Daily Estimates of Global Radiation in the Brazilian Amazon from Simplified Models
Abstract
1. Introduction
2. Materials and Methods
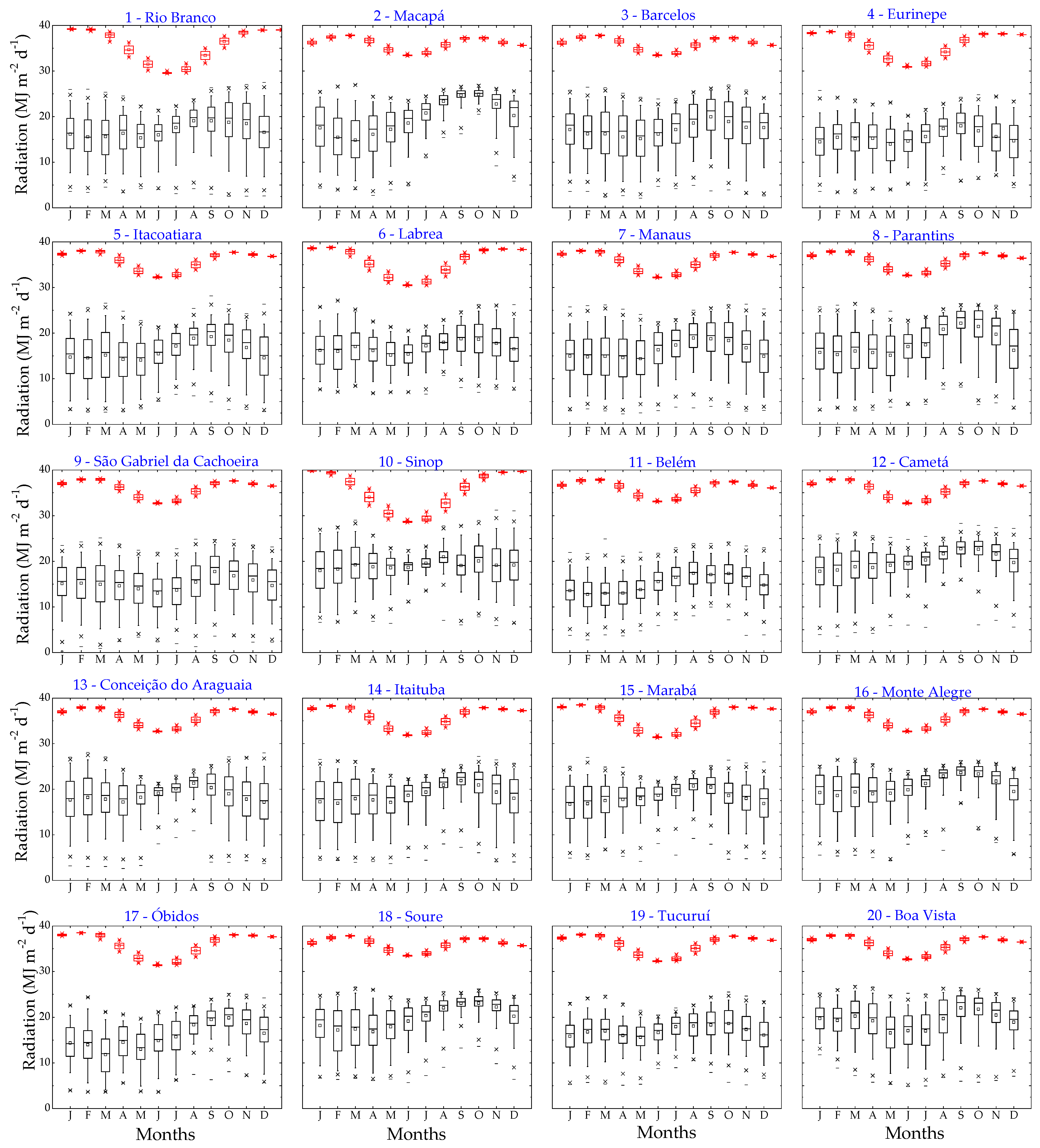
2.1. Study Area
2.2. Simplified Models for Estimating Global Radiation (Hg)
- −
- Group I: empirical models based on insolation (S), photoperiod (S0), and extraterrestrial radiation (H0) (Table 2);
- −
- Group II: empirical models based on maximum, mean, and minimum air temperature (Tmax, Tmed, and Tmin) and extraterrestrial radiation (H0) (Table 3);
- −
- Group III: empirical models based on relative humidity (RH) and extraterrestrial radiation (H0) (Table 4);
- −
- Group IV: empirical models with astronomical variables, such as solar declination (δ), Julian day (DJ), and extraterrestrial radiation (H0) (Table 4);
- −
- Group V: hybrid empirical models, based on two or more variables such as S, Tmax, Tmed, Tmin, RHmed, latitude (ϕ), photoperiod (S0), and extraterrestrial radiation (H0) (Table 5).
