by 2040. Assessing the impacts of physical and transition climate risks on industrial metal markets is, therefore, important for both investors and policymakers. This research is mainly motivated by the growing focus on climate risks as potential drivers of financial and commodity market dynamics. Since most countries are shifting toward cleaner energy systems, it is crucial for market participants and policymakers to understand how climate risks affect industrial metals, which are essential for energy transition. Although recent studies have explored the effects of climate risks on energy markets [33,34,35,36,37], scarce research has analyzed their effects on industrial metals.
This study seeks to fill this gap by examining the impacts of climate risks on industrial metal returns using the multivariate quantile-on-quantile regression (m-QQR), recently developed by [38], which enables the identification of the effects of both types of climate risk across different market conditions and risk levels. This research makes several contributions to the existing body of literature. First, the present study considers different types of climate risks, i.e., physical and transition risks. Indeed, although both are climate-related risks, they may affect industrial metals differently. Physical climate risks can disrupt the supply of industrial metals by damaging infrastructure and increasing operational costs for producers, especially for operations located in regions susceptible to extreme weather events such as floods, hurricanes, and droughts [39]. For example, tropical regions are more exposed to physical risks, as the occurrence of extreme weather events can disrupt production, reduce the supply, and lead to price volatility. On the other hand, transition risks reflect the challenges that industrial metal producers may face due to regulatory policies and the shift to greener energy economies. Aluminum and iron, both of which are extremely energy intensive, are examples of metals vulnerable to transition risks. This is primarily because stricter environmental regulations may increase production costs and/or reduce the demand for these metals. It is worth noting that the recent development of climate risk metrics has spurred increasing research on their impacts on a wide range of factors, such as market efficiency [40,41], credit risks [42,43,44], and financial stability [45,46,47]. However, there is a significant knowledge gap regarding their influence on industrial metal markets. Second, this study builds on the prior research by extending the traditional quantile-on-quantile regression (QQR) to account for multiple risk factors, an approach which allows to assess the simultaneous effects of transition and physical risks on industrial metal returns. We include both TRI and PRI in our analysis because these interconnected climate risks often influence financial markets in complementary or reinforcing ways. Analyzing them separately may induce omitted variable bias, potentially misrepresenting their impacts on metal returns. The m-QQR provides many advantages over prior quantile-based approaches. On the one hand, [48] demonstrated that the m-QQR affords greater model flexibility. On the other hand, m-QQR is more robust to outliers and tail distributions, a property which is especially useful for non-normally distributed data [49]. Finally, m-QQR enables the reduction of bias arising from unobserved omitted variables, yielding more robust findings on the response of metal markets to climate risks. The use of the m-QQR allows for a more comprehensive understanding of how different types of climate risks interact with metal markets under different market conditions. Third, the study focuses on a wide range of industrial metals—aluminum, copper, iron, lead, nickel, tin, and zinc—offering better understanding of the specific response of these metals to climate risks and providing more specific policy recommendations. Finally, the study utilizes monthly data covering the period from January 2005 to December 2023, an approach which allows to capture the evolution of climate risks and provide new insights regarding their long-term impacts on the industrial metal markets.
The remainder of this research is organized as follows. Section 2 provides an overview of the existing literature on climate risks and their effects on metal markets, while Section 3 describes the data and empirical methodology. Section 4 presents the m-QQR results, while Section 5 discusses the empirical findings. Finally, Section 6 concludes with a summary of the findings and policy recommendations.
2. Climate Risks and Metal Price Dynamics: The Transmission Mechanisms
The present study is based on a theoretical framework focusing on the connections between climate risks, both transition and physical, and financial markets, with a particular focus on commodity markets. Both types of climate risk can influence industrial metal markets through a variety of transmission mechanisms, such as supply and demand [50], along with investor behavior. Stock and commodity markets, including industrial metal markets, are influenced differently by transition and physical risks [51].
2.1. Transition Risks and Metal Price Dynamics
Transition risks arising from shifts in climate policy and an increased preference for a greener economy, such as the implementation of a carbon tax, could substantially affect the operational costs of metals [52], particularly in companies with high carbon emissions. Therefore, transition risks may result in higher production costs and a decline in output and profitability. In this context, [53] indicate that companies with low exposure to climate transition risks have a better financial performance. Furthermore, growing awareness of environmental challenges and the inclination toward a more sustainable economy may lead to a surge in external and internal demand for some metals crucial for the development of clean technologies, as highlighted by [30,54]. This, in turn, could lead to a boom in the price of metals for which the demand increases. For instance, the manufacturing process of electric vehicles, wind turbines, and solar panels utilizes copper and nickel, while the production of batteries requires aluminum, lithium, and cobalt [32,55,56]. According to [57], the demand for lithium from EV batteries could increase by four times, while the demand for cobalt, graphite, and nickel could more than triple by 2030. Transition risks may also influence industrial metal prices via investor behavior. Ref. [58] found that investors prefer and allocate more capital to funds with lower climate-related transition risk. In addition, investors are likely to adjust their portfolios to include assets linked to industrial metals, driven by the rising demand for these metals in green technology development. In this context, [59] stated that industrial metals offer better hedging opportunities than precious metals. For example, the significance of copper for the renewable energy sector influences investor behavior and leads to price spikes driven by market speculation.
2.2. Physical Risks and Metal Price Dynamics
Physical risks, particularly those arising from extreme weather events, may disrupt production supply chains and lead to production shortages [60], including the metal industry. Ref. [61] highlighted that climate change negatively affects the efficiency and effectiveness of supply chain performance. Indeed, extreme weather events can constrain the production and supply of industrial metals by making access to mining sites difficult and by damaging the production infrastructure, a phenomenon which may lead to price increases. According to [62], extreme weather events may negatively affect the mining industry by damaging existing mines and transport infrastructure, thereby delaying the construction of new mining sites and disrupting water supply security. Furthermore, physical risks may increase operational costs due to the adverse effects of climate events, particularly in resource-abundant regions. For example, extreme weather events, including floods, may destroy the infrastructure required for the transportation of metals from production sites. In this case, costs associated with repairing the damaged infrastructure increase operational costs, which are often passed on to markets to maintain the profitability margin. Finally, physical risks can drive up the need for metals that are used in climate adaptation technologies. Indeed, countries experiencing frequent extreme weather events are likely to invest in infrastructure resilient to climate change, such as flood barriers and renewable energy grids, a phenomenon which could increase the demand for industrial metals and prices.
To summarize, both transition and physical climate-related risks have substantial impacts on industrial metal market dynamics. Nonetheless, the impacts of these risks can be complex and even contradictory. Therefore, understanding the impacts of climate-related risks on the fluctuations of industrial metal markets is mainly an empirical matter.
3. Data and Methodology
3.1. Data and Preliminary Analysis
This study is based on monthly data covering the period ranging from January 2005 to December 2023. The data include the price of seven key industrial metals, namely aluminum (ALM), copper (COP), iron (IRN), lead (LEAD), nickel (NIK), tin (TIN), and zinc (ZNC). These metals were selected due to their critical role in a wide range of industries, particularly renewable energy technologies. Climate risks are measured by the transition risk index (TRI) and the physical risk index (PRI). The TRI and PRI indices were obtained from the publicly available database maintained at PolicyUncertainty.com. These indices measure climate-related risks at a global level and are constructed based on worldwide climate-related news coverage, ensuring broad applicability to financial markets. Regarding metal return data, the price series were extracted from the World Bank Commodities Price Data (The Pink Sheet) provided by [63], which offers a reliable and consistent monthly dataset for commodity prices.
Figure 1 provides a visual representation of both climate risk indices (TRI and PRI) and the industrial metal returns. The figure offers a comparative view of the different series, highlighting how climate risks and metal returns have evolved over time. The volatility in industrial metal returns is evident, with remarkable spikes coinciding chronologically with periods of increased climate risks, thereby suggesting a potential connection between climatic risks and industrial metal markets.
Figure 1.
Climate risks and industrial metal returns over time.
Table 1 provides a summary of descriptive statistics and a preliminary analysis of the variables under consideration. For climate risk indices, the mean values are close to zero, while those of metal returns range from 0.072% for aluminum to 0.563% for iron. The standard deviation, which informs on the average volatility and market risk, stands between 5.266% and 10.555% for the same metals. To check for the normality, we employed the skewness, excess Kurtosis, and the Jarque–Bera tests. The values of skewness and excess Kurtosis are notably different from zero. Furthermore, the p-values of the Jarque–Bera normality test are below the 5% significance level for all metal return series, indicating that they deviate from the normal distribution. Finally, the results of the ADF, PP, and KPSS unit root tests reject the hypothesis of a unit root for all variables. Consequently, all variables were considered stationary.
Table 1.
Descriptive statistics and preliminary checks of the data.
3.2. Empirical Methodology
First introduced by [64], the quantile regression (QR) postulates that the impact of an explanatory variable on a dependent variable may vary at various quantile orders or distributional levels. The quantile-on-quantile regression (QQR), which asserts that the connection between two variables depends on the distributional levels of the two variables concurrently, was developed by [65] as an extension of the QR. When implementing the QQR, the quantiles of both independent and dependent variables are taken into consideration. However, a limitation of the QQR lies in its univariate specification, as it considers only a single explanatory variable. To overcome this shortcoming, [38] recently extended the univariate QQR to a multivariate QQR (m-QQR) framework.
Based on the traditional QQR introduced by [65], the impact of different quantiles of climate risks on the different quantiles of the metal returns () may be written as follows:
where and denote the quantile’s order of the dependent and independent variable, respectively, and is the error term.
The model in Equation (1), specified by [65], is a univariate QQR model in which only one independent variable can be considered. However, introducing only one variable in the regression is not adequate in various cases. To address this limitation, [38] proposed an extension of the model to include more than one variable by proposing the m-QQR model, allowing the investigation of the effect of the quantiles of any set of independent variables on the quantiles of the dependent variable.
In this study, the effects of the quantiles of both transition (TRI) and physical (PRI) climate risks on the quantiles of metal returns can be written as follows:
where and are the quantiles of the transition (TRI) and physical (PRI) risk indices, respectively, and is the quantile of the metal returns ().
4. Empirical Results
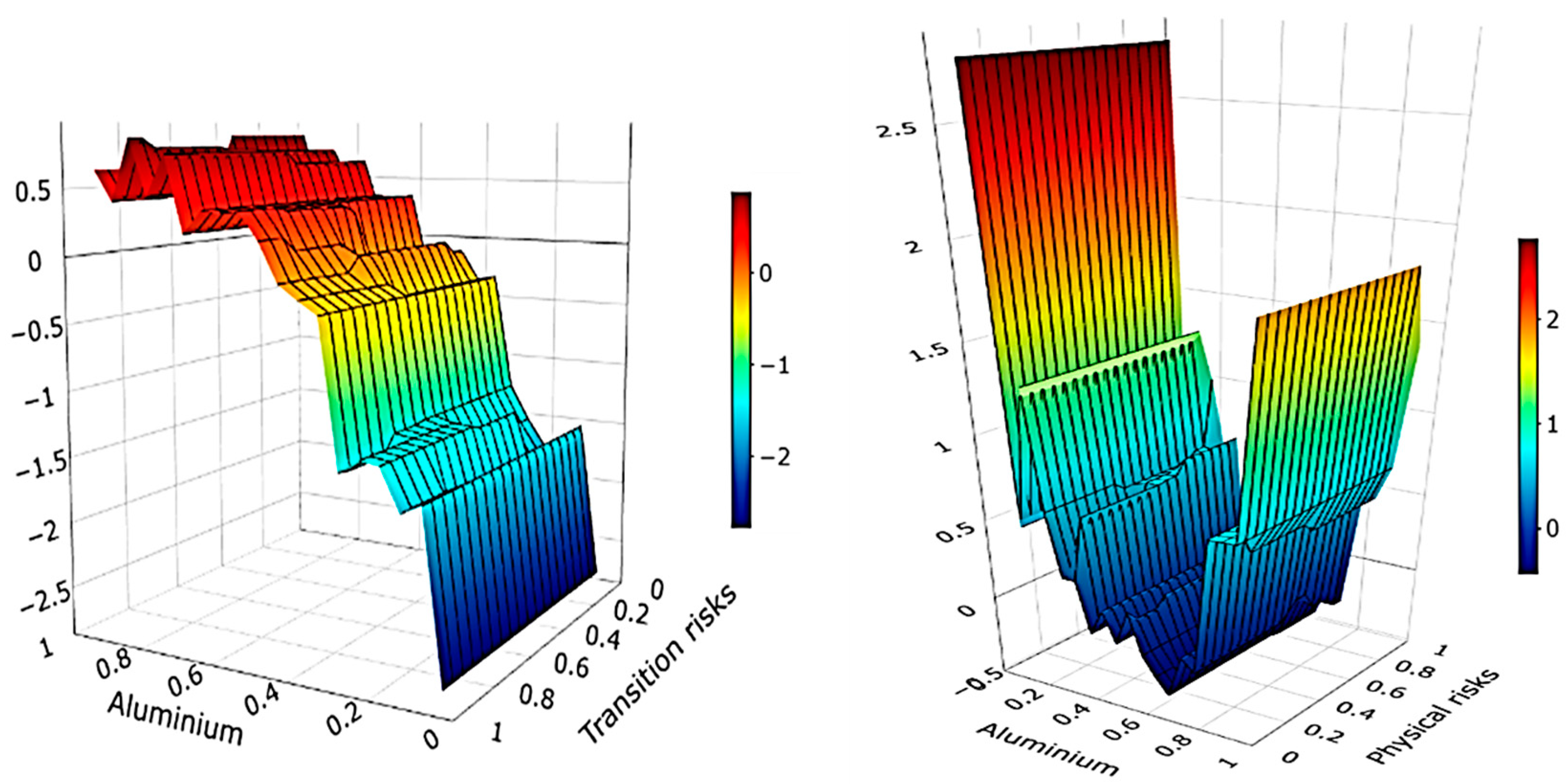
The estimated results relative to the different metals, derived from the m-QQR model in Equation (2), are reported in Figure 2, Figure 3, Figure 4, Figure 5, Figure 6, Figure 7 and Figure 8. Moreover, Table A1, Table A2, Table A3, Table A4, Table A5, Table A6 and Table A7 in Appendix A provide the numerical results corresponding to the graphical visualizations. The estimation results were derived from an analysis employing 19 quantiles, spanning the range from 0.05 to 0.95. Figure 2 depicts the impact of TRI and PRI on aluminum returns. The outcomes reveal that the impact of TRI on aluminum returns varies across quantiles. Specifically, transition risks have a more substantial negative impact on aluminum returns at lower quantiles of aluminum returns. This indicates that the effects of transition risks are detrimental and more significant during periods of aluminum market downturns, i.e., when the aluminum market is bearish. However, for higher quantiles of aluminum returns expressing bullish market conditions, the influence of TRI drops, suggesting a more neutral to slightly positive correlation between TRI and aluminum returns during favorable market conditions. The impact of physical risks (PRI) demonstrates a somewhat more pronounced effect at the extreme quantiles of the aluminum market, specifically during both the extreme lower and upper quantiles. This finding indicates that aluminum returns are particularly affected by physical risks under both extreme negative and positive market conditions. The nonlinear nature of this relationship highlights how different types of risk might affect metal returns asymmetrically. Although the effects of TRI and PRI are generally stable across the distribution of transition and physical risks, we note slight increases at moderate and high levels of TRI and PRI. These results suggest that climate risk impacts on aluminum returns are largely driven by aluminum return quantiles.
Figure 2.
Impact of transition and physical risks on aluminum returns.
Figure 3.
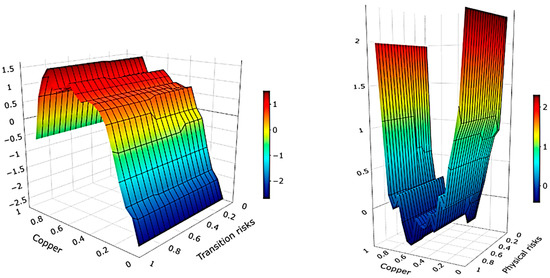
Impact of transition and physical risks on copper returns.
Figure 4.
Impact of transition and physical risks on iron returns.
Figure 5.
