Study of the Suitability of a Personal Exposure Monitor to Assess Air Quality
Abstract
1. Introduction
2. Materials and Methods
2.1. Instrumentation
2.1.1. Personal Exposure Monitor
2.1.2. Reference Instrumentation
2.2. Sites and Measurement Periods
2.2.1. Indoor Site Measurements Periods
2.2.2. Outdoor Roadside Site Measurement Period
2.2.3. Outdoor NERC Supersite and Measurement Period
2.3. Statistical Analysis
3. Results and Discussion
3.1. Indoor Monitoring
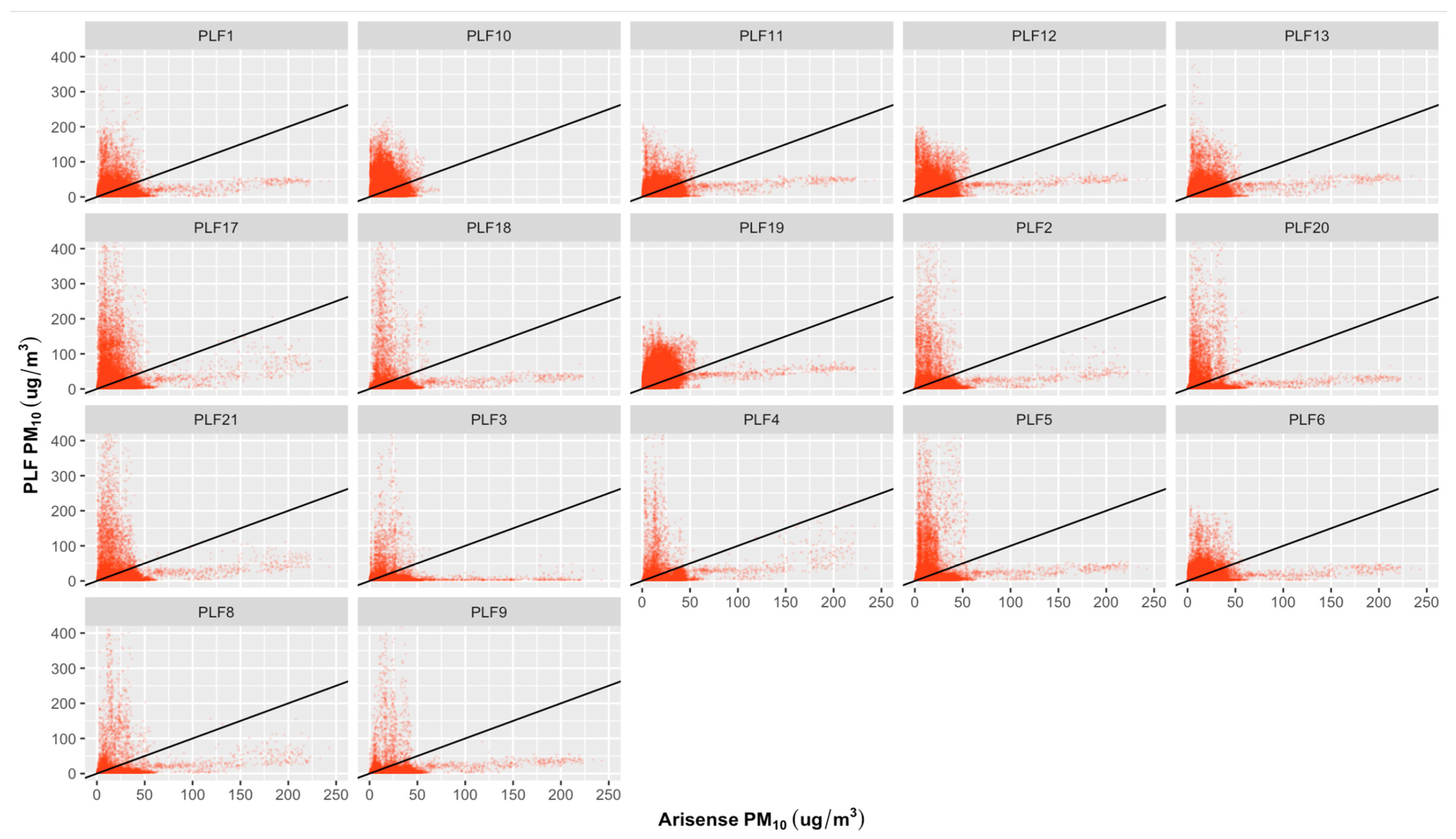
3.2. Outdoor Roadside and Supersite Intercomparison
4. Conclusions
Supplementary Materials
Author Contributions
Funding
Institutional Review Board Statement
Informed Consent Statement
Data Availability Statement
Conflicts of Interest
References
- Li, X.; Huang, S.; Jiao, A.; Yang, X.; Yun, J.; Wang, Y.; Xue, X.; Chu, Y.; Liu, F.; Liu, Y.; et al. Association between Ambient Fine Particulate Matter and Preterm Birth or Term Low Birth Weight: An Updated Systematic Review and Meta-Analysis. Environ. Pollut. 2017, 227, 596–605. [Google Scholar] [CrossRef]
- Manisalidis, I.; Stavropoulou, E.; Stavropoulos, A.; Bezirtzoglou, E. Environmental and Health Impacts of Air Pollution: A Review. Front Public Health 2020, 8, 14. [Google Scholar] [CrossRef]
- Cohen, A.J.; Brauer, M.; Burnett, R.; Anderson, H.R.; Frostad, J.; Estep, K.; Balakrishnan, K.; Brunekreef, B.; Dandona, L.; Dandona, R.; et al. Estimates and 25-Year Trends of the Global Burden of Disease Attributable to Ambient Air Pollution: An Analysis of Data from the Global Burden of Diseases Study 2015. Lancet 2017, 389, 1907–1918. [Google Scholar] [CrossRef] [PubMed]
- Lin, X.; Luo, J.; Liao, M.; Su, Y.; Lv, M.; Li, Q.; Xiao, S.; Xiang, J. Wearable Sensor-Based Monitoring of Environmental Exposures and the Associated Health Effects: A Review. Biosensors 2022, 12, 1131. [Google Scholar] [CrossRef] [PubMed]
- Hoek, G. Methods for Assessing Long-Term Exposures to Outdoor Air Pollutants. Curr. Environ. Health Rep. 2017, 4, 450–462. [Google Scholar] [CrossRef] [PubMed]
- Zou, B.; Wilson, J.G.; Zhan, F.B.; Zeng, Y. Air Pollution Exposure Assessment Methods Utilized in Epidemiological Studies. J. Environ. Monit. 2009, 11, 475–490. [Google Scholar] [CrossRef] [PubMed]
- Monn, C. Exposure Assessment of Air Pollutants: A Review on Spatial Heterogeneity and Indoor/Outdoor/Personal Exposure to Suspended Particulate Matter, Nitrogen Dioxide and Ozone. Atmos. Environ. 2001, 35, 1–32. [Google Scholar] [CrossRef]