| Nº | References | Models |
|---|---|---|
| 1 | Angström [24]; Prescott [25] | |
| 2 | Ögelman et al. [36] | |
| 3 | Bahel [68] | |
| 4 | Newland [33] | |
| 5 | Togrul and Onat [37] | |
| 6 | Togrul et al. [38] | |
| 7 | Almorox and Hontoria [34] | |
| 8 | Elagib and Mansell [39] | |
| 9 | ||
| 10 | ||
| 11 | El-Metwally [40] | |
| 12 | Bakirci [35] | |
| 13 | Li et al. [43] |
| Nº | References | Models |
|---|---|---|
| 14 | Hargreaves and Samani [26] | |
| 15 | Bristow and Campbell [27] | |
| 16 | Hargreaves et al. [51] | |
| 17 | Ertekin and Yaldiz [55] | |
| 18 | Goodin et al. [46] | |
| 19 | Thornton and Running [47] | |
| 20 | Weiss et al. [48] | |
| 21 | Chen et al. [22] | |
| 22 | Abraha and Savage [23] | |
| 23 | Falayi et al. [29] | |
| 24 | ||
| 25 | Panday and Katiyar [53] | |
| 26 | ||
| 27 | ||
| 28 | Adaramola [28] | |
| 29 | ||
| 30 | Chen and Li [9] | |
| 31 | ||
| 32 | ||
| 33 | Li et al. [32] | |
| 34 | Benghanem and Mellit [50] | |
| 35 | Li et al. [44] | |
| 36 | Hassan et al. [12] | |
| 37 | ||
| 38 | ||
| 39 | ||
| 40 | ||
| 41 | ||
| 42 | Jahani et al. [21] | |
| 43 | ||
| 44 | Fan et al. [10] | |
| 45 |
| Nº | References | Models |
|---|---|---|
| 46 | Elagib et al. [39] | |
| 47 | ||
| 48 | Falayi et al. [29] | |
| 49 | Kolebaje et al. [49] | |
| 50 | Ertekin and Yaldiz [55] | |
| 51 | Togrul and Onat [37] | |
| 52 | Togrul and Onat [37] | |
| 53 | Al-Salaymeh [56] | |
| 54 | Al-Salaymeh [56] |
| Nº | References | Models |
|---|---|---|
| 55 | Glover and McCulloch [69] | |
| 56 | Swartman and Ogunlade [58] | |
| 57 | ||
| 58 | ||
| 59 | Ododo et al. [57] | |
| 60 | ||
| 61 | Elagib et al. [39] | |
| 62 | Chen et al. [22] | |
| 63 | Falayi et al. [29] | |
| 64 | ||
| 65 | ||
| 66 | ||
| 67 | El-Sebaii et al. [41] | |
| 68 | Adaramola [28] | |
| 69 | Korachagaon and Bapat [70] | |
| 70 | ||
| 71 | Chen and Li [9] | |
| 72 | ||
| 73 | RHmed + e (S/So) | |
| 74 | ||
| 75 | Li et al. [32] | |
| 76 | ||
| 77 | ||
| 78 | ||
| 79 | Saffaripour et al. [52] | |
| 80 | ||
| 81 | ||
| 82 | Lee [42] | |
| 83 | Li et al. [45] | |
| 84 | ||
| 85 | Kolebaje et al. [49] | |
| 86 | ||
| 87 | Yildirim et al. [14] |
2.2.1. Simplified Models Based on Insolation (S)—Group I
2.2.2. Simplified Models Based on Air Temperature (S)—Group II
2.2.3. Simplified Models Based on Relative Humidity or Astronomical Variables—Groups III and IV
2.2.4. Hybrid Models—Group V
2.3. Statistical Performance of Empirical Models
3. Results
4. Discussion
5. Conclusions
Supplementary Materials
Author Contributions
Funding
Institutional Review Board Statement
Informed Consent Statement
Data Availability Statement
Acknowledgments
Conflicts of Interest
References
- Qiu, R.; Li, L.; Wu, L.; Agathokleous, E.; Liu, C.; Zhang, B.; Luo, Y.; Sun, S. Modeling daily global solar radiation using only temperature data: Past, development, and future. Renew. Sustain. Energy Rev. 2022, 163, 112511. [Google Scholar] [CrossRef]
- Samanta, S.; Banerjee, S.; Patra, P.K.; Sehgal, V.K.; Chowdhury, A.; Kumar, B.; Mukherjee, A. Projection of future daily global horizontal irradiance under four RCP scenarios: An assessment through newly developed temperature and rainfall-based empirical model. Sol. Energy 2021, 227, 23–43. [Google Scholar] [CrossRef]
- Kumler, A.; Kravitz, B.; Draxl, C.; Vimmerstedt, L.; Benton, B.; Lundquist, J.K.; Martim, M.; Buck, H.J.; Wang, H.; Lennard, C.; et al. Potential effects of climate change and solar modification on renewable energy resources. Renew. Sustain. Energy Rev. 2025, 207, 114934. [Google Scholar] [CrossRef]
- de Souza, A.P.; Zamadei, T.; Borella, D.R.; Martim, C.C.; de Almeida, F.T.; Escobedo, J.F. Diurnal evolution and estimates of hourly diffuse radiation based on horizontal global radiation, in Cerrado-Amazon Transition, Brazil. Atmosphere 2023, 14, 1289. [Google Scholar] [CrossRef]