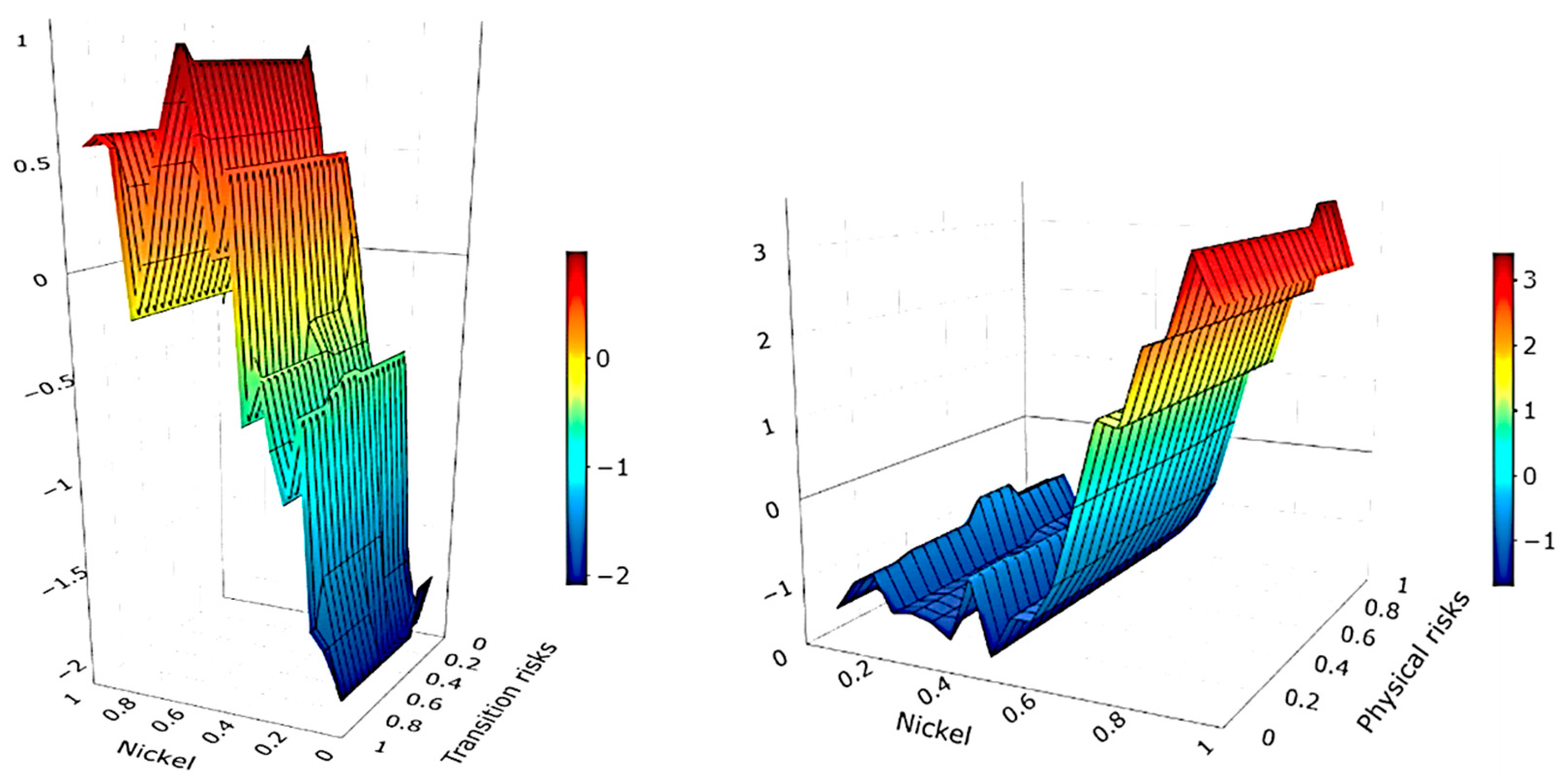
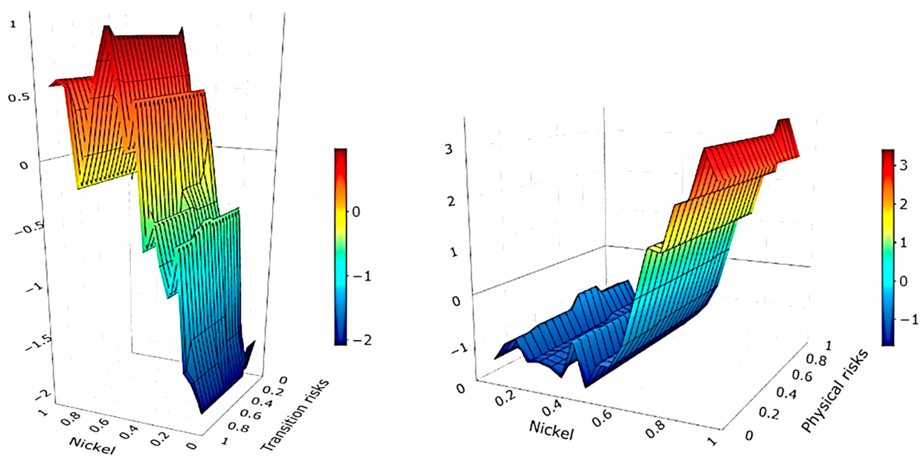
Impact of transition and physical risks on nickel returns.
Figure 6.
Impact of transition and physical risks on tin returns.
Figure 7.
Impact of transition and physical risks on lead returns.
Figure 8.
Impact of transition and physical risks on zinc returns.
The trends in copper return responses to TRI and PRI, illustrated in Figure 3, are almost similar to those observed for aluminum. The negative impact of TRI is found to be more pronounced during copper market downturns, indicating a higher sensitivity of copper returns to transition risks under bearish copper market conditions. The effects of TRI on copper returns decreases when copper market conditions improve. As we move toward the upper quantiles, the impact of TRI declines, implying that transition risks have less influence on copper returns during bullish market conditions. On the other hand, the impact of PRI follows a slightly more positive trend at mid and high quantiles, indicating that physical risks could be positively associated with copper returns when the market is performing well. Conversely, this positive influence is not sustained at very low quantiles, where the aforementioned risks exert a significant negative impact on returns during periods of market stress.
Figure 4 illustrates that iron returns exhibit a greater response to transition risks than aluminum and copper. Specifically, the findings indicate a highly fluctuant positive influence of TRI on iron returns, predominantly observed during periods of normal and bullish market conditions. In other words, the investigated effect changes suddenly, following the distributional levels of iron market returns. However, this effect is less pronounced at lower quantiles of metal returns. The observed substantial variation in the impact of TRI may be attributed to the heterogeneous policy changes and shifts accompanying the energy transition process. The impact of PRI shows a different pattern compared to TRI. Indeed, Figure 4 suggests a negative impact at most quantiles’ levels of iron returns. This impact becomes more pronounced when the iron market is performing well, indicating vulnerability to physical risks. The relationship becomes more neutral or slightly positive in lower quantiles, suggesting resilience or even benefit from physical risks during good conditions of the iron market.
Figure 5 depicts the impact of transition and physical risks on nickel returns. This metal shows a strong negative reaction to TRI at lower quantiles, similar to other metals, indicating that transition risks have the most adverse effects when returns are low, i.e., bearish nickel market conditions. However, at higher quantiles, the effect becomes neutral or even slightly positive. This could indicate that investors perceive the energy transition as a long-term benefit rather than a risk for nickel under good market conditions. On the other hand, the PRI reflects a mixed relationship, where nickel returns are slightly more sensitive to physical risks across a broader range of quantiles. Indeed, the effect of physical risk on nickel returns change from negative to positive when moving from bearish to bullish market conditions. The observed differential sensitivity of nickel returns to PRI vis-à-vis TRI reflects the direct impact of climate disruptions on the production and supply chain dynamics of nickel. Particularly, the high negative impact of physical climate risks on this metal under bearish conditions may be explained by the operational disruptions, increased costs, and reduced supply caused by extreme weather events and environmental changes. However, under bullish market conditions, the effect turns positive as supply constraints from physical risks lead to higher prices, benefiting producers and investors. These dynamic impacts of physical risks highlight the dual role of such risks in creating challenges during downturns while potentially driving price gains during market upswings.
The response of tin returns to transition and physical risks is presented in Figure 6. As shown, tin returns demonstrate a response to transition risks consistent with that observed for most other metals, exhibiting strong negative effects at lower quantiles, diminishing impacts at medium quantiles and positive effects at higher quantiles. The reaction of tin returns to physical climate risk shocks is reversed compared to transition risks. Indeed, when the tin market is bearish, the impact of PRI is highly positive, likely reflecting its status as a critical material in rebuilding and mitigating the impacts of physical climate events. This effect drops significantly as the quantile order increases to achieve a slight positive impact for the highest quantiles. These opposing patterns underscore the dual role of tin as both a transitional and adaptive resource in response to environmental and market dynamics.
Figure 7 displays the impact of both transition and physical risks on lead returns. As shown, returns are heavily influenced by transition risks when the lead market is under bearish conditions (lower quantiles). This result suggests that these risks significantly depress lead returns when the market is struggling. However, as with other metals, the effect becomes positive and less pronounced in higher quantiles. The effects of physical risks on lead returns are still negative but less consistent when lead market is bearish. However, the effect of PRI on lead returns becomes positive and more pronounced at high quantiles.
Figure 8 presents the impact of both transition and physical risks on zinc returns. The results show different patterns between the two types of climate risk. The impact of TRI is negative at low to moderate quantile orders of zinc returns. Nevertheless, at higher quantiles, corresponding to bullish market conditions, the impact of TRI increases and becomes positive, suggesting that transition risks may have a less negative or, potentially, positive influence on zinc returns. The intensive negative impact under low quantiles can be attributed to the cost associated with stricter environmental regulations and decarbonization policies. On the other hand, the results show a different picture regarding the effect of physical risks on zinc returns. Indeed, the substantial variability of the impact is indicative of a strong negative effect at lower quantiles of zinc returns, possibly resulting from disruptions in production or supply chain operations due to physical climate risks. As market conditions improve (higher quantiles), the impact of PRI turns positive, suggesting that supply constraints resulting from physical risks can drive up prices and support returns during bullish periods.
5. Discussion of the Results
The findings of this study generally suggest that, during periods of metal market downturns, transition risks generally tend to exert a negative influence on metal returns. Such an effect may be mainly justified by the role of transition risks, represented by policy changes, regulation shifts, and market adjustments, in increasing costs for industries reliant on metals as inputs. Additionally, transition risks are generally associated with policies promoting cleaner energy sources and more stringent environmental regulations which result in reduced demand for metals supporting high-emission industries, like construction and heavy manufacturing sectors. This indicates that increased transition risks contribute to lower returns in metal markets during periods of market downturns. Indeed, the prices of several metals have exhibited sharp decreases over the latest decades. For instance, aluminum price fell from USD 3071.24 in July 2008 to USD 1330.20 in February 2009 [63]. Ref. [66] reported that the aluminum price fell over 40% in 2009, primarily due to the global financial crisis and the associated global economic recession which resulted in reduced demand for aluminum from key industrial sectors. Furthermore, [67] argued that overproduction has also contributed to the sharp decline in aluminum prices by creating supply–demand imbalances. The price of copper also fell from USD 8414.04 to USD 3314.73 during the same period.
Another key finding of the study is that, during bullish markets, the effects of transition risks on some metal returns shift from negative to neutral at medium quantiles, then turn positive at high quantiles. These outcomes reveal that investors consider transition risks as potential growth opportunities during metal market optimism episodes, particularly in sectors such as renewable energy and electric vehicles. Indeed, some industrial metals, including copper and nickel, play a vital role in the energy transition, resulting in increased demand for those metals. As an example of this situation, the transition to clean energy sources, spurred by the 2015 Paris Agreement, has resulted in a heightened demand for some industrial metals, including copper and nickel, crucial for renewable energy infrastructure. Ref. [66] noted a sharp increase in copper prices starting from 2016, a phenomenon which subsequently led [68] to identify it as the best-performing commodity in 2017. Furthermore, the prices of metals needed for renewable energy technologies, especially nickel and copper, were significantly affected by the increased transition risks stemming from the 2021 energy crisis and by the rising regulatory pressure for decarbonization. The prices of nickel and copper increased from USD 12,715.55 and USD 5687.75 in February 2020 to USD 33,132.74 and USD 10,161.38 in April 2022, respectively [63]. These outcomes demonstrate the importance of policymakers adopting a balanced approach when implementing energy transition policies. Sudden or stringent environmental regulations could exacerbate economic slowdowns in industries heavily reliant on industrial metals. On the contrary, a gradual approach to the energy transition could help mitigate the risks, enabling industries to adapt without severe disruptions.
Physical climate risks have a more nuanced impact on the metals’ returns, which can be observed in a broader range of metal markets. More precisely, physical risks show a heightened influence on the metal’s returns even under bearish market conditions. Physical risks, which refer to climate-related whether events, can disrupt metal production and increase operational costs. The results indicate that metals such as aluminum and lead, heavily used in the construction and energy sectors, are more vulnerable to these risks, leading to a significant drop in returns during adverse market conditions. Another interesting finding is that physical risks positively affect the returns of some industrial metals, including copper and iron, during bullish market conditions, a phenomenon which implies that the producers of these metals may gain from the supply constraints imposed by these risks. For example, extreme weather events in metal-abundant regions may be subject to supply chain disruptions and increased prices, thereby boosting the returns of metal prices. The statistically significant effects of physical risks on metal returns suggest the importance of supply chain resilience, particularly for metals employed in renewable energy technologies, which may be subject to an increased demand while simultaneously becoming more vulnerable to climate events.
The m-QQR also indicates that the repercussions of climate risks on metal returns remain relatively stable across different levels of risk exposure. However, these impacts vary depending on the distribution of metal returns. This indicates that metal markets react differently to climate risks depending on whether the market is experiencing bearish, stable, or bullish conditions. During market downturns, investors might view metals as essential resources for climate adaptation efforts, potentially increasing their sensitivity to climate risks. Conversely, the demand for metals might indicate higher economic growth trends during bullish market conditions, thereby diminishing the impact of climate risks. The stability in risk impacts indicates that climate risks primarily influence metals by affecting investor behavior and market sentiment rather than through direct changes in risk levels. It underscores the significance of understanding market-specific dynamics in order to anticipate the consequences of climate-related events. The m-QQR also suggests distinct quantile-specific findings, confirming that climate risks influence metal returns in different ways across various market conditions. During periods of market distress (lower quantiles), investors often exhibit risk aversion and react more to detrimental climate risks, causing both TRI and PRI to lower metal returns. Transition risks are particularly harmful during market downturns, since costs related to compliance with environmental regulations and transition to cleaner energy are perceived as challenges for companies. On the contrary, the negative impact of transition risks diminishes during periods of market expansion (higher quantiles), while physical risks can even have a positive effect on metal returns. This suggests that, under bullish market conditions, investors may view the energy transition as a long-term opportunity rather than a potential risk.
These results offer important insights for investors in the metal market. Indeed, the changing sensitivity of different metals to climate risks under different market conditions suggests the necessity of portfolio diversification to mitigate potential adverse impacts. For instance, metals like copper and nickel, both of which demonstrate resilience at higher quantiles, may serve as effective hedges against losses in metals that are more vulnerable to transition risks, like aluminum and lead. In addition, the asymmetric effects of climate risks suggest that hedging strategies, such as futures contracts and options, may be especially effective in times of market stress. The outcomes also underscore the importance of effective climate risk management for mining sector participants. Specifically, companies should adopt climate adaptation strategies to reduce the detrimental repercussions of physical risks. Moreover, industries involved in the mining sector should focus on innovation and sustainability by developing low-carbon technologies and increasing the recyclability of metals.
6. Conclusions and Policy Implications
This research examines the impact of climate risks, both transition and physical, on the returns of major industrial metals, i.e., aluminum, copper, iron, lead, nickel, tin, and zinc, using monthly data between January 2005 and December 2023. The empirical investigation employs the multivariate quantile-on-quantile regression (m-QQR) model to capture the nonlinear effects of climate risks on metal returns across different levels of climate risk exposure and market conditions. The findings indicate that the impact of transition climate risks on metal returns is more pronounced under bearish market conditions, a finding which confirms the challenges inherent in regulatory changes and technological shifts for metal markets. In contrast, the physical risks inherent in climate-related disasters give rise to price volatility and supply chain disruptions, particularly during periods of market performance. Interestingly, metals that are critical to energy transition, such as copper and nickel, are found to exhibit better resilience to climate risks and even benefit from a rising demand during higher quantiles. To summarize, this research highlights the role of climate risk in metal market performance in the context of global energy transition. These results provide market participants with new insights into the nonlinear effects of climate risks on industrial metal markets.
