Application of Statistical Learning Algorithms in Thermal Stress Assessment in Comparison with the Expert Judgment Inherent to the Universal Thermal Climate Index (UTCI)
Abstract
1. Introduction
2. Materials and Methods
2.1. UTCI Data
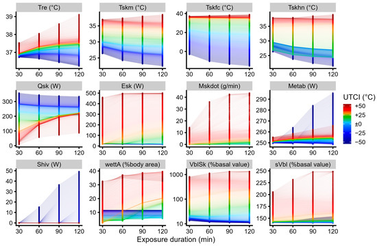
| Physiological Variable 1 | Abbreviation 2 | Unit | 
|---|---|---|
| rectal temperature | Tre | °C | 
| mean skin temperature | Tskm | °C | 
| facial skin temperature | Tskfc | °C | 
| hand skin temperature | Tskhn | °C | 
| total net heat loss | Qsk | W | 
| evaporative (latent) heat loss | Esk | W | 
| sweat rate | Mskdot | g/min | 
| metabolic heat production | Metab | W | 
| heat generated by shivering | Shiv | W | 
| skin wetness | wettA | % of body area | 
| skin blood flow | VblSk | % of basal value | 
| cardiac output | sVbl | % of basal value | 
2.2. Data Analysis
3. Results
3.1. UTCI Equivalent Temperature Calculation
3.2. UTCI Assessment Scale and Thermal Stress Categories
4. Discussion
4.1. UTCI Approach Compared to SL Algorithms
4.2. Alternative Approach by Ensemble Modeling
4.3. Limitations and Outlook
5. Conclusions
Author Contributions
Funding
Institutional Review Board Statement
Informed Consent Statement
Data Availability Statement
Acknowledgments
Conflicts of Interest
Appendix A


References
- Berk, R.A. Statistical Learning from a Regression Perspective; Springer International Publishing: Cham, Switzerland, 2020. [Google Scholar] [CrossRef]
- Hastie, T.; Tibshirani, R.; Friedman, J. The Elements of Statistical Learning: Data Mining, Inference, and Prediction; Springer: New York, NY, USA, 2009. [Google Scholar] [CrossRef]
- James, G.; Witten, D.; Hastie, T.; Tibshirani, R. An Introduction to Statistical Learning: With Applications in R; Springer: New York, NY, USA, 2013. [Google Scholar] [CrossRef]
- Matzarakis, A. Curiosities about Thermal Indices Estimation and Application. Atmosphere 2021, 12, 721. [Google Scholar] [CrossRef]
- Ali, A.; Jayaraman, R.; Azar, E.; Maalouf, M. A comparative analysis of machine learning and statistical methods for evaluating building performance: A systematic review and future benchmarking framework. Build. Environ. 2024, 252, 111268. [Google Scholar] [CrossRef]
- Aparicio-Ruiz, P.; Barbadilla-Martín, E.; Guadix, J.; Muñuzuri, J. Predicting the clothing insulation through machine learning algorithms: A comparative analysis and a practical approach. Build. Simul. 2024, 17, 839–855. [Google Scholar] [CrossRef]
- Hamed, M.M.; Al-Hasani, A.A.J.; Nashwan, M.S.; Sa’adi, Z.; Shahid, S. Assessing the growing threat of heat stress in the North Africa and Arabian Peninsula region connected to climate change. J. Clean. Prod. 2024, 447, 141639. [Google Scholar] [CrossRef]
- Guo, R.; Yang, B.; Guo, Y.; Li, H.; Li, Z.; Zhou, B.; Hong, B.; Wang, F. Machine learning-based prediction of outdoor thermal comfort: Combining Bayesian optimization and the SHAP model. Build. Environ. 2024, 254, 111301. [Google Scholar] [CrossRef]
- Wang, J.; Li, Q.; Zhu, G.; Kong, W.; Peng, H.; Wei, M. Recognition and prediction of elderly thermal sensation based on outdoor facial skin temperature. Build. Environ. 2024, 253, 111326. [Google Scholar] [CrossRef]