- Luo, H.; Han, Y.; Lu, C.; Yang, J.; Wu, Y. Characteristics of Surface Solar Radiation under Different Air Pollution Conditions over Nanjing, China: Observation and Simulation. Adv. Atmos. Sci. 2019, 36, 1047–1059. [Google Scholar] [CrossRef]
- Luo, H.; Quaas, J.; Han, Y. Examining cloud vertical structure and radiative effects from satellite retrievals and evaluation of CMIP6 scenarios. Atmos. Chem. Phys. 2023, 23, 8169–8186. [Google Scholar] [CrossRef]
- Wang, S.; Yi, B. Bibliometric Analysis of Aerosol-Radiation Research from 1999 to 2023. Atmosphere 2024, 15, 1189. [Google Scholar] [CrossRef]
- Wang, L.; Lu, Y.; Wang, Z.; Li, H.; Zhang, M. Hourly solar radiation estimation and uncertainty quantification using hybrid models. Renew. Sustain. Energy Rev. 2024, 202, 114724. [Google Scholar] [CrossRef]
- Chen, J.L.; Li, G.S. Estimation of monthly average daily solar radiation from measured meteorological data in Yangtze River Basian in China. Int. J. Climatol. 2013, 33, 487–498. [Google Scholar] [CrossRef]
- Fan, J.; Chen, B.; Wu, L.; Zhang, F.; Lu, X.; Xiang, Y. Evaluation and development of temperature-based empirical models for estimating daily global solar radiation in humid regions. Energy 2018, 144, 903–914. [Google Scholar] [CrossRef]
- Prieto, J.-I.; García, D. Global solar radiation models: A critical review from the point of view of homogeneity and case study. Renew. Sustain. Energy Rev. 2022, 155, 111856. [Google Scholar] [CrossRef]
- Hassan, G.E.; Youssef, M.E.; Mohamed, Z.E.; Ali, M.A.; Hanafy, A.A. New Temperature-based Models for Predicting Global Radiation. Appl. Energy 2016, 179, 437–450. [Google Scholar] [CrossRef]
- Zhang, J.; Zhao, L.; Deng, S.; Xu, W.; Zhang, Y. A critical review of the models used to estimate solar radiation. Renewable and Sustain. Energy Rev. 2017, 70, 314–329. [Google Scholar] [CrossRef]
- Yildirim, H.B.; Teke, A.; Antonanzas-Torres, F. Evaluation of classical parametric models for estimating solar radiation in the Eastern Mediterranean region of Turkey. Renew. Sustain. Energy Rev. 2018, 82, 2053–2065. [Google Scholar] [CrossRef]
- Souza, A.P.; Silva, A.C.; Tanaka, A.A.; Uliana, E.M.; Almeida, F.T.; Klar, A.E.; Gomes, A.W.A. Global radiation by simplified models for state of Mato Grosso, Brazil. Pesqui. Agropecuária Bras. 2017, 52, 215–227. [Google Scholar] [CrossRef]
- Bender, F.D.; Sentelhas, P.C. Solar Radiation Models and Gridded Database to Fill Gaps in Weather Series and to Project Climate Change in Brazil. Adv. Meteorol. 2018, 2018, 1–15. [Google Scholar] [CrossRef]
- Martim, C.C.; Souza, A.P. Estimativas da radiação global com base na insolação na Amazônia brasileira. Rev. Ibero-Am. De Ciências Ambient. 2021, 12, 233–246. [Google Scholar] [CrossRef]
- Delgado, R.C.; Santana, R.O.; Gelsleichter, Y.A.; Pereira, M.G. Degradation of South American biomes: What to expect for the future? Environ. Impact Assess. Rev. 2022, 96, 106815. [Google Scholar] [CrossRef]
- Silva Junior, C.; Lima, M.; Teodoro, P.E.; Oliveira-Júnior, J.F.; Rossi, F.S.; Funatsu, B.M.; Butturi, W.; Lourençoni, T.; Kraeski, A.; Pelissari, T.D.; et al. Fires Drive Long-Term Environmental Degradation in the Amazon Basin. Remote Sens. 2022, 14, 338. [Google Scholar] [CrossRef]
- Arévalo, S.M.M.; Delgado, R.C.; Lindemann, D.S.; Gelsleichter, Y.A.; Pereira, M.G.; Rodrigues, R.A.; Justino, F.B.; Wanderley, H.S.; Zonta, E.; Santana, R.O.; et al. Past and Future Responses of Soil Water to Climate Change in Tropical and Subtropical Rainforest Systems in South America. Atmosphere 2023, 14, 755. [Google Scholar] [CrossRef]
- Jahani, B.; Dinpashoh, Y.; Nafchi, A.R. Evaluation and development of empirical models for estimating daily solar radiation. Renew. Sustain. Energy Rev. 2017, 73, 878–891. [Google Scholar] [CrossRef]
- Chen, R.; Ersi, K.; Yang, J.; Lu, S.; Zhao, W. Validation of five global radiation models with measured daily data in China. Energy Convers. Manag. 2004, 45, 1759–1769. [Google Scholar] [CrossRef]
