Abstract
Ionospheric plasma density irregularities, which are one of the primary sources of disturbance for the Global Navigation Satellite System, significantly impact the propagation of electromagnetic signals, leading to signal degradation and potential interruptions. In the equatorial ionospheric F region after sunset, certain plasma density irregularities, identified as equatorial plasma bubbles, encounter optimal conditions for their formation and development. The energy spectra of electron density fluctuations associated with these irregularities exhibit a power-law scaling behavior qualitatively similar to the Kolmogorov power law observed in fluid turbulence theory. This intriguing similarity raises the possibility that these plasma density irregularities may possess turbulent characteristics. In this study, we analyzed electron density, temperature, and pressure data obtained from the China Seismo-Electromagnetic Satellite (CSES-01) to delve into the spectral properties of equatorial plasma depletions in the ionospheric F region at an altitude of about 500 km. This research marks the first exploration of these properties utilizing CSES-01 data and focuses on 14 semi-orbits that crossed the equator after midnight (01:00–03:00 LT), characterized by a geomagnetic quiet condition (Kp < 1). The analysis of electron temperature, density and pressure within equatorial plasma depletions revealed power-law scaling behavior for all the selected parameters. Notably, the spectral index values of these parameters are different from each other. The significance of these findings in terms of investigating plasma depletions via magnetic field signatures, as well as their relationship to the occurrence of Rayleigh–Taylor convective turbulence, is examined and discussed.
1. Introduction
One intriguing aspect of the equatorial ionospheric F region is the presence of plasma density irregularities, which tend to develop under specific conditions during post-sunset hours and continue to evolve non-linearly into the post-midnight period. Various terminologies have been used to describe these irregularities, such as “equatorial spread-F,” “depletions,” “bite-outs,” or “plasma holes,” all reflecting areas of lower electron density compared to the background ionosphere [1]. Terms like “plumes” or “wedges” have been introduced to describe the morphology of turbulent regions and the development of these irregularities, as observed by radars while the term “bubble” has become a prominent term for identifying the generation process of these irregularities. The exploration of these equatorial plasma density irregularities dates back to their initial identification as spread traces on ionograms in 1934 [2]. Since 1934, a lot of investigations have been conducted, employing various methodologies such as different techniques, models [3,4], rocket campaigns, and satellite and ground-based observations [5,6], which have significantly contributed to our understanding of their formation, characteristics, and the seasonal and longitudinal variations they exhibit. Despite substantial progress in comprehending these plasma density irregularities, the variable nature of their onset conditions remains a challenge, and the mechanisms governing their formation and evolution remain unclear [7,8].
An equatorial plasma depletion is defined as a region with significantly lower plasma density than the surrounding ionospheric environment that extends vertically from the bottom of the equatorial F region upward, usually during the night hours [9]. The Rayleigh–Taylor instability mechanism is believed to be responsible for the formation of these depletions [10,11,12,13]. At sunset, the lack of sunlight, and the different rates of recombination for different altitudes, drives the formation of a vertical density gradient between the upper and lower ionospheric F regions, with the upper region having a higher plasma density than the lower one. This vertical density gradient sets the stage for the Rayleigh–Taylor instability to emerge. As the bubble grows vertically, it travels parallel to the magnetic field lines on either side of the geomagnetic equator and moves eastward due to the presence of a polarization electric field. It can extend hundreds of kilometers in the north–south direction due to its alignment with the geomagnetic field, but only tens of kilometers in the perpendicular direction [14,15]. As it rises above the equator, an equatorial plasma bubble can trigger the formation of smaller-scale structures that are mostly aligned with the geomagnetic field. As a result, plasma density structures associated with equatorial plasma bubbles are highly irregular. Radio wave scattering due to such irregularities causes fluctuations or scintillations in the intensity of signals recorded either on the ground or by low Earth orbit (LEO) satellites.
An intriguing feature of equatorial plasma bubbles is the fact that their electron density energy spectra exhibit a power-law scaling behavior which has been interpreted as evidence of convective turbulence [16,17]. It has been proposed that the ionospheric plasma conditions at high altitudes in the equatorial ionosphere at night may promote the development of traditional two-dimensional turbulent processes, which can be identified by the typical energy cascade in the inertial regimes. To explain this wide range of turbulent scales, a hierarchy of instabilities has been proposed [18]. In fact, if a gravitationally driven Rayleigh–Taylor instability can cause large-scale equatorial plasma bubbles, the gradient drift instability can cause the unstable steep density gradients that form on the sides of equatorial plasma bubbles, resulting in irregularities with size ranging from hundreds of meters to a few kilometers [19,20]. Finally, as density gradients become steeper, kinetic drift instabilities can be excited, resulting in irregularities with sizes ranging from tens of centimeters to a few meters. Several numerical simulations were used to study the dynamics of large-scale plasma bubbles [3,21,22], and it was discovered that the power spectrum of electron density fluctuations ranges between 5/3 and 3. Data from ground-based and in situ satellite observations supported these findings. For example, nearly fifty years ago, Dyson et al. [23] made one of the earliest measurements of the spectral properties by examining data collected on board Ogo 6 and assessed the power-law nature of the electron density spectrum. Later, Livingston et al. [24] observed a distribution of spectral slopes in the range between 1 and 3 centered around 1.9 by analyzing the spectra of electron density data obtained from the Atmospheric Explorer-E satellite (AE-E). Cerisier et al. [25], obtained the same results by examining data from the Aureol-3 satellite, while Hobara et al. [26] found a slope of about 2.2. Recently, thanks to the European Space Agency’s (ESA) Swarm mission it has been possible to examine the scaling properties of electron density [27,28] and magnetic field [29,30,31] at various latitudes, from the equatorial region [27,32,33] to high latitudes [28]. These studies confirmed the turbulent nature of a specific group of plasma density irregularities and pointed out a clear relationship between these irregularities and the rate of change of electron density index (RODI) [32].
Recent papers have extensively investigated the scaling properties of magnetic field and electron density fluctuations within equatorial plasma bubbles [27,32]. These studies provided strong evidence supporting the turbulent nature of these structures. They emphasized the distinct scaling behavior of electron density and magnetic field inside plasma bubbles, implying that the spectral characteristics of plasma irregularities cannot be inferred solely from their magnetic signatures, as the diamagnetic effect implies [34,35]. Indeed, the diamagnetic effect directly links an ionospheric irregularity to the change in the intensity of the magnetic field through which the plasma moves. As a result, it was previously hypothesized that the scaling properties of plasma density within equatorial plasma bubbles could be determined directly by analyzing the scaling properties of magnetic field variations associated with them. This suggestion implied that scaling properties of the corresponding magnetic signatures could be used to deduce the dynamic properties of equatorial plasma bubbles [34,35]. On the other hand, recent studies by De Michelis et al. [27,32] have revealed that hypothesizing a linear relationship between the scaling properties of the electron density and magnetic field variations inside equatorial plasma bubbles is insufficient to accurately describe the evolution of equatorial plasma bubbles with respect to local time and the emergence of turbulent phenomena. These findings emphasize the existence of a more complex and intricate relationship. It has been suggested that plasma temperature could play an important role in understanding these dynamics. The formula proposed by Lühr et al. [34,35] to describe the diamagnetic effect has some limitations in its applicability. It is strictly valid only if plasma has reached equilibrium and the ambient magnetic field is devoid of curvature. Equatorial plasma bubbles, on the other hand, are inherently unstable systems that evolve rapidly over time. As a result, the assumption of an equilibrium plasma, which may hold true in the early hours after sunset, becomes invalid as turbulence fully develops within equatorial plasma bubbles in the following hours.
What is our current understanding of the behavior and characteristics of temperature within equatorial plasma bubbles? Over the last seven decades, numerous measurements of electron temperature have been made at various latitudes using incoherent scatter radars, satellites, and sounding rockets. However, in situ, simultaneous measurements of electron density and temperature have received little attention. It was particularly difficult in the past to measure electron temperature inside plasma bubbles using the Langmuir probe method. As a result, there is a scarcity of theoretical estimates and data on temperature within plasma bubbles.
