Analysis of Consecutive Dry Days in the MATOPIBA Region During the Rainy and Dry Seasons
Abstract
1. Introduction
2. Materials and Methods
2.1. Study Area
2.2. Database
2.3. Methodological Procedures
2.3.1. Mann–Kendall Test
2.3.2. Sen’s Slope
3. Results and Discussion
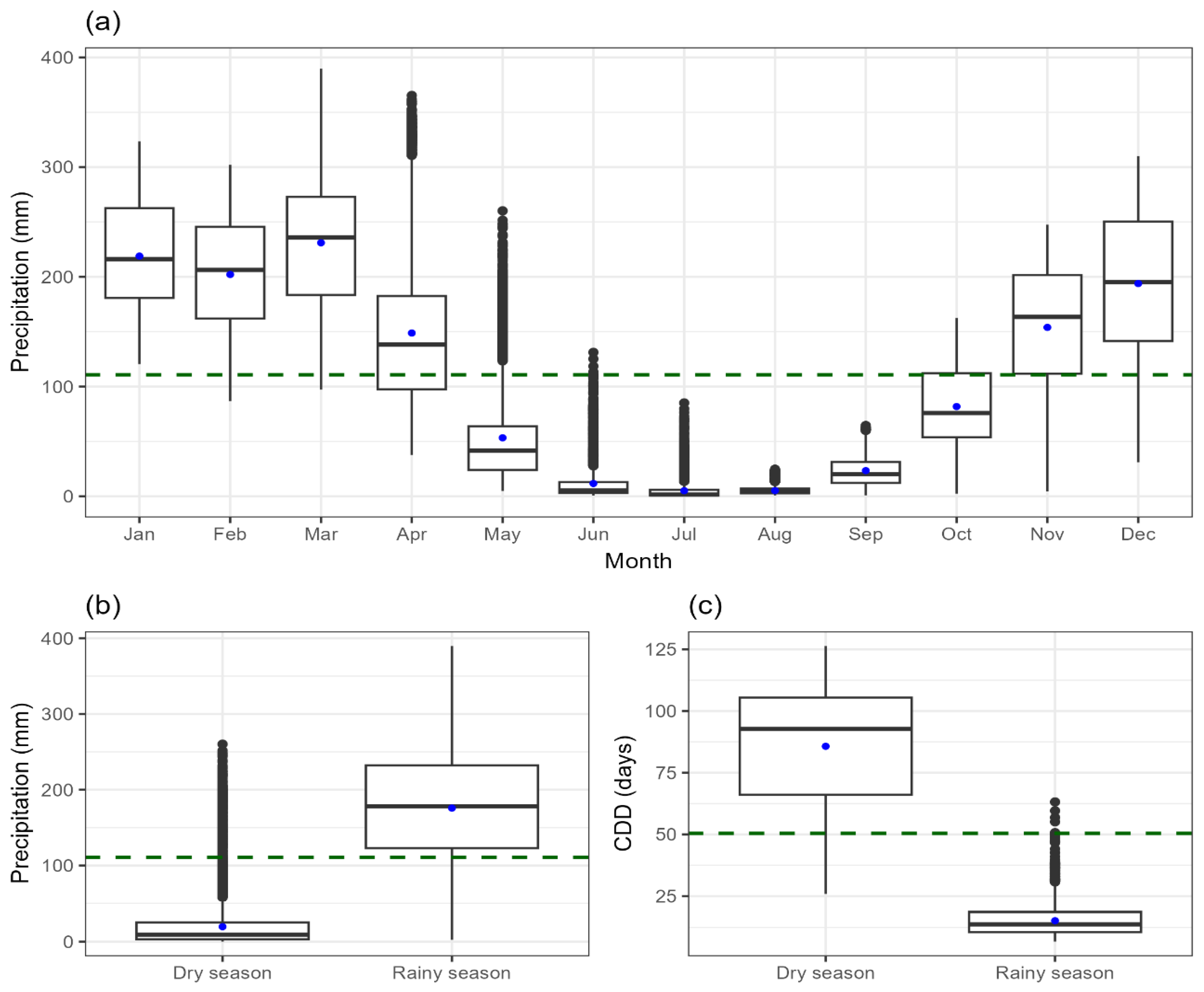
3.1. Temporal and Spatial Characterization of CDD in MATOPIBA
3.2. Trend Analysis of CDD in MATOPIBA (1981–2023)
4. Conclusions
Author Contributions
Funding
Institutional Review Board Statement
Informed Consent Statement
Data Availability Statement
Conflicts of Interest
References
- Vale, T.M.C.D.; Spyraides, M.H.C.; Júnior, J.B.C.; Andrade, L.d.M.B.; Bezerra, B.G.; Rodrigues, D.T.; Mutti, P.R. Climate and water balance influence on agricultural productivity over the Northeast Brazil. Theor. Appl. Clim. 2024, 155, 879–900. [Google Scholar] [CrossRef]
- dos Santos, A.L.M.; Gonçalves, W.A.; Rodrigues, D.T.; Andrade, L.d.M.B.; e Silva, C.M.S. Evaluation of Extreme Precipitation Indices in Brazil’s Semiarid Region from Satellite Data. Atmosphere 2022, 13, 1598. [Google Scholar] [CrossRef]
- Zhang, X.; Alexander, L.; Hegerl, G.C.; Jones, P.; Tank, A.K.; Peterson, T.C.; Trewin, B.; Zwiers, F.W. Indices for monitoring changes in extremes based on daily temperature and precipitation data. Wiley Interdiscip. Rev. Clim. Change 2011, 2, 851–870. [Google Scholar] [CrossRef]
- Batista, F.F.; Rodrigues, D.T.; e Silva, C.M.S. Analysis of climatic extremes in the Parnaíba River Basin, Northeast Brazil, using GPM IMERG-V6 products. Weather Clim. Extrem. 2024, 43, 100646. [Google Scholar] [CrossRef]