- Abraha, M.G.; Savage, M.J. Comparison of estimates of daily solar radiation from air temperature range for application in crop simulations. Agric. For. Meteorol. 2008, 148, 401–416. [Google Scholar] [CrossRef]
- Angstrom, A. Solar and terrestrial radiation. Q. J. R. Meteorol. Soc. 1924, 50, 121–125. [Google Scholar] [CrossRef]
- Prescott, J. Evaporation from a Water Surface in Relation to Solar Radiation. Trans. R. Soc. South Aust. 1940, 46, 114–118. [Google Scholar]
- Hargreaves, G.H.; Samani, Z.A. Estimating potential evapotranspiration. J. Irrig. Drain. Eng. 1982, 108, 225–230. [Google Scholar] [CrossRef]
- Bristow, K.L.; Campbell, G.S. On the relationship between incoming solar radiation and daily maximum and minimum temperature. Agriculural For. Meteorol. 1984, 31, 159–166. [Google Scholar] [CrossRef]
- Adaramola, M.S. Estimating global solar radiation using common meteorological data in Akure, Nigeria. Renew. Energy 2012, 47, 38–44. [Google Scholar] [CrossRef]
- Falayi, E.O.; Adepitan, J.O.; Rabiu, A.B. Empirical models for the correlation of global solar radiation with meteorological data for Iseyin, Nigeria. Int. J. Phys. Sci. 2008, 3, 210–216. [Google Scholar] [CrossRef]
- Santos, C.M.; Teremoto, E.T.; Souza, A.; Aristone, F.; Ilhaddadene, R. Several models to estimate daily global solar irradiation: Adjustment and evaluation. Arab. J. Geosci. 2021, 14, 286. [Google Scholar] [CrossRef]
- Souza, A.P.; Zamadei, T.; Monteiro, E.B.; Casavecchia, B.H. Atmospheric Transmissivity of Global Radiation in the Amazon Region of Mato Grosso. Rev. Bras. De Meteorol. 2016, 31, 639–648. [Google Scholar] [CrossRef]
- Li, M.-F.; Tang, X.-P.; Wu, W.; Liu, H.-B. General models for estimating daily global solar radiation for different solar radiation zones in mainland China. Energy Convers. Manag. 2013, 70, 139–148. [Google Scholar] [CrossRef]
- Newland, F.J. A study of solar radiation models for the coastal region of south China. Sol. Energy 1989, 43, 227–235. [Google Scholar] [CrossRef]
- Almorox, J.; Hontoria, C. Global solar radiation estimation using sunshine duration in Spain. Energy Convers. Manag. 2004, 45, 1529–1535. [Google Scholar] [CrossRef]
- Bakirci, K. Correlations for estimation of daily global solar radiation with hours of bright sunshine in Turkey. Energy 2009, 34, 485–501. [Google Scholar] [CrossRef]
- Ögelman, H.; Ecevit, A.; Tasdemiroglu, E. A new method for estimating solar radiation from bright sunshine data. Sol. Energy 1984, 33, 619–625. [Google Scholar] [CrossRef]
- Togrul, I.T.; Onat, E. A study for estimating solar radiation in Elazig using geographical and meteorological data. Energy Convers. Manag. 1999, 40, 1577–1584. [Google Scholar] [CrossRef]
- Togrul, I.T.; Togrul, H.; Evin, D. Estimation of global solar radiation under clear sky radiation in Turkey. Renew. Energy 2000, 21, 271–287. [Google Scholar] [CrossRef]
- Elagib, N.A.; Mansell, M.G. New approaches for estimating global solar radiation across Sudan. Energy Convers. Manag. 2000, 41, 419–434. [Google Scholar] [CrossRef]
- El-Metwally, M. Sunshine and global solar radiation estimation at different sites in Egypt. J. Atmos. Sol.-Terr. Phys. 2005, 67, 1331–1342. [Google Scholar] [CrossRef]
- El-Sebaii, A.A.; Al-Ghamdi, A.A.; Al-Hazmi, F.S.; Faidah, A.S. Estimation of global solar radiation on horizontal surfaces in Jeddah, Saudi Arabia. Energy Policy 2009, 37, 3645–3649. [Google Scholar] [CrossRef]
- Lee, K.H. Improving the correlation between incoming solar radiation and Sunshine hour using DTR. Int. J. Climatol. 2015, 35, 361–374. [Google Scholar] [CrossRef]
- Li, M.-F.; Fan, L.; Liu, H.-B.; Guo, P.-T.; Wu, W. A general model for estimation of daily global solar radiation using air temperatures and site geographic parameters in Sothwest Chine. J. Atmos. Sol.-Terr. Phys. 2013, 92, 145–150. [Google Scholar] [CrossRef]
- Li, H.; Cao, F.; Wang, X.; Ma, W. A temperature-Based model for estimating monthly average daily global solar radiation in China. Sci. World J. 2014, 1, 128754. [Google Scholar] [CrossRef]