- Wang, M.; Gou, Z. Gaussian Mixture Model based classification for analyzing longitudinal outdoor thermal environment data to evaluate comfort conditions in urban open spaces. Urban Clim. 2024, 53, 101792. [Google Scholar] [CrossRef]
- Choi, Y.; Seo, S.; Lee, J.; Kim, T.W.; Koo, C. A machine learning-based forecasting model for personal maximum allowable exposure time under extremely hot environments. Sustain. Cities Soc. 2024, 101, 105140. [Google Scholar] [CrossRef]
- Jendritzky, G.; de Dear, R.; Havenith, G. UTCI—Why another thermal index? Int. J. Biometeorol. 2012, 56, 421–428. [Google Scholar] [CrossRef]
- Geletič, J.; Lehnert, M.; Krč, P.; Resler, J.; Krayenhoff, E.S. High-Resolution Modelling of Thermal Exposure during a Hot Spell: A Case Study Using PALM-4U in Prague, Czech Republic. Atmosphere 2021, 12, 175. [Google Scholar] [CrossRef]
- Dimitriadou, L.; Nastos, P.; Zerefos, C. Defining Heatwaves with Respect to Human Biometeorology. The Case of Attica Region, Greece. Atmosphere 2021, 12, 1100. [Google Scholar] [CrossRef]
- Zeng, D.; Wu, J.; Mu, Y.; Deng, M.; Wei, Y.; Sun, W. Spatial-Temporal Pattern Changes of UTCI in the China–Pakistan Economic Corridor in Recent 40 Years. Atmosphere 2020, 11, 858. [Google Scholar] [CrossRef]
- Basarin, B.; Lukić, T.; Matzarakis, A. Review of Biometeorology of Heatwaves and Warm Extremes in Europe. Atmosphere 2020, 11, 1276. [Google Scholar] [CrossRef]
- Staiger, H.; Laschewski, G.; Matzarakis, A. Selection of Appropriate Thermal Indices for Applications in Human Biometeorological Studies. Atmosphere 2019, 10, 18. [Google Scholar] [CrossRef]
- Di Napoli, C.; Pappenberger, F.; Cloke, H.L. Verification of Heat Stress Thresholds for a Health-Based Heat-Wave Definition. J. Appl. Meteorol. Climatol. 2019, 58, 1177–1194. [Google Scholar] [CrossRef]
- Potchter, O.; Cohen, P.; Lin, T.-P.; Matzarakis, A. A systematic review advocating a framework and benchmarks for assessing outdoor human thermal perception. Sci. Total Environ. 2022, 833, 155128. [Google Scholar] [CrossRef]
- Urban, A.; Di Napoli, C.; Cloke, H.L.; Kyselý, J.; Pappenberger, F.; Sera, F.; Schneider, R.; Vicedo-Cabrera, A.M.; Acquaotta, F.; Ragettli, M.S.; et al. Evaluation of the ERA5 reanalysis-based Universal Thermal Climate Index on mortality data in Europe. Environ. Res. 2021, 198, 111227. [Google Scholar] [CrossRef]
- Di Napoli, C.; Barnard, C.; Prudhomme, C.; Cloke, H.L.; Pappenberger, F. ERA5-HEAT: A global gridded historical dataset of human thermal comfort indices from climate reanalysis. Geosci. Data J. 2020, 8, 2–10. [Google Scholar] [CrossRef]
- Di Napoli, C.; Pappenberger, F.; Cloke, H.L. Assessing heat-related health risk in Europe via the Universal Thermal Climate Index (UTCI). Int. J. Biometeorol. 2018, 62, 1155–1165. [Google Scholar] [CrossRef]
- Ioannou, L.G.; Tsoutsoubi, L.; Mantzios, K.; Vliora, M.; Nintou, E.; Piil, J.F.; Notley, S.R.; Dinas, P.C.; Gourzoulidis, G.A.; Havenith, G.; et al. Indicators to assess physiological heat strain—Part 3: Multi-country field evaluation and consensus recommendations. Temperature 2022, 9, 274–291. [Google Scholar] [CrossRef]