- dos Santos, A.L.M.; Gonçalves, W.A.; Andrade, L.d.M.B.; Rodrigues, D.T.; Batista, F.F.; Lima, G.C.; e Silva, C.M.S. Space–Time Characterization of Extreme Precipitation Indices for the Semiarid Region of Brazil. Climate 2024, 12, 43. [Google Scholar] [CrossRef]
- dos Reis, L.C.; e Silva, C.M.S.; Bezerra, B.G.; Mutti, P.R.; Spyrides, M.H.C.; da Silva, P.E. Analysis of Climate Extreme Indices in the MATOPIBA Region, Brazil. Pure Appl. Geophys. 2020, 177, 4457–4478. [Google Scholar] [CrossRef]
- Reis, L.; e Silva, C.M.S.; Bezerra, B.; Mutti, P.; Spyrides, M.H.; Silva, P.; Magalhães, T.; Ferreira, R.; Rodrigues, D.; Andrade, L. Influence of Climate Variability on Soybean Yield in MATOPIBA, Brazil. Atmosphere 2020, 11, 1130. [Google Scholar] [CrossRef]
- de Araújo, M.L.S.; Sano, E.E.; Bolfe, É.L.; Santos, J.R.N.; dos Santos, J.S.; Silva, F.B. Spatiotemporal dynamics of soybean crop in the Matopiba region, Brazil (1990–2015). Land Use Policy 2019, 80, 57–67. [Google Scholar] [CrossRef]
- Stríkis, N.M.; Buarque, P.F.S.M.; Cruz, F.W.; Bernal, J.P.; Vuille, M.; Tejedor, E.; Santos, M.S.; Shimizu, M.H.; Ampuero, A.; Du, W.; et al. Modern anthropogenic drought in Central Brazil unprecedented during last 700 years. Nat. Commun. 2024, 15, 1728. [Google Scholar] [CrossRef]
- EMBRAPA. GeoMatopiba: Inteligência Territorial Estratégica Para o MATOPIBA; Embrapa Territorial: Campinas, Brazil, 2020; Available online: https://www.embrapa.br/geomatopiba (accessed on 10 July 2025).