- Li, H.; Cao, F.; Bu, X.; Zhao, L. Models for calculating daily global solar radiation from air temperature in humid regions—A case study. Environ. Prog. Sustain. Energy 2015, 34, 595–599. [Google Scholar] [CrossRef]
- Goodin, D.G.; Hutchimson, J.M.S.; Vanderlip, R.L.; Knapp, M.C. Estimating solar irradiance for crop modeling using daily air temperature data. Agron. J. 1999, 91, 845–851. [Google Scholar] [CrossRef]
- Thornton, P.E.; Running, S.W. An improved algorithm for estimating incident daily solar radiation from measurements of temperature, humidity, and precipitation. Agric. For. Meteorol. 1999, 93, 211–228. [Google Scholar] [CrossRef]
- Weiss, A.; Hays, C.J.; Hu, Q.; Easterling, W.E. Incorporating bias error in calculating solar irradiance: Implications for crop yield simulations. Agron. J. 2001, 93, 1321–1326. [Google Scholar] [CrossRef]
- Kolebaje, O.T.; Ikusika, A.; Akinyemi, P. Estimating solar radiation in Ikeja and Port Harcourt via correlation with relative humidity and temperature. Int. J. Energy Prod. Manag. 2016, 1, 253–262. [Google Scholar] [CrossRef]
- Benghanem, M.; Mellit, A. A simplified calibrated model for estimating daily global solar radiation in Madinah, Saudi Arabia. Theor. Aplied Climatol. 2014, 115, 197–205. [Google Scholar] [CrossRef]
- Hargreaves, G.L.; Asce, A.M.; Hargreaves, G.H.; Asce, F.; Riley, J.P. Irrigation water requirements for Senegal river basin. J. Irrig. Drain. Eng. 1985, 111, 265–275. [Google Scholar] [CrossRef]
- Saffaripour, M.H.; Mehrabian, M.A.; Bazargan, H. Predicting solar radiation fluxes for solar energy system applications. Int. J. Environ. Sci. Technol. 2013, 10, 761–768. [Google Scholar] [CrossRef]
- Panday, C.K.; Katiyar, A.K. Temperature base correlation for the estimation of global solar radiation on horizontal surface. Int. J. Energy Environ. 2010, 1, 737–744. [Google Scholar]
- Elagib, N.A.; Babiker, S.F.; Alvi, S.H. New empirical models for global solar radiation over Bahrain. Energy Convers. Manag. 1998, 39, 827–835. [Google Scholar] [CrossRef]
- Ertekin, C.; Yaldiz, O. Estimation of monthly average daily global radiation on horizontal surface for Antalya (Turkey). Renew. Energy 1999, 17, 95–102. [Google Scholar] [CrossRef]
- Al-Salaymeh, A. Modeling of global daily solar radiation on horizontal surfaces for Amman city. Emir. J. Eng. Res. 2006, 11, 49–56. [Google Scholar]
- Ododo, J.C.; Sulaiman, A.T.; Aidan, J.; Yuguda, M.M.; Ogbu, F.A. The importance of maximum air temperature in the parameterization of solar radiation in Nigeria. Renew. Energy 1995, 6, 751–763. [Google Scholar] [CrossRef]
- Swartman, R.K.; Ogunlade, O. Solar radiation estimates from common parameters. Sol. Energy 1967, 11, 170–172. [Google Scholar] [CrossRef]
- Ramos, J.P.A.; Vianna, M.S.; Marin, F.R. Estimation of global solar radiation based on thermal amplitude for Brazil. Agrometeoros 2018, 26, 37–51. [Google Scholar] [CrossRef]
- Ismail, A.H.; Dawi, E.A.; Almokdad, N.; Abdelkader, A.; Salem, O. Estimation and comparison of the clearness index using mathematical models—Case study in the United Arab Emirates. J. Nov. Carbon Resour. Green Asia Strategy 2023, 10, 863–869. [Google Scholar] [CrossRef]
- Yang, L.; Gao, X.; Li, Z.; Jia, D. Quantitative effects of air pollution on regional daily global and diffuse solar radiation under clear sky conditions. Energy Rep. 2022, 8, 1935–1948. [Google Scholar] [CrossRef]
- Yang, L.; Gao, X.; Li, Z.; Jia, D. Intra-day solar irradiation forecast using machine learning wit satellite data. Sustain. Energy Grids Netw. 2023, 36, 101212. [Google Scholar] [CrossRef]
- IBGE_Instituto Brasileiro de Geografia e Estatística. Continuous Cartographic Base—Brazil. 2023. Available online: https://www.ibge.gov.br/geociencias/downloads-geociencias.html?caminho=cartas_e_mapas/bases_cartograficas_continuas/bc250/versao2023/ (accessed on 23 September 2024).