Theoretical considerations suggest that equatorial plasma bubbles, originating from the bottom side of the ionosphere, may typically exhibit lower electron temperatures when detected at LEO altitude [36]. It is plausible to speculate that an adiabatic expansion along magnetic flux tubes may occur as equatorial plasma bubbles are transported to the topside, further lowering the plasma temperatures inside [37]. However, the first Hinotori satellite observations [36] introduced the possibility of occasionally observing equatorial plasma bubbles characterized by an increase in temperature, most likely due to an adiabatic compression caused by an equatorial plasma poleward transport [38]. Indeed, using a specialized electron temperature probe, Oyama et al. [36] made the first direct measurements of electron temperature inside and outside of equatorial plasma bubbles onboard the seventh scientific Japanese satellite, Hinotori, which orbited at an altitude of about 600 km. Their findings revealed that the electron temperature inside the plasma bubbles varied depending on the location and time of data collection. The temperature fluctuated, sometimes being higher or lower than the surrounding temperature, and sometimes reaching parity with it. Subsequently, Muralikrishna [39] conducted in situ measurements of ionospheric electron temperature and density using a rocket-borne Langmuir probe launched from an equatorial station. The findings revealed that rising equatorial plasma bubbles exhibited higher electron temperatures inside, particularly on their top sides, compared to the temperatures recorded outside the bubbles. Several factors such as electron heating from precipitating energetic particles [36], heating by photoelectrons which dominates the cooling effect due to their lower electron density, and various plasma instability mechanisms were proposed to account for the observed higher electron temperature inside a plasma bubble [39].
Recent research has discovered that high-altitude equatorial plasma bubbles frequently have elevated temperatures. The increased intra-bubble temperature may be caused by adiabatic compression caused by rapid poleward field-aligned plasma transport along magnetic flux tubes. These findings are consistent with observations made by the Republic of China Satellite (ROCSAT-1), Korea Multi-purpose Satellite (KOMPSAT-1), and Defense Meteorological Satellite Program (DMSP) F15 satellites [40]. Furthermore, recent simulations also support this observation [3].
The primary aim of this study is to explore the spectral properties of electron density and pressure fluctuations within equatorial plasma bubbles utilizing data from the China Seismo-Electromagnetic Satellite (CSES-01). Specifically, we seek to calculate the spectral index values associated with these parameters to identify significant variations within the bubbles. By leveraging the advanced capabilities of the CSES-01 satellite and employing robust analytical techniques, this research aims to deepen the understanding of the intrinsic spectral characteristics of equatorial plasma bubbles. This investigation not only contributes to the broader comprehension of the underlying dynamics of these phenomena but also marks the first application of CSES-01 satellite data in this context, paving the way for future advances in the field.
The paper is structured as follows: Section 2 discusses the data sources, the criteria for their selection, and the preliminary analysis that we conducted. Section 3 describes the method for evaluating the spectral features of electron density and pressure fluctuations. Section 4 reports our findings and Section 5 discusses the implications of our findings in light of previous literature. Section 6 contains our study’s conclusions.
2. Data and Preliminary Analysis
The China Seismo-Electromagnetic Satellite (CSES-01, also called ZHANGHENG-1) [41], which was launched in February 2018, was designed to support studies of seismo-associated electromagnetic phenomena via in situ measurements of the induced ionospheric anomalies. It is a part of a program of cooperation between the China National Space Administration and the Italian Space Agency, and it involves a number of research institutes and universities in China, Italy, and Austria. In the upcoming years, a multi-satellite monitoring system with several missions will include this satellite as its first element. CSES-01 flies at an altitude of about 500 km on a inclined Sun-synchronous orbit with descending and ascending nodes at ∼14:00 local time (LT) and ∼02:00 LT, respectively. It collects data useful for scientific studies only in the geographical latitude ranging from − to +. Indeed, the acquisition of measurements is interrupted during the crossing of high latitudes in both hemispheres in order to eliminate interference problems on scientific instrumentation that are primarily related to the rotation of the solar panel and the procedures for controlling the orbit. Among the array of sensors installed on the satellite, there is a Langmuir probe (LAP) [42,43], which measures electron density and temperature. The LAP payload operates in two distinct modes: survey mode and burst mode. The survey mode is employed for the detection of global electron density and electron temperature, providing a time resolution of 3 s. In contrast, the burst mode is activated when crossing seismic belts, offering a higher time resolution of 1.5 s. Consequently, given the satellite’s velocity of 7.8 km/s, the typical spatial resolution of measurements is 23.4 km, which also represents the resolution for plasma density irregularities.
We focused on segments of individual orbits that (1) are on the equatorial belt, i.e., between − and quasi-dipole (QD) magnetic latitude, (2) belong to ascending orbits that cross the equator after midnight (01:00–03:00 LT), (3) have been flown during periods of geomagnetic quietness defined by a value of Kp < 1. The Kp index serves as a reliable indicator of planetary disturbances in Earth’s magnetic field, reflecting geomagnetic activity resulting from interactions with solar wind. Derived from magnetic observations at various global geomagnetic observatories, the Kp index ranges from 0 to 9, with higher values indicating increased geomagnetic storm activity. The selected Kp < 1 threshold characterizes a notably quiet period in geomagnetic activity. We selected semi-orbits where the electron density indicated the existence of an equatorial plasma depletion. Furthermore, in selecting plasma depletion we use also a condition on ROTEI (rate of change of electron temperature index) [44] values, i.e., K/s and on electron density, i.e., . From the semi-orbits identified according to these criteria, we limited this preliminary study to 14 semi-orbits, distributed across 2019 and 2020, which is the time period currently accessible to us for this research. These are among the best semi-orbits identified, characterized by small data gaps of two or three consecutive points in the selected time series.
Table 1 reports a list of the semi-orbits chosen for this study, which are identified by the date and the time interval during which the data were acquired by CSES-01’s instrumentation.
Table 1.
A list of the semi-orbits chosen for this study. Each semi-orbit is identified by the date and time interval during which the data were collected by CSES-01’s instrumentation.
Figure 1 depicts an example of the data used. We looked at data from the satellite’s ascending orbit on 09/01/2019 between 13:24:07 UT and 14:01:32 UT, on 02/06/2019 between 10:29:06 UT and 11:06:22 UT, on 24/05/2020 between 11:23:47 UT and 12:01:14 UT, on 25/06/2020 between 10:47:22 UT and 11:24:44 UT and on 15/08/2020 between 02:34:09 UT and 03:11:32 UT. The green line represents the local time (LT), the red line the electron temperature (), and the blue line the electron density (). All of the quantities are reported using the quasi-dipole (QD) magnetic latitude. Despite the fact that our analysis focused on QD magnetic latitude between − and , Figure 1 depicts the trend of the quantities over a wider latitude range to provide an overview of the behavior of electron density and temperature along the satellite’s orbit. Equatorial electron density depletions can be seen approximately in the latitudinal range between − and , where electron density values drop sharply. Consistently with previous observations [45,46], equatorial electron density depletions are found in clusters, with one structure developing after another. What immediately stands out in these structures is the electron temperature trend. According to our selection procedure, the electron temperature is clearly far from being constant and is characterized by abrupt fluctuations that are undetectable outside of these irregularities. In all of the other chosen cases that are not displayed here, the temperature behaves in a similar manner. To evaluate the temperature within the identified plasma depletions and discern whether it generally registers as higher, lower, or similar to the ambient temperature in which these depletions develop and propagate, we utilized the empirical mode decomposition (EMD) method [47,48,49]. This enabled us to discern the large-scale trend of temperature, specifically within the plasma depletion. Indeed, the EMD method is a data analysis technique that is primarily used to decompose non-stationary and nonlinear time series data. Its effectiveness is particularly noticeable in the context of temperature data analysis. At its core, EMD is an adaptive, data-driven method that decomposes a signal into a finite set of intrinsic mode functions (IMFs) and a residual component called the residue. Each IMF represents a specific oscillatory mode within the signal, with varying temporal scales. IMFs are defined by two main criteria: they must have the same number of extrema and zero crossings, and at any point in the signal, the mean value of the envelope defined by the local maxima and the envelope defined by the local minima must be zero. The EMD process entails iteratively extracting IMFs from the original signal by following a sequence of steps: identifying all local maxima and minima, interpolating between them to generate a local mean (the envelope), computing the difference between the signal and its local mean to obtain the first IMF, and subsequently repeating this process on the residue (the original signal minus the first IMF) to extract subsequent IMFs. This iterative procedure continues until the residue becomes a monotonic function or meets a predetermined stopping criterion. The resulting IMFs capture the dominant oscillatory modes present in the signal across various temporal scales. Figure 2 presents an illustrative example of reconstructing the large-scale temperature trend using the EMD method. In detail, the figure displays temperature measurements recorded along the ascending orbit of the CSES satellite on 09/01/2019, and that on 25/06/2020. Overlaid onto this signal is the reconstructed temperature trend obtained by summing the IMFs characterized by the longest average scale (i.e., on the typical spatial scale of the plasma bubble) along with the residue. This reconstructed trend enables the determination of the average temperature within the depletions and facilitates comparison with the temperature outside the depletions. The majority of the studied depletions exhibit an average temperature lower than that of the background, while only a few cases show an average temperature higher or nearly equal to the background.