- CONAB—Companhia Nacional de Abastecimento. Acompanhamento da Safra Brasileira de Grãos—Safra 2022/23; CONAB: Brasília, Brazil, 2023. Available online: https://www.gov.br/conab/pt-br/atuacao/informacoes-agropecuarias/safras/safra-de-graos/boletim-da-safra-de-graos (accessed on 19 July 2025).
- USDA—United States Department of Agriculture. Soybeans and Oil Crops Outlook; USDA: Washington, DC, USA, 2017. Available online: https://www.ers.usda.gov/topics/crops/soybeans-and-oil-crops/market-outlook (accessed on 27 September 2025).
- Taherzadeh, O.; Caro, D. Drivers of water and land use embodied in international soybean trade. J. Clean. Prod. 2019, 223, 83–93. [Google Scholar] [CrossRef]
- dos Reis, L.C.; Santos e Silva, C.M.; Bezerra, B.G.; Spyrides, M.H.C. Caracterização da Variabilidade da Precipitação no MATOPIBA, Região Produtora de Soja. 2020. Available online: https://periodicos.ufpe.br/revistas/rbgfe (accessed on 29 September 2025).
- Marengo, J.A.; Galdos, M.V.; Challinor, A.; Cunha, A.P.; Marin, F.R.; Vianna, M.d.S.; Alvala, R.C.S.; Alves, L.M.; Moraes, O.L.; Bender, F. Drought in Northeast Brazil: A review of agricultural and policy adaptation options for food security. Clim. Resil. Sustain. 2022, 1, e17. [Google Scholar] [CrossRef]
- Paredes-Trejo, F.; Barbosa, H.A.; Giovannettone, J.; Kumar, T.V.L.; Buriti, C.d.O.; Prieto, J. Assessing Satellite-Based Products in Characterizing Agricultural Drought Under Climate Change in Northeast Brazil. In Climate Change and Agriculture; Wiley: Hoboken, NJ, USA, 2022; pp. 426–442. [Google Scholar]
- Zhu, X.; Troy, T.J. Agriculturally Relevant Climate Extremes and Their Trends in the World’s Major Growing Regions. Earth’s Futur. 2018, 6, 656–672. [Google Scholar] [CrossRef]
- Sentelhas, P.C.; Battisti, R.; Zeni, R.; Rodrigues, L.A. Clima e Produtividade da Soja: Efeitos nas Produtividades Potencial, Atingível e Real Clima e Produtividade. 2015. Available online: https://repositorio.usp.br/directbitstream/eb033abf-94cf-4375-84d3-8a270ee7a77c/3093142-Clima_e_produtividade_da_soja_efeitos_nas_produtividades_potencial__ating%C3%ADvel_e_real.pdf (accessed on 5 August 2025).
- Assad, E.D.; Assad, M.L.R.C.L. Mudanças do clima e agropecuária: Impactos, mitigação e adaptação. Desafios e oportunidades. Estud. Avançados 2024, 38, 271–292. [Google Scholar] [CrossRef]
- Sentelhas, P.C.; Battisti, R.; Câmara, G.M.S.; Farias, J.R.B.; Hampf, A.C.; Nendel, C. The soybean yield gap in Brazil—Magnitude, causes and possible solutions for sustainable production. J. Agric. Sci. 2015, 153, 1394–1411. [Google Scholar] [CrossRef]
- Xavier, A.C.; Scanlon, B.R.; King, C.W.; Alves, A.I. New improved Brazilian daily weather gridded data (1961–2020). Int. J. Clim. 2022, 42, 8390–8404. [Google Scholar] [CrossRef]
- IBGE—Instituto Brasileiro de Geografia e Estatística. PAM—Produção Agrícola Municipal. Available online: https://www.ibge.gov.br/estatisticas/economicas/agricultura-e-pecuaria/9117-producao-agricola-municipal-culturas-temporarias-e-permanentes.html (accessed on 22 June 2025).
- Miranda, E.E.; Carvalho, C.A.; de Magalhães, L.A. Proposta de Delimitação Territorial do MATOPIBA. Campinas. 2014. Available online: https://www.infoteca.cnptia.embrapa.br/infoteca/handle/doc/1037313 (accessed on 12 January 2025).
