Estimating the Contribution of the Summer Traffic Peak to PM2.5, NOx, and NMVOCs
Abstract
1. Introduction
2. Methods
2.1. Study Area Description
2.2. COPERT Emissions Factors
2.3. Estimation of Summer Traffic Peak
3. Results
3.1. Traffic Analyses in the Ljubljana Ring Junction
3.2. Summer Traffic Peak at the Ljubljana Junction by Vehicle Type
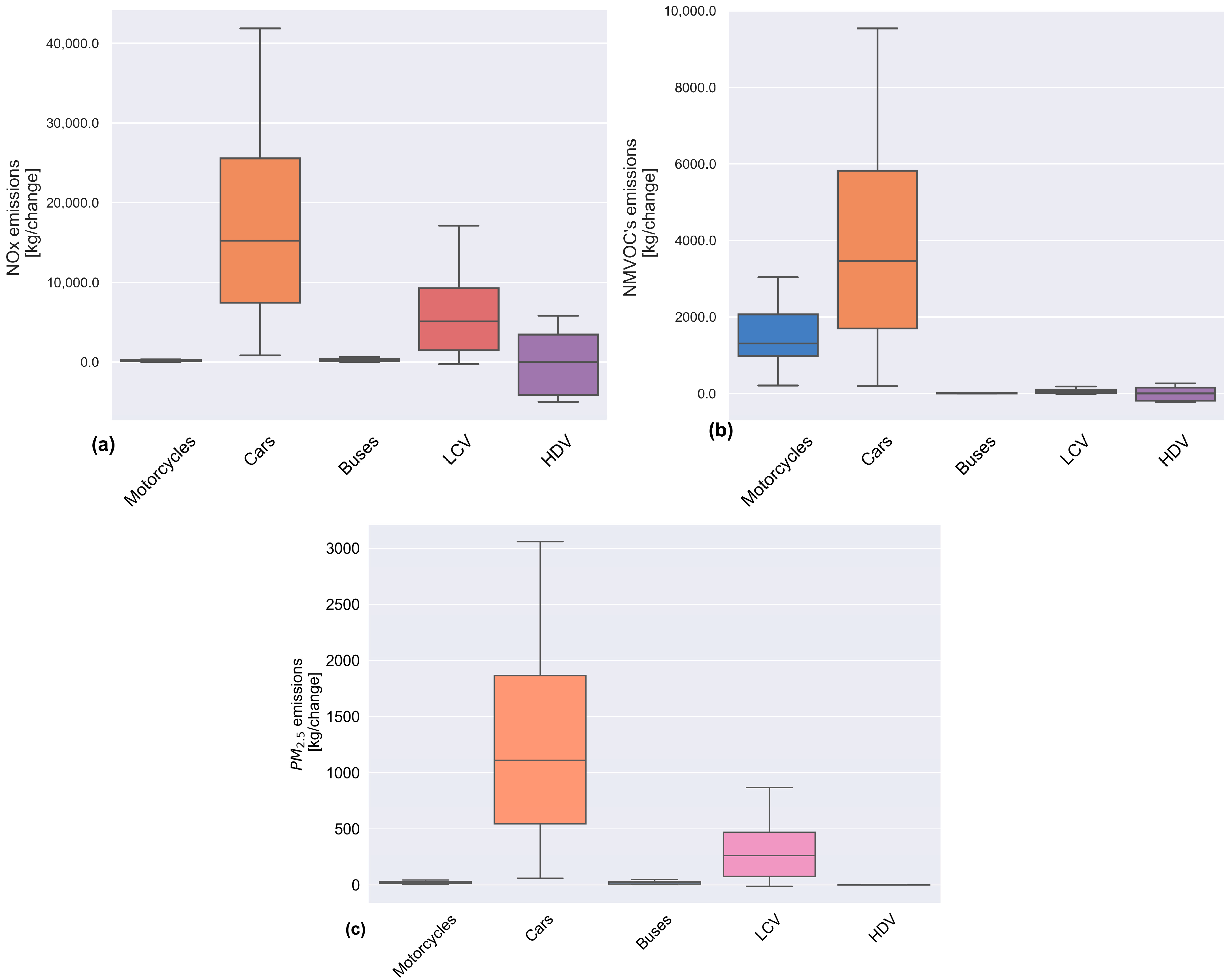
3.3. Emissions of NOx, PM2.5, and NMVOCs from the Summer Traffic Peak at the Ljubljana Junction by Vehicle Type
4. Discussion
5. Conclusions
Supplementary Materials
Author Contributions
Funding
Institutional Review Board Statement
Informed Consent Statement
Data Availability Statement
Conflicts of Interest
References
- European Commision. EU Action Plan: “Towards Zero Pollution for Air, Water and Soil”. COM/2021/400. Available online: https://environment.ec.europa.eu/strategy/zero-pollution-action-plan_en (accessed on 6 January 2025).