- Duan, N.; Mage, D.T. Combination of Direct and Indirect Approaches for Exposure Assessment. J. Expo. Anal. Environ. Epidemiol. 1997, 7, 439–470. [Google Scholar] [PubMed]
- Watson, A.Y.; Bates, R.R.; Kennedy, D. Assessment of Human Exposure to Air Pollution: Methods, Measurements, and Models; National Academies Press (US): Cambridge, MA, USA, 1988. [Google Scholar]
- Wu, J.; Jiang, C.; Liu, Z.; Houston, D.; Jaimes, G.; McConnell, R. Performances of Different Global Positioning System Devices for Time-Location Tracking in Air Pollution Epidemiological Studies. Environ. Health Insights 2010, 4, 93–108. [Google Scholar] [CrossRef] [PubMed]
- Liu, M.; Barkjohn, K.K.; Norris, C.; Schauer, J.J.; Zhang, J.; Zhang, Y.; Hu, M.; Bergin, M. Using Low-Cost Sensors to Monitor Indoor, Outdoor, and Personal Ozone Concentrations in Beijing, China. Environ. Sci. Process. Impacts 2020, 22, 131–143. [Google Scholar] [CrossRef]
- Borghi, F.; Spinazzè, A.; Rovelli, S.; Campagnolo, D.; Del Buono, L.; Cattaneo, A.; Cavallo, D.M. Miniaturized Monitors for Assessment of Exposure to Air Pollutants: A Review. Int. J. Environ. Res. Public Health 2017, 14, 909. [Google Scholar] [CrossRef]
- Chambliss, S.E.; Pinon, C.P.R.; Messier, K.P.; LaFranchi, B.; Upperman, C.R.; Lunden, M.M.; Robinson, A.L.; Marshall, J.D.; Apte, J.S. Local- and Regional-Scale Racial and Ethnic Disparities in Air Pollution Determined by Long-Term Mobile Monitoring. Proc. Natl. Acad. Sci. USA 2021, 118, e2109249118. [Google Scholar] [CrossRef]
- Gaskins, A.J.; Hart, J.E. The Use of Personal and Indoor Air Pollution Monitors in Reproductive Epidemiology Studies. Paediatr. Perinat. Epidemiol. 2020, 34, 513–521. [Google Scholar] [CrossRef]
- Ong, H.; Holstius, D.; Li, Y.; Seto, E.; Wang, M. Air Pollution and Child Obesity: Assessing the Feasibility of Measuring Personal PM2.5 Exposures and Behaviours Related to BMI in Preschool-Aged Children in China. Obes. Med. 2019, 16, 100149. [Google Scholar] [CrossRef]
- Chen, L.-W.A.; Olawepo, J.O.; Bonanno, F.; Gebreselassie, A.; Zhang, M. Schoolchildren’s Exposure to PM2.5: A Student Club–Based Air Quality Monitoring Campaign Using Low-Cost Sensors. Air Qual. Atmos. Health 2020, 13, 543–551. [Google Scholar] [CrossRef]