- de, A. Salvador, M.; de Brito, J.I.B. Trend of annual temperature and frequency of extreme events in the MATOPIBA region of Brazil. Theor. Appl. Climtol. 2018, 133, 253–261. [Google Scholar] [CrossRef]
- Alvares, C.A.; Stape, J.L.; Sentelhas, P.C.; Moraes, G.J.L.; Sparovek, G. Köppen’s climate classification map for Brazil. Meteorol. Z. 2013, 22, 711–728. [Google Scholar] [CrossRef]
- Utida, G.; Cruz, F.W.; Etourneau, J.; Bouloubassi, I.; Schefuß, E.; Vuille, M.; Novello, V.F.; Prado, L.F.; Sifeddine, A.; Klein, V.; et al. Tropical South Atlantic influence on Northeastern Brazil precipitation and ITCZ displacement during the past 2300 years. Sci. Rep. 2019, 9, 1698. [Google Scholar] [CrossRef]
- Zilli, M.T.; Carvalho, L.M.V.; Lintner, B.R. The poleward shift of South Atlantic Convergence Zone in recent decades. Clim. Dyn. 2019, 52, 2545–2563. [Google Scholar] [CrossRef]
- Grimm, A.M. Interannual climate variability in South America: Impacts on seasonal precipitation, extreme events, and possible effects of climate change. Stoch. Environ. Res. Risk Assess. 2011, 25, 537–554. [Google Scholar] [CrossRef]
- Souza, C.M.; Shimbo, J.Z.; Rosa, M.R.; Parente, L.L.; Alencar, A.; Rudorff, B.F.; Hasenack, H.; Matsumoto, M.; Ferreira, L.G.; E Souza-Filho, P.W.; et al. Reconstructing Three Decades of Land Use and Land Cover Changes in Brazilian Biomes with Landsat Archive and Earth Engine. Remote. Sens. 2020, 12, 2735. [Google Scholar] [CrossRef]
- Evangelista, B.A.; da Silva, F.A.M.; Simon, J.; Campos, L.J.M.; Vale, T.M.D. Zoneamento de Risco Climático para Determinação de Épocas de Semeadura da Cultura da Soja na Região MATOPIBA; Boletim de Pesquisa e Desenvolvimento, 18; Embrapa Pesca e Aquicultura: Palmas, Brazil, 2017; 44p, Available online: http://www.infoteca.cnptia.embrapa.br/infoteca/handle/doc/1078131 (accessed on 10 July 2025).
- Xavier, A.C.; King, C.W.; Scanlon, B.R. Daily gridded meteorological variables in Brazil (1980–2013). Int. J. Clim. 2016, 36, 2644–2659. [Google Scholar] [CrossRef]
- Cataldi, M.; Sancho, L.; Coutinho, P.E.; Aguiar, L.d.F.; Galves, V.L.V.; Guida, A. Teleconnection Patterns and Synoptic Drivers of Climate Extremes in Brazil (1981–2023). Atmosphere 2025, 16, 699. [Google Scholar] [CrossRef]
- Badiru, A.; Humaire, L.; Wanderley, L.S.d.A.; Matzarakis, A. Impact of Climate Change on the Tourism Potential of Northeastern Brazil: Trend Analysis and Future Perspectives. Sustainability 2025, 17, 5290. [Google Scholar] [CrossRef]
- Gomes, V.K.I.; da Silva, A.S.A.; Araújo, L.d.S.; Stosic, T. Extreme Rainfall Analysis in Pernambuco, Northeast Brazil, Using a High-Resolution Gridded Dataset. Int. J. Clim. 2024, 44, 5693–5710. [Google Scholar] [CrossRef]
- Rasera, J.B.; da Silva, R.F.; Piedade, S.; Filho, F.d.A.A.M.; Delbem, A.C.B.; Saraiva, A.M.; Sentelhas, P.C.; Marques, P.A.A. Do Gridded Weather Datasets Provide High-Quality Data for Agroclimatic Research in Citrus Production in Brazil? Agriengineering 2023, 5, 924–940. [Google Scholar] [CrossRef]
- Sen, P.K. Estimates of the regression coefficient based on Kendall’s Tau. J. Am. Stat. Assoc. 1968, 63, 1379–1389. [Google Scholar] [CrossRef]