The results of this study have important implications for policymakers, market regulators, and industries involved in the metal market. First, the findings underline the importance of a well-designed and coordinated regulatory framework for managing transition risks. Stringent environmental regulations can impose important costs for industries relying heavily on metals, particularly during economic downturns. It is important to balance the need to mitigate climate change with the potential adverse implications for these industries. In such a situation, a gradual implementation of climate mitigation and adaptation policies, in conjunction with incentives for adopting low-carbon technologies, may provide companies with the time and resources to conduct a smooth and successful energy transition process. Such a strategy would mitigate the risk of significant declines in metal returns while simultaneously achieving environmental objectives. Furthermore, the study underscores the importance of some metals, including copper and nickel, which are vital for the development of renewable energy technologies. Consequently, governments must prioritize the development of environmentally focused metal markets by incentivizing greater capital allocation to the mining sector. This is especially important for regions vulnerable to extreme weather events that could disrupt industrial metal production. Providing financial support for research and development in green technologies and investing in clean energy infrastructure may stabilize the demand for industrial metals and secure the supply chain, thereby promoting long-term market resilience. Additionally, the outcomes highlight the need for adaptation to physical risks that may significantly disrupt metal supply chains. Policymakers should, therefore, promote investments in climate-resilient infrastructure and develop early-warning systems to reduce the adverse repercussions of climate disasters. In this context, diversifying metal supply chains can help mitigate metal supply shortages and reduce price volatility. It is essential to establish regulatory frameworks to mitigate the adverse repercussions of physical risks on metal markets and promote climate-resilient supply chains. The analysis indicates that the asymmetric impacts of climate risks on metal returns require investors to incorporate climate risk assessments into their decision-making strategies. Policymakers can, therefore, promote sustainable finance instruments by supporting green bond markets, establishing standards for climate risk disclosure, and promoting the development of climate risk insurance products. Such measures could encourage investors to address climate change-related financial risks and promote sustainable practices in the metal industry. Finally, international collaboration is crucial to address global climate issues. International agreements on emission reduction and joint investments in renewable energy infrastructure can enhance global resilience in the metal market. The coordinated efforts may lead to a more unified strategy for climate risk management while facilitating the transition to a low-carbon economy.
Author Contributions
Conceptualization, O.B.-S., M.Z., S.S.W., B.R. and F.N.; methodology, O.B.-S., M.Z. and B.R.; software, O.B.-S. and B.R.; validation, M.Z., S.S.W. and Y.M.A.; data curation, M.Z., F.N. and Y.M.A.; writing—original draft preparation, O.B.-S., M.Z., S.S.W. and F.N.; writing—review and editing, O.B.-S., M.Z., B.R. S.S.W., F.N. and Y.M.A.; supervision, O.B.-S. All authors have read and agreed to the published version of the manuscript.
Funding
The authors extend their appreciation to the Deanship of Scientific Research at the Northern Border University for funding this work through the research group No. (RG-NBU-2022-1817).
Institutional Review Board Statement
Not applicable.
Informed Consent Statement
Not applicable.
Data Availability Statement
Data are available from the corresponding author.
Acknowledgments
The authors extend their appreciation to the Deanship of Scientific Research at the Northern Border University for funding this work through the research group No (RG-NBU-2022-1817).
Conflicts of Interest
The authors declare no conflicts of interest.
Appendix A. m-QQR Parameter Estimates
Table A1.
Parameter estimates of the effects of TRI and PRI on aluminum returns.
Table A1.
Parameter estimates of the effects of TRI and PRI on aluminum returns.
| ALUMINUM | |||||||||||||||||||
|---|---|---|---|---|---|---|---|---|---|---|---|---|---|---|---|---|---|---|---|
| 0.05 | 0.10 | 0.15 | 0.20 | 0.25 | 0.30 | 0.35 | 0.40 | 0.45 | 0.50 | 0.55 | 0.60 | 0.65 | 0.70 | 0.75 | 0.80 | 0.85 | 0.90 | 0.95 | |
| TRI | |||||||||||||||||||
| 0.05 | −2.75 | −1.52 | −1.82 | −1.73 | −1.51 | −1.24 | −0.32 | −0.35 | −0.10 | −0.26 | −0.30 | 0.35 | 0.34 | 0.20 | 0.65 | 0.46 | 0.75 | 0.39 | 0.87 |
| 0.10 | −2.75 | −1.52 | −1.82 | −1.73 | −1.51 | −1.24 | −0.32 | −0.35 | −0.10 | −0.26 | −0.30 | 0.35 | 0.34 | 0.20 | 0.65 | 0.46 | 0.75 | 0.39 | 0.87 |
| 0.15 | −2.75 | −1.52 | −1.82 | −1.73 | −1.51 | −1.24 | −0.32 | −0.35 | −0.01 | −0.26 | −0.28 | 0.35 | 0.37 | 0.20 | 0.65 | 0.46 | 0.75 | 0.39 | 0.87 |
| 0.20 | −2.75 | −1.52 | −1.82 | −1.73 | −1.51 | −1.24 | −0.32 | −0.35 | −0.01 | −0.24 | −0.28 | 0.35 | 0.37 | 0.20 | 0.65 | 0.46 | 0.75 | 0.39 | 0.87 |
| 0.25 | −2.75 | −1.52 | −1.82 | −1.32 | −1.51 | −1.24 | −0.32 | −0.35 | −0.01 | −0.24 | −0.28 | 0.35 | 0.37 | 0.20 | 0.65 | 0.46 | 0.75 | 0.39 | 0.87 |
| 0.30 | −2.75 | −1.52 | −1.82 | −1.32 | −1.51 | −1.24 | −0.32 | −0.35 | −0.01 | −0.24 | −0.28 | 0.35 | 0.37 | 0.20 | 0.65 | 0.46 | 0.75 | 0.41 | 0.87 |
| 0.35 | −2.75 | −1.52 | −1.82 | −1.32 | −1.51 | −1.24 | −0.32 | −0.35 | −0.01 | −0.24 | −0.28 | 0.35 | 0.37 | 0.20 | 0.65 | 0.46 | 0.75 | 0.41 | 0.87 |
| 0.40 | −2.75 | −1.52 | −1.82 | −1.32 | −1.51 | −1.24 | −0.32 | −0.35 | −0.01 | −0.24 | 0.04 | 0.35 | 0.37 | 0.20 | 0.65 | 0.46 | 0.75 | 0.41 | 0.87 |
| 0.45 | −2.75 | −1.52 | −1.82 | −1.32 | −1.51 | −1.24 | −0.32 | −0.35 | −0.01 | −0.24 | 0.28 | 0.35 | 0.37 | 0.20 | 0.76 | 0.46 | 0.77 | 0.41 | 0.64 |
| 0.50 | −2.75 | −1.52 | −1.82 | −1.29 | −1.28 | −1.24 | −0.32 | −0.35 | −0.01 | −0.24 | 0.33 | 0.35 | 0.37 | 0.20 | 0.76 | 0.46 | 0.77 | 0.41 | 0.64 |
| 0.55 | −2.75 | −1.52 | −1.82 | −1.29 | −1.28 | −1.24 | −0.32 | −0.23 | −0.01 | −0.13 | 0.33 | 0.35 | 0.37 | 0.20 | 0.76 | 0.46 | 0.77 | 0.41 | 0.64 |
| 0.60 | −2.75 | −1.52 | −1.82 | −1.29 | −1.28 | −1.26 | −0.32 | −0.23 | −0.01 | 0.07 | 0.33 | 0.35 | 0.37 | 0.20 | 0.76 | 0.46 | 0.80 | 0.41 | 0.64 |
| 0.65 | −2.75 | −1.52 | −1.82 | −1.29 | −1.28 | −1.26 | −0.32 | −0.23 | −0.13 | 0.07 | 0.34 | 0.35 | 0.37 | 0.20 | 0.76 | 0.46 | 0.80 | 0.41 | 0.64 |
| 0.70 | −2.75 | −1.52 | −1.82 | −1.29 | −1.28 | −1.26 | −0.32 | −0.23 | −0.13 | 0.07 | 0.34 | 0.35 | 0.37 | 0.20 | 0.76 | 0.46 | 0.80 | 0.41 | 0.64 |
| 0.75 | −2.75 | −1.52 | −1.60 | −1.29 | −1.28 | −1.39 | −0.32 | −0.22 | −0.13 | 0.07 | 0.34 | 0.35 | 0.37 | 0.20 | 0.76 | 0.46 | 0.80 | 0.41 | 0.64 |
| 0.80 | −2.75 | −1.52 | −1.60 | −1.29 | −1.28 | −1.39 | −0.32 | −0.22 | −0.12 | 0.07 | 0.37 | 0.35 | 0.37 | 0.20 | 0.76 | 0.46 | 0.80 | 0.41 | 0.64 |
| 0.85 | −2.75 | −1.52 | −1.60 | −1.29 | −1.28 | −1.39 | −0.32 | −0.22 | −0.12 | 0.17 | 0.37 | 0.35 | 0.37 | 0.20 | 0.76 | 0.46 | 0.80 | 0.41 | 0.64 |
| 0.90 | −2.75 | −1.52 | −1.60 | −1.29 | −1.28 | −1.39 | −0.32 | −0.22 | −0.12 | 0.17 | 0.37 | 0.35 | 0.37 | 0.20 | 0.76 | 0.46 | 0.87 | 0.41 | 0.64 |
| 0.95 | −2.75 | −1.52 | −1.60 | −1.29 | −1.28 | −1.38 | −0.32 | −0.22 | −0.12 | 0.17 | 0.37 | 0.35 | 0.37 | 0.20 | 0.76 | 0.46 | 0.87 | 0.41 | 0.64 |
| PRI | |||||||||||||||||||
| 0.05 | 2.77 | 0.47 | 1.29 | 0.59 | 0.20 | 0.20 | −0.12 | 0.05 | −0.14 | 0.09 | −0.18 | −0.30 | −0.40 | −0.12 | −0.20 | 0.65 | 0.66 | 0.66 | 1.82 |
| 0.10 | 2.77 | 0.47 | 1.29 | 0.59 | 0.20 | 0.57 | −0.12 | 0.05 | −0.14 | 0.02 | −0.18 | −0.30 | −0.40 | −0.12 | −0.20 | 0.65 | 0.66 | 0.66 | 1.82 |
| 0.15 | 2.77 | 0.47 | 1.29 | 0.59 | 0.20 | 0.57 | −0.12 | 0.05 | −0.14 | 0.02 | −0.18 | −0.30 | −0.40 | −0.12 | −0.20 | 0.65 | 0.66 | 0.66 | 1.82 |
| 0.20 | 2.77 | 0.47 | 1.29 | 0.59 | 0.20 | 0.57 | −0.12 | 0.05 | −0.14 | 0.02 | −0.18 | −0.37 | −0.40 | −0.12 | −0.20 | 0.65 | 0.52 | 0.66 | 1.82 |
| 0.25 | 2.77 | 0.47 | 1.29 | 0.59 | 0.20 | 0.57 | −0.12 | 0.05 | −0.14 | 0.08 | −0.18 | −0.37 | −0.40 | −0.12 | −0.20 | 0.65 | 0.52 | 0.66 | 1.82 |
| 0.30 | 2.77 | 0.47 | 1.29 | 0.59 | 0.20 | 0.57 | −0.12 | 0.04 | −0.14 | 0.08 | −0.18 | −0.37 | −0.40 | −0.12 | −0.20 | 0.60 | 0.52 | 0.66 | 1.82 |
| 0.35 | 2.77 | 0.47 | 1.29 | 0.59 | 0.20 | 0.57 | −0.12 | 0.04 | −0.15 | 0.08 | −0.18 | −0.37 | −0.40 | −0.12 | −0.20 | 0.60 | 0.52 | 0.66 | 1.82 |
| 0.40 | 2.77 | 0.47 | 1.29 | 0.59 | 0.20 | 0.57 | −0.12 | 0.04 | −0.15 | 0.08 | −0.18 | −0.37 | −0.40 | −0.12 | −0.20 | 0.60 | 0.52 | 0.66 | 1.82 |
| 0.45 | 2.77 | 0.47 | 1.29 | 0.54 | 0.20 | 0.57 | −0.12 | 0.04 | −0.15 | 0.08 | −0.18 | −0.37 | −0.40 | −0.18 | −0.20 | 0.60 | 0.52 | 0.66 | 1.82 |
| 0.50 | 2.77 | 0.47 | 1.29 | 0.54 | 0.57 | 0.57 | −0.12 | 0.04 | −0.15 | 0.08 | −0.18 | −0.37 | −0.40 | −0.18 | −0.20 | 0.60 | 0.52 | 0.66 | 1.82 |
| 0.55 | 2.77 | 0.47 | 1.29 | 0.54 | 0.57 | 0.58 | −0.12 | 0.04 | −0.15 | 0.08 | −0.16 | −0.37 | −0.40 | −0.18 | −0.20 | 0.60 | 0.45 | 0.66 | 1.82 |
| 0.60 | 2.77 | 0.47 | 1.29 | 0.54 | 0.57 | 0.58 | −0.12 | 0.04 | −0.36 | 0.08 | −0.16 | −0.37 | −0.40 | −0.18 | −0.14 | 0.60 | 0.45 | 0.66 | 1.82 |
| 0.65 | 2.77 | 0.47 | 1.29 | 0.54 | 0.57 | 0.66 | −0.12 | 0.04 | −0.36 | 0.08 | −0.16 | −0.37 | −0.40 | −0.18 | −0.09 | 0.60 | 0.45 | 0.66 | 1.82 |
| 0.70 | 2.77 | 0.47 | 1.29 | 0.54 | 0.57 | 0.66 | −0.12 | 0.04 | −0.36 | 0.08 | −0.16 | −0.37 | −0.42 | −0.18 | −0.09 | 0.60 | 0.45 | 0.66 | 1.82 |
| 0.75 | 2.77 | 0.47 | 1.29 | 0.54 | 0.57 | 0.66 | −0.12 | 0.04 | −0.36 | −0.16 | −0.22 | −0.37 | −0.42 | −0.18 | −0.21 | 0.60 | 0.45 | 0.66 | 1.82 |
| 0.80 | 2.77 | 0.47 | 1.29 | 0.54 | 0.59 | 0.66 | −0.12 | −0.13 | −0.36 | −0.16 | −0.22 | −0.37 | −0.42 | −0.18 | −0.21 | 0.60 | 0.45 | 0.66 | 1.82 |
| 0.85 | 2.77 | 0.47 | 1.29 | 0.60 | 0.59 | 0.66 | −0.12 | −0.13 | −0.36 | −0.16 | −0.22 | −0.41 | −0.42 | −0.18 | −0.25 | 0.60 | 0.45 | 0.66 | 1.82 |
| 0.90 | 2.77 | 0.47 | 1.29 | 0.60 | 0.59 | 0.66 | −0.12 | −0.13 | −0.36 | −0.16 | −0.22 | −0.41 | −0.42 | −0.21 | −0.29 | 0.60 | 0.45 | 0.66 | 1.82 |
| 0.95 | 2.77 | 0.47 | 1.29 | 1.01 | 0.59 | 0.66 | −0.12 | −0.13 | −0.36 | −0.16 | −0.22 | −0.41 | −0.42 | −0.21 | −0.29 | 0.41 | 0.45 | 0.66 | 1.37 |
Table A2.
Parameter estimates of the effects of TRI and PRI on copper returns.
Table A2.