- The European Parliament and the Council of the European Union. Directive (EU) 2024/2881 of the European Parliament and of the Council of 23 October 2024 on Ambient Air Quality and Cleaner Air for Europe. Available online: https://eur-lex.europa.eu/eli/dir/2024/2881/oj (accessed on 6 January 2025).
- WHO. WHO Global Air Quality Guidelines: Particulate Matter (PM2.5 and PM10), Ozone, Nitrogen Dioxide, Sulfur Dioxide and Carbon Monoxide. Available online: https://www.who.int/publications/i/item/9789240034228 (accessed on 6 January 2025).
- Eurostat. Key Figures on European Transport, 2022 Edition. Available online: https://ec.europa.eu/eurostat/documents/15216629/15589759/KS-07-22-523-EN-N.pdf (accessed on 23 October 2024).
- Vichova, K.; Veselik, P.; Heinzova, R.; Dvoracek, R. Road Transport and Its Impact on Air Pollution during the COVID-19 Pandemic. Sustainability 2021, 13, 11803. [Google Scholar] [CrossRef]
- Ivanovski, M.; Lavrič, P.D.; Vončina, R.; Goričanec, D.; Urbancl, D. Improvement of Air Quality during the COVID-19 Lockdowns in the Republic of Slovenia and Its Connection with Meteorology. Aerosol Air Qual. Res. 2022, 22, 210262. [Google Scholar] [CrossRef]
- European Environemnt Agency. Europe’s Air Quality Status 2023. Available online: https://www.eea.europa.eu/publications/europes-air-quality-status-2023 (accessed on 25 March 2024).
- European Environment Agency. Sustainability of Europe’s Mobility Systems. Available online: https://www.eea.europa.eu/en/analysis/publications/sustainability-of-europes-mobility-systems (accessed on 20 November 2024).
- Doumbia, T.; Granier, C.; Elguindi, N.; Bouarar, I.; Darras, S.; Brasseur, G.; Gaubert, B.; Liu, Y.; Shi, X.; Stavrakou, T.; et al. Changes in Global Air Pollutant Emissions during the COVID-19 Pandemic: A Dataset for Atmospheric Modeling. Earth Syst. Sci. Data 2021, 13, 4191–4206. [Google Scholar] [CrossRef]
- Fiorello, D.; Martino, A.; Zani, L.; Christidis, P.; Navajas-Cawood, E. Mobility Data across the EU 28 Member States: Results from an Extensive CAWI Survey. Transp. Res. Procedia 2016, 14, 1104–1113. [Google Scholar] [CrossRef]
- Tjandra, S.; Kraus, S.; Ishmam, S.; Grube, T.; Linßen, J.; May, J.; Stolten, D. Model-Based Analysis of Future Global Transport Demand. Transp. Res. Interdiscip. Perspect. 2024, 23, 101016. [Google Scholar] [CrossRef]
- The European Travel Commission. European Tourism Reaches New Highs in 2024 as Travellers’ Plans Diversify. Available online: https://etc-corporate.org/news/european-tourism-reaches-new-highs-in-2024-as-travellers-plans-diversify/# (accessed on 21 November 2024).