- Lindemann, D.; Avila-Diaz, A.; Freitas, R. Extremos de precipitação durante o período de plantio da soja na região do MATOPIBA. Ciência Nat. 2025, 47, 24. [Google Scholar] [CrossRef]
- Battisti, R.; Sentelhas, P.C. Characterizing Brazilian soybean-growing regions by water deficit patterns. Field Crop. Res. 2019, 240, 95–105. [Google Scholar] [CrossRef]
- Marengo, J.A.; Souza, C.M.; Thonicke, K.; Burton, C.; Halladay, K.; Betts, R.A.; Alves, L.M.; Soares, W.R. Changes in Climate and Land Use Over the Amazon Region: Current and Future Variability and Trends. Front. Earth Sci. 2018, 6, 228. [Google Scholar] [CrossRef]
- Kayano, M.T.; Andreoli, R.V. Relations of South American summer rainfall interannual variations with the Pacific Decadal Oscillation. Int. J. Clim. 2007, 27, 531–540. [Google Scholar] [CrossRef]
- Bracalenti, M.A.; Müller, O.V.; Lovino, M.A.; Berbery, E.H. The agricultural expansion in South America’s Dry Chaco: Regional hydroclimate effects. Hydrol. Earth Syst. Sci. 2024, 28, 3281–3303. [Google Scholar] [CrossRef]
- Sankaran, M. Droughts and the ecological future of tropical savanna vegetation. J. Ecol. 2019, 107, 1531–1549. [Google Scholar] [CrossRef]
- Magalhães, A.J.d.S.; Alves, J.M.B.; da Silva, E.M.; Nunes, F.T.; Barbosa, A.C.B.; dos Santos, A.C.S.; Sombra, S.S. Veranicos no Brasil: Observações e Modelagens (CMIP5). Rev. Bras. Meteorol. 2019, 34, 597–626. [Google Scholar] [CrossRef]
- Feron, S.; Cordero, R.R.; Damiani, A.; MacDonell, S.; Pizarro, J.; Goubanova, K.; Valenzuela, R.; Wang, C.; Rester, L.; Beaulieu, A. South America is becoming warmer, drier, and more flammable. Commun. Earth Environ. 2024, 5, 501. [Google Scholar] [CrossRef]
- Marengo, J.A.; Cunha, A.P.; Cuartas, L.A.; Leal, K.R.D.; Broedel, E.; Seluchi, M.E.; Michelin, C.M.; Baião, C.F.D.P.; Angulo, E.C.; Almeida, E.K.; et al. Extreme Drought in the Brazilian Pantanal in 2019–2020: Characterization, Causes, and Impacts. Front. Water 2021, 3, 639204. [Google Scholar] [CrossRef]
- de Medeiros, F.J.; de Oliveira, C.P. Assessment of dry and heavy rainfall days and their projected changes over Northeast Brazil in Coupled Model Intercomparison Project Phase 6 models. Int. J. Clim. 2022, 42, 8665–8686. [Google Scholar] [CrossRef]
- Avila-Diaz, A.; Torres, R.R.; Zuluaga, C.F.; Cerón, W.L.; Oliveira, L.; Benezoli, V.; Rivera, I.A.; Marengo, J.A.; Wilson, A.B.; Medeiros, F. Current and Future Climate Extremes Over Latin America and Caribbean: Assessing Earth System Models from High Resolution Model Intercomparison Project (HighResMIP). Earth Syst. Environ. 2023, 7, 99–130. [Google Scholar] [CrossRef]
- Moura, A.D.; Shukla, J. On the Dynamics of Droughts in Northeast Brazil: Observations, Theory and Numerical Experiments with a General Circulation Model. J. Atmos. Sci. 1981, 38, 2653–2675. [Google Scholar] [CrossRef]
- Uvo, C.B. A Zona de Convergência Intertropical (ZCIT)e sua Relação com a Precipitação da Região Norte do Nordeste Brasileiro. 1989. Available online: http://marte3.sid.inpe.br/col/sid.inpe.br/iris@1905/2005/07.27.09.06/doc/6033.pdf (accessed on 10 February 2025).