Parameter estimates of the effects of TRI and PRI on copper returns.
| COPPER | |||||||||||||||||||
|---|---|---|---|---|---|---|---|---|---|---|---|---|---|---|---|---|---|---|---|
| 0.05 | 0.10 | 0.15 | 0.20 | 0.25 | 0.30 | 0.35 | 0.40 | 0.45 | 0.50 | 0.55 | 0.60 | 0.65 | 0.70 | 0.75 | 0.80 | 0.85 | 0.90 | 0.95 | |
| TRI | |||||||||||||||||||
| 0.05 | −2.67 | −2.07 | −1.79 | −1.10 | −0.22 | 0.08 | 0.73 | 0.68 | 0.75 | 0.73 | 0.97 | 1.15 | 0.90 | 0.94 | 1.02 | 1.50 | 1.20 | 0.69 | −0.63 |
| 0.10 | −2.67 | −2.07 | −1.79 | −1.10 | −0.22 | 0.08 | 0.73 | 0.72 | 0.85 | 0.73 | 0.97 | 1.15 | 0.90 | 0.94 | 1.02 | 1.50 | 1.20 | 0.69 | −0.63 |
| 0.15 | −2.67 | −2.07 | −1.79 | −1.10 | −0.22 | 0.09 | 0.73 | 0.72 | 0.85 | 0.73 | 0.97 | 1.15 | 0.90 | 0.94 | 1.02 | 1.50 | 1.20 | 0.69 | −0.63 |
| 0.20 | −2.67 | −2.07 | −1.79 | −1.10 | −0.22 | 0.09 | 0.73 | 0.72 | 0.85 | 0.73 | 0.97 | 1.15 | 0.90 | 0.94 | 1.02 | 1.50 | 1.20 | 0.69 | −0.63 |
| 0.25 | −2.67 | −2.07 | −1.79 | −1.10 | −0.22 | 0.09 | 0.73 | 0.79 | 0.85 | 0.73 | 0.97 | 1.15 | 1.05 | 0.94 | 1.02 | 1.50 | 1.20 | 0.69 | −0.63 |
| 0.30 | −2.67 | −2.07 | −1.79 | −1.10 | −0.42 | 0.09 | 0.73 | 0.79 | 0.85 | 0.73 | 0.97 | 1.15 | 1.05 | 0.94 | 1.02 | 1.50 | 1.20 | 0.69 | −0.63 |
| 0.35 | −2.67 | −2.07 | −1.79 | −1.10 | −0.42 | 0.09 | 0.73 | 0.79 | 0.85 | 0.73 | 0.97 | 1.15 | 1.05 | 0.94 | 0.97 | 1.50 | 1.25 | 0.69 | −0.63 |
| 0.40 | −2.67 | −2.07 | −1.79 | −1.10 | −0.42 | 0.09 | 0.73 | 0.79 | 0.85 | 0.73 | 0.97 | 1.15 | 1.05 | 0.94 | 0.97 | 1.50 | 1.25 | 0.69 | −0.63 |
| 0.45 | −2.67 | −2.07 | −1.79 | −1.10 | −0.42 | 0.09 | 0.73 | 0.79 | 0.85 | 0.73 | 0.97 | 1.15 | 1.05 | 0.94 | 0.97 | 1.53 | 1.25 | 0.69 | −0.63 |
| 0.50 | −2.67 | −2.07 | −1.79 | −1.10 | −0.42 | 0.09 | 0.64 | 0.80 | 0.85 | 0.78 | 0.97 | 1.15 | 1.05 | 0.94 | 0.97 | 1.53 | 1.25 | 0.69 | −0.63 |
| 0.55 | −2.67 | −2.07 | −1.79 | −1.10 | −0.42 | 0.32 | 0.64 | 0.80 | 0.85 | 0.78 | 0.97 | 1.15 | 1.05 | 0.94 | 0.97 | 1.53 | 1.25 | 0.69 | −0.63 |
| 0.60 | −2.67 | −2.07 | −1.79 | −1.10 | −0.42 | 0.32 | 0.64 | 0.80 | 0.85 | 0.78 | 0.97 | 1.15 | 1.05 | 0.94 | 0.97 | 1.53 | 1.25 | 0.69 | −0.63 |
| 0.65 | −2.67 | −2.07 | −1.79 | −1.10 | −0.42 | 0.32 | 0.64 | 0.80 | 0.85 | 0.78 | 0.97 | 1.22 | 1.05 | 0.94 | 0.97 | 1.53 | 1.25 | 0.69 | −0.63 |
| 0.70 | −2.67 | −2.07 | −1.74 | −1.10 | −0.42 | 0.32 | 0.64 | 0.80 | 0.85 | 0.78 | 0.97 | 1.22 | 1.05 | 0.94 | 0.97 | 1.53 | 1.25 | 0.69 | −0.63 |
| 0.75 | −2.67 | −2.07 | −1.74 | −1.10 | −0.42 | 0.32 | 0.64 | 0.80 | 0.85 | 0.78 | 0.97 | 1.22 | 1.05 | 0.94 | 0.97 | 1.53 | 1.26 | 0.69 | −0.63 |
| 0.80 | −2.67 | −2.07 | −1.74 | −1.10 | −0.42 | 0.32 | 0.64 | 0.80 | 0.85 | 0.78 | 0.97 | 1.22 | 1.05 | 0.94 | 0.97 | 1.53 | 1.26 | 0.69 | −0.63 |
| 0.85 | −2.67 | −2.07 | −1.74 | −1.10 | −0.42 | 0.32 | 0.64 | 0.80 | 0.85 | 0.78 | 0.97 | 1.22 | 1.05 | 0.94 | 0.97 | 1.53 | 1.26 | 0.69 | −0.63 |
| 0.90 | −2.67 | −2.07 | −1.74 | −1.10 | −0.42 | 0.32 | 0.64 | 0.80 | 0.85 | 0.78 | 0.97 | 1.22 | 1.05 | 0.94 | 0.97 | 1.53 | 1.26 | 0.69 | −0.63 |
| 0.95 | −2.67 | −1.94 | −1.74 | −1.10 | −0.33 | 0.32 | 0.64 | 0.80 | 0.85 | 0.78 | 0.97 | 1.22 | 1.05 | 0.94 | 0.97 | 1.53 | 1.26 | 0.69 | −0.63 |
| PRI | |||||||||||||||||||
| 0.05 | 2.31 | 0.92 | 0.83 | 0.56 | 0.21 | −0.05 | −0.34 | −0.07 | −0.16 | −0.15 | −0.05 | −0.40 | −0.37 | −0.14 | 0.21 | 0.01 | 0.16 | 0.56 | 1.99 |
| 0.10 | 2.31 | 0.92 | 0.83 | 0.56 | 0.21 | −0.05 | −0.34 | −0.07 | −0.16 | −0.15 | −0.05 | −0.40 | −0.37 | −0.14 | 0.21 | 0.01 | 0.16 | 0.56 | 1.99 |
| 0.15 | 2.31 | 1.11 | 0.83 | 0.56 | 0.11 | −0.05 | −0.34 | −0.07 | −0.16 | −0.15 | −0.05 | −0.40 | −0.37 | −0.14 | 0.21 | 0.01 | 0.16 | 0.56 | 1.99 |
| 0.20 | 2.31 | 1.11 | 0.83 | 0.56 | 0.11 | −0.05 | −0.34 | −0.07 | −0.16 | −0.15 | −0.05 | −0.40 | −0.37 | −0.14 | 0.21 | 0.01 | 0.16 | 0.56 | 1.99 |
| 0.25 | 2.31 | 1.11 | 0.83 | 0.58 | 0.11 | −0.05 | −0.34 | −0.07 | −0.16 | −0.15 | −0.05 | −0.40 | −0.37 | −0.14 | 0.21 | 0.01 | 0.16 | 0.65 | 1.99 |
| 0.30 | 2.31 | 1.11 | 0.83 | 0.58 | 0.11 | −0.05 | −0.19 | −0.07 | −0.16 | −0.15 | −0.05 | −0.40 | −0.37 | −0.14 | 0.21 | 0.01 | 0.16 | 0.65 | 1.99 |
| 0.35 | 2.31 | 1.11 | 0.83 | 0.58 | 0.11 | 0.26 | −0.19 | −0.07 | −0.16 | −0.15 | −0.05 | −0.40 | −0.37 | −0.14 | 0.21 | 0.01 | 0.16 | 0.65 | 1.99 |
| 0.40 | 2.31 | 1.11 | 0.92 | 0.58 | 0.11 | 0.26 | −0.19 | −0.07 | −0.16 | −0.15 | −0.05 | −0.40 | −0.37 | −0.14 | 0.21 | 0.01 | 0.16 | 1.09 | 1.99 |
| 0.45 | 2.31 | 1.11 | 0.92 | 0.58 | 0.11 | 0.26 | −0.19 | −0.07 | −0.16 | −0.15 | −0.05 | −0.40 | −0.37 | −0.14 | 0.21 | 0.01 | 0.16 | 1.09 | 1.99 |
| 0.50 | 2.31 | 1.11 | 0.92 | 0.58 | 0.11 | 0.26 | −0.19 | −0.05 | −0.16 | −0.15 | −0.05 | −0.40 | −0.37 | −0.14 | 0.21 | 0.01 | 0.16 | 1.09 | 1.99 |
| 0.55 | 2.31 | 1.11 | 0.92 | 0.58 | 0.11 | 0.26 | −0.19 | −0.05 | −0.16 | −0.15 | −0.05 | −0.40 | −0.37 | −0.14 | 0.21 | 0.01 | 0.16 | 1.09 | 1.99 |
| 0.60 | 2.31 | 1.11 | 0.92 | 0.58 | 0.11 | 0.27 | −0.19 | −0.05 | −0.16 | −0.15 | −0.05 | −0.40 | −0.37 | −0.14 | 0.21 | 0.01 | 0.16 | 1.09 | 1.99 |
| 0.65 | 2.31 | 1.11 | 0.92 | 0.58 | 0.11 | 0.27 | −0.19 | −0.05 | −0.16 | −0.15 | −0.05 | −0.40 | −0.37 | −0.14 | 0.21 | 0.01 | 0.18 | 1.09 | 1.99 |
| 0.70 | 2.31 | 1.11 | 0.92 | 0.58 | 0.11 | 0.27 | −0.19 | −0.05 | −0.16 | −0.14 | −0.05 | −0.40 | −0.37 | −0.14 | 0.21 | 0.01 | 0.18 | 1.09 | 1.99 |
| 0.75 | 2.31 | 1.11 | 0.92 | 0.58 | 0.11 | 0.27 | −0.19 | −0.05 | −0.16 | −0.14 | −0.05 | −0.41 | −0.37 | −0.14 | 0.21 | 0.01 | 0.18 | 1.09 | 1.99 |
| 0.80 | 2.31 | 1.11 | 0.92 | 0.58 | 0.11 | 0.27 | −0.19 | 0.01 | −0.16 | −0.14 | −0.05 | −0.41 | −0.37 | −0.14 | 0.21 | 0.01 | 0.18 | 1.09 | 1.99 |
| 0.85 | 2.31 | 1.11 | 0.92 | 0.58 | 0.11 | 0.27 | −0.19 | 0.01 | −0.16 | −0.14 | −0.05 | −0.41 | −0.37 | −0.14 | 0.21 | 0.01 | 0.18 | 1.09 | 1.99 |
| 0.90 | 2.31 | 1.11 | 0.92 | 0.58 | 0.11 | 0.27 | −0.19 | 0.01 | −0.16 | −0.14 | −0.05 | −0.41 | −0.37 | −0.14 | 0.21 | 0.01 | 0.18 | 1.09 | 1.99 |
| 0.95 | 2.31 | 1.31 | 0.92 | 0.62 | 0.11 | 0.27 | −0.19 | 0.06 | −0.16 | −0.14 | −0.05 | −0.41 | −0.37 | −0.14 | 0.21 | 0.01 | 0.19 | 1.09 | 1.99 |
Table A3.
Parameter estimates of the effects of TRI and PRI on iron returns.
Table A3.
Parameter estimates of the effects of TRI and PRI on iron returns.
| IRON | |||||||||||||||||||
|---|---|---|---|---|---|---|---|---|---|---|---|---|---|---|---|---|---|---|---|
| 0.05 | 0.10 | 0.15 | 0.20 | 0.25 | 0.30 | 0.35 | 0.40 | 0.45 | 0.50 | 0.55 | 0.60 | 0.65 | 0.70 | 0.75 | 0.80 | 0.85 | 0.90 | 0.95 | |
| TRI | |||||||||||||||||||
| 0.05 | 2.53 | −0.04 | 0.84 | 1.26 | 2.08 | 2.69 | 1.65 | 1.20 | 0.86 | 1.05 | 1.17 | 0.81 | 1.20 | 1.14 | 0.80 | 1.12 | 1.76 | 2.92 | 2.92 |
| 0.10 | 2.53 | −0.04 | 0.84 | 1.26 | 2.08 | 2.69 | 1.64 | 1.20 | 0.86 | 1.05 | 1.17 | 0.81 | 1.20 | 1.14 | 1.23 | 1.12 | 1.76 | 2.92 | 2.92 |
| 0.15 | 2.53 | −0.04 | 0.84 | 1.26 | 2.08 | 2.69 | 1.64 | 1.20 | 0.86 | 0.95 | 1.17 | 0.81 | 1.20 | 1.14 | 1.23 | 1.12 | 1.76 | 2.92 | 2.92 |
| 0.20 | 2.53 | −0.04 | 0.84 | 1.26 | 2.08 | 2.69 | 1.64 | 1.20 | 0.86 | 1.05 | 1.17 | 0.81 | 1.20 | 1.14 | 1.23 | 1.12 | 1.76 | 2.92 | 2.92 |
| 0.25 | 2.53 | −0.29 | 0.84 | 1.26 | 2.08 | 2.69 | 1.64 | 1.20 | 0.86 | 1.05 | 1.13 | 0.81 | 1.20 | 1.14 | 1.43 | 1.15 | 1.76 | 3.01 | 2.92 |
| 0.30 | 2.53 | −0.29 | 0.84 | 1.26 | 2.08 | 2.69 | 1.64 | 1.20 | 0.86 | 1.05 | 1.12 | 0.81 | 1.20 | 1.14 | 1.43 | 1.15 | 1.76 | 3.01 | 2.92 |
| 0.35 | 2.53 | −0.29 | 0.84 | 1.26 | 2.08 | 2.69 | 1.64 | 1.25 | 0.86 | 1.05 | 1.12 | 0.82 | 1.20 | 1.14 | 1.43 | 1.15 | 1.76 | 3.01 | 2.92 |
| 0.40 | 2.53 | −0.29 | 0.84 | 1.26 | 2.04 | 2.69 | 1.64 | 1.25 | 0.86 | 1.05 | 1.15 | 0.82 | 1.20 | 1.14 | 1.43 | 1.15 | 1.71 | 3.01 | 2.92 |
| 0.45 | 2.53 | −0.29 | 0.84 | 1.26 | 2.04 | 2.69 | 1.64 | 1.26 | 0.86 | 1.05 | 1.15 | 0.88 | 1.20 | 1.14 | 1.43 | 1.15 | 1.71 | 3.01 | 2.92 |
| 0.50 | 2.53 | −0.29 | 0.84 | 1.26 | 2.04 | 2.69 | 1.64 | 1.21 | 0.93 | 1.21 | 1.15 | 0.88 | 1.19 | 1.15 | 1.15 | 1.15 | 1.71 | 3.01 | 2.92 |
| 0.55 | 2.53 | −0.29 | 0.84 | 1.26 | 2.04 | 2.69 | 1.64 | 1.21 | 0.93 | 1.21 | 1.15 | 0.88 | 1.23 | 1.15 | 1.23 | 1.16 | 1.71 | 3.01 | 2.92 |
| 0.60 | 2.53 | −0.29 | 0.84 | 1.26 | 2.04 | 2.69 | 1.64 | 1.21 | 0.93 | 1.21 | 1.18 | 0.88 | 1.23 | 1.15 | 1.23 | 1.16 | 1.71 | 3.01 | 2.92 |
| 0.65 | 2.53 | −0.29 | 0.84 | 1.26 | 2.04 | 2.69 | 1.64 | 1.21 | 0.93 | 1.21 | 1.18 | 0.88 | 1.23 | 1.15 | 1.23 | 1.36 | 1.71 | 3.01 | 2.92 |
| 0.70 | 2.53 | −0.29 | 0.84 | 1.26 | 2.04 | 2.69 | 1.64 | 1.09 | 0.93 | 1.20 | 1.18 | 0.88 | 1.23 | 1.15 | 1.23 | 1.44 | 1.71 | 3.01 | 2.92 |
| 0.75 | 2.53 | −0.29 | 0.86 | 1.26 | 1.73 | 2.69 | 1.64 | 1.09 | 0.93 | 1.20 | 1.18 | 0.90 | 1.36 | 1.73 | 1.23 | 1.44 | 1.71 | 3.01 | 2.92 |
| 0.80 | 2.53 | −0.29 | 0.86 | 1.26 | 1.73 | 2.69 | 1.64 | 1.09 | 0.93 | 1.20 | 1.18 | 0.90 | 1.43 | 1.83 | 1.23 | 1.44 | 1.97 | 3.01 | 2.92 |
| 0.85 | 2.53 | −0.29 | 0.86 | 1.26 | 1.73 | 2.69 | 1.64 | 1.09 | 0.93 | 1.20 | 1.18 | 0.95 | 1.43 | 1.83 | 1.56 | 1.44 | 1.97 | 3.01 | 2.92 |
| 0.90 | 2.53 | −0.29 | 0.86 | 1.26 | 1.73 | 1.88 | 1.64 | 1.09 | 0.93 | 1.23 | 1.18 | 0.95 | 1.43 | 1.91 | 1.56 | 1.44 | 2.46 | 3.01 | 2.92 |
| 0.95 | 2.53 | −0.29 | 0.86 | 1.26 | 1.73 | 1.88 | 1.64 | 1.09 | 0.93 | 1.23 | 1.18 | 0.95 | 1.43 | 1.91 | 1.53 | 1.44 | 2.46 | 3.01 | 2.92 |
| PRI | |||||||||||||||||||
| 0.05 | −3.57 | 1.40 | 1.17 | 1.60 | 0.83 | 0.60 | 0.35 | −0.28 | −0.55 | −1.15 | −1.48 | −1.26 | −1.34 | −1.43 | −1.61 | −2.23 | −1.94 | −2.35 | −4.68 |
| 0.10 | −3.57 | 1.40 | 1.17 | 1.60 | 0.83 | 0.60 | 0.35 | −0.28 | −0.55 | −1.15 | −1.48 | −1.26 | −1.34 | −1.44 | −1.61 | −2.23 | −1.94 | −2.40 | −4.68 |
| 0.15 | −3.57 | 1.40 | 1.17 | 1.60 | 0.83 | 0.60 | 0.35 | −0.28 | −0.55 | −0.99 | −1.48 | −1.26 | −1.34 | −1.55 | −1.61 | −2.23 | −1.94 | −2.40 | −4.68 |
| 0.20 | −3.57 | 1.40 | 1.17 | 1.60 | 0.83 | 0.60 | 0.35 | −0.28 | −0.55 | −0.99 | −1.48 | −1.26 | −1.34 | −1.55 | −1.61 | −2.22 | −1.94 | −2.40 | −4.68 |
| 0.25 | −3.57 | 1.40 | 1.17 | 1.60 | 0.83 | 0.60 | 0.35 | −0.28 | −0.54 | −0.99 | −1.38 | −1.26 | −1.34 | −1.55 | −1.61 | −2.22 | −1.94 | −3.28 | −4.68 |
| 0.30 | −3.57 | 1.63 | 1.24 | 1.60 | 0.83 | 0.60 | 0.35 | −0.28 | −0.54 | −0.99 | −1.38 | −1.26 | −1.34 | −1.55 | −1.61 | −2.22 | −1.94 | −3.28 | −4.68 |
| 0.35 | −3.57 | 2.05 | 1.24 | 1.60 | 0.83 | 0.60 | 0.35 | −0.28 | −0.54 | −0.99 | −1.31 | −1.26 | −1.34 | −1.55 | −1.61 | −2.22 | −1.94 | −3.28 | −4.72 |
| 0.40 | −3.57 | 2.05 | 1.24 | 1.60 | 0.83 | 0.60 | 0.35 | −0.28 | −0.54 | −0.99 | −1.23 | −1.26 | −1.34 | −1.55 | −1.61 | −2.22 | −1.94 | −3.34 | −4.72 |
| 0.45 | −3.57 | 2.05 | 1.24 | 1.60 | 0.83 | 0.60 | 0.35 | −0.23 | −0.54 | −0.99 | −1.23 | −1.24 | −1.34 | −1.55 | −1.61 | −2.22 | −1.94 | −3.34 | −4.72 |
| 0.50 | −3.57 | 2.05 | 1.24 | 1.60 | 0.83 | 0.60 | 0.35 | −0.23 | −0.54 | −0.99 | −1.23 | −1.24 | −1.31 | −1.55 | −1.40 | −2.22 | −1.94 | −3.34 | −4.72 |
| 0.55 | −3.57 | 2.05 | 1.26 | 1.60 | 0.83 | 0.60 | 0.35 | −0.23 | −0.54 | −0.99 | −1.23 | −1.10 | −1.31 | −1.55 | −2.01 | −2.22 | −1.94 | −3.34 | −4.72 |
| 0.60 | −3.57 | 2.05 | 1.26 | 1.60 | 1.16 | 0.60 | 0.35 | −0.23 | −0.54 | −0.99 | −1.23 | −1.10 | −1.31 | −1.55 | −1.90 | −2.22 | −1.94 | −3.34 | −4.72 |
| 0.65 | −3.57 | 2.05 | 1.26 | 1.60 | 1.16 | 0.08 | 0.44 | −0.32 | −0.38 | −0.99 | −1.23 | −1.10 | −1.31 | −1.55 | −1.90 | −2.22 | −1.94 | −3.34 | −4.72 |
| 0.70 | −3.57 | 2.05 | 1.26 | 1.60 | 1.16 | 0.08 | 0.44 | −0.32 | −0.38 | −0.99 | −1.23 | −1.10 | −1.33 | −1.55 | −1.90 | −2.18 | −1.94 | −3.34 | −4.72 |
| 0.75 | −3.57 | 2.05 | 1.26 | 1.60 | 1.16 | 0.08 | 0.44 | −0.32 | −0.38 | −0.99 | −1.23 | −1.10 | −1.33 | −1.55 | −1.90 | −2.18 | −2.18 | −4.06 | −4.72 |
| 0.80 | −3.57 | 2.05 | 1.26 | 1.60 | 1.16 | 0.08 | 0.44 | −0.36 | −0.38 | −0.99 | −1.23 | −1.10 | −1.33 | −1.55 | −1.90 | −2.18 | −2.18 | −4.06 | −4.72 |
| 0.85 | −3.57 | 2.05 | 1.26 | 1.60 | 1.16 | 0.08 | 0.44 | −0.36 | −0.38 | −0.95 | −1.25 | −1.10 | −1.34 | −1.87 | −1.90 | −2.35 | −2.18 | −4.06 | −4.72 |
| 0.90 | −3.57 | 2.05 | 1.26 | 1.60 | 1.16 | 0.08 | 0.60 | −0.36 | −0.38 | −0.95 | −1.25 | −1.10 | −1.34 | −1.87 | −1.90 | −2.35 | −2.53 | −4.06 | −4.72 |
| 0.95 | −3.57 | 2.05 | 1.26 | 1.60 | 1.16 | 0.08 | 0.60 | −0.36 | −0.38 | −0.95 | −1.25 | −1.12 | −1.29 | −1.87 | −1.99 | −2.35 | −2.53 | −4.53 | −4.72 |
Table A4.