- Google. Google Earth. Available online: https://earth.google.com/web (accessed on 23 September 2024).
- Alvares, C.A.; Stape, J.L.; Sentelhas, P.C.; Gonçalves, J.L.M.; Sparovek, G. Köppen’s climate classification map for Brazil. Meteorol. Z. 2013, 22, 711–728. [Google Scholar] [CrossRef] [PubMed]
- WMO_Word Meteorological Organization. Guide to Meteorological Instruments and Methods of Observation. 2014. Available online: https://community.wmo.int/en/activity-areas/imop/wmo-no_8 (accessed on 1 October 2024).
- Allen, R.G.; Pereira, L.S.; Raes, D.; Smith, M. Crop Evapotranspiration Guidelines for Computing Crop Water Requirements—FAO Irrigation and Drainage Paper 56; Food and Agriculture Organization of the United Nations: Rome, Italy, 1998; 333p. [Google Scholar]
- Bahel, V.; Bakhsh, H.; Srinivasan, R. A correlation for estimation of global solar radiation. Energy 1987, 12, 131–135. [Google Scholar] [CrossRef]
- Glover, J.; Mcculloch, J.S.G. The empirical relation between solar radiation and hours of sunshine. Q. J. R. Meteorol. Soc. 1958, 84, 172–175. [Google Scholar] [CrossRef]
- Korachagaon, I.; Bapat, V.N. General formula for the estimation of global solar radiation on earth’s surface around the globe. Renew. Energy 2012, 41, 394–400. [Google Scholar] [CrossRef]
- Badescu, V. Assessing the performance of solar radiation computing models and model selection procedures. J. Atmos. Sol. -Terr. Phys. 2013, 105, 119–134. [Google Scholar] [CrossRef]
- Teke, A.; Yildirim, H.B.; Çelik, Ö. Evaluation and performance comparison of different models for the estimation of solar radiation. Renew. Sustain. Energy Rev. 2015, 50, 1097–1107. [Google Scholar] [CrossRef]
- Escobedo, J.F.; Gomes, E.N.; Oliveira, A.P.; Soares, J. Modeling hourly and daily fractions of UV, PAR and NIR to global solar radiation under various sky conditions at Botucatu, Brazil. Appl. Energy 2009, 86, 299–309. [Google Scholar] [CrossRef]
- Araújo, W.F.; Neto, J.L.L.M.; Sander, C.; Albuquerque, J.A.A.; Viana, T.V.A.; Valero, M.A.M. Update on the climate classification of Boa Vista, Roraima, Brazil. Nativa 2024, 12, 236–240. [Google Scholar] [CrossRef]
- Sabino, M.; Silva, A.C.; Almeida, F.T.; Souza, A.P. Reference evapotrasnpiration in climate change scenarios in Mato Grosso, Brazil. Hydrology 2024, 11, 91. [Google Scholar] [CrossRef]








| State | Meteorological Station | KCC * | Lat. (°) | Lon. (°) | Alt. (m) | Data Period |
|---|---|---|---|---|---|---|
| Acre (AC) | 1—Rio Branco | Am | −9.67 | −68.16 | 163 | 2015–2022 |
| Amapá (AP) | 2—Macapá | Am | 0.035 | −51.08 | 16 | 2013–2022 |
| Amazonas (AM) | 3—Barcelos | Af | −0.98 | −62.92 | 29 | 2008–2022 |
| 4—Eirunepé | Af | −6.65 | −69.87 | 121 | 2012–2022 | |
| 5—Itacoatiara | Af | −3.12 | −58.47 | 41 | 2008–2022 | |
| 6—Lábrea | Am | −7.25 | −64.78 | 61 | 2008–2018 | |
| 7—Manaus | Af | −3.1 | −59.95 | 61 | 2000–2022 | |
| 8—Parintins | Af | −2.63 | −56.75 | 18 | 2008–2018 | |
| 9—São Gabriel da Cachoeira | Af | −0.12 | −67.05 | 79 | 2011–2022 | |
| Mato Grosso (MT) | 10—Sinop | Aw | −11.85 | −55.55 | 366 | 2006–2017 |
| Pará (PA) | 11—Belém | Af | −1.41 | −48.43 | 21 | 2003–2022 |
| 12—Cametá | Af | −2.23 | −49.48 | 9 | 2008–2022 | |
| 13—Conceição do Araguaia | Aw | −8.25 | −49.27 | 175 | 2008–2022 | |
| 14—Itaituba | Af | −4.27 | −56.00 | 24 | 2008–2022 | |
| 15—Marabá | Aw | −5.36 | −49.37 | 116 | 2009–2022 | |
| 16—Monte Alegre | Am | −2 | −54.07 | 100 | 2012–2022 | |
| 17—Óbidos | Am | −1.88 | −55.51 | 89 | 2012–2017 | |
| 18—Soure | Am | −0.72 | −48.51 | 12 | 2008–2017 | |
| 19—Tucuruí | Am | −3.82 | −49.67 | 137 | 2008–2017 | |
| Roraima (RR) | 20—Boa Vista | Am | 2.82 | −60.68 | 82 | 2010–2022 |
| Stations | Hg (MJ m−2 d−1) | H0 (MJ m−2 d−1) | Kt | S (hours) | Ri | Tmax (°C) | Tmed (°C) | Tmin (°C) | RHmed (%) | Rainfall (mm year−1) |
|---|---|---|---|---|---|---|---|---|---|---|