- Nobre, P.; Srukla, J. Variations of Sea Surface Temperature, Wind Stress, and Rainfall over the Tropical Atlantic and South America. J. Clim. 1996, 9, 2464–2479. [Google Scholar] [CrossRef]
- de Carvalho, M.Â.V.; Oyama, M.D. Variabilidade da largura e intensidade da Zona de Convergência Intertropical atlântica: Aspectos observacionais. Rev. Bras. Meteorol. 2013, 28, 305–316. [Google Scholar] [CrossRef]
- Xie, S.-P.; Carton, J.A. Tropical Atlantic Variability: Patterns, Mechanisms, and Impacts; AGU Publications: Washington, DC, USA, 2013; pp. 121–142. [Google Scholar] [CrossRef]
- Torres, R.R.; Marengo, J.A. Uncertainty assessments of climate change projections over South America. Theor. Appl. Clim. 2013, 112, 253–272. [Google Scholar] [CrossRef]
- Paredes-Trejo, F.J.; Barbosa, H.; Kumar, T.L. Validating CHIRPS-based satellite precipitation estimates in Northeast Brazil. J. Arid. Environ. 2017, 139, 26–40. [Google Scholar] [CrossRef]
- Marengo, J.; Cunha, A.P.; Alves, L. A seca de 2012-15 no semiárido do Nordeste do Brasil no contexto histórico. Climanalise 2016, 4, 49–54. [Google Scholar]
- Silva, J.d.S.; Júnior, J.B.C.; Rodrigues, D.T.; Silva, F.D.d.S. Climatology and significant trends in air temperature in Alagoas, Northeast Brazil. Theor. Appl. Clim. 2023, 151, 1805–1824. [Google Scholar] [CrossRef]
- Amorim, A.C.B.; Lucio, P.S.; e Silva, C.M.S.; Rodrigues, D.T.; Neto, F.A.d.B. Regionalização e Análise da Tendência da Precipitação do Rio Grande do Norte Associados a Padrões de TSM. Rev. Bras. Meteorol. 2020, 35, 269–280. [Google Scholar] [CrossRef]
- Morales, F.E.C.; Rodrigues, D.T.; Marques, T.V.; Amorim, A.C.B.; de Oliveira, P.T.; e Silva, C.M.S.; Gonçalves, W.A.; Lucio, P.S. Spatiotemporal Analysis of Extreme Rainfall Frequency in the Northeast Region of Brazil. Atmosphere 2023, 14, 531. [Google Scholar] [CrossRef]
- Tomasella, J.; Cunha, A.P.M.A.; Simões, P.A.; Zeri, M. Assessment of trends, variability and impacts of droughts across Brazil over the period 1980–2019. Nat. Hazards 2023, 116, 2173–2190. [Google Scholar] [CrossRef]
- dos Santos Silva, F.D.; da Costa, C.P.W.; dos Santos Franco, V.; Gomes, H.B.; da Silva, M.C.L.; dos Santos Vanderlei, M.H.G.; Costa, R.L.; da Rocha, R.L., Jr.; Cabral, J.B., Jr.; dos Reis, J.S.; et al. Intercomparison of Different Sources of Precipitation Data in the Brazilian Legal Amazon. Climate 2023, 11, 241. [Google Scholar] [CrossRef]
- Batista, F.F.; Rodrigues, D.T.; e Silva, C.M.S.; Andrade, L.d.M.B.; Mutti, P.R.; Potes, M.; Costa, M.J. Performance Assessment of IMERG V07 Versus V06 for Precipitation Estimation in the Parnaíba River Basin. Remote Sens. 2025, 17, 3613. [Google Scholar] [CrossRef]
- Ministry of Agrarian Development and Family Agriculture. Programme for Agricultural Activity Guarantee (PROAGRO); Federal Government: Brasília, Brazil, 2025. Available online: https://www.gov.br/mda/pt-br/assuntos/proagro (accessed on 23 October 2025).