Parameter estimates of the effects of TRI and PRI on nickel returns.
Table A4.
Parameter estimates of the effects of TRI and PRI on nickel returns.
| NICKEL | |||||||||||||||||||
|---|---|---|---|---|---|---|---|---|---|---|---|---|---|---|---|---|---|---|---|
| 0.05 | 0.10 | 0.15 | 0.20 | 0.25 | 0.30 | 0.35 | 0.40 | 0.45 | 0.50 | 0.55 | 0.60 | 0.65 | 0.70 | 0.75 | 0.80 | 0.85 | 0.90 | 0.95 | |
| TRI | |||||||||||||||||||
| 0.05 | −1.77 | −2.07 | −1.69 | −0.51 | −0.99 | −0.76 | −0.47 | 0.07 | 0.49 | 0.03 | 0.60 | 0.98 | 0.74 | 0.42 | 0.04 | −0.21 | 0.38 | 0.03 | −0.34 |
| 0.10 | −1.77 | −2.07 | −1.69 | −0.51 | −0.99 | −0.76 | −0.47 | 0.07 | 0.49 | 0.09 | 0.60 | 0.92 | 0.74 | 0.42 | 0.04 | −0.21 | 0.38 | 0.03 | 0.38 |
| 0.15 | −1.77 | −2.07 | −1.69 | −0.51 | −0.99 | −0.76 | −0.47 | −0.19 | 0.49 | 0.09 | 0.60 | 0.92 | 0.74 | 0.42 | 0.05 | −0.21 | 0.38 | 0.03 | 0.38 |
| 0.20 | −1.77 | −2.07 | −1.69 | −0.51 | −0.99 | −0.76 | −0.47 | −0.28 | 0.49 | 0.09 | 0.60 | 0.92 | 0.74 | 0.42 | 0.05 | −0.21 | 0.38 | 0.03 | 0.38 |
| 0.25 | −2.05 | −2.07 | −1.69 | −0.51 | −0.99 | −0.76 | −0.47 | −0.28 | 0.49 | 0.09 | 0.60 | 0.92 | 0.74 | 0.42 | 0.05 | −0.21 | 0.38 | 0.61 | 0.38 |
| 0.30 | −2.05 | −2.07 | −1.69 | −0.51 | −0.99 | −0.76 | −0.47 | −0.28 | 0.49 | 0.09 | 0.60 | 0.92 | 0.74 | 0.42 | 0.05 | −0.21 | 0.38 | 0.61 | 0.38 |
| 0.35 | −2.05 | −2.07 | −1.41 | −0.51 | −0.99 | −0.76 | −0.47 | −0.28 | 0.49 | 0.09 | 0.60 | 0.92 | 0.74 | 0.42 | 0.05 | −0.21 | 0.38 | 0.61 | 0.38 |
| 0.40 | −2.05 | −2.07 | −1.41 | −0.51 | −0.99 | −0.76 | −0.43 | −0.28 | 0.49 | 0.09 | 0.60 | 0.92 | 0.74 | 0.42 | 0.05 | −0.21 | 0.38 | 0.61 | 0.38 |
| 0.45 | −2.05 | −2.07 | −1.41 | −0.51 | −0.99 | −0.76 | −0.43 | −0.29 | 0.49 | 0.09 | 0.60 | 0.92 | 0.74 | 0.41 | 0.05 | −0.21 | 0.38 | 0.61 | 0.38 |
| 0.50 | −2.05 | −2.07 | −1.41 | −0.48 | −0.99 | −0.76 | −0.43 | −0.66 | 0.49 | 0.09 | 0.60 | 0.92 | 0.74 | 0.41 | 0.05 | −0.21 | 0.38 | 0.61 | 0.38 |
| 0.55 | −2.05 | −1.75 | −1.41 | −0.48 | −0.99 | −0.79 | −0.43 | −0.66 | 0.49 | 0.09 | 0.60 | 0.92 | 0.75 | 0.41 | 0.05 | −0.21 | 0.38 | 0.61 | 0.38 |
| 0.60 | −2.05 | −1.75 | −1.41 | −0.48 | −0.99 | −0.79 | −0.43 | −0.66 | 0.49 | 0.09 | 0.60 | 0.92 | 0.75 | 0.41 | 0.05 | −0.21 | 0.38 | 0.61 | 0.38 |
| 0.65 | −2.05 | −1.75 | −1.41 | −0.52 | −1.02 | −0.79 | −0.43 | −0.66 | 0.49 | 0.09 | 0.60 | 0.92 | 0.75 | 0.41 | 0.05 | −0.21 | 0.38 | 0.61 | 0.56 |
| 0.70 | −2.05 | −1.75 | −1.41 | −0.52 | −1.02 | −0.79 | −0.43 | −0.66 | 0.49 | 0.09 | 0.60 | 0.92 | 0.75 | 0.49 | 0.05 | −0.21 | 0.38 | 0.61 | 0.56 |
| 0.75 | −2.05 | −1.75 | −1.41 | −0.58 | −1.02 | −0.79 | −0.43 | −0.66 | 0.49 | 0.09 | 0.60 | 0.92 | 0.75 | 0.49 | 0.05 | −0.21 | 0.38 | 0.61 | 0.56 |
| 0.80 | −2.05 | −1.75 | −1.41 | −0.58 | −1.02 | −0.76 | −0.43 | −0.66 | 0.49 | 0.09 | 0.60 | 0.92 | 0.75 | 0.49 | 0.05 | −0.21 | 0.38 | 0.61 | 0.56 |
| 0.85 | −2.05 | −1.75 | −1.41 | −0.58 | −1.02 | −0.76 | −0.43 | −0.66 | 0.49 | 0.09 | 0.60 | 0.92 | 0.75 | 0.49 | 0.05 | −0.21 | 0.38 | 0.61 | 0.56 |
| 0.90 | −2.05 | −1.75 | −1.66 | −0.58 | −1.02 | −0.76 | −0.43 | −0.66 | 0.49 | 0.09 | 0.62 | 0.99 | 0.75 | 0.49 | 0.05 | −0.21 | 0.56 | 0.61 | 0.56 |
| 0.95 | −1.92 | −1.75 | −1.66 | −0.58 | −1.02 | −0.76 | −0.32 | −0.66 | 0.49 | 0.09 | 0.62 | 0.99 | 0.75 | 0.49 | 0.05 | −0.21 | 0.56 | 0.61 | 0.56 |
| PRI | |||||||||||||||||||
| 0.05 | −1.42 | −1.04 | −0.88 | −1.35 | −1.31 | −1.38 | −1.55 | −0.73 | −1.67 | −1.14 | −1.15 | −0.69 | 0.26 | 1.28 | 1.21 | 2.12 | 2.21 | 3.15 | 2.58 |
| 0.10 | −1.42 | −1.04 | −0.88 | −1.36 | −1.31 | −1.38 | −1.38 | −0.73 | −1.67 | −1.14 | −1.15 | −0.69 | 0.26 | 1.28 | 1.21 | 2.12 | 2.21 | 3.15 | 2.58 |
| 0.15 | −1.42 | −1.04 | −0.88 | −1.36 | −1.31 | −1.38 | −1.38 | −0.73 | −1.67 | −1.14 | −1.15 | −0.69 | 0.26 | 1.28 | 1.21 | 2.12 | 2.21 | 3.15 | 2.58 |
| 0.20 | −1.42 | −1.04 | −0.82 | −1.36 | −1.31 | −1.38 | −1.38 | −0.72 | −1.67 | −1.14 | −1.15 | −0.69 | 0.26 | 1.28 | 1.21 | 2.12 | 2.21 | 3.15 | 2.58 |
| 0.25 | −1.61 | −1.04 | −0.82 | −1.36 | −1.31 | −1.38 | −1.38 | −0.77 | −1.67 | −1.14 | −1.15 | −0.69 | 0.26 | 1.28 | 1.21 | 2.12 | 2.21 | 3.15 | 2.58 |
| 0.30 | −1.61 | −1.04 | −0.82 | −1.36 | −1.31 | −1.38 | −1.38 | −0.77 | −1.67 | −1.14 | −1.15 | −0.69 | 0.26 | 1.28 | 1.21 | 2.12 | 2.21 | 3.15 | 2.58 |
| 0.35 | −1.61 | −1.04 | −0.82 | −1.36 | −1.31 | −1.38 | −1.38 | −0.77 | −1.67 | −1.14 | −1.15 | −0.64 | 0.26 | 1.28 | 1.21 | 2.12 | 2.21 | 3.15 | 2.58 |
| 0.40 | −1.61 | −1.04 | −0.82 | −1.36 | −1.31 | −1.38 | −1.38 | −0.77 | −1.67 | −1.14 | −1.15 | −0.64 | 0.26 | 1.28 | 1.21 | 2.12 | 2.21 | 3.15 | 2.57 |
| 0.45 | −1.61 | −1.04 | −0.82 | −1.36 | −1.31 | −1.38 | −1.38 | −0.77 | −1.67 | −1.14 | −1.15 | −0.64 | 0.26 | 1.27 | 1.21 | 2.12 | 2.21 | 3.15 | 2.57 |
| 0.50 | −1.61 | −1.04 | −0.54 | −1.36 | −1.31 | −1.38 | −1.38 | −0.77 | −1.67 | −1.14 | −1.15 | −0.63 | 0.26 | 1.27 | 1.21 | 2.12 | 2.21 | 3.15 | 2.57 |
| 0.55 | −1.61 | −1.04 | −0.54 | −1.36 | −1.31 | −1.38 | −1.38 | −0.77 | −1.67 | −1.14 | −1.15 | −0.63 | 0.26 | 1.27 | 1.21 | 2.12 | 2.21 | 3.15 | 2.57 |
| 0.60 | −1.61 | −0.87 | −0.54 | −1.36 | −1.31 | −1.38 | −1.38 | −0.77 | −1.67 | −1.14 | −1.15 | −0.63 | 0.26 | 1.27 | 1.21 | 2.12 | 2.21 | 3.15 | 2.57 |
| 0.65 | −1.61 | −0.87 | −0.54 | −1.36 | −1.31 | −1.38 | −1.38 | −0.77 | −1.67 | −1.14 | −1.15 | −0.63 | 0.26 | 1.27 | 1.21 | 2.12 | 2.21 | 3.15 | 2.57 |
| 0.70 | −1.61 | −0.87 | −0.77 | −1.25 | −1.31 | −1.38 | −1.38 | −0.77 | −1.67 | −1.14 | −1.15 | −0.63 | 0.26 | 1.27 | 1.21 | 2.12 | 2.21 | 3.15 | 2.57 |
| 0.75 | −1.61 | −0.87 | −0.77 | −1.25 | −1.31 | −1.38 | −1.38 | −0.77 | −1.67 | −1.14 | −1.15 | −0.63 | 0.26 | 1.27 | 1.21 | 2.12 | 2.21 | 3.15 | 2.57 |
| 0.80 | −1.61 | −0.87 | −0.77 | −1.25 | −1.33 | −1.38 | −1.38 | −0.77 | −1.67 | −1.14 | −1.15 | −0.63 | 0.30 | 1.27 | 1.21 | 2.12 | 2.21 | 3.42 | 2.57 |
| 0.85 | −1.61 | −0.87 | −0.77 | −1.25 | −1.33 | −1.38 | −1.38 | −0.99 | −1.67 | −1.18 | −1.15 | −0.63 | 0.30 | 1.27 | 1.21 | 2.12 | 2.21 | 3.42 | 2.57 |
| 0.90 | −1.61 | −0.87 | −0.77 | −1.25 | −1.33 | −1.50 | −1.38 | −0.99 | −1.67 | −1.18 | −1.15 | −0.63 | 0.30 | 1.27 | 1.21 | 2.12 | 2.21 | 3.42 | 2.57 |
| 0.95 | −1.61 | −0.87 | −0.77 | −1.25 | −1.33 | −1.50 | −1.38 | −0.99 | −1.67 | −1.44 | −1.15 | −0.63 | 0.30 | 1.27 | 1.21 | 2.12 | 2.21 | 3.42 | 2.57 |
Table A5.
Parameter estimates of the effects of TRI and PRI on tin returns.
Table A5.