Figure 1.
CSES-01 recorded electron density (, blue curve, left axis) and electron temperature (, red curve, right axis) during equatorial crossings on 09/01/2019, 02/06/2019, 25/05/2020, 25/06/2020, and 15/08/2020, arranged from top to bottom. The green curve represents local time (LT).
Figure 2.
An illustrative example of reconstructing the large-scale temperature trend using the EMD method for two of the plasma depletions reported in Figure 1, characterized by a negative and positive temperature variation with respect to the nearby plasma environment. The blue curve represents electron density (Ne, left axis), the red curve represents the EMD-reconstructed electron temperature (Te, right axis) and the green curve represents local time (LT).
From the electron density and temperature original time series, we calculated the electron pressure, which is obtained by simply multiplying the electron density by the electron temperature.
3. Method
To investigate the spectral features of electron density and pressure fluctuations inside equatorial plasma depletions, we employ a different approach than the usual Fourier analysis. Due to limited data points and non-stationary measurement time series, we utilize the continuous wavelet transform (CWT) [50,51,52,53]. The CWT allows us to analyze non-stationary signals or signals that vary over time by decomposing them into constituent wavelets. Unlike the Fourier Transform, which only examines signals in the frequency domain, the CWT operates in both time and frequency domains. It uses a basis wavelet function, known as the mother wavelet, and the corresponding time-scale scaled daughter wavelets to decompose the signal into different time-frequency components.
The CWT is particularly advantageous for analyzing signals with discontinuities and sharp spikes. By choosing an appropriate mother wavelet, CWT effectively handles non-stationary signals, transient components, features at different scales, and singularities [50]. Given our signal’s characteristics of fast localized variations and non-stationary nature, this method is well-suited for our analysis.
CWT is based on a convolution between the signal under investigation, , and a daughter wavelet, , which is a dilated and shifted version of a mother wavelet . Mathematically, this is expressed as:
where is the wavelet transform and is the dilated and shifted version of the mother wavelet . Here, is a timescale factor that controls the dilatation of the mother wavelet.
Once the wavelet transform is known, various useful quantities can be computed. One such quantity is the wavelet scalogram, represented by , which provides information about the energy density distribution of the signal at a specific time t and scale . By choosing a specific normalization factor , i.e., of the exponent, ensuring that the mother wavelet is Lebesgue normalized, a correspondence between the scalogram and the energy density is established. This allows the computation of the average power spectral density (PSD), , over a designated time interval [54]. The average PSD is obtained by taking the time average of the scalogram within the selected interval:
where the frequency depends on the chosen mother wavelet.
In our analysis for computing the CWT, we have chosen the complex Morlet wavelet,
With this choice, we achieve a one-to-one correspondence between the dilatation factor and the frequency f, i.e., . Furthermore, the chosen wavelet has a full width at half maximum (FWHM) of in the Fourier space. Thus, a Morlet wavelet with a characteristic scale factor corresponds to a frequency . In detail, the applied analysis procedure consists of the following steps:
- (i)
- Data preprocessing: The selected time series of electron density and temperature are corrected to fill in any missing data points using a linear interpolation method;
- (ii)
- Wavelet Transform Application: We applied the CWT using the complex Morlet wavelet function (see Equation (3)) and computed the corresponding scalogram for each time series;
- (iii)
- Power Spectral Density Estimation: Using the wavelet scalogram, we estimate the average PSD over the time intervals relative to plasma bubbles. These time intervals are selected considering the intervals where the electron density decreases by a factor of about 10%. Consequently, the selected intervals are essentially plasma depletion intervals containing sometimes clusters of plasma bubbles.
4. Results
We used the continuous wavelet transform (CWT) [51] method to evaluate the spectral properties of equatorial plasma depletions at CSES-01 altitude. The CWT analysis was applied to electron density data and electron pressure computed from both electron density and temperature data by CSES-01. Figure 3 shows the results of CWT analysis applied to electron density data in the form of scalograms for the same events depicted in Figure 1. The LAP data used in this study are sampled every 3 s, limiting the maximum resolvable frequency to approximately 1/6 Hz. Since data are temporally sampled, the CWTs are computed as a function of timescales that we chose in the range s, corresponding to frequencies from approximately 0.01 Hz to 0.167 Hz that are consistent with the temporal resolution of the LAP data. This choice, therefore, guarantees to capture relevant plasma irregularities while adhering to the data’s intrinsic resolution limits. Given the satellite’s average velocity of about km/s, these timescales translate to spatial scales ℓ ranging from approximately 46 to 780 km that are those of plasma irregularities we are interested in and that are generally classified as large and intermediate in size. This confirms that the analyzed frequency range is physically meaningful and relevant to the observed phenomena. We underline that the shown interval is shorter than the used data interval so that the cone-of-influence (COI) is not shown.
Figure 3.
Continuous wavelet transform analysis applied to the electron density () recorded by CSES-01 during equatorial crossings on 09/01/2019, 02/06/2019, 25/05/2020, 25/06/2020, and 15/08/2020, arranged from top to bottom. The electron density trace is superimposed on each scalogram in white. The reported scalograms are inside the cone-of-influence (COI) being the shown interval shorter than the used data interval.
Scalograms, which are graphical representations of the wavelet transform’s squared magnitude, provide a visualization of the energy as a function of time for each scale, allowing to identify the most representative ones of a signal at all times. They are, indeed, two-dimensional plots with time on the horizontal axis and scale or frequency on the vertical one. Each point in a scalogram represents energy at a specific QD magnetic latitude (QD-MLat) and timescale . The color represents the scalogram value, with brighter colors corresponding to higher squared magnitudes. We can identify the QD-MLat intervals and timescales where the signal energy is concentrated by examining the scalogram. This information helps us to understand the underlying characteristics of the signal, such as its dominant timescales or spatial-varying behavior. In our case, the values of the wavelet scalograms point out that energy is distributed over a broad interval of scales inside equatorial plasma depletions, which is most likely caused by strong nonlinear evolution of instabilities. This happens in all the cases studied: a significant increase in the power of fluctuations in the range of investigated scales ( or the corresponding spatial scale) is observed in the coincidence of equatorial plasma depletion events. Similar results are obtained by analyzing the electron pressure.