- Mead, M.I.; Popoola, O.A.M.; Stewart, G.B.; Landshoff, P.; Calleja, M.; Hayes, M.; Baldovi, J.J.; McLeod, M.W.; Hodgson, T.F.; Dicks, J.; et al. The Use of Electrochemical Sensors for Monitoring Urban Air Quality in Low-Cost, High-Density Networks. Atmos. Environ. 2013, 70, 186–203. [Google Scholar] [CrossRef]
- Cattaneo, A.; Garramone, G.; Taronna, M.; Peruzzo, C.; Cavallo, D.M. Personal Exposure to Airborne Ultrafine Particles in the Urban Area of Milan. J. Phys. Conf. Ser. 2009, 151, 012039. [Google Scholar] [CrossRef]
- Castell, N.; Dauge, F.R.; Schneider, P.; Vogt, M.; Lerner, U.; Fishbain, B.; Broday, D.; Bartonova, A. Can Commercial Low-Cost Sensor Platforms Contribute to Air Quality Monitoring and Exposure Estimates? Environ. Int. 2017, 99, 293–302. [Google Scholar] [CrossRef] [PubMed]
- Snyder, E.G.; Watkins, T.H.; Solomon, P.A.; Thoma, E.D.; Williams, R.W.; Hagler, G.S.W.; Shelow, D.; Hindin, D.A.; Kilaru, V.J.; Preuss, P.W. The Changing Paradigm of Air Pollution Monitoring. Environ. Sci. Technol. 2013, 47, 11369–11377. [Google Scholar] [CrossRef]
- Morawska, L.; Thai, P.K.; Liu, X.; Asumadu-Sakyi, A.; Ayoko, G.; Bartonova, A.; Bedini, A.; Chai, F.; Christensen, B.; Dunbabin, M.; et al. Applications of Low-Cost Sensing Technologies for Air Quality Monitoring and Exposure Assessment: How Far Have They Gone? Environ. Int. 2018, 116, 286–299. [Google Scholar] [CrossRef]
- Crnosija, N.; Levy Zamora, M.; Rule, A.M.; Payne-Sturges, D. Laboratory Chamber Evaluation of Flow Air Quality Sensor PM2.5 and PM10 Measurements. Int. J. Environ. Res. Public Health 2022, 19, 7340. [Google Scholar] [CrossRef] [PubMed]
- South Coast. Air Quality Management District Sensors. Available online: https://www.aqmd.gov/aq-spec/sensors (accessed on 18 March 2023).
- Leung, D.Y.C. Outdoor-Indoor Air Pollution in Urban Environment: Challenges and Opportunity. Front. Environ. Sci. 2015, 2, 69. [Google Scholar] [CrossRef]
- Cross, E.S.; Williams, L.R.; Lewis, D.K.; Magoon, G.R.; Onasch, T.B.; Kaminsky, M.L.; Worsnop, D.R.; Jayne, J.T. Use of Electrochemical Sensors for Measurement of Air Pollution: Correcting Interference Response and Validating Measurements. Atmos. Meas. Tech. 2017, 10, 3575–3588. [Google Scholar] [CrossRef]
- Manchester Air Quality Super Site at the Firs Environmental Research Station, Fallowfield Campus. Available online: http://www.cas.manchester.ac.uk/restools/firs/ (accessed on 3 October 2023).