Parameter estimates of the effects of TRI and PRI on tin returns.
| TIN | |||||||||||||||||||
|---|---|---|---|---|---|---|---|---|---|---|---|---|---|---|---|---|---|---|---|
| 0.05 | 0.10 | 0.15 | 0.20 | 0.25 | 0.30 | 0.35 | 0.40 | 0.45 | 0.50 | 0.55 | 0.60 | 0.65 | 0.70 | 0.75 | 0.80 | 0.85 | 0.90 | 0.95 | |
| TRI | |||||||||||||||||||
| 0.05 | −3.07 | −3.58 | −1.64 | −1.00 | −0.75 | −0.60 | −0.49 | −0.50 | −0.29 | −0.21 | 0.03 | 0.69 | 1.55 | 1.47 | 1.52 | 1.37 | 1.93 | 3.87 | 2.11 |
| 0.10 | −3.07 | −3.58 | −1.64 | −1.00 | −0.75 | −0.60 | −0.49 | −0.50 | −0.29 | −0.21 | 0.03 | 0.69 | 1.55 | 1.47 | 1.52 | 1.37 | 1.93 | 3.87 | 2.11 |
| 0.15 | −3.07 | −3.58 | −1.64 | −1.00 | −0.75 | −0.60 | −0.49 | −0.50 | −0.29 | −0.21 | 0.03 | 0.70 | 1.55 | 1.47 | 1.52 | 1.37 | 1.93 | 3.87 | 2.11 |
| 0.20 | −3.07 | −3.58 | −1.61 | −1.00 | −0.75 | −0.60 | −0.49 | −0.50 | −0.29 | −0.21 | 0.03 | 0.70 | 1.55 | 1.47 | 1.52 | 1.37 | 1.93 | 3.87 | 2.11 |
| 0.25 | −2.84 | −3.58 | −1.61 | −1.00 | −0.75 | −0.60 | −0.49 | −0.31 | −0.29 | −0.21 | 0.03 | 0.70 | 1.55 | 1.45 | 1.52 | 1.37 | 1.93 | 3.87 | 2.11 |
| 0.30 | −2.84 | −3.58 | −1.61 | −1.00 | −0.75 | −0.60 | −0.49 | −0.31 | −0.26 | −0.21 | 0.03 | 0.70 | 1.55 | 1.45 | 1.52 | 1.37 | 1.93 | 3.87 | 2.11 |
| 0.35 | −2.84 | −3.58 | −1.61 | −1.00 | −0.75 | −0.60 | −0.49 | −0.31 | −0.26 | −0.21 | 0.03 | 0.79 | 1.55 | 1.47 | 1.52 | 1.37 | 1.93 | 3.87 | 2.11 |
| 0.40 | −2.84 | −3.58 | −1.61 | −1.00 | −0.75 | −0.27 | −0.49 | −0.31 | −0.26 | −0.21 | 0.03 | 0.79 | 1.55 | 1.47 | 1.52 | 1.37 | 1.93 | 3.87 | 2.11 |
| 0.45 | −2.84 | −3.58 | −1.61 | −1.00 | −0.75 | −0.27 | −0.49 | −0.31 | −0.26 | −0.23 | 0.03 | 0.79 | 1.55 | 1.47 | 1.52 | 1.37 | 1.93 | 3.87 | 2.11 |
| 0.50 | −2.79 | −3.58 | −1.50 | −1.00 | −0.75 | −0.27 | −0.49 | −0.31 | −0.28 | −0.23 | 0.03 | 0.80 | 1.55 | 1.47 | 1.52 | 1.37 | 1.93 | 3.87 | 2.11 |
| 0.55 | −2.79 | −3.58 | −1.50 | −1.00 | −0.75 | −0.27 | −0.49 | −0.31 | −0.29 | −0.23 | 0.03 | 0.80 | 1.55 | 1.47 | 1.52 | 1.37 | 1.93 | 3.87 | 2.11 |
| 0.60 | −2.79 | −3.58 | −1.50 | −1.00 | −0.75 | −0.27 | −0.48 | −0.31 | −0.29 | −0.23 | 0.03 | 0.80 | 1.55 | 1.47 | 1.52 | 1.35 | 1.93 | 3.87 | 2.11 |
| 0.65 | −2.80 | −3.58 | −1.41 | −1.00 | −0.75 | −0.27 | −0.48 | −0.31 | −0.29 | −0.23 | 0.03 | 0.80 | 1.55 | 1.47 | 1.52 | 1.35 | 1.93 | 3.87 | 2.11 |
| 0.70 | −2.80 | −3.58 | −1.41 | −1.00 | −0.75 | −0.27 | −0.48 | −0.31 | −0.29 | −0.23 | 0.04 | 0.80 | 1.55 | 1.47 | 1.52 | 1.35 | 1.93 | 3.87 | 2.11 |
| 0.75 | −2.80 | −3.58 | −1.41 | −1.00 | −0.75 | −0.27 | −0.48 | −0.31 | −0.29 | −0.23 | 0.04 | 0.80 | 1.55 | 1.47 | 1.52 | 1.35 | 1.93 | 3.87 | 2.11 |
| 0.80 | −2.80 | −3.58 | −1.41 | −1.00 | −0.75 | −0.27 | −0.48 | −0.31 | −0.29 | −0.23 | 0.04 | 0.80 | 1.55 | 1.47 | 1.52 | 1.35 | 1.93 | 3.87 | 2.11 |
| 0.85 | −2.80 | −3.58 | −1.41 | −1.03 | −0.75 | −0.27 | −0.48 | −0.31 | −0.29 | −0.23 | 0.04 | 0.80 | 1.70 | 1.47 | 1.52 | 1.35 | 1.93 | 3.87 | 2.11 |
| 0.90 | −2.80 | −3.58 | −1.41 | −0.84 | −0.75 | −0.27 | −0.48 | −0.31 | −0.29 | −0.23 | 0.04 | 0.80 | 1.57 | 1.47 | 1.52 | 1.35 | 1.93 | 3.87 | 2.11 |
| 0.95 | −2.80 | −3.58 | −1.41 | −0.84 | −0.75 | −0.27 | −0.48 | −0.31 | −0.29 | −0.23 | 0.04 | 0.80 | 1.57 | 1.47 | 1.52 | 1.35 | 1.93 | 3.87 | 2.11 |
| PRI | |||||||||||||||||||
| 0.05 | 4.39 | 2.55 | 0.90 | 0.52 | 0.25 | 0.08 | 0.97 | 0.59 | 0.47 | 0.49 | 0.33 | −0.06 | 0.13 | 0.43 | 0.58 | 0.77 | 0.62 | −1.03 | −0.64 |
| 0.10 | 4.25 | 2.55 | 0.90 | 0.52 | 0.25 | 0.08 | 0.97 | 0.59 | 0.47 | 0.49 | 0.33 | −0.06 | 0.13 | 0.43 | 0.58 | 0.77 | 0.62 | −1.03 | −0.64 |
| 0.15 | 4.25 | 2.56 | 0.90 | 0.52 | 0.25 | 0.08 | 0.97 | 0.59 | 0.58 | 0.49 | 0.33 | −0.06 | 0.13 | 0.43 | 0.58 | 0.77 | 0.62 | −1.03 | −0.64 |
| 0.20 | 4.25 | 2.56 | 0.90 | 0.52 | 0.25 | 0.08 | 0.97 | 0.59 | 0.58 | 0.49 | 0.33 | −0.06 | 0.13 | 0.43 | 0.58 | 0.77 | 0.62 | −1.03 | −0.64 |
| 0.25 | 4.25 | 2.56 | 1.01 | 0.52 | 0.25 | 0.08 | 0.97 | 0.59 | 0.58 | 0.49 | 0.43 | −0.06 | 0.13 | 0.43 | 0.58 | 0.77 | 0.62 | −1.03 | −0.64 |
| 0.30 | 4.25 | 2.56 | 1.01 | 0.52 | 0.25 | 0.08 | 0.97 | 0.59 | 0.58 | 0.49 | 0.43 | −0.06 | 0.13 | 0.43 | 0.58 | 0.77 | 0.62 | −1.03 | −0.64 |
| 0.35 | 4.25 | 2.56 | 1.01 | 0.52 | 0.25 | 0.08 | 0.97 | 0.59 | 0.58 | 0.49 | 0.43 | −0.06 | 0.13 | 0.46 | 0.58 | 0.77 | 0.62 | −1.03 | −0.64 |
| 0.40 | 4.25 | 2.56 | 1.01 | 0.52 | 0.25 | 0.08 | 0.97 | 0.59 | 0.58 | 0.49 | 0.43 | −0.06 | 0.13 | 0.47 | 0.58 | 0.77 | 0.62 | −1.03 | −0.64 |
| 0.45 | 4.25 | 2.56 | 1.01 | 0.52 | 0.25 | 0.08 | 0.97 | 0.59 | 0.58 | 0.49 | 0.43 | −0.06 | 0.13 | 0.47 | 0.58 | 0.77 | 0.62 | −1.03 | −0.64 |
| 0.50 | 4.25 | 2.56 | 1.08 | 0.52 | 0.25 | 0.08 | 0.97 | 0.59 | 0.64 | 0.49 | 0.43 | −0.03 | 0.13 | 0.47 | 0.58 | 0.77 | 0.62 | −1.03 | −0.64 |
| 0.55 | 3.54 | 2.56 | 1.08 | 0.52 | 0.25 | 0.08 | 0.97 | 0.59 | 0.64 | 0.49 | 0.43 | −0.03 | 0.13 | 0.47 | 0.58 | 0.77 | 0.62 | −1.03 | −0.64 |
| 0.60 | 3.54 | 2.56 | 1.08 | 0.52 | 0.25 | 0.16 | 0.97 | 0.59 | 0.64 | 0.49 | 0.43 | −0.03 | 0.13 | 0.47 | 0.58 | 0.77 | 0.62 | −1.03 | −0.64 |
| 0.65 | 3.54 | 2.56 | 1.08 | 0.52 | 0.25 | 0.16 | 0.97 | 0.59 | 0.64 | 0.49 | 0.43 | −0.03 | 0.13 | 0.47 | 0.58 | 0.77 | 0.62 | −1.03 | −0.64 |
| 0.70 | 3.54 | 2.56 | 1.08 | 0.52 | 0.25 | 0.16 | 0.97 | 0.59 | 0.64 | 0.49 | 0.43 | −0.03 | 0.11 | 0.51 | 0.58 | 0.77 | 0.62 | −1.03 | −0.64 |
| 0.75 | 3.54 | 2.56 | 1.08 | 0.52 | 0.25 | 0.16 | 0.97 | 0.76 | 0.64 | 0.50 | 0.43 | 0.05 | 0.11 | 0.52 | 0.58 | 0.77 | 0.62 | −1.03 | −0.64 |
| 0.80 | 3.54 | 2.56 | 1.08 | 0.52 | 0.25 | 0.16 | 0.97 | 0.76 | 0.64 | 0.50 | 0.43 | 0.05 | 0.11 | 0.52 | 0.58 | 0.86 | 0.62 | −1.03 | −0.64 |
| 0.85 | 3.54 | 2.56 | 1.08 | 0.52 | 0.25 | 0.53 | 0.97 | 0.76 | 0.64 | 0.50 | 0.43 | 0.05 | 0.11 | 0.52 | 0.58 | 0.87 | 0.62 | −1.03 | −0.64 |
| 0.90 | 3.54 | 2.56 | 1.08 | 0.52 | 0.25 | 0.53 | 0.97 | 0.76 | 0.64 | 0.63 | 0.43 | 0.05 | 0.11 | 0.52 | 0.58 | 0.87 | 1.16 | −1.03 | −0.64 |
| 0.95 | 3.54 | 2.56 | 1.08 | 0.52 | 0.25 | 0.53 | 0.97 | 0.76 | 0.64 | 0.63 | 0.43 | 0.07 | 0.11 | 0.52 | 0.58 | 0.87 | 1.16 | −1.03 | −0.64 |
Table A6.
Parameter estimates of the effects of TRI and PRI on lead returns.
Table A6.
Parameter estimates of the effects of TRI and PRI on lead returns.
| LEAD | |||||||||||||||||||
|---|---|---|---|---|---|---|---|---|---|---|---|---|---|---|---|---|---|---|---|
| 0.05 | 0.10 | 0.15 | 0.20 | 0.25 | 0.30 | 0.35 | 0.40 | 0.45 | 0.50 | 0.55 | 0.60 | 0.65 | 0.70 | 0.75 | 0.80 | 0.85 | 0.90 | 0.95 | |
| TRI | |||||||||||||||||||
| 0.05 | −3.59 | −1.94 | −1.75 | −1.07 | −1.27 | −0.17 | 0.38 | 0.09 | 0.12 | −0.08 | 0.24 | −0.14 | −0.13 | −0.07 | 0.29 | 0.07 | 1.21 | 1.83 | 1.20 |
| 0.10 | −3.59 | −1.94 | −1.75 | −1.07 | −1.19 | −0.17 | 0.38 | 0.09 | 0.12 | −0.08 | 0.24 | −0.14 | −0.13 | −0.07 | 0.27 | 0.07 | 1.21 | 1.83 | 1.20 |
| 0.15 | −3.59 | −1.94 | −1.75 | −1.07 | −1.19 | −0.17 | 0.38 | 0.12 | 0.12 | −0.08 | 0.24 | −0.14 | −0.13 | −0.07 | 0.27 | 0.27 | 1.21 | 1.83 | 1.20 |
| 0.20 | −3.59 | −1.94 | −1.75 | −1.07 | −1.19 | −0.17 | 0.38 | 0.12 | 0.12 | −0.08 | 0.24 | −0.14 | −0.13 | −0.07 | 0.27 | 0.27 | 1.21 | 1.83 | 1.20 |
| 0.25 | −3.59 | −1.94 | −1.75 | −1.07 | −1.19 | −0.17 | 0.38 | 0.12 | 0.12 | −0.08 | 0.25 | −0.14 | −0.13 | −0.07 | 0.27 | 0.27 | 1.21 | 1.83 | 1.20 |
| 0.30 | −3.59 | −1.94 | −1.75 | −1.07 | −1.19 | −0.17 | 0.38 | 0.12 | 0.12 | 0.19 | 0.25 | −0.14 | −0.13 | −0.07 | 0.27 | 0.27 | 1.21 | 1.83 | 1.20 |
| 0.35 | −3.59 | −1.97 | −1.75 | −1.07 | −1.19 | −0.17 | 0.38 | 0.12 | 0.12 | 0.66 | 0.25 | −0.14 | −0.13 | 0.00 | 0.27 | 0.27 | 1.21 | 1.63 | 1.20 |
| 0.40 | −3.59 | −1.97 | −1.75 | −1.07 | −1.19 | −0.17 | 0.38 | 0.12 | 0.12 | 0.66 | 0.25 | −0.14 | −0.13 | 0.00 | 0.27 | 0.27 | 1.21 | 1.63 | 1.20 |
| 0.45 | −3.59 | −1.97 | −1.75 | −1.07 | −1.19 | −0.17 | 0.38 | 0.12 | 0.12 | 0.66 | 0.25 | −0.14 | −0.13 | 0.00 | 0.27 | 0.27 | 1.21 | 1.17 | 1.20 |
| 0.50 | −3.59 | −1.97 | −1.75 | −1.07 | −1.19 | −0.17 | 0.38 | 0.12 | 0.12 | 0.66 | 0.25 | −0.14 | −0.13 | 0.00 | 0.29 | 0.27 | 1.21 | 1.17 | 1.20 |
| 0.55 | −3.57 | −1.97 | −1.75 | −1.07 | −1.19 | −0.17 | 0.38 | 0.12 | 0.12 | 0.66 | 0.25 | 0.00 | −0.13 | 0.02 | 0.29 | 0.27 | 1.21 | 1.17 | 1.20 |
| 0.60 | −3.57 | −1.97 | −1.75 | −1.07 | −1.19 | −0.17 | 0.38 | 0.12 | 0.12 | 0.66 | 0.25 | 0.00 | −0.13 | 0.09 | 0.29 | 0.27 | 1.21 | 1.17 | 1.20 |
| 0.65 | −3.38 | −1.97 | −1.75 | −1.07 | −1.19 | −0.17 | 0.38 | 0.12 | 0.12 | 0.66 | 0.25 | 0.00 | −0.07 | 0.09 | 0.29 | 0.27 | 1.21 | 1.17 | 1.20 |
| 0.70 | −3.38 | −1.97 | −1.75 | −1.07 | −1.25 | −0.17 | 0.38 | 0.12 | 0.12 | 0.66 | 0.25 | 0.00 | −0.07 | 0.09 | 0.29 | 0.27 | 1.21 | 1.17 | 1.20 |
| 0.75 | −3.38 | −1.97 | −1.75 | −1.07 | −1.25 | −0.06 | 0.38 | 0.12 | 0.12 | 0.66 | 0.27 | 0.00 | −0.07 | 0.19 | 0.34 | 0.27 | 1.21 | 1.17 | 1.20 |
| 0.80 | −3.38 | −1.97 | −1.75 | −1.07 | −1.25 | −0.06 | 0.38 | 0.12 | 0.12 | 0.66 | 0.27 | 0.00 | −0.07 | 0.19 | 0.34 | 0.27 | 1.21 | 1.17 | 1.20 |
| 0.85 | −3.25 | −1.97 | −1.75 | −1.07 | −1.13 | −0.06 | 0.38 | 0.12 | 0.12 | 0.66 | 0.27 | 0.00 | −0.07 | 0.24 | 0.34 | 0.27 | 1.21 | 1.17 | 1.38 |
| 0.90 | −3.25 | −1.95 | −1.75 | −1.07 | −1.13 | −0.06 | 0.38 | 0.12 | 0.12 | 0.66 | 0.27 | 0.11 | −0.07 | 0.24 | 0.34 | 0.27 | 1.21 | 1.17 | 1.46 |
| 0.95 | −3.25 | −1.95 | −1.75 | −1.07 | −1.13 | −0.06 | 0.38 | 0.12 | 0.19 | 0.66 | 0.32 | 0.11 | −0.07 | 0.24 | 0.41 | 0.27 | 1.21 | 1.17 | 1.46 |