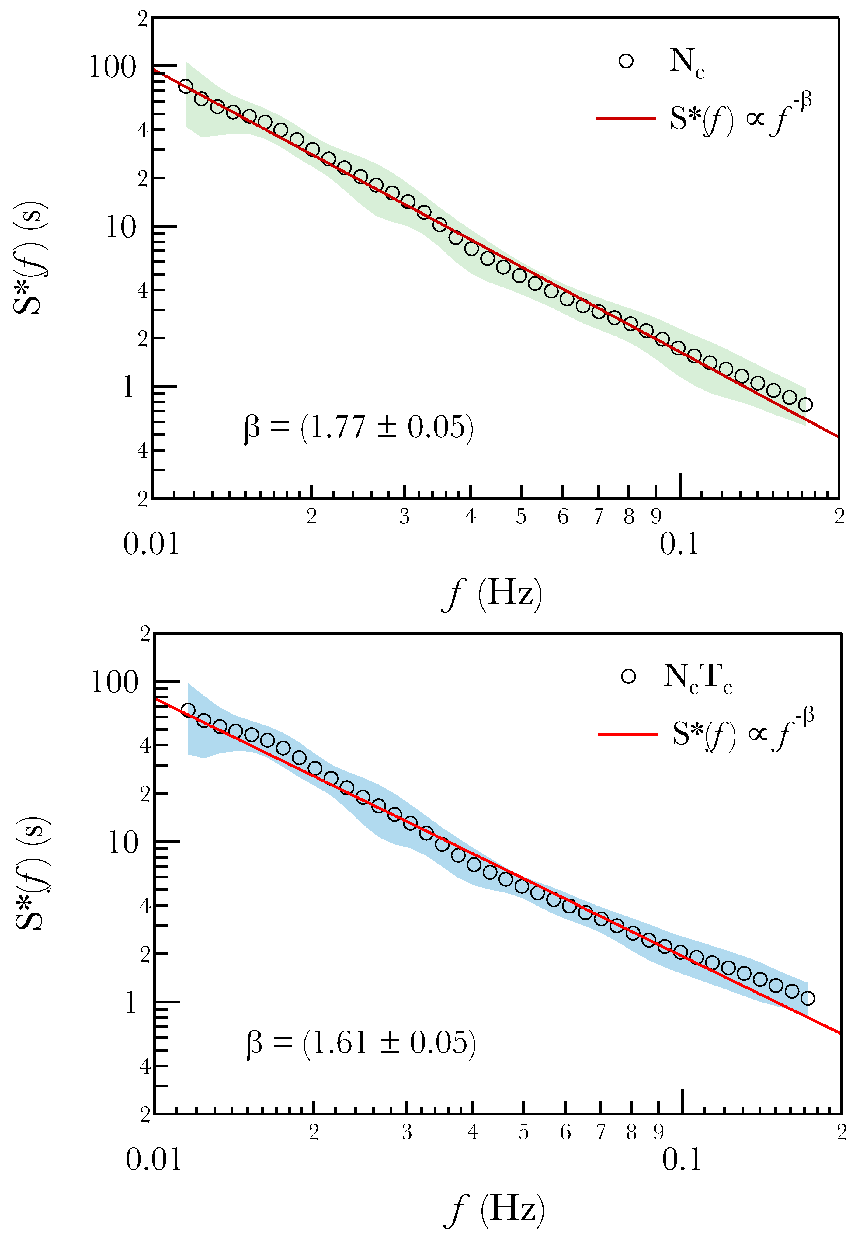
Figure 4 illustrates the average normalized Power Spectral Density (PSD), , within the time interval corresponding to equatorial plasma depletion events observed by CSES-01 across all selected periods listed in Table 1. This metric was derived by assessing the PSD for each crossing, obtained through the average wavelet spectra within the time window of equatorial plasma depletions. Subsequently, each PSD has been normalized so that
Figure 4.
Top panel: Average normalized PSD () of electron density inside equatorial plasma depletions. The red solid line is a power law, ∼, with a power exponent . The green color band refers to standard deviation interval. Bottom panel: average normalized PSD () of electron pressure inside equatorial plasma depletions. The red solid line is a power law, ∼, with a power exponent . The blue color band refers to standard deviation interval.
This normalization ensured that the total power within the investigated frequency range is equal to 1. Then PSDs have been averaged by considering the entire dataset. The temporally and spatially averaged spectrum presented in Figure 4, which represents an average over periods when plasma density depletions were observed, allows us to identify common characteristics in density and pressure fluctuations, providing an overview of the properties of plasma depletions. These results can be compared with other spectral analyses, considering the methodological differences and objectives of each approach. The average PSD exhibits a power-law behavior , with for electron density and for electron pressure, respectively. The estimation of the spectral indices has been conducted using a weighted nonlinear best fit method based on the Levemberg-Marquardt algorithm [55]. The errors refers to the standard deviation. We remark that the observed spectral features are statistically inconsistent being the distance between the spectral exponents larger than the sum of the errors, i.e., . This suggests that there is a significant difference in the spectral features between the two quantities.
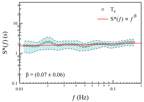
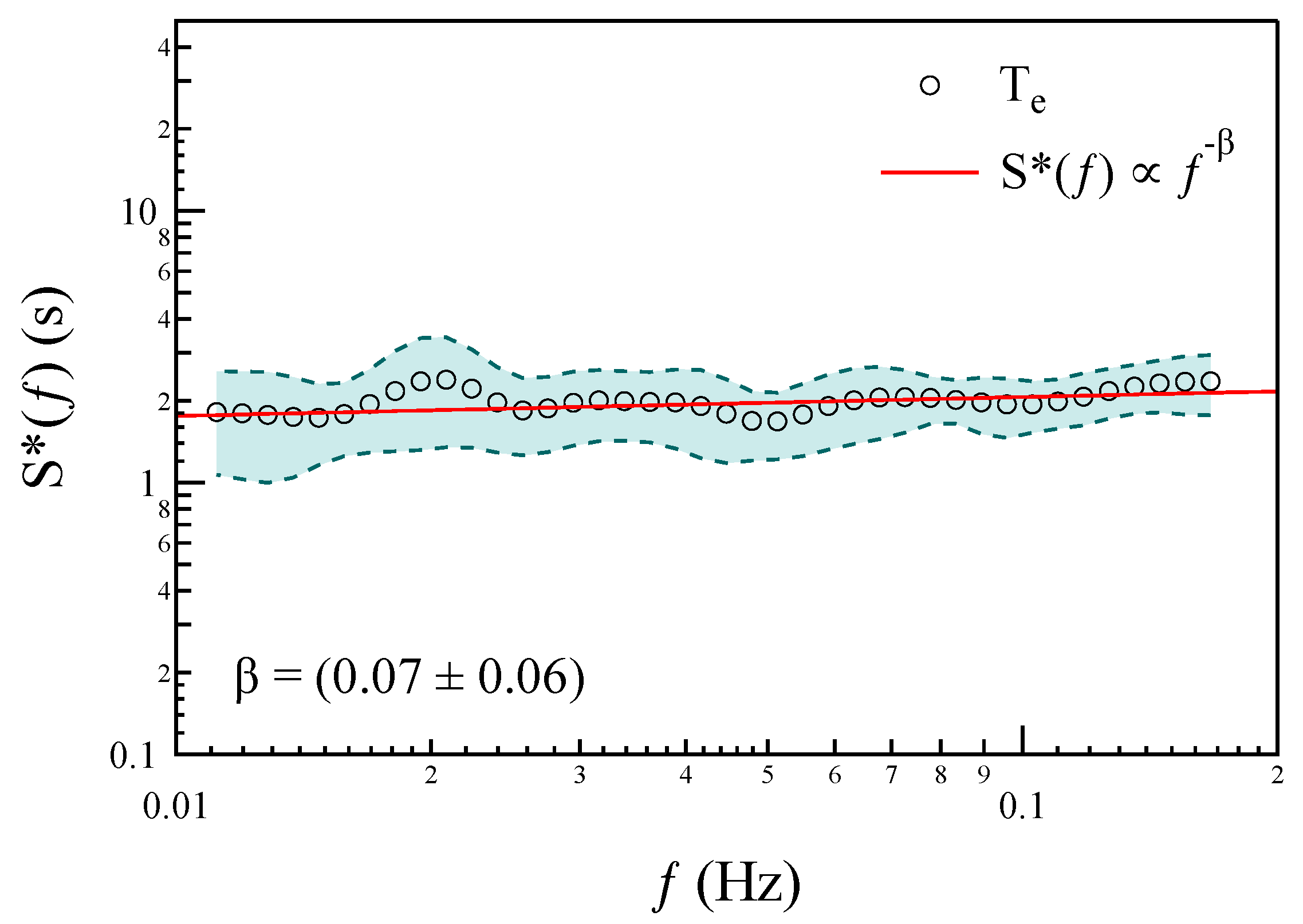
The same analysis was conducted on the electron temperature () during plasma depletion crossings. Spectral features of resemble those of white noise, characterized by a flat spectrum across the explored range of frequencies/scales (see the PSD in Figure 5). However, despite the flat nature of the PSD, the fluctuations in electron temperature exhibit non-Gaussian behavior, as illustrated in Figure 6, where we present the probability density function (PDF) of electron temperature increments, , computed at a measurement resolution of s. The PDF notably diverges from a Gaussian distribution, displaying a leptokurtic shape that, within the investigated range of , is consistent with a Kappa (or generalized Lorentzian) distribution,
where K is a characteristic value for temperature increments and is the tail-decay exponent. The leptokurtic nature of the increments implies that the observed electron temperature fluctuations cannot be attributed to random Brownian noise. Instead, they may arise from highly localized, thin temperature structures. By assessing the time duration of these positive and negative temperature fluctuations relative to the mean temperature trend, we can attempt to estimate the size of these localized electron temperature features. This is conducted by fixing a self-consistent threshold by applying an iterative procedure as the one described in Consolini et al. [56] and then computing the time duration of these temperature fluctuations. The statistics of the temperature bursts duration returns to be compatible with an exponential/Poisson distribution with a characteristic duration scale s. Considering the satellite orbit inclination of about , this timescale corresponds to a latitudinal extension of about 28÷29 km and a longitudinal one of about 4 km.