- Flow 2 Pocket-Sized Pollution Revolution. Available online: https://plumelabs.com/en/flow/ (accessed on 3 October 2023).
- Gao, R.S.; Telg, H.; McLaughlin, R.J.; Ciciora, S.J.; Watts, L.A.; Richardson, M.S.; Schwarz, J.P.; Perring, A.E.; Thornberry, T.D.; Rollins, A.W.; et al. A Light-Weight, High-Sensitivity Particle Spectrometer for PM2.5 Aerosol Measurements. Aerosol Sci. Technol. 2016, 50, 88–99. [Google Scholar] [CrossRef]
- Barker, P.A.; Allen, G.; Flynn, M.; Riddick, S.; Pitt, J.R. Measurement of Recreational N2O Emisions from an Urban Environment in Manchester, UK. Urban Clim. 2022, 46, 101282. [Google Scholar] [CrossRef]
- Bittner, A.S.; Cross, E.S.; Hagan, D.H.; Malings, C.; Lipsky, E.; Grieshop, A.P. Performance characterization of low-cost air quality sensors for off-grid deployment in rural Malawi. Atmos. Meas. Tech. 2022, 15, 3353–3376. [Google Scholar] [CrossRef]
- Dales, R.; Liu, L.; Wheeler, A.J.; Gilbert, N.L. Quality of Indoor Residential Air and Health. CMAJ 2008, 179, 147–152. [Google Scholar] [CrossRef] [PubMed]
- The R Project for Statistical Computing. Available online: https://www.r-project.org/ (accessed on 3 October 2023).
- Diez, S.; Lacy, S.E.; Bannan, T.J.; Flynn, M.; Gardiner, T.; Harrison, D.; Marsden, N.; Martin, N.A.; Read, K.; Edwards, P.M. Air pollution measurement errors: Is your data fit for purpose? Atmos. Meas. Tech. 2022, 15, 4091–4105. [Google Scholar] [CrossRef]
- Rai, A.C.; Kumar, P.; Pilla, F.; Skouloudis, A.N.; Di Sabatino, S.; Ratti, C.; Yasar, A.; Rickerby, D. End-user perspective of low-cost sensors for outdoor air pollution monitoring. Sci. Total Environ. 2017, 607–608, 691–705. [Google Scholar] [CrossRef]





| Device ID | PM2.5 | PM10 | NO2 | ||||||||||||
|---|---|---|---|---|---|---|---|---|---|---|---|---|---|---|---|
| a (μg/m3) | b | R2 | RMSE (μg/m3) | #Data Points | a (μg/m3) | b | R2 | RMSE (μg/m3) | #Data Points | a (ppb) | b | R2 | RMSE (ppb) | #Data Points | |
| PLF1 | 1.82 | 0.28 | 0.29 | 4.14 | 31,725 | 11.07 | 0.16 | 0.01 | 24.01 | 31,725 | 13.63 | −0.02 | 0.00 | 13.63 | 31,191 |
| PLF2 | 4.16 | 0.26 | 0.09 | 7.62 | 33,665 | 10.9 | 0.12 | 0.01 | 35.23 | 33,665 | 16.96 | −0.13 | 0.002 | 15.79 | 33,047 |
| PLF3 | 3.73 | 0.04 | 0.004 | 5.20 | 31,474 | 7.74 | 0.02 | 0.001 | 23.21 | 31,474 | 15.03 | −0.21 | 0.01 | 13.78 | 30,911 |
| PLF4 | 2.32 | 0.37 | 0.32 | 5.21 | 31,404 | 5.74 | 0.26 | 0.03 | 27.36 | 31,404 | 25.51 | −0.62 | 0.02 | 28.7 | 30,804 |