- Eurostat. Partial Recovery in Tourism Trips in 2021. Available online: https://ec.europa.eu/eurostat/web/products-eurostat-news/w/DDN-20221220-1 (accessed on 21 November 2024).
- Statistical Office of the Republic of Slovenia. Tourist Arrivals and Overnight Stays. Available online: https://www.stat.si/StatWeb/sl/News/Index/13188 (accessed on 21 November 2024).
- Šulc, I.; Fuerst-Bjeliš, B. Changes of Tourism Trajectories in (Post)Covidian World: Croatian Perspectives. Res. Glob. 2021, 3, 100052. [Google Scholar] [CrossRef]
- United Nations Economic Commission for Europe. Pan-European Corridors to Major Transport Axes. Available online: https://unece.org/pan-european-corridors-major-transport-axes (accessed on 5 January 2025).
- Ministry of Infrastructure. Transport Development Strategy of the Republic of Slovenia Until 2030; Ministry of Infrastructure: Ljubljana, Slovenia, 2017; 265p, ISBN 978-961-94277-3-6.
- Ministry of the Environment. Climate and Energy Informative Inventory Report Slovenia 2023. Available online: https://www.ceip.at/status-of-reporting-and-review-results/2023-submission/#S (accessed on 24 November 2024).
- Gurjar, J.; Agarwal, P.K.; Jain, P.K. A Comprehensive Methodology for Comparative Performance Evaluation of Public Transport Systems in Urban Areas. Transp. Res. Procedia 2020, 48, 3508–3531. [Google Scholar] [CrossRef]
- Ľupták, V.; Droździel, P.; Stopka, O.; Stopková, M.; Rybicka, I. Approach Methodology for Comprehensive Assessing the Public Passenger Transport Timetable Performances at a Regional Scale. Sustainability 2019, 11, 3532. [Google Scholar] [CrossRef]
- Ioannidis, G.; Li, C.; Tremper, P.; Riedel, T.; Ntziachristos, L. Application of CFD Modelling for Pollutant Dispersion at an Urban Traffic Hotspot. Atmosphere 2024, 15, 113. [Google Scholar] [CrossRef]
- Al-Jabir, M.; Isaifan, R.J. Long-Term Projection of Transport-Related Social Cost of Greenhouse Gas Emissions in Qatar. Sustainability 2024, 16, 536. [Google Scholar] [CrossRef]
- Jing, Q.-L.; Liu, H.-Z.; Yu, W.-Q.; He, X. The Impact of Public Transportation on Carbon Emissions—From the Perspective of Energy Consumption. Sustainability 2022, 14, 6248. [Google Scholar] [CrossRef]
- Al-Jaghbeer, O.; Fung, P.L.; Paunu, V.-V.; Järvi, L. Mapping CO2 Traffic Emissions within Local Climate Zones in Helsinki. Urban Clim. 2024, 58, 102171. [Google Scholar] [CrossRef]
- Zhang, X.; Hu, Q.; Wu, Y.; Bian, L. Changes in Traffic Carbon Emissions with Traffic Conditions and Their Control Strategies. Proc. Inst. Civ. Eng.—Transp. 2024, 1–13. [Google Scholar] [CrossRef]
- Russo, M.A.; Relvas, H.; Gama, C.; Lopes, M.; Borrego, C.; Rodrigues, V.; Robaina, M.; Madaleno, M.; Carneiro, M.J.; Eusébio, C.; et al. Estimating Emissions from Tourism Activities. Atmos. Environ. 2020, 220, 117048. [Google Scholar] [CrossRef]
- Betta, L.; Dattilo, B.; di Bella, E.; Finocchiaro, G.; Iaccarino, S. Tourism and Road Transport Emissions in Italy. Sustainability 2021, 13, 12712. [Google Scholar] [CrossRef]