Figure 5.
Average normalized PSD () of electron temperature, , inside equatorial plasma depletions. The red solid line is a power law, , with a power exponent . The light cyan band refers to a standard deviation interval.
Figure 6.
The probability density function of electronic temperature increments, . Solid line is an error-weighted fit using a Kappa distribution as reported in Equation (5). The red line is a Gaussian distribution having the same variance.
5. Discussion
The congruence between the observed spectral exponent of electron density fluctuations and prior statistical investigations [57,58,59,60] strongly reinforces the reliability of the obtained findings. For example, Le et al. [57] analyzed electron density data collected aboard ROCSAT-1, revealing a peak spectral index of approximately −1.8 within the frequency range of 1–100 Hz. Similarly, Patel et al. [58] analyzed electron density data from the Stretched Rohini Satellite Series C2 (SROSS-C2), identifying a spectral slope of −2.0. Wernik et al. [59] derived spectral slope values ranging between −1.0 and −2.5 for plasma density data, whereas Rodrigues et al. [60], utilizing C/NOFS ion density and electric field measurements, reported a spectral slope of −1.66. Recently, Aol et al. [33], while analyzing the spectral characteristics of ionospheric irregularities, found spectral index values centered around −2.5 between 20:00 LT and 22:00 LT, with values gradually decreasing after 22:00 LT until 6:00 LT. Several studies in the literature exploited the diamagnetic effect to indirectly investigate plasma properties [61]. These studies primarily utilized high-frequency magnetic field measurements collected by instrumentation aboard the CHAMP satellite. Traditional spectral analysis techniques were applied to examine the power distribution of magnetic field fluctuations, assuming that the findings would yield results similar to those obtained directly from electron density measurements. Results obtained for plasma bubbles of intermediate sizes ranging from 150 m to 10 km reveal a power spectrum that approximates a power law with a spectral index between −1.4 and −2.6 in the 20–22 LT sector.
However, the agreement between the observed spectral exponent of electron density fluctuations and prior statistical investigations is strengthened when we consider the relationship that exists between the spectral exponent () and the second-order structure function exponent, ,
De Michelis et al. [27] conducted a detailed analysis of the second-order structure functions of electron density fluctuations recorded by Swarm satellites in the equatorial region and evaluated the second-order structure function exponent, , inside plasma bubbles at different local times. By considering the previously found value of , we obtain . This value falls within the distribution of values for the local time interval 22:00 24:00, as shown in Figure 4 by De Michelis et al. [27].
The basic process giving rise to the emergence of plasma bubbles is Rayleigh–Taylor instability, which can generate turbulence. As clearly discussed by Sudan et al. [16] the occurrence of turbulence driven by Rayleigh–Taylor instability in ionized ionospheric plasma is isomorphic to convective turbulence generated by temperature gradients. It is important to remark that this turbulence is mainly 2D [62]. Numerical simulations [16,62] have shown that in such a case spectra assume the shape of a power law, with spectral slope in the range from 1.65 to 2, depending on the evolution stage. These values of the spectral slope are very well in agreement with our results, suggesting the occurrence of a Rayleigh–Taylor driven turbulence. Furthermore, rising and falling bubbles can deform into fingers, which are associated with the build-up of sharp temperature gradients [16,63]. These features agree with our observations of temperature fluctuations, which may correspond to the emergence of a fine structure of plasma convection, consisting of rising (hot) and falling (cold) bubbles (see, e.g., Figure 4 of Ref. [16]). This point suggests that the typical scale of the observed plasma bubbles is of the order of ten kilometers.
The spectral features of the electron pressure proxy, , exhibit a distinct frequency dependence compared to electron density, indicating that electron temperature plays a non-trivial role in shaping spectral fluctuations in electron pressure. This fact can also be understood by considering that the temperature within equatorial plasma depletions is not usually constant, but, as both in situ measurements and numerical simulations demonstrate, undergoes significant variations compared to the background. Utilizing the SAMI3/ESF code, Huba et al. [3] demonstrate that equatorial plasma depletions undergo both cooling and heating during their evolution. Cooling is attributed to the expansion of equatorial plasma depletion volume during ascent, while heating arises from ion compression as they descend towards the equatorial plasma depletion feet, where magnetic field lines converge. Similarly, Park et al. [40], based on observations from the ROCSAT-1, KOMPSAT-1, and DMSP missions, propose a heating mechanism that links equatorial plasma depletions with elevated temperatures to rapid poleward field-aligned flows relative to the surrounding plasma, with an average speed of 260 m/s. Oyama et al. [36] suggest two additional heating sources for equatorial plasma depletions: one involving photoelectrons and the other particle precipitation. In the cases we examined for this study, we also noticed a distinct temperature behavior characterized by significant fluctuations during plasma depletions compared to the background. This pattern is clearly evident in the crossings depicted as examples in Figure 1. In particular, for the events examined in this study, the temperature at larger scales generally appears lower than the ambient temperature in most cases. This observation, in line with previous interpretations, implies the prevalence of plasma depletions typically in the ascending phase of their evolution. However, as highlighted by the results depicted in Figure 6, what becomes evident is that beyond the large-scale trend of temperature within the depletions, upon closer examination, its behavior is characterized by highly localized, thin temperature structures. The temperature behavior in plasma depletions is most likely fundamental to the pressure PSD features, or, more specifically, the fact that the features do not correspond to the electron density PSD features. The observed discrepancy between the electron pressure PSD and that of the electron density suggests that here there cannot be a one-to-one correspondence between the magnetic field spectra and that of the electron density.
Consequently, the dynamics of equatorial plasma depletions can be influenced by electron temperature, challenging the commonly held assumption in the literature of a constant temperature and the subsequent linear relationship between the electron density and magnetic spectra. Without this assumption, fluctuations in the magnetic field might be associated with variations in thermal pressure. Indeed, following the standard description of equatorial plasma depletions, which considers a plasma in a steady-state, i.e., , and assumes that the gravity gradient is negligible, the magnetohydrodynamic equations reveal that the force from plasma pressure () inside plasma bubbles is equal to the Lorentz force (), where is the current density. By combining this equation with Maxwell’s equation describing Ampere’s circuital law without displacement currents and using vector calculus identities, we derive:
Given that in the equatorial region the geomagnetic field line curvature is not relevant () and the plasma structures are much smaller than the geomagnetic field curvature radius, a linear field line geometry can be assumed. In this case, the magnetic curvature term in the momentum balance, , can be ignored so that in the first approximation, a change in plasma pressure is balanced by a change in magnetic pressure. Given that the strength of the ambient magnetic field is roughly four orders of magnitude greater than that of equatorial plasma depletions [34,35], Equation (7) can be linearized as:
where the negative sign indicates that magnetic field and pressure variations are in opposite directions, represents a finite scale difference, is the Boltzmann constant, and are the electron and ion densities, and are electron and ion temperatures, respectively. Assuming that , which is valid under the conditions studied [64] (i.e., nighttime at 02 LT and an altitude of approximately 500 km), Equation (8) becomes:
where is the electron pressure. This assumption is reasonable because at CSES-01 altitude and local time, ion and electron densities and temperatures are such that their contributions to the overall pressure are comparable. This suggests that temperature fluctuations could affect the spectral features, implying that the assumed similarity between magnetic and electron density spectra could be invalid.