| PLF5 | 5.66 | 0.23 | 0.06 | 8.82 | 33,572 | 17.47 | 0.08 | 0.001 | 47.24 | 33,572 | 20.04 | −0.51 | 0.02 | 18.80 | 32,957 |
| PLF6 | 3.45 | 0.16 | 0.16 | 3.28 | 31,968 | 13.74 | 0.10 | 0.01 | 20.98 | 31,968 | 15.11 | 0.04 | 0.001 | 14.84 | 31,520 |
| PLF8 | 3.23 | 0.24 | 0.11 | 6.42 | 30,898 | 6.36 | 0.21 | 0.02 | 30.03 | 30,900 | 14.15 | 0.04 | 0.00 | 15.57 | 30,512 |
| PLF9 | 2.74 | 0.29 | 0.18 | 6.11 | 32,596 | 5.61 | 0.17 | 0.01 | 26.64 | 32,596 | 18.8 | 0.57 | 0.04 | 15.59 | 32,003 |
| PLF10 | 5.21 | 0.12 | 0.008 | 7.38 | 29,973 | 20.91 | 0.35 | 0.01 | 31.67 | 29,973 | 19.38 | −0.01 | 0.00 | 17.64 | 29,624 |
| PLF11 | 0.73 | 0.4 | 0.58 | 3.41 | 30,255 | 10.71 | 0.25 | 0.05 | 20.26 | 30,255 | 16.54 | −0.18 | 0.00 | 22.73 | 29,640 |
| PLF12 | 0.98 | 0.45 | 0.58 | 3.68 | 33,775 | 15.71 | 0.25 | 0.03 | 26.14 | 33,775 | 20.97 | −0.56 | 0.05 | 14.02 | 33,172 |
| PLF13 | 1.1 | 0.38 | 0.45 | 4.04 | 32,780 | 10.91 | 0.24 | 0.03 | 24.86 | 32,780 | 15.36 | −0.09 | 0.001 | 15.78 | 32,178 |
| PLF17 | 5.8 | 0.36 | 0.14 | 8.52 | 33,692 | 19.74 | 0.19 | 0.005 | 47.5 | 33,692 | 18.27 | −0.32 | 0.02 | 13.20 | 33,077 |
| PLF18 | 3.71 | 0.26 | 0.09 | 7.67 | 33,415 | 10.44 | 0.13 | 0.003 | 41.52 | 33,415 | 17.25 | −0.04 | 0.001 | 13.05 | 32,799 |
| PLF19 | 3.47 | 0.58 | 0.63 | 4.23 | 32,702 | 29.25 | 0.35 | 0.05 | 27.03 | 32,702 | 15.42 | 0.09 | 0.001 | 17.81 | 32,162 |
| PLF20 | 4.05 | 0.19 | 0.07 | 6.50 | 27,349 | 14.06 | 0.10 | 0.003 | 39.94 | 27,349 | 13.59 | 0.19 | 0.004 | 14.55 | 26,978 |
| PLF21 | 4.46 | 0.3 | 0.10 | 8.51 | 33,338 | 14.27 | 0.11 | 0.002 | 42.28 | 33,338 | 19.83 | −0.18 | 0.004 | 17.15 | 32,672 |
| Device ID | 3-Week Sampling Period | |||||||||||
|---|---|---|---|---|---|---|---|---|---|---|---|---|
| 1 min | 1 h | |||||||||||
| PM2.5 | PM10 | NO2 | PM2.5 | PM10 | NO2 | |||||||
| R2 | RMSE (μg/m3) | R2 | RMSE (μg/m3) | R2 | RMSE (ppb) | R2 | RMSE (μg/m3) | R2 | RMSE (μg/m3) | R2 | RMSE (ppb) | |
| PLF1 | 0.3 | 4.1 | 0.01 | 24.0 | 0.00 | 13.6 | 0.001 | 1.8 | 0.05 | 14.5 | 0.01 | 13.7 |
| PLF2 | 0.1 | 7.6 | 0.01 | 35.2 | 0.002 | 15.7 | 0.001 | 5.3 | 0.001 | 23.1 | 0.00 | 14.1 |
| PLF3 | 0.00 | 5.2 | 0.001 | 23.2 | 0.01 | 13.7 | 0.03 | 2.4 | 0.00 | 10.0 | 0.01 | 12.7 |
| PLF4 | 0.18 | 5.2 | 0.03 | 27.3 | 0.02 | 28.7 | 0.04 | 2.9 | 0.004 | 19.0 | 0.00 | 26.5 |
| PLF5 | 0.06 | 8.8 | 0.001 | 47.2 | 0.02 | 18.8 | 0.005 | 5.1 | 0.01 | 26.7 | 0.00 | 24.9 |
| PLF6 | 0.16 | 3.2 | 0.01 | 20.9 | 0.001 | 14.8 | 0.17 | 1.4 | 0.03 | 12.9 | 0.02 | 15.1 |