- Ministry of Agriculture and Livestock. National Programme of Agricultural Climate-Risk Zoning (ZARC); Secretariat of Agricultural Policy, Department of Risk Management: Brasília, Brazil, 2025. Available online: https://www.gov.br/agricultura/pt-br/assuntos/riscos-seguro/programa-nacional-de-zoneamento-agricola-de-risco-climatico (accessed on 23 October 2025).






| Descriptive Statistics | Equation | |
|---|---|---|
| Mean | (1) | |
| Standard Deviation (SD) | (2) | |
| Trend | State | Number of Pixels (Percentage) with Significant Trends | Total Number of Pixels | |
|---|---|---|---|---|
| Rainy Season | Dry Season | |||
| Increase | Maranhão/MA | 217 (11.1%) | 269 (13.1%) | 1950 |
| Tocantins/TO | 234 (10.2%) | 1367 (59.6%) | 2292 | |
| Piauí/PI | 49 (7.3%) | 7 (1.0%) | 675 | |
| Bahia/BA | 207 (18.8%) | 224 (20.3%) | 1102 | |
| Decrease | Maranhão/MA | 33 (1.7%) | 6 (1.0%) | 1950 |
Disclaimer/Publisher’s Note: The statements, opinions and data contained in all publications are solely those of the individual author(s) and contributor(s) and not of MDPI and/or the editor(s). MDPI and/or the editor(s) disclaim responsibility for any injury to people or property resulting from any ideas, methods, instructions or products referred to in the content. |
© 2025 by the authors. Licensee MDPI, Basel, Switzerland. This article is an open access article distributed under the terms and conditions of the Creative Commons Attribution (CC BY) license (https://creativecommons.org/licenses/by/4.0/).
Share and Cite
Rodrigues, D.T.; Batista, F.F.; Andrade, L.d.M.B.; da Silva, H.J.F.; Cabral Júnior, J.B.; Ribeiro, M.S.M.; dos Reis, J.S.; Santos Silva, J.d.; dos Santos Silva, F.D.; Santos e Silva, C.M. Analysis of Consecutive Dry Days in the MATOPIBA Region During the Rainy and Dry Seasons. Atmosphere 2025, 16, 1284. https://doi.org/10.3390/atmos16111284
Rodrigues DT, Batista FF, Andrade LdMB, da Silva HJF, Cabral Júnior JB, Ribeiro MSM, dos Reis JS, Santos Silva Jd, dos Santos Silva FD, Santos e Silva CM. Analysis of Consecutive Dry Days in the MATOPIBA Region During the Rainy and Dry Seasons. Atmosphere. 2025; 16(11):1284. https://doi.org/10.3390/atmos16111284
Chicago/Turabian StyleRodrigues, Daniele Tôrres, Flavia Ferreira Batista, Lara de Melo Barbosa Andrade, Helder José Farias da Silva, Jório Bezerra Cabral Júnior, Marcos Samuel Matias Ribeiro, Jean Souza dos Reis, Josiel dos Santos Silva, Fabrício Daniel dos Santos Silva, and Claudio Moisés Santos e Silva. 2025. "Analysis of Consecutive Dry Days in the MATOPIBA Region During the Rainy and Dry Seasons" Atmosphere 16, no. 11: 1284. https://doi.org/10.3390/atmos16111284
APA StyleRodrigues, D. T., Batista, F. F., Andrade, L. d. M. B., da Silva, H. J. F., Cabral Júnior, J. B., Ribeiro, M. S. M., dos Reis, J. S., Santos Silva, J. d., dos Santos Silva, F. D., & Santos e Silva, C. M. (2025). Analysis of Consecutive Dry Days in the MATOPIBA Region During the Rainy and Dry Seasons. Atmosphere, 16(11), 1284. https://doi.org/10.3390/atmos16111284