- Brimicombe, C.; Di Napoli, C.; Cornforth, R.; Pappenberger, F.; Petty, C.; Cloke, H.L. Borderless Heat Hazards With Bordered Impacts. Earth’s Future 2021, 9, e2021EF002064. [Google Scholar] [CrossRef]
- Bröde, P.; Fiala, D.; Blazejczyk, K.; Holmér, I.; Jendritzky, G.; Kampmann, B.; Tinz, B.; Havenith, G. Deriving the operational procedure for the Universal Thermal Climate Index (UTCI). Int. J. Biometeorol. 2012, 56, 481–494. [Google Scholar] [CrossRef] [PubMed]
- McGregor, G.R. Special issue: Universal Thermal Climate Index (UTCI). Int. J. Biometeorol. 2012, 56, 419. [Google Scholar] [CrossRef] [PubMed]
- Fiala, D.; Havenith, G.; Bröde, P.; Kampmann, B.; Jendritzky, G. UTCI-Fiala multi-node model of human heat transfer and temperature regulation. Int. J. Biometeorol. 2012, 56, 429–441. [Google Scholar] [CrossRef] [PubMed]
- Havenith, G.; Fiala, D.; Blazejczyk, K.; Richards, M.; Bröde, P.; Holmér, I.; Rintamaki, H.; Ben Shabat, Y.; Jendritzky, G. The UTCI-clothing model. Int. J. Biometeorol. 2012, 56, 461–470. [Google Scholar] [CrossRef] [PubMed]
- Psikuta, A.; Fiala, D.; Laschewski, G.; Jendritzky, G.; Richards, M.; Blazejczyk, K.; Mekjavic, I.B.; Rintamäki, H.; de Dear, R.; Havenith, G. Validation of the Fiala multi-node thermophysiological model for UTCI application. Int. J. Biometeorol. 2012, 56, 443–460. [Google Scholar] [CrossRef] [PubMed]
- Kampmann, B.; Bröde, P.; Fiala, D. Physiological responses to temperature and humidity compared to the assessment by UTCI, WGBT and PHS. Int. J. Biometeorol. 2012, 56, 505–513. [Google Scholar] [CrossRef] [PubMed]
- Bröde, P.; Krüger, E.L.; Rossi, F.A.; Fiala, D. Predicting urban outdoor thermal comfort by the Universal Thermal Climate Index UTCI—A case study in Southern Brazil. Int. J. Biometeorol. 2012, 56, 471–480. [Google Scholar] [CrossRef] [PubMed]
- Bröde, P.; Kampmann, B. Temperature–Humidity-Dependent Wind Effects on Physiological Heat Strain of Moderately Exercising Individuals Reproduced by the Universal Thermal Climate Index (UTCI). Biology 2023, 12, 802. [Google Scholar] [CrossRef]
- Bröde, P.; Fiala, D.; Kampmann, B.; Havenith, G.; Jendritzky, G. Der Klimaindex UTCI—Multivariate Analyse der Reaktion eines thermophysiologischen Simulationsmodells. In Proceedings of the 55. Kongress der Gesellschaft für Arbeitswissenschaft, Dortmund, Germany, 4–6 March 2009; pp. 705–708. [Google Scholar]
- Bröde, P.; Blazejczyk, K.; Fiala, D.; Havenith, G.; Holmér, I.; Jendritzky, G.; Kuklane, K.; Kampmann, B. The Universal Thermal Climate Index UTCI Compared to Ergonomics Standards for Assessing the Thermal Environment. Ind. Health 2013, 51, 16–24. [Google Scholar] [CrossRef]
- Aguilera, J.J.; Korsholm Andersen, R.; Toftum, J. Prediction of Indoor Air Temperature Using Weather Data and Simple Building Descriptors. Int. J. Environ. Res. Public Health 2019, 16, 4349. [Google Scholar] [CrossRef] [PubMed]
- Benita, F.; Tunçer, B. Exploring the effect of urban features and immediate environment on body responses. Urban For. Urban Green. 2019, 43, 126365. [Google Scholar] [CrossRef]
- Berrang-Ford, L.; Sietsma, A.J.; Callaghan, M.; Minx, J.C.; Scheelbeek, P.F.D.; Haddaway, N.R.; Haines, A.; Dangour, A.D. Systematic mapping of global research on climate and health: A machine learning review. Lancet Planet. Health 2021, 5, e514–e525. [Google Scholar] [CrossRef] [PubMed]