Furthermore, the results of the PSD support that the spectrum of thermal pressure fluctuations inside plasma depletions may be characterized by turbulence.
6. Conclusions
In conclusion, our study utilized the continuous wavelet transform (CWT) method to investigate the spectral characteristics of equatorial plasma depletions at the altitude of the CSES-01 satellite in the nightside ionosphere, around 02:00 LT. This study represents the first application of data from this satellite for such analyses, and despite its reliance on a limited sample of events, the results are significant. The analysis, encompassing electron density and electron pressure derived from both electron density and temperature data, revealed substantial energy distribution across a wide range of scales within plasma depletions, indicating a robust nonlinear evolution of instabilities consistently observed across all cases examined. Furthermore, the non-Gaussian behavior observed in the statistical features of electron temperature fluctuations suggests the presence of highly localized temperature structures. These features support the occurrence of a Rayleigh–Taylor driven turbulence, which is characterized by power-law spectral features and the formation of large horizontal temperature gradients associated with the formation of rising and falling plasma bubbles [16,62,63].
These findings challenge prior assumptions regarding the constancy of temperature within plasma depletions [34,35], emphasizing the intricate relationship between temperature fluctuations and spectral characteristics. Additionally, the observed disparity between electron pressure spectra and electron density spectra implies that fluctuations in electron temperature could impact the dynamics of plasma depletions, potentially undermining assumptions of a linear correlation between electron density and magnetic spectra [34,35,61]. Overall, our findings suggest that turbulence may govern the spectrum of thermal pressure fluctuations within plasma depletions, highlighting the complexity inherent in equatorial plasma dynamics and underscoring the necessity for further investigation into the temperature properties within equatorial plasma depletions.
In general, measuring temperature within plasma depletions presents challenges when using the conventional Langmuir probe method, as electron density occasionally fluctuates by two orders of magnitude in less than one second as the satellite traverses these depletions. Additionally, electron temperatures derived from Langmuir probes assume that electrons exhibit a Maxwellian velocity distribution in a coordinate system fixed relative to the probe, while in the presence of high-energy populations, electron velocity distributions may deviate from the Maxwellian distribution, leading to potential inaccuracies in temperature estimation.
In summary, the study not only confirms the spectral properties of electron density within equatorial plasma depletions but also characterizes their pressure. This lays the groundwork for a more detailed investigation into temperature. Examining the thermal and spectral properties within these depletions aids in understanding the physical mechanisms that generate and influence them, providing insights into ionospheric instability processes and plasma dynamics. These findings can be utilized to develop theoretical models and numerical simulations that better elucidate the behavior of plasma in the equatorial ionosphere and its interactions with the surrounding space environment. Building upon our findings, several promising research directions can be pursued. Future studies could extend the dataset to include more events and cover different times of the day, seasons, and varying geomagnetic conditions to achieve a more comprehensive understanding of plasma irregularities and their dynamics. This advancement can be achieved not only by using CSES-01 data but also by incorporating data from other satellites, such as the Swarm constellation. A significant step forward would be the simultaneous availability of high-quality measurements of electron density, temperature, and magnetic field, which are currently unavailable due to various issues. This would enable direct comparison of pressure, magnetic field, and plasma density spectra within depletions, allowing us to determine under which conditions plasma temperature plays a crucial role. This understanding would clarify how plasma temperature influences the plasma density spectrum, making it different from the magnetic field spectrum, thus complicating the use of the diamagnetic effect to study the dynamics of plasma irregularities through associated magnetic field fluctuations. Our study provides a solid foundation for future research aimed at unraveling the complexities of equatorial plasma depletions. It contributes to the understanding of ionospheric phenomena and their implications for space weather and communication systems.
Author Contributions
Conceptualization, P.D.M. and G.C.; methodology P.D.M., G.C. and T.A.; formal analysis, P.D.M. and G.C.; data curation, A.P., I.C., R.T., M.P. and F.G.; investigation, all authors; writing—original draft preparation, P.D.M. and G.C.; writing—review and editing, all authors; funding acquisition, P.D.M. and G.C. All authors have read and agreed to the published version of the manuscript.
Funding
This research was funded by Agenzia Spaziale Italiana (ASI) under grant “LIMADOU Scienza+” n° 2020-31-HH.0.
Data Availability Statement
CSES-01 data are publicly available at https://www.leos.ac.cn/ after registration (accessed on 1 February 2022). Kp-index data are publicly available at GFZ Helmholtz-Zentrum, Potsdam (Germany) (https://kp.gfz-potsdam.de/en/) (accessed on 15 January 2022).
Acknowledgments
This work is in the framework of the CSES-LIMADOU Collaboration (http://cses.roma2.infn.it). We acknowledge the Italian Space Agency (ASI) for supporting this work in the framework of contract ASI “LIMADOU Scienza+” n° 2020-31-HH.0. This work made use of the data from the CSES mission (http://www.leos.ac.cn/), a project funded by China National Space Administration and China Earthquake Administration in collaboration with Italian Space Agency and Istituto Nazionale di Fisica Nucleare. We acknowledge the GFZ Helmholtz-Zentrum, Potsdam (Germany) (https://kp.gfz-potsdam.de/en/) for making freely available Kp-index used in this work.
Conflicts of Interest
The authors declare no conflicts of interest.
Abbreviations
The following abbreviations are used in this manuscript:
| CSES | China Seismo-Electromagnetic Satellite |
| CWT | Continuous Wavelet Transform |
| DMSO | Defense Metereological Satellite Program |
| QD | Quasi Dipole |
| QD-MLat | Quasi Dipole Magnetic Latitude |
| EMD | Empirical Mode Decomposition |
| GPS | Global Positioning System |
| GNSS | Global Navigation Satellite System |
| IMF | Intrinsic Mode Function |
| LAP | Langmuir Probe |
| LEO | Low Earth Orbit |
| Probability Density Function | |
| PSD | Power Spectral density |
| RODI | Rate Of change of electron Density Index |
| ROTEI | Rate Of change of electron TEmperature Index |
References
- Piggott, W.R.; Rawer, K. URSI Handbook of Ionogram Interpretation and Reduction, 2nd ed.; World Data Center A for Solar-Terrestrial Physics: Boulder, CO, USA, 1972; Revision of Chapters 1–4.
