Analysis of VLF Electromagnetic Scattering in Lower Anisotropic Ionosphere Based on Transfer Matrix
Abstract
1. Introduction
2. Multilayer Anisotropic Ionospheric Model
3. Transfer Matrix Method
3.1. Theoretical Derivation
3.2. Method Validation
4. Numerical Calculation and Analysis
4.1. Layer Thickness Selection
4.2. Calculation Results and Analysis
- (1)
- The anisotropy caused by the geomagnetic field in the very-long-wave frequency band can lead to a decrease in the ionosphere’s ability to reflect radio waves and an increase in ionospheric absorption losses.
- (2)
- Overall, the reflection coefficient decreases with increasing frequency, and most of the time, the propagation laws of horizontally polarized waves and vertically polarized waves are opposite, which is related to the polarization direction of both. This article mainly analyzes horizontally polarized waves.
- (3)
- Both diurnal and seasonal variations can have an impact on the propagation of VLF in the ionosphere, with diurnal variations having a greater impact than seasonal variations. The propagation ability in summer is higher than that in winter, and the propagation ability in day is higher than that in night.
- (4)
- When other conditions remain unchanged, the higher the collision frequency, the greater the absorption loss of the ionosphere towards VLF. In the currently selected model, when v increases to the order of time, the reflection coefficient will undergo a sudden decrease, that is, in the VLF band. The reflection characteristics of the ionosphere towards radio waves are very sensitive to the activity of particles in the ionosphere.
- (5)
- In the same scenario, as the incident angle increases, the ionosphere’s ability to reflect horizontally polarized waves of VLF increases, while the pattern of vertically polarized waves is opposite.
- (6)
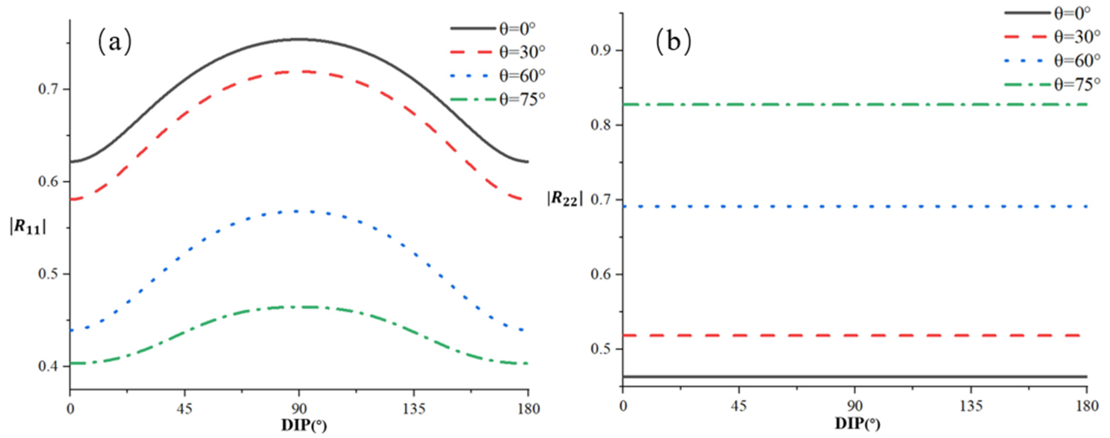
- Under the same other conditions, the DIP (geomagnetic inclination angle) and VLF’s horizontal polarized wave reflection ability in the ionosphere form a symmetrical structure at 0°–180°, with the strongest reflection ability at 90° and the weakest at 0° and 180°. When other conditions are the same, the reflection ability in low-latitude areas is higher than that in high-latitude areas.
- (7)
- In a horizontally uniform ionospheric model, the anisotropy of the ionosphere has a greater impact on east–west propagation compared to north–south propagation, and the direction originating from the geomagnetic field is close to the north–south distribution.