| 1 | 17.17 ± 4.80 | 36.23 ± 3.40 | 0.47 ± 0.13 | 5.58 ± 3.11 | 0.46 ± 0.26 | 31.29 ± 2.84 | 25.60 ± 2.04 | 21.68 ± 1.96 | 78.42 ± 12.52 | 2954 ± 139 |
| 2 | 19.86 ± 5.28 | 36.12 ± 1.35 | 0.55 ± 0.14 | 6.95 ± 3.23 | 0.58 ± 0.26 | 31.76 ± 1.65 | 27.54 ± 1.22 | 23.97 ± 0.73 | 76.56 ± 1.22 | 2100 ± 145 |
| 3 | 17.17 ± 5.23 | 35.99 ± 1.34 | 0.48 ± 0.14 | 4.77 ± 3.12 | 0.40 ± 0.08 | 32.02 ± 2.29 | 26.34 ± 1.23 | 22.76 ± 1.18 | 83.88 ± 6.11 | 2443 ± 72 |
| 4 | 15.64 ± 4.25 | 36.36 ± 2.55 | 0.43 ± 0.12 | 3.94 ± 2.70 | 0.33 ± 0.22 | 31.55 ± 2.27 | 25.92 ± 1.48 | 22.24 ± 1.39 | 70.16 ± 14.29 | 1952 ± 75 |
| 5 | 16.12 ± 5.09 | 36.05 ± 1.98 | 0.45 ± 0.14 | 5.78 ± 3.33 | 0.48 ± 0.27 | 31.52 ± 2.24 | 27.24 ± 1.44 | 24.01 ± 0.98 | 79.57 ± 6.57 | 2339 ± 104 |
| 6 | 17.15 ± 3.84 | 35.76 ± 2.95 | 0.48 ± 0.10 | 5.24 ± 3.30 | 0.44 ± 0.25 | 32.75 ± 2.10 | 26.70 ± 1.30 | 22.57 ± 1.51 | 78.86 ± 5.96 | 2230 ± 103 |
| 7 | 16.34 ± 5.04 | 35.91 ± 2.03 | 0.46 ± 0.14 | 5.52 ± 3.23 | 0.46 ± 0.27 | 32.30 ± 2.21 | 27.74 ± 1.64 | 24.32 ± 1.22 | 75.86 ± 9.16 | 2206 ± 99 |
| 8 | 17.52 ± 5.41 | 35.88 ± 1.84 | 0.49 ± 0.14 | 6.17 ± 3.41 | 0.51 ± 0.28 | 31.29 ± 2.07 | 27.15 ± 1.43 | 24.24 ± 1.09 | 81.09 ± 6.72 | 2343 ± 110 |
| 9 | 15.22 ± 4.76 | 36.17 ± 1.30 | 0.42 ± 0.12 | 4.73 ± 2.81 | 0.39 ± 0.23 | 31.30 ± 2.23 | 26.41 ± 1.45 | 23.14 ± 1.19 | 81.46 ± 7.99 | 2867 ± 46 |
| 10 | 19.13 ± 4.19 | 35.95 ± 3.96 | 0.53 ± 0.12 | 6.03 ± 3.04 | 0.50 ± 0.26 | 32.35 ± 2.81 | 25.41 ± 1.63 | 20.16 ± 2.11 | 72.04 ± 15.78 | 1952 ± 132 |
| 11 | 15.09 ± 3.59 | 36.04 ± 1.55 | 0.42 ± 0.10 | 6.48 ± 2.75 | 0.54 ± 0.23 | 32.67 ± 1.35 | 27.27 ± 1.09 | 23.56 ± 0.65 | 78.49 ± 5.75 | 3205 ± 129 |
| 12 | 20.16 ± 3.78 | 35.91 ± 1.79 | 0.56 ± 0.10 | 7.57 ± 2.59 | 0.63 ± 0.21 | 32.47 ± 1.21 | 27.75 ± 1.13 | 24.23 ± 1.02 | 74.36 ± 6.15 | 2230 ± 137 |
| 13 | 18.64 ± 4.46 | 35.79 ± 3.26 | 0.52 ± 0.13 | 6.96 ± 3.26 | 0.58 ± 0.28 | 33.54 ± 2.75 | 26.83 ± 1.69 | 21.60 ± 2.12 | 70.50 ± 12.26 | 1686 ± 104 |
| 14 | 18.75 ± 4.71 | 36.03 ± 2.25 | 0.52 ± 0.13 | 6.24 ± 3.18 | 0.52 ± 0.26 | 32.67 ± 2.17 | 27.58 ± 1.46 | 23.85 ± 0.96 | 74.87 ± 7.16 | 2069 ± 95 |
| 15 | 18.25 ± 3.87 | 35.82 ± 2.57 | 0.51 ± 0.11 | 6.36 ± 3.10 | 0.53 ± 0.26 | 32.26 ± 1.95 | 26.59 ± 1.14 | 22.40 ± 1.37 | 76.53 ± 7.75 | 1885 ± 123 |
| 16 | 20.61 ± 4.19 | 36.13 ± 1.71 | 0.57 ± 0.11 | 7.53 ± 2.79 | 0.63 ± 0.23 | 31.66 ± 1.69 | 27.54 ± 1.29 | 23.97 ± 1.05 | 75.30 ± 6.98 | 1661 ± 104 |
| 17 | 16.64 ± 4.52 | 36.21 ± 2.31 | 0.46 ± 0.12 | 6.70 ± 3.21 | 0.56 ± 0.26 | 33.08 ± 2.45 | 26.84 ± 1.46 | 22.74 ± 0.78 | 78.22 ± 8.71 | 2572 ± 107 |
| 18 | 19.82 ± 4.30 | 35.96 ± 1.38 | 0.55 ± 0.12 | 6.89 ± 3.55 | 0.57 ± 0.29 | 30.94 ± 0.95 | 27.71 ± 1.04 | 25.34 ± 1.51 | 76.98 ± 6.03 | 2093 ± 74 |
| 19 | 16.95 ± 3.48 | 36.06 ± 1.99 | 0.47 ± 0.09 | 6.22 ± 2.81 | 0.52 ± 0.23 | 31.43 ± 1.68 | 26.73 ± 1.15 | 23.36 ± 0.94 | 78.42 ± 7.70 | 2400 ± 157 |
| 20 | 19.35 ± 4.35 | 35.99 ± 1.77 | 0.54 ± 0.11 | 6.49 ± 2.87 | 0.54 ± 0.23 | 33.51 ± 2.22 | 27.83 ± 1.56 | 23.70 ± 1.07 | 68.54 ± 10.17 | 1.616 ± 100 |
| Met. Stations | Model 10 | Model 62 | |||||||
|---|---|---|---|---|---|---|---|---|---|
| a | b | c | R2 | a | b | c | d | R2 | |
| 1 | 0.2122 | 0.4784 | 0.7003 | 0.772 | 0.0324 | 0.1163 | 0.3607 | 0.8035 | 0.8052 |
| 2 | 0.1995 | 0.538 | 0.7178 | 0.8958 | 0.0396 | 0.1123 | 0.4516 | 0.8104 | 0.9071 |
| 3 | 0.2142 | 0.4846 | 0.5639 | 0.8045 | 0.0351 | 0.1127 | 0.3832 | 0.6435 | 0.8262 |
| 4 | 0.2233 | 0.4343 | 0.5737 | 0.758 | - | - | - | - | - |
| 5 | 0.1817 | 0.4678 | 0.6911 | 0.8221 | 0.0479 | 0.0936 | 0.3885 | 0.7413 | 0.8376 |
| 6 | 0.2769 | 0.3842 | 0.6852 | 0.7606 | 0.1265 | 0.0815 | 0.3178 | 0.683 | 0.7777 |
| 7 | 0.2041 | 0.4737 | 0.7516 | 0.7846 | 0.0518 | 0.0969 | 0.4094 | 0.8466 | 0.7992 |
| 8 | 0.1672 | 0.527 | 0.6562 | 0.8933 | 0.0733 | 0.0728 | 0.4662 | 0.7124 | 0.9003 |
| 9 | 0.1825 | 0.4718 | 0.6701 | 0.7713 | −0.0453 | 0.1738 | 0.2741 | 0.9689 | 0.8673 |