- Berkner, L.V.; Wells, H.W. F-region ionosphere-investigations at low latitudes. Terr. Magn. Atmos. Electr. 1934, 39, 215–230. [Google Scholar] [CrossRef]
- Huba, J.D.; Joyce, G.; Krall, J.; Fedder, J. Ion and electron temperature evolution during equatorial spread F. Geophys. Res. Lett. 2009, 36, L15102. [Google Scholar] [CrossRef]
- Retterer, J.M. Forecasting low-latitude radio scintillation with 3-D ionospheric plume models: 1. Plume model. J. Geophys. Res. Space Phys. 2010, 115, A03306. [Google Scholar] [CrossRef]
- Burke, W.J.; de La Beaujardière, O.; Gentile, L.C.; Hunton, D.E.; Pfaff, R.F.; Roddy, P.A.; Su, Y.J.; Wilson, G.R. C/NOFS observations of plasma density and electric field irregularities at post-midnight local times. Geophys. Res. Lett. 2009, 36, L00C09. [Google Scholar] [CrossRef]
- Huang, C.S.; La Beaujardiere, O.; Roddy, P.A.; Hunton, D.E.; Ballenthin, J.O.; Hairston, M.R. Long-lasting daytime equatorial plasma bubbles observed by the C/NOFS satellite. J. Geophys. Res. Space Phys. 2013, 118, 2398–2408. [Google Scholar] [CrossRef]
- Patil, A.S.; Nade, D.P.; Taori, A.; Pawar, R.P.; Pawar, S.M.; Nikte, S.S.; Pawar, S.D. A Brief Review of Equatorial Plasma Bubbles. Space Sci. Rev. 2023, 219, 16. [Google Scholar] [CrossRef]
- Bhattacharyya, A. Equatorial Plasma Bubbles: A Review. Atmosphere 2022, 13, 1637. [Google Scholar] [CrossRef]
- McClure, J.P.; Hanson, W.B.; Hoffman, J.H. Plasma bubbles and irregularities in the equatorial ionosphere. J. Geophys. Res. 1977, 82, 2650–2656. [Google Scholar] [CrossRef]
- Dungey, J. Convective diffusion in the equatorial F region. J. Atmos. Terr. Phys. 1956, 9, 304–310. [Google Scholar] [CrossRef]
- Woodman, R.F.; La Hoz, C. Radar observations of F region equatorial irregularities. J. Geophys. Res. 1976, 81, 5447–5466. [Google Scholar] [CrossRef]
- Schunk, R.; Nagy, A. Ionospheres: Physics, Plasma Physics, and Chemistry; Cambridge University Press: Cambridge, UK, 2009. [Google Scholar]
- Kelly, M. The Earth’s Ionosphere: Plasma Physics and Electrodynamics; Elsevier: Amsterdam, The Netherlands, 2012; Volume 43. [Google Scholar]
- Basu, S.; Basu, S.; Aarons, J.; McClure, J.; Cousins, M. On the coexistence of kilometer-and meter-scale irregularities in the nighttime equatorial F region. J. Geophys. Res. Space Phys. 1978, 83, 4219–4226. [Google Scholar] [CrossRef]
- Hysell, D.; Burcham, J. JULIA radar studies of equatorial spread F. J. Geophys. Res. Space Phys. 1998, 103, 29155–29167. [Google Scholar] [CrossRef]
- Sudan, R.; Gruzinov, A.; Horton, W.; Kukharkin, N. Convective turbulence in weakly ionized plasma. Phys. Rep. 1997, 283, 95–119. [Google Scholar] [CrossRef]
- McDaniel, R.; Hysell, D. Models and DE II observations of inertial-regime irregularities in equatorial spread F. J. Geophys. Res. Space Phys. 1997, 102, 22233–22246. [Google Scholar] [CrossRef]
- Haerendel, G. Theory of Equatorial Spread-F; Report, Max Planck Institute for Extraterrestrial Physics: München, Germany, 1973. [Google Scholar]
- Weber, E.J.; Buchau, J.; Eather, R.H.; Mende, S.B. North–south aligned equatorial airglow depletions. J. Geophys. Res. 1978, 83, 712–716. [Google Scholar] [CrossRef]
- England, S.L.; Immel, T.J. An empirical model of the drift velocity of equatorial plasma depletions. J. Geophys. Res. Space Phys. 2012, 117, A12308. [Google Scholar] [CrossRef]
- Yokoyama, T.; Shinagawa, H.; Jin, H. Nonlinear growth, bifurcation, and pinching of equatorial plasma bubble simulated by three-dimensional high-resolution bubble model. J. Geophys. Res. Space Phys. 2014, 119, 10,474–10,482. [Google Scholar] [CrossRef]
- Yokoyama, T. A review on the numerical simulation of equatorial plasma bubbles toward scintillation evaluation and forecasting. Prog. Earth Planet. Sci. 2017, 4, 37. [Google Scholar] [CrossRef]
- Dyson, P.L.; Benson, R.F. Topside sounder observations of equatorial bubbles. Geophys. Res. Lett. 1978, 5, 795–798. [Google Scholar] [CrossRef]
- Livingston, R.C.; Rino, C.L.; McClure, J.P.; Hanson, W.B. Spectral characteristics of medium-scale equatorial F region irregularities. J. Geophys. Res. Space Phys. 1981, 86, 2421–2428. [Google Scholar] [CrossRef]
- Cerisier, J.C.; Berthelier, J.J.; Beghin, C. Unstable density gradients in the high-latitude ionosphere. Radio Sci. 1985, 20, 755–761. [Google Scholar] [CrossRef]
- Hobara, Y.; Lefeuvre, F.; Parrot, M.; Molchanov, O.A. Low-latitude ionospheric turbulence observed by Aureol-3 satellite. Ann. Geophys. 2005, 23, 1259–1270. [Google Scholar] [CrossRef][Green Version]
- De Michelis, P.; Consolini, G.; Alberti, T.; Tozzi, R.; Giannattasio, F.; Coco, I.; Pezzopane, M.; Pignalberi, A. Magnetic Field and Electron Density Scaling Properties in the Equatorial Plasma Bubbles. Remote Sens. 2022, 14, 918. [Google Scholar] [CrossRef]
- De Michelis, P.; Consolini, G.; Pignalberi, A.; Tozzi, R.; Coco, I.; Giannattasio, F.; Pezzopane, M.; Balasis, G. Looking for a proxy of the ionospheric turbulence with Swarm data. Sci. Rep. 2021, 11, 6183. [Google Scholar] [CrossRef] [PubMed]
- De Michelis, P.; Consolini, G.; Tozzi, R. Magnetic field fluctuation features at Swarm’s altitude: A fractal approach. Geophys. Res. Lett. 2015, 42, 3100–3105. [Google Scholar] [CrossRef]
- De Michelis, P.; Consolini, G.; Tozzi, R.; Marcucci, M.F. Observations of high-latitude geomagnetic field fluctuations during St. Patrick’s Day storm: Swarm and SuperDARN measurements. Earth Planets Space 2016, 68, 105. [Google Scholar] [CrossRef]
- De Michelis, P.; Consolini, G.; Tozzi, R.; Marcucci, M.F. Scaling Features of High-Latitude Geomagnetic Field Fluctuations at Swarm Altitude: Impact of IMF Orientation. J. Geophys. Res. Space Phys. 2017, 122, 10,548–10,562. [Google Scholar] [CrossRef]
- De Michelis, P.; Consolini, G.; Tozzi, R.; Pignalberi, A.; Pezzopane, M.; Coco, I.; Giannattasio, F.; Marcucci, M.F. Ionospheric Turbulence and the Equatorial Plasma Density Irregularities: Scaling Features and RODI. Remote Sens. 2021, 13, 759. [Google Scholar] [CrossRef]
- Aol, S.; Buchert, S.; Jurua, E.; Sorriso-Valvo, L. Spectral properties of sub-kilometer-scale equatorial irregularities as seen by the Swarm satellites. Adv. Space Res. 2022, 72, 741–752. [Google Scholar] [CrossRef]
- Lühr, H.; Maus, S.; Rother, M.; Cooke, D. First in situ observation of night-time F region currents with the CHAMP satellite. Geophys. Res. Lett. 2002, 29, 1489. [Google Scholar] [CrossRef]
- Lühr, H.; Rother, M.; Maus, S.; Mai, W.; Cooke, D. The diamagnetic effect of the equatorial Appleton anomaly: Its characteristics and impact on geomagnetic field modeling. Geophys. Res. Lett. 2003, 30, 1906. [Google Scholar] [CrossRef]
- Oyama, K.I.; Schlegel, K.; Watanabe, S. Temperature structure of plasma bubbles in the low latitude ionosphere around 600 km altitude. Planet. Space Sci. 1988, 36, 553–567. [Google Scholar] [CrossRef]