- Kim, J.; Schiavon, S.; Brager, G. Personal comfort models—A new paradigm in thermal comfort for occupant-centric environmental control. Build. Environ. 2018, 132, 114–124. [Google Scholar] [CrossRef]
- Liu, K.; Nie, T.; Liu, W.; Liu, Y.; Lai, D. A machine learning approach to predict outdoor thermal comfort using local skin temperatures. Sustain. Cities Soc. 2020, 59, 102216. [Google Scholar] [CrossRef]
- Mantzios, K.; Ioannou, L.G.; Panagiotaki, Z.; Ziaka, S.; Périard, J.D.; Racinais, S.; Nybo, L.; Flouris, A.D. Effects of Weather Parameters on Endurance Running Performance: Discipline Specific Analysis of 1258 Races. Med. Sci. Sports Exerc. 2021, 54, 153–161. [Google Scholar] [CrossRef] [PubMed]
- Shin, J.-Y.; Min, B.; Kim, K.R. High-resolution wind speed forecast system coupling numerical weather prediction and machine learning for agricultural studies—A case study from South Korea. Int. J. Biometeorol. 2022, 66, 1429–1443. [Google Scholar] [CrossRef] [PubMed]
- Bröde, P. UTCI-Test-Data. Zenodo: 2021. Available online: https://zenodo.org/records/5503968 (accessed on 4 October 2022).
- ASHRAE. Standard 55—Thermal Environmental Conditions for Human Occupancy; ASHRAE Inc.: Atlanta, GA, USA, 2004. [Google Scholar]
- Fiala, D.; Lomas, K.J.; Stohrer, M. First principles modeling of thermal sensation responses in steady-state and transient conditions. ASHRAE Trans. 2003, 109, 179–186. [Google Scholar]
- Breiman, L. Random Forests. Mach. Learn. 2001, 45, 5–32. [Google Scholar] [CrossRef]
- Genuer, R.; Poggi, J.-M. Random Forests with R; Springer International Publishing: Cham, Switzerland, 2020. [Google Scholar] [CrossRef]
- Chen, T.; Guestrin, C. XGBoost: A Scalable Tree Boosting System. In Proceedings of the 22nd ACM SIGKDD International Conference on Knowledge Discovery and Data Mining, San Francisco, CA, USA, 13–17 August 2016; Association for Computing Machinery: San Francisco, CA, USA, 2016; pp. 785–794. [Google Scholar]
- van der Maaten, L.; Hinton, G. Visualizing Data using t-SNE. J. Mach. Learn. Res. 2008, 9, 2579–2605. [Google Scholar]
- Cohen, J. A Coefficient of Agreement for Nominal Scales. Educ. Psychol. Meas. 1960, 20, 37–46. [Google Scholar] [CrossRef]
- R Core Team. R: A Language and Environment for Statistical Computing; R Foundation for Statistical Computing: Vienna, Austria, 2024. [Google Scholar]
- Kuhn, M. Building Predictive Models in R Using the caret Package. J. Stat. Softw. 2008, 28, 1–26. [Google Scholar] [CrossRef]
- Kuhn, M.; Vaughan, D.; Hvitfeldt, E. Yardstick: Tidy Characterizations of Model Performance—R Package Version 1.3.1. 2024. Available online: https://CRAN.R-project.org/package=yardstick (accessed on 19 April 2024).
- Wickham, H.; Averick, M.; Bryan, J.; Chang, W.; McGowan, L.D.A.; François, R.; Grolemund, G.; Hayes, A.; Henry, L.; Hester, J.; et al. Welcome to the Tidyverse. J. Open Source Softw. 2019, 4, 1686. [Google Scholar] [CrossRef]
- Wilke, C.O. Cowplot: Streamlined Plot Theme and Plot Annotations for ‘ggplot2’—R Package Version 1.1.3. 2024. Available online: https://CRAN.R-project.org/package=cowplot (accessed on 18 April 2024).