| PRI | |||||||||||||||||||
| 0.05 | −0.62 | 0.12 | −0.02 | 0.61 | 0.91 | 0.53 | 0.30 | 0.79 | 0.51 | −0.01 | 0.14 | 0.14 | 0.81 | 0.45 | 0.34 | 0.88 | 2.00 | 2.55 | 2.89 |
| 0.10 | −0.62 | 0.12 | −0.02 | 0.61 | 0.91 | 0.53 | 0.30 | 0.79 | 0.51 | −0.01 | 0.14 | 0.14 | 0.81 | 0.48 | 0.34 | 0.88 | 2.00 | 2.55 | 2.89 |
| 0.15 | −0.62 | 0.12 | −0.02 | 0.61 | 0.91 | 0.53 | 0.30 | 0.79 | 0.51 | −0.01 | 0.14 | 0.14 | 0.81 | 0.48 | 0.34 | 0.88 | 2.00 | 2.71 | 2.89 |
| 0.20 | −0.62 | 0.12 | −0.02 | 0.61 | 0.91 | 0.53 | 0.30 | 0.79 | 0.51 | −0.01 | 0.14 | 0.14 | 0.81 | 0.53 | 0.34 | 0.88 | 2.00 | 2.71 | 2.89 |
| 0.25 | −0.62 | 0.12 | −0.02 | 0.61 | 0.98 | 0.53 | 0.30 | 0.79 | 0.51 | −0.01 | 0.15 | 0.14 | 0.86 | 0.53 | 0.34 | 0.88 | 2.00 | 3.05 | 2.89 |
| 0.30 | −0.62 | 0.12 | −0.02 | 0.61 | 0.98 | 0.53 | 0.30 | 0.79 | 0.51 | −0.01 | 0.15 | 0.14 | 0.86 | 0.53 | 0.38 | 0.88 | 2.00 | 3.05 | 2.89 |
| 0.35 | −0.62 | 0.12 | −0.02 | 0.61 | 0.98 | 0.53 | 0.30 | 0.79 | 0.51 | −0.01 | 0.15 | 0.14 | 0.86 | 0.53 | 0.38 | 0.88 | 2.00 | 3.05 | 2.89 |
| 0.40 | −0.63 | 0.12 | −0.02 | 0.61 | 0.98 | 0.53 | 0.30 | 0.79 | 0.51 | −0.01 | 0.15 | 0.75 | 0.86 | 0.60 | 0.38 | 0.88 | 2.00 | 3.05 | 2.89 |
| 0.45 | −0.63 | 0.12 | −0.02 | 0.61 | 0.92 | 0.53 | 0.30 | 0.79 | 0.51 | 0.04 | 0.15 | 0.75 | 0.86 | 0.61 | 0.38 | 0.88 | 2.00 | 3.05 | 2.89 |
| 0.50 | −0.63 | −0.33 | −0.02 | 0.61 | 0.92 | 0.53 | 0.30 | 0.79 | 0.51 | 0.04 | 0.15 | 0.75 | 0.86 | 0.61 | 0.38 | 1.10 | 2.00 | 3.05 | 2.89 |
| 0.55 | −0.63 | −0.33 | −0.02 | 0.61 | 0.92 | 0.53 | 0.30 | 0.79 | 0.51 | 0.05 | 0.15 | 0.75 | 0.86 | 0.61 | 0.39 | 1.10 | 2.00 | 3.06 | 2.89 |
| 0.60 | −0.63 | −0.33 | −0.02 | 0.61 | 0.92 | 0.53 | 0.30 | 0.79 | 0.51 | 0.05 | 0.15 | 0.75 | 0.86 | 0.61 | 0.39 | 1.11 | 2.00 | 3.06 | 2.89 |
| 0.65 | −0.63 | −0.33 | −0.02 | 0.61 | 0.92 | 0.53 | 0.30 | 0.79 | 0.51 | 0.05 | 0.15 | 0.75 | 0.86 | 0.61 | 0.39 | 1.11 | 2.00 | 3.06 | 2.89 |
| 0.70 | −0.63 | −0.33 | −0.02 | 0.61 | 0.92 | 0.53 | 0.30 | 0.79 | 0.51 | 0.05 | 0.15 | 0.75 | 0.86 | 0.61 | 0.39 | 1.11 | 2.00 | 3.06 | 2.89 |
| 0.75 | −0.63 | −0.33 | −0.02 | 0.61 | 0.92 | 0.53 | 0.30 | 0.79 | 0.51 | 0.37 | 0.15 | 0.75 | 0.86 | 0.69 | 0.39 | 1.11 | 2.00 | 3.06 | 2.89 |
| 0.80 | −0.63 | −0.33 | −0.02 | 0.63 | 0.92 | 0.53 | 0.30 | 0.79 | 0.51 | 0.37 | 0.15 | 0.75 | 0.86 | 0.69 | 0.39 | 1.11 | 2.00 | 3.06 | 2.89 |
| 0.85 | −0.67 | −0.33 | −0.02 | 0.63 | 0.92 | 0.53 | 0.30 | 0.79 | 0.51 | 0.37 | 0.15 | 0.85 | 0.97 | 0.69 | 0.39 | 1.11 | 2.00 | 3.06 | 2.89 |
| 0.90 | −0.67 | −0.33 | −0.02 | 0.63 | 0.92 | 0.53 | 0.30 | 0.79 | 0.51 | 0.37 | 0.15 | 0.85 | 1.04 | 0.69 | 0.39 | 1.11 | 2.00 | 3.06 | 2.89 |
| 0.95 | −1.19 | −0.33 | −0.02 | 0.63 | 0.92 | 0.53 | 0.30 | 0.79 | 0.51 | 0.37 | 0.15 | 0.85 | 1.04 | 0.69 | 0.39 | 1.11 | 2.00 | 3.06 | 2.89 |
Table A7.
Parameter estimates of the effects of TRI and PRI on zinc returns.
Table A7.
Parameter estimates of the effects of TRI and PRI on zinc returns.
| ZINC | |||||||||||||||||||
|---|---|---|---|---|---|---|---|---|---|---|---|---|---|---|---|---|---|---|---|
| 0.05 | 0.10 | 0.15 | 0.20 | 0.25 | 0.30 | 0.35 | 0.40 | 0.45 | 0.50 | 0.55 | 0.60 | 0.65 | 0.70 | 0.75 | 0.80 | 0.85 | 0.90 | 0.95 | |
| TRI | |||||||||||||||||||
| 0.05 | −2.83 | −2.10 | −1.37 | −1.95 | −1.59 | −1.32 | −0.76 | −0.59 | 0.53 | 0.98 | 1.14 | 1.22 | 0.65 | 0.65 | 0.62 | 0.47 | −0.02 | 0.62 | −0.26 |
| 0.10 | −2.83 | −2.10 | −1.37 | −1.95 | −1.59 | −1.32 | −0.76 | −0.59 | 0.53 | 1.19 | 1.14 | 1.22 | 0.65 | 0.65 | 0.62 | 0.47 | −0.02 | 0.71 | −0.26 |
| 0.15 | −2.83 | −2.10 | −1.37 | −1.95 | −1.59 | −1.32 | −0.76 | −0.59 | 0.53 | 1.20 | 1.14 | 1.22 | 0.65 | 0.65 | 0.62 | 0.47 | −0.02 | 0.71 | −0.21 |
| 0.20 | −2.83 | −2.10 | −1.37 | −1.95 | −1.59 | −1.32 | −0.76 | −0.59 | 0.53 | 1.20 | 1.15 | 1.22 | 0.73 | 0.74 | 0.62 | 0.47 | −0.02 | 0.68 | −0.27 |
| 0.25 | −2.83 | −2.10 | −1.37 | −1.95 | −1.59 | −1.32 | −0.76 | −0.59 | 0.53 | 1.20 | 1.15 | 1.22 | 0.73 | 0.74 | 0.62 | 0.47 | −0.02 | 0.68 | −0.27 |
| 0.30 | −2.83 | −2.08 | −1.37 | −1.95 | −1.57 | −1.32 | −0.76 | −0.59 | 0.53 | 1.20 | 1.15 | 1.22 | 0.73 | 0.74 | 0.62 | 0.47 | −0.02 | 0.68 | −0.27 |
| 0.35 | −2.83 | −2.08 | −1.37 | −1.95 | −1.57 | −1.32 | −0.76 | −0.59 | 0.53 | 1.21 | 1.15 | 1.22 | 0.73 | 0.74 | 0.62 | 0.47 | −0.02 | 0.68 | −0.27 |
| 0.40 | −2.83 | −2.08 | −1.37 | −1.95 | −1.57 | −1.32 | −0.76 | −0.59 | 0.63 | 1.21 | 1.15 | 1.22 | 0.73 | 0.74 | 0.62 | 0.47 | −0.02 | 0.68 | −0.27 |
| 0.45 | −2.83 | −2.08 | −1.37 | −1.95 | −1.57 | −1.32 | −0.76 | −0.59 | 0.63 | 1.21 | 1.15 | 1.37 | 0.73 | 0.74 | 0.62 | 0.47 | 0.03 | 0.69 | −0.27 |
| 0.50 | −2.83 | −2.08 | −1.37 | −1.95 | −1.57 | −1.32 | −0.76 | −0.59 | 0.63 | 1.28 | 1.16 | 1.37 | 0.73 | 0.74 | 0.62 | 0.47 | 0.03 | 0.69 | −0.27 |
| 0.55 | −2.83 | −2.08 | −1.37 | −1.95 | −1.57 | −1.32 | −0.76 | −0.59 | 0.63 | 1.28 | 1.16 | 1.37 | 0.73 | 0.74 | 0.61 | 0.47 | 0.03 | 0.69 | −0.27 |
| 0.60 | −2.83 | −2.08 | −1.42 | −1.95 | −1.57 | −1.32 | −0.76 | −0.59 | 0.63 | 1.28 | 1.16 | 1.37 | 0.73 | 0.74 | 0.61 | 0.47 | 0.03 | 0.69 | −0.27 |
| 0.65 | −2.83 | −2.08 | −1.42 | −1.95 | −1.57 | −1.32 | −0.76 | −0.59 | 0.63 | 1.28 | 1.16 | 1.37 | 0.73 | 0.74 | 0.61 | 0.47 | 0.03 | 0.69 | −0.66 |
| 0.70 | −2.83 | −2.08 | −1.63 | −1.95 | −1.57 | −1.32 | −0.76 | −0.59 | 0.63 | 1.28 | 1.16 | 1.37 | 0.73 | 0.74 | 0.61 | 0.47 | 0.03 | 0.69 | −0.91 |
| 0.75 | −2.83 | −2.08 | −1.63 | −1.95 | −1.57 | −1.50 | −0.76 | −0.59 | 0.63 | 1.28 | 1.16 | 1.37 | 0.73 | 0.74 | 0.61 | 0.47 | 0.03 | 0.69 | −0.91 |
| 0.80 | −2.83 | −2.08 | −1.63 | −1.95 | −1.57 | −1.50 | −0.76 | −0.59 | 0.63 | 1.28 | 1.16 | 1.37 | 0.73 | 0.74 | 0.61 | 0.47 | 0.03 | 0.69 | −0.91 |
| 0.85 | −2.83 | −2.08 | −1.63 | −1.95 | −1.57 | −1.50 | −0.76 | −0.59 | 0.68 | 1.28 | 1.16 | 1.37 | 0.73 | 0.80 | 0.61 | 0.47 | 0.11 | 0.69 | −0.91 |
| 0.90 | −2.83 | −2.08 | −1.63 | −1.95 | −1.57 | −1.50 | −0.76 | −0.59 | 0.86 | 1.28 | 1.16 | 1.37 | 0.73 | 0.80 | 0.61 | 0.47 | 0.11 | 0.69 | −0.91 |
| 0.95 | −2.83 | −2.08 | −1.63 | −1.95 | −1.57 | −1.50 | −0.76 | −0.59 | 0.86 | 1.28 | 1.16 | 1.37 | 0.73 | 0.80 | 0.61 | 0.47 | 0.11 | 0.69 | −0.91 |
| PRI | |||||||||||||||||||
| 0.05 | 1.10 | −0.73 | −1.63 | −0.32 | −0.62 | −0.96 | −0.57 | −0.31 | −0.95 | −1.49 | −1.32 | −1.23 | −0.69 | −0.22 | −0.11 | 0.73 | 0.77 | −0.33 | 0.74 |
| 0.10 | 1.10 | −0.73 | −1.63 | −0.32 | −0.62 | −0.96 | −0.57 | −0.31 | −0.95 | −1.49 | −1.18 | −1.23 | −0.60 | −0.22 | −0.11 | 0.73 | 0.77 | −0.33 | 0.09 |
| 0.15 | 1.10 | −0.73 | −1.63 | −0.32 | −0.62 | −0.96 | −0.57 | −0.31 | −0.95 | −1.49 | −1.18 | −1.23 | −0.60 | −0.22 | −0.11 | 0.73 | 0.77 | −0.33 | 0.09 |
| 0.20 | 1.10 | −0.73 | −1.63 | −0.32 | −0.62 | −0.96 | −0.57 | −0.31 | −0.95 | −1.49 | −1.18 | −1.23 | −0.60 | −0.22 | −0.11 | 0.73 | 0.77 | −0.33 | 0.09 |
| 0.25 | 1.10 | −0.73 | −1.60 | −0.32 | −0.62 | −0.96 | −0.57 | −0.31 | −0.88 | −1.49 | −1.18 | −1.23 | −0.60 | −0.22 | −0.11 | 0.73 | 0.77 | −0.33 | 0.09 |
| 0.30 | 1.10 | −0.73 | −1.60 | −0.32 | −0.62 | −0.96 | −0.57 | −0.31 | −0.88 | −1.49 | −1.18 | −1.23 | −0.60 | −0.22 | −0.14 | 0.73 | 0.77 | −0.37 | 0.09 |
| 0.35 | 1.10 | −0.73 | −1.60 | −0.32 | −0.62 | −0.96 | −0.57 | −0.31 | −0.88 | −1.49 | −1.18 | −1.23 | −0.60 | −0.15 | −0.14 | 0.73 | 0.77 | −0.37 | 0.09 |
| 0.40 | 1.10 | −0.73 | −1.60 | −0.32 | −0.58 | −0.95 | −0.57 | −0.31 | −0.88 | −1.49 | −1.18 | −1.23 | −0.60 | −0.11 | −0.14 | 0.73 | 0.77 | −0.37 | 0.09 |
| 0.45 | 1.10 | −0.73 | −1.60 | −0.32 | −0.58 | −0.55 | −0.57 | −0.31 | −0.88 | −1.49 | −1.18 | −1.23 | −0.60 | −0.11 | −0.14 | 0.73 | 0.77 | −0.37 | 0.09 |
| 0.50 | 1.10 | −0.73 | −1.60 | −0.32 | −0.58 | −0.48 | −0.57 | −0.31 | −0.88 | −1.49 | −1.18 | −0.79 | −0.60 | −0.11 | −0.14 | 0.73 | 0.59 | −0.37 | 0.09 |
| 0.55 | 1.10 | −0.73 | −1.32 | −0.32 | −0.58 | −0.48 | −0.57 | −0.31 | −0.88 | −1.49 | −1.18 | −0.79 | −0.60 | −0.09 | −0.14 | 0.73 | 0.59 | −0.37 | 0.09 |
| 0.60 | 1.10 | −0.73 | −1.32 | −0.32 | −0.58 | −0.48 | −0.57 | −0.31 | −0.88 | −1.49 | −1.18 | −0.79 | −0.60 | −0.09 | −0.14 | 0.73 | 0.59 | −0.37 | 0.09 |
| 0.65 | 1.10 | −0.73 | −1.32 | −0.32 | −0.58 | −0.48 | −0.57 | −0.31 | −0.88 | −1.49 | −1.18 | −0.79 | −0.60 | −0.09 | −0.14 | 0.73 | 0.59 | −0.37 | −0.16 |
| 0.70 | 1.10 | −0.73 | −1.32 | −0.32 | −0.58 | −0.48 | −0.57 | −0.31 | −0.88 | −1.49 | −1.18 | −0.79 | −0.60 | −0.09 | −0.14 | 0.73 | 0.59 | −0.37 | −0.32 |
| 0.75 | 1.10 | −0.73 | −1.32 | −0.32 | −0.58 | −0.48 | −0.57 | −0.31 | −0.88 | −1.49 | −1.18 | −0.79 | −0.60 | −0.09 | −0.14 | 0.73 | 0.59 | −0.37 | −0.32 |
| 0.80 | 1.10 | −0.73 | −1.32 | −0.32 | −0.58 | −0.48 | −0.57 | −0.31 | −0.88 | −1.49 | −1.18 | −0.79 | −0.60 | −0.09 | −0.14 | 0.73 | 0.59 | −0.37 | −0.32 |
| 0.85 | 1.10 | −0.73 | −1.32 | −0.32 | −0.58 | −0.48 | −0.57 | −0.31 | −0.88 | −1.49 | −1.18 | −0.79 | −0.60 | −0.09 | −0.14 | 0.73 | 0.59 | −0.37 | −0.32 |
| 0.90 | 1.10 | −0.73 | −1.32 | −0.32 | −0.07 | −0.48 | −0.57 | −0.31 | −0.88 | −1.49 | −1.18 | −0.79 | −0.60 | −0.09 | −0.02 | 0.73 | 0.59 | −0.37 | −0.32 |
| 0.95 | 1.10 | −0.73 | −1.32 | −0.32 | −0.07 | −0.48 | −0.57 | −0.31 | −0.88 | −1.49 | −1.18 | −0.79 | −0.60 | −0.09 | −0.02 | 0.73 | 0.59 | −0.37 | −0.32 |
References
- World Economic Forum. Global Risks Report 2024. 2024. Available online: https://www.weforum.org/publications/global-risks-report-2024 (accessed on 23 September 2024).