| PLF8 | 0.11 | 6.4 | 0.02 | 30.0 | 0.00 | 15.5 | 0.001 | 3.8 | 0.02 | 13.7 | 0.01 | 15.0 |
| PLF9 | 0.18 | 6.1 | 0.01 | 26.6 | 0.04 | 15.5 | 0.06 | 4.3 | 0.00 | 16.4 | 0.06 | 17.5 |
| PLF10 | 0.01 | 7.3 | 0.01 | 31.6 | 0.00 | 17.6 | 0.004 | 4.0 | 0.01 | 19.5 | 0.00 | 16.4 |
| PLF11 | 0.58 | 3.4 | 0.05 | 20.2 | 0.00 | 22.7 | 0.23 | 0.8 | 0.09 | 10.4 | 0.00 | 16.1 |
| PLF12 | 0.58 | 3.6 | 0.03 | 26.1 | 0.05 | 14.0 | 0.43 | 1.1 | 0.05 | 13.1 | 0.03 | 14.8 |
| PLF13 | 0.51 | 4.0 | 0.03 | 24.8 | 0.001 | 15.7 | 0.01 | 1.6 | 0.04 | 9.8 | 0.003 | 16.3 |
| PLF17 | 0.14 | 8.5 | 0.005 | 47.5 | 0.02 | 13.2 | 0.06 | 5.4 | 0.00 | 32.0 | 0.00 | 13.3 |
| PLF18 | 0.09 | 7.6 | 0.003 | 41.5 | 0.001 | 13.1 | 0.01 | 3.6 | 0.00 | 16.9 | 0.04 | 11.8 |
| PLF19 | 0.63 | 4.2 | 0.05 | 27.0 | 0.001 | 17.8 | 0.69 | 1.5 | 0.19 | 12.3 | 0.004 | 12.4 |
| PLF20 | 0.07 | 6.5 | 0.003 | 39.9 | 0.004 | 14.5 | 0.02 | 3.9 | 0.01 | 23.9 | 0.00 | 14.2 |
| PLF21 | 0.1 | 8.5 | 0.002 | 42.2 | 0.004 | 17.1 | 0.00 | 6.4 | 0.00 | 29.1 | 0.007 | 15.2 |
| Total PLFs (average) | 0.22 | 5.9 | 0.01 | 24.0 | 0.01 | 16.6 | 0.10 | 3.25 | 0.03 | 17.8 | 0.01 | 15.8 |
| Device ID | 5-Day Sampling Period | |||||||||||
|---|---|---|---|---|---|---|---|---|---|---|---|---|
| 1 min | 1 h | |||||||||||
| PM2.5 | PM10 | NO2 | PM2.5 | PM10 | NO2 | |||||||
| R2 | RMSE (μg/m3) | R2 | RMSE (μg/m3) | R2 | RMSE (ppb) | R2 | RMSE (μg/m3) | R2 | RMSE (μg/m3) | R2 | RMSE (ppb) | |
| PLF1 | 0.56 | 15.9 | 0.05 | 22.7 | 0.02 | 13.8 | 0.66 | 15.2 | 0.03 | 27.0 | 0.01 | 13.7 |
| PLF2 | 0.35 | 15.9 | 0.03 | 28.8 | 0.00 | 16.7 | 0.54 | 14.4 | 0.05 | 18.9 | 0.01 | 16.4 |
| PLF3 | 0.00 | 21.3 | 0.00 | 35.2 | 0.02 | 17.6 | 0 | 20.1 | 0.001 | 15.2 | 0.02 | 17.2 |
| PLF4 | 0.59 | 14.1 | 0.25 | 19.5 | 0.16 | 38.5 | 0.71 | 13.1 | 0.11 | 15.4 | 0.19 | 38.1 |
| PLF5 | 0.19 | 17.3 | 0.00 | 47.9 | 0.17 | 21.9 | 0.38 | 15.4 | 0.00 | 33.0 | 0.2 | 21.2 |
| PLF6 | 0.54 | 18.9 | 0.02 | 23.1 | 0.02 | 19.8 | 0.63 | 18.1 | 0.00 | 32.9 | 0.03 | 19.6 |
| PLF8 | 0.21 | 19.3 | 0.01 | 49.6 | 0.03 | 19.7 | 0.36 | 17.4 | 0.00 | 56.1 | 0.04 | 19.5 |
| PLF9 | 0.25 | 16.8 | 0.004 | 42.7 | 0.16 | 18.7 | 0.45 | 15.1 | 0.00 | 67.2 | 0.22 | 18.1 |
| PLF10 | 0.65 | 9.5 | 0.01 | 22.6 | 0.04 | 18.2 | 0.76 | 9 | 0.01 | 25.1 | 0.07 | 17.6 |
| PLF11 | 0.69 | 13.9 | 0.17 | 15.7 | 0.02 | 19.7 | 0.75 | 13.2 | 0.08 | 16.6 | 0.03 | 18.6 |
| PLF12 | 0.68 | 13.1 | 0.06 | 21.5 | 0.22 | 20.9 | 0.75 | 12.3 | 0.09 | 18.1 | 0.27 | 20.2 |