- Liang, M.; Chao, Y.; Tu, Y.; Xu, T. Vehicle Pollutant Dispersion in the Urban Atmospheric Environment: A Review of Mechanism, Modeling, and Application. Atmosphere 2023, 14, 279. [Google Scholar] [CrossRef]
- Velizarova, M.; Dimitrova, R.; Hristov, P.O.; Burov, A.; Brezov, D.; Hristova, E.; Gueorguiev, O. Evaluation of Emission Factors for Particulate Matter and NO2 from Road Transport in Sofia, Bulgaria. Atmosphere 2024, 15, 773. [Google Scholar] [CrossRef]
- Ravi, S.S.; Osipov, S.; Turner, J.W.G. Impact of Modern Vehicular Technologies and Emission Regulations on Improving Global Air Quality. Atmosphere 2023, 14, 1164. [Google Scholar] [CrossRef]
- Ministrstvo za Infrastrukturo Direkcija Republike Slovenije. Sektor Za Evidence o Cestah, Informatiko in Arhiv. Available online: https://www.gov.si/drzavni-organi/organi-v-sestavi/direkcija-za-infrastrukturo/o-direkciji/sektor-za-evidence-o-cestah-informatiko-in-arhiv/ (accessed on 24 November 2024).
- Ntziachristos, L.; Samaras, Z.; Eggleston, S.; Gorißen, N.; Hassel, D.; Hickman, A.-J.; Joumard, R.; Rijkeboer, R.; White, L.; Zierock, K.-H. COPERT III Computer Programme to Calculate Emissions from Road Transport Methodology and Emission Factors. Available online: https://www.eea.europa.eu/en/analysis/publications/technical_report_no_49 (accessed on 24 November 2024).
- Leonidas Ntziachristos, Z.S. 1.A.3.b.i-Iv Road Transport 2024, EMEP/EEA Air Pollutant Emission Inventory Guidebook 2023. Available online: https://www.eea.europa.eu/publications/emep-eea-guidebook-2023/part-b-sectoral-guidance-chapters/1-energy/1-a-combustion/1-a-3-b-i/view (accessed on 24 November 2024).
- Dey, S.; Caulfield, B.; Ghosh, B. Modelling Uncertainty of Vehicular Emissions Inventory: A Case Study of Ireland. J. Clean. Prod. 2019, 213, 1115–1126. [Google Scholar] [CrossRef]
- Jiang, P.; Zhong, X.; Li, L. On-Road Vehicle Emission Inventory and Its Spatio-Temporal Variations in North China Plain. Environ. Pollut. 2020, 267, 115639. [Google Scholar] [CrossRef] [PubMed]
- Chłopek, Z.; Bebkiewicz, K.; Szczepański, K.; Zimakowska, M. Assessment of Results of Pollutant Emission Inventory of the Road Transport Sector in Poland in 2000–2015. Arch. Automot. Eng.—Arch. Motoryz. 2017, 78, 5–25. [Google Scholar] [CrossRef]
- Kawsar, S.; Biswas, S.; Noor, M.; Mamun, M.S. Investigating the Applicability of COPERT 5.5 Emission Software in Bangladesh and Developing Countrywide Vehicular Emission Inventories. Environ. Sci. Atmos. 2023, 4, 57–72. [Google Scholar] [CrossRef]
- European Environment Agency. EMEP/EEA Air Pollutant Emission Inventory Guidebook 2023 Technical Guidance to Prepare National Emission Inventories. Available online: https://www.eea.europa.eu/publications/emep-eea-guidebook-2023 (accessed on 24 November 2024).
- Slovenian Environment Agency. Kakovost Zraka v Sloveniji v Letu 2022. Available online: https://www.arso.gov.si/zrak/kakovost zraka/poročila in publikacije/porocilo_2022_Merged.pdf (accessed on 24 November 2024).