- Kampmann, B.; Bröde, P. Heat Acclimation Does Not Modify Q10 and Thermal Cardiac Reactivity. Front. Physiol. 2019, 10, 1524. [Google Scholar] [CrossRef] [PubMed]
- Klemera, P.; Doubal, S. A new approach to the concept and computation of biological age. Mech. Ageing Dev. 2006, 127, 240–248. [Google Scholar] [CrossRef]
- Kwon, D.; Belsky, D.W. A toolkit for quantification of biological age from blood chemistry and organ function test data: BioAge. GeroScience 2021, 43, 2795–2808. [Google Scholar] [CrossRef] [PubMed]
- Weihs, P.; Staiger, H.; Tinz, B.; Batchvarova, E.; Rieder, H.; Vuilleumier, L.; Maturilli, M.; Jendritzky, G. The uncertainty of UTCI due to uncertainties in the determination of radiation fluxes derived from measured and observed meteorological data. Int. J. Biometeorol. 2012, 56, 537–555. [Google Scholar] [CrossRef] [PubMed]
- Härdle, W.; Simar, L. Applied Multivariate Statistical Analysis, 2nd ed.; Springer: Berlin, Germany, 2007. [Google Scholar]
- Bröde, P.; Claus, M.; Gajewski, P.D.; Getzmann, S.; Wascher, E.; Watzl, C. From Immunosenescence to Aging Types–Establishing Reference Intervals for Immune Age Biomarkers by Centile Estimation. Int. J. Mol. Sci. 2023, 24, 13186. [Google Scholar] [CrossRef]
- Notley, S.R.; Mitchell, D.; Taylor, N.A.S. A century of exercise physiology: Concepts that ignited the study of human thermoregulation. Part 3: Heat and cold tolerance during exercise. Eur. J. Appl. Physiol. 2024, 124, 1–145. [Google Scholar] [CrossRef]
- Chang, Y.; Wang, X.; Wang, J.; Wu, Y.; Yang, L.; Zhu, K.; Chen, H.; Yi, X.; Wang, C.; Wang, Y.; et al. A Survey on Evaluation of Large Language Models. ACM Trans. Intell. Syst. Technol. 2024, 15, 39. [Google Scholar] [CrossRef]
- Asemi, A.; Ko, A.; Nowkarizi, M. Intelligent libraries: A review on expert systems, artificial intelligence, and robot. Libr. Hi Tech 2021, 39, 412–434. [Google Scholar] [CrossRef]





| Disclaimer/Publisher’s Note: The statements, opinions and data contained in all publications are solely those of the individual author(s) and contributor(s) and not of MDPI and/or the editor(s). MDPI and/or the editor(s) disclaim responsibility for any injury to people or property resulting from any ideas, methods, instructions or products referred to in the content. | 
© 2024 by the authors. Licensee MDPI, Basel, Switzerland. This article is an open access article distributed under the terms and conditions of the Creative Commons Attribution (CC BY) license (https://creativecommons.org/licenses/by/4.0/).
Share and Cite
Bröde, P.; Fiala, D.; Kampmann, B. Application of Statistical Learning Algorithms in Thermal Stress Assessment in Comparison with the Expert Judgment Inherent to the Universal Thermal Climate Index (UTCI). Atmosphere 2024, 15, 703. https://doi.org/10.3390/atmos15060703
Bröde P, Fiala D, Kampmann B. Application of Statistical Learning Algorithms in Thermal Stress Assessment in Comparison with the Expert Judgment Inherent to the Universal Thermal Climate Index (UTCI). Atmosphere. 2024; 15(6):703. https://doi.org/10.3390/atmos15060703
Chicago/Turabian StyleBröde, Peter, Dusan Fiala, and Bernhard Kampmann. 2024. "Application of Statistical Learning Algorithms in Thermal Stress Assessment in Comparison with the Expert Judgment Inherent to the Universal Thermal Climate Index (UTCI)" Atmosphere 15, no. 6: 703. https://doi.org/10.3390/atmos15060703
APA StyleBröde, P., Fiala, D., & Kampmann, B. (2024). Application of Statistical Learning Algorithms in Thermal Stress Assessment in Comparison with the Expert Judgment Inherent to the Universal Thermal Climate Index (UTCI). Atmosphere, 15(6), 703. https://doi.org/10.3390/atmos15060703
 
        


 
       