| PLF13 | 0.68 | 14 | 0.08 | 22.0 | 0.01 | 17.7 | 0.75 | 13.2 | 0.03 | 24.3 | 0.01 | 17 |
| PLF17 | 0.23 | 16.2 | 0.01 | 50.1 | 0.04 | 13.8 | 0.38 | 13.9 | 0.002 | 47.0 | 0.06 | 13.3 |
| PLF18 | 0.29 | 16.6 | 0.01 | 37.5 | 0.08 | 17.2 | 0.49 | 15.2 | 0.06 | 16.7 | 0.1 | 16.8 |
| PLF19 | 0.71 | 11 | 0.01 | 28.6 | 0.00 | 17.9 | 0.78 | 9.8 | 0.01 | 28.4 | 0.00 | 16.8 |
| PLF20 | 0.48 | 21.1 | 0.02 | 28.3 | 0.03 | 14.4 | 0.72 | 19.8 | 0.00 | 39.4 | 0.03 | 13.6 |
| PLF21 | 0.31 | 15.8 | 0.02 | 39.3 | 0.06 | 27.4 | 0.54 | 13.9 | 0.00 | 38.9 | 0.08 | 27.5 |
| Total PLFs (average) | 0.41 | 15.9 | 0.04 | 31.48 | 0.06 | 14.6 | 0.56 | 19.6 | 0.03 | 30.6 | 0.08 | 19.1 |
Disclaimer/Publisher’s Note: The statements, opinions and data contained in all publications are solely those of the individual author(s) and contributor(s) and not of MDPI and/or the editor(s). MDPI and/or the editor(s) disclaim responsibility for any injury to people or property resulting from any ideas, methods, instructions or products referred to in the content. |
© 2024 by the authors. Licensee MDPI, Basel, Switzerland. This article is an open access article distributed under the terms and conditions of the Creative Commons Attribution (CC BY) license (https://creativecommons.org/licenses/by/4.0/).
Share and Cite
Aljofi, H.E.; Bannan, T.J.; Flynn, M.; Evans, J.; Topping, D.; Matthews, E.; Diez, S.; Edwards, P.; Coe, H.; Brison, D.R.; et al. Study of the Suitability of a Personal Exposure Monitor to Assess Air Quality. Atmosphere 2024, 15, 315. https://doi.org/10.3390/atmos15030315
Aljofi HE, Bannan TJ, Flynn M, Evans J, Topping D, Matthews E, Diez S, Edwards P, Coe H, Brison DR, et al. Study of the Suitability of a Personal Exposure Monitor to Assess Air Quality. Atmosphere. 2024; 15(3):315. https://doi.org/10.3390/atmos15030315
Chicago/Turabian StyleAljofi, Halah E., Thomas J. Bannan, Michael Flynn, James Evans, David Topping, Emily Matthews, Sebastian Diez, Pete Edwards, Hugh Coe, Daniel R. Brison, and et al. 2024. "Study of the Suitability of a Personal Exposure Monitor to Assess Air Quality" Atmosphere 15, no. 3: 315. https://doi.org/10.3390/atmos15030315
APA StyleAljofi, H. E., Bannan, T. J., Flynn, M., Evans, J., Topping, D., Matthews, E., Diez, S., Edwards, P., Coe, H., Brison, D. R., van Tongeren, M., Johnstone, E. D., & Povey, A. (2024). Study of the Suitability of a Personal Exposure Monitor to Assess Air Quality. Atmosphere, 15(3), 315. https://doi.org/10.3390/atmos15030315