- Slovenian Traffic Safety Agency. Analiza Povprečnih Hitrosti Na Državnih Cestah. Available online: https://www.avp-rs.si/wp-content/uploads/2014/07/POVPREČNE_HITROSTI_NA_DRŽAVNIH_CESTAH_V_LETU_2013.pdf (accessed on 5 January 2025).
- Ministrstvo za Okolje in Prostor. Evidenca Registriranih Vozil. Available online: https://podatki.gov.si/dataset/evidenca-registriranih-vozil-presek-stanja (accessed on 12 January 2021).
- Ministry of Infrastructure. Technical Inspection and Registration of Vehicles. Available online: https://www.gov.si/teme/tehnicni-pregled-in-registracija-vozil-2/ (accessed on 20 November 2024).
- Statistical Office of the Republic of Slovenia. The Share of Rail Goods Transport in Total Inland Goods Transport Continues to Decline. Available online: https://www.stat.si/StatWeb/en/News/Index/11418 (accessed on 23 October 2024).
- Khardi, S. Emission Factors of Tyre Wear Particles Emitted by Light Road Vehicles in Real Driving Conditions: A New Challenge for Clean Road Transport to Improve Urban Air Quality. Atmosphere 2024, 15, 665. [Google Scholar] [CrossRef]
- Pandey, M.; George, M.P.; Gupta, R.K.; Gusain, D.; Dwivedi, A. Impact of COVID-19 Induced Lockdown and Unlock down Phases on the Ambient Air Quality of Delhi, Capital City of India. Urban Clim. 2021, 39, 100945. [Google Scholar] [CrossRef]
- Tiran, J.; Brezina, T.; Ogrin, M.; Laa, B. Impact of the COVID-19 Pandemic on Daily Mobility in Slovenia: Insight into the First Wave. Ujma 2022, 36, 195–202. [Google Scholar]
- Cicala, S.; Holland, S.P.; Mansur, E.T.; Muller, N.Z.; Yates, A.J. Expected Health Effects of Reduced Air Pollution from COVID-19 Social Distancing. Atmosphere 2021, 12, 951. [Google Scholar] [CrossRef]
- Turienzo, J.; Cabanelas, P.; Lampón, J.F.; Parkhurst, G. The Transformation of Mobility in Europe: Technological Change and Social Conditionings. Travel Behav. Soc. 2025, 38, 100907. [Google Scholar] [CrossRef]
- European Commission, Directorate General for Transport. European Road Safety Observatory, Facts and Figures Motorcyclists and Moped Riders—2020. Available online: https://road-safety.transport.ec.europa.eu/system/files/2021-07/facts_figures_p2w_final_20210323.pdf (accessed on 30 October 2024).
- Statistical Office of the Republic of Slovenia. In 2021, 50% More Foreign Tourists Arrivals in Slovenia than in 2020. Available online: https://www.stat.si/StatWeb/en/news/Index/10269 (accessed on 30 October 2024).