- Venkatraman, S.; Heelis, R. Effects of solar activity variations on adiabatic heating and cooling effects in the nighttime equatorial topside ionosphere. J. Geophys. Res. 1999, 104, 17117–17126. [Google Scholar] [CrossRef]
- Su, S.Y.; Chao, C.K.; Yeh, H.C.; Heelis, R.A. Observations of shock impact, disturbance dynamo effect, and a midlatitude large-density depletion at 600 km altitude on the 17 April 2002 storm day. J. Geophys. Res. Space Phys. 2003, 108, 1310. [Google Scholar] [CrossRef]
- Muralikrishna, P. Electron temperature variations in developing plasma bubbles—Rocket observations from Brazil. Adv. Space Res. 2006, 37, 903–909. [Google Scholar] [CrossRef]
- Park, J.; Min, K.W.; Kim, V.P.; Kil, H.; Su, S.Y.; Chao, C.K.; Lee, J.J. Equatorial plasma bubbles with enhanced ion and electron temperatures. J. Geophys. Res. Space Phys. 2008, 113, A09318. [Google Scholar] [CrossRef]
- Shen, X.; Zhang, X.; Yuan, S.; Wang, L.; Cao, J.; Huang, J.; Zhu, X.; Piergiorgio, P.; Dai, J. The state-of-the-art of the China Seismo-Electromagnetic Satellite mission. Sci. China Technol. Sci. 2018, 61, 634–642. [Google Scholar] [CrossRef]
- Liu, C.; Guan, Y.; Zheng, X.; Zhang, A.; Piero, D.; Sun, Y. The technology of space plasma in situ measurement on the China Seismo-Electromagnetic Satellite. Sci. China Technol. Sci. 2019, 62, 829–838. [Google Scholar] [CrossRef]
- Yan, R.; Guan, Y.; Shen, X.; Huang, J.; Zhang, X.; Liu, C.; Liu, D. The Langmuir Probe onboard CSES: Data inversion analysis method and first results. Earth Planet. Phys. 2018, 2, 479–488. [Google Scholar] [CrossRef]
- Pignalberi, A.; Coco, I.; Giannattasio, F.; Pezzopane, M.; De Michelis, P.; Consolini, G.; Tozzi, R. A New Ionospheric Index to Investigate Electron Temperature Small-Scale Variations in the Topside Ionosphere. Universe 2021, 7, 290. [Google Scholar] [CrossRef]
- Buhari, S.M.; Abdullah, M.; Hasbi, A.M.; Otsuka, Y.; Yokoyama, T.; Nishioka, M.; Tsugawa, T. Continuous generation and two-dimensional structure of equatorial plasma bubbles observed by high-density GPS receivers in Southeast Asia. J. Geophys. Res. Space Phys. 2014, 119, 10,569–10,580. [Google Scholar] [CrossRef]
- Sun, L.; Xu, J.; Wang, W.; Yuan, W.; Li, Q.; Jiang, C. A statistical analysis of equatorial plasma bubble structures based on an all-sky airglow imager network in China. J. Geophys. Res. Space Phys. 2016, 121, 11,495–11,517. [Google Scholar] [CrossRef]
- Huang, N.E.; Shen, Z.; Long, S.R.; Wu, M.C.; Shih, H.H.; Zheng, Q.; Yen, N.C.; Tung, C.C.; Liu, H.H. The empirical mode decomposition and the Hilbert spectrum for nonlinear and non-stationary time series analysis. Proc. R. Soc. Lond. Ser. Math. Phys. Eng. Sci. 1998, 454, 903–995. [Google Scholar] [CrossRef]
- Huang, N.E.; Wu, M.L.C.; Long, S.R.; Shen, S.S.; Qu, W.; Gloersen, P.; Fan, K.L. A confidence limit for the empirical mode decomposition and Hilbert spectral analysis. Proc. R. Soc. Lond. Ser. Math. Phys. Eng. Sci. 2003, 459, 2317–2345. [Google Scholar] [CrossRef]
- Huang, N.E.; Wu, Z. A review on Hilbert-Huang transform: Method and its applications to geophysical studies. Rev. Geophys. 2008, 46, 2007RG000228. [Google Scholar] [CrossRef]
- Argoul, F.; Arneodo, A.; Grasseau, G.; Gagne, Y.; Hopfinger, E.J.; Frisch, U. Wavelet analysis of turbulence reveals the multifractal nature of the Richardson cascade. Nature 1989, 338, 51–53. [Google Scholar] [CrossRef]
- Daubechies, I. The wavelet transform, time-frequency localization and signal analysis. IEEE Trans. Inf. Theory 1990, 36, 961–1005. [Google Scholar] [CrossRef]
- Kumar, P.; Foufoula-Georgiou, E. Wavelet analysis for geophysical applications. Rev. Geophys. 1997, 35, 385–412. [Google Scholar] [CrossRef]
- Torrence, C.; Compo, G.P. A Practical Guide to Wavelet Analysis. Bull. Am. Meteorol. Soc. 1998, 79, 61–78. [Google Scholar] [CrossRef]
- Consolini, G.; Lui, A.T. Symmetry Breaking and Nonlinear Wave-Wave Interaction in Current Disruption: Possible Evidence for a Phase Transition; Geophysical Monograph, American Geophysical Union: Washington, DC, USA, 2000; Volume 118, pp. 395–401. [Google Scholar]
- Grund, F.; Press, W.H.; Flannery, B.P.; Teukolksky, S.A.; Vetterling, W.T. Numerical Recipes in C. The Art of Scientific Computing. Cambridge etc. Cambridge University Press 1988. XXII, 735 pp., £ 27.50 H/b, $ 44.50. ISBN 0-521-35465-X. Z. Angew. Math. Mech. 1990, 70, 48. [Google Scholar] [CrossRef]
- Consolini, G.; Alberti, T.; Benella, S.; Papini, E.; Pezzi, O. On the fractal pattern of the current structure at ion scales in turbulent space plasmas. Chaos Solitons Fractals 2023, 177, 114253. [Google Scholar] [CrossRef]
- Le, G.; Huang, C.S.; Pfaff, R.F.; Su, S.Y.; Yeh, H.C.; Heelis, R.A.; Rich, F.J.; Hairston, M. Plasma density enhancements associated with equatorial spread F: ROCSAT-1 and DMSP observations. J. Geophys. Res. Space Phys. 2003, 108, 1318. [Google Scholar] [CrossRef]
- Patel, K.; Singh, A.K.; Subrahmanyam, P.; Singh, A.K. Modeling of ionospheric scintillation at low-latitude. Adv. Space Res. 2011, 47, 515–524. [Google Scholar] [CrossRef]
- Wernik, A.W.; Alfonsi, L.; Materassi, M. Scintillation modeling using in situ data. Radio Sci. 2007, 42, RS1002. [Google Scholar] [CrossRef]
- Rodrigues, F.S.; Kelley, M.C.; Roddy, P.A.; Hunton, D.E.; Pfaff, R.F.; de La Beaujardière, O.; Bust, G.S. C/NOFS observations of intermediate and transitional scale-size equatorial spread F irregularities. Geophys. Res. Lett. 2009, 36, L00C05. [Google Scholar] [CrossRef]
- Lühr, H.; Xiong, C.; Park, J.; Rauberg, J. Systematic study of intermediate-scale structures of equatorial plasma irregularities in the ionosphere based on CHAMP observations. Front. Phys. 2014, 2, 15. [Google Scholar] [CrossRef]
- Gruzinov, A.; Kukharkin, N.; Sudan, R. Two-dimensional convective turbulence. Phys. Rev. Lett. 1996, 76, 1260. [Google Scholar] [CrossRef] [PubMed]
- Zabusky, N.; Doles III, J.; Perkins, F. Deformation and striation of plasma clouds in the ionosphere: 2. Numerical simulation of a nonlinear two-dimensional model. J. Geophys. Res. 1973, 78, 711–724. [Google Scholar] [CrossRef]
- Bilitza, D.; Pezzopane, M.; Truhlik, V.; Altadill, D.; Reinisch, B.W.; Pignalberi, A. The International Reference Ionosphere Model: A Review and Description of an Ionospheric Benchmark. Rev. Geophys. 2022, 60, e2022RG000792. [Google Scholar] [CrossRef]
Disclaimer/Publisher’s Note: The statements, opinions and data contained in all publications are solely those of the individual author(s) and contributor(s) and not of MDPI and/or the editor(s). MDPI and/or the editor(s) disclaim responsibility for any injury to people or property resulting from any ideas, methods, instructions or products referred to in the content. |
© 2024 by the authors. Licensee MDPI, Basel, Switzerland. This article is an open access article distributed under the terms and conditions of the Creative Commons Attribution (CC BY) license (https://creativecommons.org/licenses/by/4.0/).