| 10 | 0.3103 | 0.4191 | 0.852 | 0.6359 | 0.1515 | 0.0821 | 0.3388 | 0.8233 | 0.665 |
| 11 | 0.2171 | 0.3681 | 0.9748 | 0.6563 | 0.0794 | 0.0846 | 0.3203 | 1.25 | 0.6658 |
| 12 | 0.2159 | 0.4893 | 0.7101 | 0.8452 | 0.1109 | 0.0687 | 0.4474 | 0.7844 | 0.852 |
| 13 | 0.197 | 0.494 | 0.6848 | 0.8221 | 0.1327 | 0.041 | 0.4448 | 0.6997 | 0.8263 |
| 14 | 0.2113 | 0.494 | 0.6286 | 0.887 | 0.1042 | 0.0718 | 0.4294 | 0.6683 | 0.8954 |
| 15 | 0.2355 | 0.4382 | 0.6629 | 0.8081 | 0.0935 | 0.0862 | 0.36 | 0.6808 | 0.8256 |
| 16 | 0.2055 | 0.5173 | 0.6947 | 0.9029 | 0.1331 | 0.0499 | 0.4823 | 0.7233 | 0.9068 |
| 17 | 0.1968 | 0.4229 | 0.7587 | 0.794 | 0.0487 | 0.0876 | 0.3483 | 0.8363 | 0.8065 |
| 18 | 0.278 | 0.4029 | 0.6001 | 0.8422 | 0.2053 | 0.045 | 0.4053 | 0.6424 | 0.8477 |
| 19 | 0.2549 | 0.3692 | 0.778 | 0.6905 | 0.123 | 0.0836 | 0.3203 | 0.9069 | 0.7108 |
| 20 | 0.2453 | 0.4656 | 0.7138 | 0.8429 | 0.1176 | 0.0766 | 0.4036 | 0.7679 | 0.8503 |
| Met. Stations | Model 45 | ||||||||
| a | b | c | d | e | R2 | ||||
| 1 | 7.1 | −0.413 | −13.02 | 6.47 | 0.3146 | 0.6513 | |||
| 2 | 18.05 | −1.06 | −32.94 | 16.11 | 1.08 | 0.7264 | |||
| 3 | 6.68 | −0.3971 | −13.03 | 6.39 | 1.04 | 0.7197 | |||
| 4 | 4.56 | −0.2595 | −8.59 | 4.26 | 0.4144 | 0.6825 | |||
| 5 | 12.48 | −0.7875 | −23.28 | 11.62 | 0.7932 | 0.7007 | |||
| 6 | 10.72 | −0.5403 | −18.54 | 8.83 | 0.3082 | 0.6095 | |||
| 7 | 14.57 | −0.8666 | −26.66 | 13.08 | 0.8747 | 0.6124 | |||
| 8 | 13.14 | −0.9469 | −25.69 | 13.19 | 1.17 | 0.7341 | |||
| 9 | 1.52 | −0.0997 | −3.45 | 1.84 | 0.4104 | 0.8 | |||
| 10 | 7.33 | −0.3692 | −12.76 | 6.12 | 0.2696 | 0.4998 | |||
| 11 | 13.04 | −0.6702 | −22.98 | 10.87 | 0.8086 | 0.4661 | |||
| 12 | - | - | - | - | - | - | |||
| 13 | 2.93 | −0.2 | −6.02 | 3.16 | 0.3889 | 0.629 | |||
| 14 | 13.7 | −0.8282 | −25.04 | 12.42 | 0.5538 | 0.6981 | |||
| 15 | 5.06 | −0.3339 | −9.95 | 5.1 | 0.4996 | 0.6639 | |||
| 16 | 27.61 | −1.71 | −50.07 | 24.76 | 1.09 | 0.6741 | |||
| 17 | 13.64 | −0.6925 | −23.86 | 11.31 | 0.5745 | 0.6767 | |||
| 18 | −33.41 | 1.81 | 55.84 | −26.79 | 1.72 | 0.3738 | |||
| 19 | - | - | - | - | - | - | |||
| 20 | 11.07 | −0.5971 | −20.36 | 9.72 | 1.17 | 0.7435 | |||
Disclaimer/Publisher’s Note: The statements, opinions and data contained in all publications are solely those of the individual author(s) and contributor(s) and not of MDPI and/or the editor(s). MDPI and/or the editor(s) disclaim responsibility for any injury to people or property resulting from any ideas, methods, instructions or products referred to in the content. |
© 2024 by the authors. Licensee MDPI, Basel, Switzerland. This article is an open access article distributed under the terms and conditions of the Creative Commons Attribution (CC BY) license (https://creativecommons.org/licenses/by/4.0/).
Share and Cite
Martim, C.C.; Paulista, R.S.D.; Castagna, D.; Borella, D.R.; de Almeida, F.T.; Damian, J.G.R.; de Souza, A.P. Daily Estimates of Global Radiation in the Brazilian Amazon from Simplified Models. Atmosphere 2024, 15, 1397. https://doi.org/10.3390/atmos15111397
Martim CC, Paulista RSD, Castagna D, Borella DR, de Almeida FT, Damian JGR, de Souza AP. Daily Estimates of Global Radiation in the Brazilian Amazon from Simplified Models. Atmosphere. 2024; 15(11):1397. https://doi.org/10.3390/atmos15111397
Chicago/Turabian StyleMartim, Charles Campoe, Rhavel Salviano Dias Paulista, Daniela Castagna, Daniela Roberta Borella, Frederico Terra de Almeida, João Gabriel Ribeiro Damian, and Adilson Pacheco de Souza. 2024. "Daily Estimates of Global Radiation in the Brazilian Amazon from Simplified Models" Atmosphere 15, no. 11: 1397. https://doi.org/10.3390/atmos15111397
APA StyleMartim, C. C., Paulista, R. S. D., Castagna, D., Borella, D. R., de Almeida, F. T., Damian, J. G. R., & de Souza, A. P. (2024). Daily Estimates of Global Radiation in the Brazilian Amazon from Simplified Models. Atmosphere, 15(11), 1397. https://doi.org/10.3390/atmos15111397