- Bardan, R. Temperatures Rising: NASA Confirms 2024 Warmest Year on Record. 2025. Available online: https://www.nasa.gov/news-release/temperatures-rising-nasa-confirms-2024-warmest-year-on-record (accessed on 12 December 2024).
- Intergovernmental Panel on Climate Change. Sixth Assessment Report. 2022. Available online: https://www.ipcc.ch/report/sixth-assessment-report-cycle (accessed on 21 September 2024).
- World Health Organization. Climate Change. 2023. Available online: https://www.who.int/news-room/fact-sheets/detail/climate-change-and-health (accessed on 30 September 2024).
- Gourdel, R.; Monasterolo, I.; Dunz, N.; Mazzocchetti, A.; Parisi, L. The double materiality of climate physical and transition risks in the euro area. J. Financ. Stab. 2024, 71, 101233. [Google Scholar] [CrossRef]
- Mondal, A.; Bauri, S. The impact of climate transition risk on firms’ value–evidence from select Indian-listed companies. Asian J. Account. Res. 2024, 9, 257–274. [Google Scholar] [CrossRef]
- Partanen, A.I.; Leduc, M.; Matthews, H.D. Seasonal climate change patterns due to cumulative CO2 emissions. Environ. Res. Lett. 2017, 12, 075002. [Google Scholar] [CrossRef]
- Terrenoire, E.; Hauglustaine, D.A.; Gasser, T.; Penanhoat, O. The contribution of carbon dioxide emissions from the aviation sector to future climate change. Environ. Res. Lett. 2019, 14, 084019. [Google Scholar] [CrossRef]
- Giannakis, E.; Serghides, D.; Dimitriou, S.; Zittis, G. Land transport CO2 emissions and climate change: Evidence from Cyprus. Int. J. Sustain. Energy 2020, 39, 634–647. [Google Scholar] [CrossRef]
- Shahrour, M.H.; Arouri, M.; Tran, D.V.; Rao, S. Carbon consciousness: The influence of CEO ownership. J. Environ. Manag. 2024, 364, 121455. [Google Scholar] [CrossRef]
- Fankhauser, S.; Tol, R.S. On climate change and economic growth. Resour. Energy Econ. 2005, 27, 1–17. [Google Scholar] [CrossRef]
- Khurshid, N.; Fiaz, A.; Khurshid, J.; Ali, K. Impact of climate change shocks on economic growth: A new insight from non-linear analysis. Front. Environ. Sci. 2022, 10, 1039128. [Google Scholar] [CrossRef]
- Benhamed, A.; Osman, Y.; Ben-Salha, O.; Jaidi, Z. Unveiling the spatial effects of climate change on economic growth: International evidence. Sustainability 2023, 15, 8197. [Google Scholar] [CrossRef]
- Tol, R.S. A meta-analysis of the total economic impact of climate change. Energy Policy 2024, 185, 113922. [Google Scholar] [CrossRef]
- Chandio, A.A.; Jiang, Y.; Rehman, A.; Rauf, A. Short and long-run impacts of climate change on agriculture: Empirical evidence from China. Int. J. Clim. Chang. Strateg. Manag. 2020, 12, 201–221. [Google Scholar] [CrossRef]
- Malhi, G.S.; Kaur, M.; Kaushik, P. Impact of climate change on agriculture and its mitigation strategies: A review. Sustainability 2021, 13, 1318. [Google Scholar] [CrossRef]
- Day, J.; Chin, N.; Sydnor, S.; Widhalm, M.; Shah, K.U.; Dorworth, L. Implications of climate change for tourism and outdoor recreation: An Indiana, USA, case study. Clim. Chang. 2021, 169, 29. [Google Scholar] [CrossRef] [PubMed]
- Wolf, F.; Filho, W.L.; Singh, P.; Scherle, N.; Reiser, D.; Telesford, J.; Miljković, I.B.; Havea, P.H.; Li, C.; Surroop, D.; et al. Influences of climate change on tourism development in small pacific island states. Sustainability 2021, 13, 4223. [Google Scholar] [CrossRef]
- Steiger, R.; Knowles, N.; Pöll, K.; Rutty, M. Impacts of climate change on mountain tourism: A review. J. Sustain. Tour. 2024, 32, 1984–2017. [Google Scholar] [CrossRef]
- Tol, R.S. Climate change and insurance: A critical appraisal. Energy Policy 1998, 26, 257–262. [Google Scholar] [CrossRef]
- Dlugolecki, A. Climate change and the insurance sector. Geneva Pap. Risk Insur.-Issues Pract. 2008, 33, 71–90. [Google Scholar] [CrossRef]
- Collier, S.J.; Elliott, R.; Lehtonen, T.K. Climate change and insurance. Econ. Soc. 2021, 50, 158–172. [Google Scholar] [CrossRef]
- Koetse, M.J.; Rietveld, P. The impact of climate change and weather on transport: An overview of empirical findings. Transp. Res. Part D Transp. Environ. 2009, 14, 205–221. [Google Scholar] [CrossRef]
- Jaroszweski, D.; Chapman, L.; Petts, J. Assessing the potential impact of climate change on transportation: The need for an interdisciplinary approach. J. Transp. Geogr. 2010, 18, 331–335. [Google Scholar] [CrossRef]
- Brooks, A.; Roberts, H.; Brooke, J. Impacts of climate change on transport and infrastructure relevant to the coastal and marine environment around the UK. MCCIP Sci. Rev. 2020, 2020, 566–592. [Google Scholar]
- U-Din, S.; Nazir, M.S.; Sarfraz, M. The climate change and stock market: Catastrophes of the Canadian weather. Environ. Sci. Pollut. Res. 2022, 29, 44806–44818. [Google Scholar] [CrossRef] [PubMed]
- Hasan, F. The impact of climate change on dividend policy in the UK stock market. Int. J. Manag. Financ. Account. 2024, 16, 119–137. [Google Scholar]
- Cao, Y. Impact of climate change on dynamic tail-risk connectedness among stock market social sectors: Evidence from the US, Europe, and China. N. Am. J. Econ. Financ. 2025, 75, 102319. [Google Scholar] [CrossRef]
- International Energy Agency. The Role of Critical World Energy Outlook Special Report Minerals in Clean Energy Transitions; International Energy Agency: Paris, France, 2022. [Google Scholar]
- Sun, X. Supply chain risks of critical metals: Sources, propagation, and responses. Front. Energy Res. 2022, 10, 957884. [Google Scholar] [CrossRef]
- World Bank. The Growing Role of Minerals and Metals for a Low Carbon Future; World Bank: Washington, DC, USA, 2017. [Google Scholar]
- Tang, C.; Sprecher, B.; Tukker, A.; Mogollón, J.M. The impact of climate policy implementation on lithium, cobalt and nickel demand: The case of the Dutch automotive sector up to 2040. Resour. Policy 2021, 74, 102351. [Google Scholar] [CrossRef]
- Jin, Y.; Zhao, H.; Bu, L.; Zhang, D. Geopolitical risk, climate risk and energy markets: A dynamic spillover analysis. Int. Rev. Financ. Anal. 2023, 87, 102597. [Google Scholar] [CrossRef]
- Rao, A.; Lucey, B.; Kumar, S. Climate risk and carbon emissions: Examining their impact on key energy markets through asymmetric spillovers. Energy Econ. 2023, 126, 106970. [Google Scholar] [CrossRef]
- Gu, Q.; Li, S.; Tian, S.; Wang, Y. Climate, geopolitical, and energy market risk interconnectedness: Evidence from a new climate risk index. Financ. Res. Lett. 2023, 58, 104392. [Google Scholar] [CrossRef]
- Gu, Q.; Li, S.; Tian, S.; Wang, Y. Impact of climate risk on energy market risk spillover: Evidence from dynamic heterogeneous network analysis. Energy Econ. 2024, 137, 107775. [Google Scholar] [CrossRef]
- Sinha, A.; Tiwari, S.; Saha, T. Modeling the behavior of renewable energy market: Understanding the moderation of climate risk factors. Energy Econ. 2024, 130, 107290. [Google Scholar] [CrossRef]
- Alola, A.A.; Özkan, O.; Usman, O. Examining crude oil price outlook amidst substitute energy price and household energy expenditure in the USA: A novel nonparametric multivariate QQR approach. Energy Econ. 2023, 120, 106613. [Google Scholar] [CrossRef]
- International Resource Panel. Resource Efficiency and Climate Change: Material Efficiency Strategies for a Low-Carbon Future; International Resource Panel: Nairobi, Kenya, 2020. [Google Scholar]
- Hong, H.; Li, F.W.; Xu, J. Climate risks and market efficiency. J. Econom. 2019, 208, 265–281. [Google Scholar] [CrossRef]
- Adediran, I.A.; Bewaji, P.N.; Oyadeyi, O.O. Climate risk and stock markets: Implications for market efficiency and return predictability. Emerg. Mark. Financ. Trade 2024, 60, 1908–1928. [Google Scholar] [CrossRef]
- Bell, F.; van Vuuren, G. The impact of climate risk on corporate credit risk. Cogent Econ. Financ. 2022, 10, 2148362. [Google Scholar] [CrossRef]
- Redondo, H.; Aracil, E. Climate-related credit risk: Rethinking the credit risk framework. Glob. Policy 2024, 15, 21–33. [Google Scholar] [CrossRef]
- Shahrour, M.H.; Arouri, M.; Rao, S. Linking Climate Risk to Credit Risk: Evidence from Sectorial Analysis. J. Altern. Investig. 2025, 27, 118–135. [Google Scholar] [CrossRef]
- Battiston, S.; Dafermos, Y.; Monasterolo, I. Climate risks and financial stability. J. Financ. Stab. 2021, 54, 100867. [Google Scholar] [CrossRef]
- Chabot, M.; Bertrand, J.L. Climate risks and financial stability: Evidence from the European financial system. J. Financ. Stab. 2023, 69, 101190. [Google Scholar] [CrossRef]
- Liu, Z.; He, S.; Men, W.; Sun, H. Impact of climate risk on financial stability: Cross-country evidence. Int. Rev. Financ. Anal. 2024, 92, 103096. [Google Scholar] [CrossRef]
- Yu, Y.; Jian, X.; Wang, H.; Jahanger, A.; Balsalobre-Lorente, D. Unraveling the nexus: China’s economic policy uncertainty and carbon emission efficiency through advanced multivariate quantile-on-quantile regression analysis. Energy Policy 2024, 188, 114057. [Google Scholar] [CrossRef]
- Abbas, S.; Sinha, A.; Saha, T.; Shah, M.I. Response of mineral market to renewable energy production in the USA: Where lies the sustainable energy future. Energy Policy 2023, 182, 113749. [Google Scholar] [CrossRef]
- Zhou, Y.; Wu, S.; Liu, Z.; Rognone, L. The asymmetric effects of climate risk on higher-moment connectedness among carbon, energy and metals markets. Nat. Commun. 2023, 14, 7157. [Google Scholar] [CrossRef]
- Albanese, M.; Caporale, G.M.; Colella, I.; Spagnolo, N. The Effects of Physical and Transition Climate Risk on Stock Markets: Some Multi-Country Evidence. Int. Econ. 2025, 181, 100571. [Google Scholar] [CrossRef]
- Rose. TCFD Transition Risks: Assessing Climate Change Impacts and Mitigation. 2024. Available online: https://www.lythouse.com/blog/tcfd-transition-risk (accessed on 18 September 2024).
- Reboredo, J.C.; Ugolini, A. Climate transition risk, profitability and stock prices. Int. Rev. Financ. Anal. 2022, 83, 102271. [Google Scholar] [CrossRef]
- Harpprecht, C.; Xicotencatl, B.M.; van Nielen, S.; van der Meide, M.; Li, C.; Li, Z.; Tukker, A.; Steubing, B. Future environmental impacts of metals: A systematic review of impact trends, modelling approaches, and challenges. Resour. Conserv. Recycl. 2024, 205, 107572. [Google Scholar] [CrossRef]
- Islam, M.M.; Sohag, K.; Hammoudeh, S.; Mariev, O.; Samargandi, N. Minerals import demands and clean energy transitions: A disaggregated analysis. Energy Econ. 2022, 113, 106205. [Google Scholar] [CrossRef]
- Huber, S.T.; Steininger, K.W. Critical sustainability issues in the production of wind and solar electricity generation as well as storage facilities and possible solutions. J. Clean. Prod. 2022, 339, 130720. [Google Scholar] [CrossRef]
- IRENA. Critical Materials: Batteries for Electric Vehicles; International Renewable Energy Agency: Abu Dhabi, United Arab Emirates, 2024. [Google Scholar]
- Reboredo, J.C.; Otero, L.A. Are investors aware of climate-related transition risks? Evidence from mutual fund flows. Ecol. Econ. 2021, 189, 107148. [Google Scholar] [CrossRef]
- Sakemoto, R. Do precious and industrial metals act as hedges and safe havens for currency portfolios? Financ. Res. Lett. 2018, 24, 256–262. [Google Scholar] [CrossRef]
- Cevik, S.; Gwon, G. This is going to hurt: Weather anomalies, supply chain pressures and inflation. Int. Econ. 2024, 180, 100560. [Google Scholar] [CrossRef]
- Er Kara, M.; Ghadge, A.; Bititci, U.S. Modelling the impact of climate change risk on supply chain performance. Int. J. Prod. Res. 2021, 59, 7317–7335. [Google Scholar] [CrossRef]
- Locke, P.; Clifton, C.; Westra, S. Extreme weather events and the mining industry. Eng. Min. J. 2011, 212, 58. [Google Scholar]
- World Bank. World Bank Commodities Price Data. 2024. Available online: https://www.worldbank.org/en/research/commodity-markets (accessed on 18 August 2024).
- Koenker, R.; Bassett, G., Jr. Regression quantiles. Econom. J. Econom. Soc. 1978, 46, 33–50. [Google Scholar] [CrossRef]
- Sim, N.; Zhou, H. Oil prices, US stock return, and the dependence between their quantiles. J. Bank. Financ. 2015, 55, 1–8. [Google Scholar] [CrossRef]
- Lapinskaite, I.; Miecinskiene, A. Assessment of the impact of hard commodity prices changes on inflation in European Union countries. Cent. Eur. Bus. Rev. 2019, 8, 18–35. [Google Scholar] [CrossRef]
- Koyfman, A. Aluminum Price Outlook. 2009. Available online: http://www.wealthdaily.com/articles/aluminum-price-outlook/2111 (accessed on 15 November 2024).
- Mining. Copper to Be Best Performing Commodity of 2017–Analysts. 2019. Available online: http://www.mining.com/copper-best-performing-commodity-2017-analysts (accessed on 30 January 2025).
Disclaimer/Publisher’s Note: The statements, opinions and data contained in all publications are solely those of the individual author(s) and contributor(s) and not of MDPI and/or the editor(s). MDPI and/or the editor(s) disclaim responsibility for any injury to people or property resulting from any ideas, methods, instructions or products referred to in the content. |
© 2025 by the authors. Licensee MDPI, Basel, Switzerland. This article is an open access article distributed under the terms and conditions of the Creative Commons Attribution (CC BY) license (https://creativecommons.org/licenses/by/4.0/).