- Muley, D.; Singh, B. Environmental Impacts of COVID–19 Responses on Passenger Vehicle Transport Scenarios: A Life Cycle Approach. J. Clean. Prod. 2024, 455, 142309. [Google Scholar] [CrossRef]
- Vega-Gonzalo, M.; Christidis, P.; Gomez, J. Car Ownership and Post-COVID Urban Mobility across European Cities. Transp. Res. Procedia 2023, 69, 305–312. [Google Scholar] [CrossRef]
- Ebrahim Shaik, M.; Ahmed, S. An Overview of the Impact of COVID-19 on Road Traffic Safety and Travel Behavior. Transp. Eng. 2022, 9, 100119. [Google Scholar] [CrossRef]
- Nicodème, C. Mobility and Recovery in Europe: Impact of the COVID-19 Crisis A European Comparative Analysis. Transp. Res. Procedia 2023, 69, 902–909. [Google Scholar] [CrossRef]
- Mantilla-Romo, L.; Camargo-Caicedo, Y.; Bolaño-Diaz, S.; Tovar-Bernal, F.; Garrido-Galindo, A. Estimation of Road Transportation Emissions in Colombia from 2010 to 2021. Atmosphere 2023, 14, 1167. [Google Scholar] [CrossRef]
- Saenz-de-Miera, O.; Rosselló, J. Modeling Tourism Impacts on Air Pollution: The Case Study of PM10 in Mallorca. Tour. Manag. 2014, 40, 273–281. [Google Scholar] [CrossRef]





| Month | Mean Minimal Temperature [°C] | Mean Maximal Temperature [°C] | Mean Relative Humidity [%] |
|---|---|---|---|
| January | −1.1 | 4.1 | 87 |
| February | 2 | 10.6 | 74 |
| March | 0.5 | 13.4 | 63 |
| April | 4.1 | 14.8 | 65 |
| May | 8.5 | 19.3 | 70 |
| June | 15.9 | 29.2 | 58 |
| July | 17.7 | 29.1 | 64 |
| August | 15.5 | 27.4 | 67 |
| September | 11.6 | 24.4 | 68 |
| October | 6.1 | 14.8 | 78 |
| November | 3.8 | 8.7 | 83 |
| December | −0.6 | 3.4 | 88 |
| NOx [g/km] | PM2.5 [g/km] | NMVOCs [g/km] | ||
|---|---|---|---|---|
| Engine Operation | Passenger Cars | 0.452 | 0.020 | 0.058 |
| Light Commercial Vehicles | 1.223 | 0.031 | 0.011 | |
| Heavy Duty Trucks | 0.587 | 0.058 | 0.026 | |
| Buses | 1.468 | 0.055 | 0.040 | |
| Motorcycles | 0.181 | 0.017 | 1.108 | |
| Tire and Brake Wear and Road Abrasion | Passenger Cars | / 1 | 0.013 | / 1 |
| Light Commercial Vehicles | / 1 | 0.031 | / 1 | |
| Heavy Duty Trucks | / 1 | 0.020 | / 1 | |
| Buses | / 1 | 0.052 | / 1 | |
| Motorcycles | / 1 | 0.005 | / 1 | |
| Gasoline Evaporation | Passenger Cars | / 1 | / 1 | 0.045 |
| Light Commercial Vehicles | / 1 | / 1 | 0.002 | |
| Heavy Duty Trucks | / 1 | / 1 | 0.00002 | |
| Buses | / 1 | / 1 | 0.00002 | |
| Motorcycles | / 1 | / 1 | 0.419 |
Disclaimer/Publisher’s Note: The statements, opinions and data contained in all publications are solely those of the individual author(s) and contributor(s) and not of MDPI and/or the editor(s). MDPI and/or the editor(s) disclaim responsibility for any injury to people or property resulting from any ideas, methods, instructions or products referred to in the content. |
© 2025 by the authors. Licensee MDPI, Basel, Switzerland. This article is an open access article distributed under the terms and conditions of the Creative Commons Attribution (CC BY) license (https://creativecommons.org/licenses/by/4.0/).
Share and Cite
Dolšak Lavrič, P.; Kukec, A. Estimating the Contribution of the Summer Traffic Peak to PM2.5, NOx, and NMVOCs. Atmosphere 2025, 16, 112. https://doi.org/10.3390/atmos16010112
Dolšak Lavrič P, Kukec A. Estimating the Contribution of the Summer Traffic Peak to PM2.5, NOx, and NMVOCs. Atmosphere. 2025; 16(1):112. https://doi.org/10.3390/atmos16010112
Chicago/Turabian StyleDolšak Lavrič, Petra, and Andreja Kukec. 2025. "Estimating the Contribution of the Summer Traffic Peak to PM2.5, NOx, and NMVOCs" Atmosphere 16, no. 1: 112. https://doi.org/10.3390/atmos16010112
APA StyleDolšak Lavrič, P., & Kukec, A. (2025). Estimating the Contribution of the Summer Traffic Peak to PM2.5, NOx, and NMVOCs. Atmosphere, 16(1), 112. https://doi.org/10.3390/atmos16010112