4.3. Calculation Examples
5. Conclusions
Author Contributions
Funding
Institutional Review Board Statement
Informed Consent Statement
Data Availability Statement
Conflicts of Interest
References
- Barr, R.; Jones, D.L.; Rodger, C.J. ELF and VLF radio waves. J. Atmos. Sol.-Terr. Phys. 2000, 62, 1689–1718. [Google Scholar] [CrossRef]
- Wang, J. Observation and analysis of phase cycle slipping of VLF signals. Chin. J. Radio Sci. 2006, 21, 628–631. [Google Scholar]
- Hayakawa, M.; Molchanov, O.A.; Ondoh, T.; Kawai, E. The precursory signature effect of the Kobe earth quake on VLF subionospheric signals. J. Res. Lab. Tokyo 1996, 43, 169–180. [Google Scholar]
- Wang, J.; Chen, E.; Zhao, X. Observation and study on phase of very low frequency propagation over polar area. Chin. J. Radio Sci. 2006, 21, 385–390. [Google Scholar]
- DARPA-BAA-16-23; Spatial, Temporal, and Orientation Information in Contested Environments (STOIC) Very Low Frequency (VLF) Positioning System. Strategic Technology Office: Arlington, VA, USA, 2016; pp. 2–24.
- Budden, K.G. Radio Waves in the Ionosphere; Cambridge University Press: Cambridge, UK, 1961; p. 542. [Google Scholar]
- Richardson, D.K.; Cohen, M.B. Seasonal variation of the D-region ionosphere: Very low frequency (VLF) and machine learning models. J. Geophys. Res. Space Phys. 2021, 126, e2021JA029689. [Google Scholar] [CrossRef]
- Cohen, M.B.; Gross, N.C.; Higginson-Rollins, M.A.; Marshall, R.A.; Gołkowski, M.; Liles, W.; Rodriguez, D.; Rock Way, J. The lower ionospheric VLF/LF response to the 2017 Great American Solar Eclipse observed across the continent. Geophys. Res. Lett. 2018, 45, 3348–3355. [Google Scholar] [CrossRef]
- Helliwell, R.A. Whistlers and Related Ionospheric Phenomena; Stanford University Press: Stanford, CA, USA, 1965. [Google Scholar]
- Inan, U.; Chang, H.; Helliwell, R. Electron precipitation zones around major ground-based VLF signal sources. J. Geophys. Res. 1984, 89, 2891–2906. [Google Scholar] [CrossRef]
- Abel, B.; Thorne, R.M. Electron scattering loss in Earth’s inner magnetosphere: 1.Domin ant physical processes. J. Geophys. Res. Space Phys. 2012, 103, 2385–2396. [Google Scholar] [CrossRef]
- Yang, M.; Peng, H.; Zheng, K.; Wei, G. Spatial Radiation Field Distribution of Underwater VLF Two-Element Antenna Array. IEEE Trans. Antennas Propag. 2023, 71, 1164–1169. [Google Scholar] [CrossRef]
- Hayakawa, M. Whistlers. In Handbook of Atmospheric Electrodynamics; Volland, H., Ed.; CRC Press: Boca Raton, FL, USA, 1995; Volume 2, pp. 155–193. [Google Scholar]
- Bortnik, J.; Inan, S. Precipitation of Radiation Belt Electrons by Lightning-Generated Magneto spherically Reflecting Whistler Waves. Ph.D. Thesis, Standford University, Standford, CA, USA, 2004. [Google Scholar]
- Budden, K.G. The Propagation of Radio Waves-the Theory of Radio Waves of Low Power in the Ionosphere and Magnetosphere; Cambridge University Press: Cambridge, UK, 1988. [Google Scholar]
- Zhao, S.; Liao, L.; Zhang, X.; Shen, X. Full wave calculation of ground-based VLF radiation penetrating into the ionosphere. Chin. J. Radio Sci. 2016, 31, 825–833. [Google Scholar]
- Lehtinen, N.G.; Inan, U.S. Full-wave modeling of trans ionospheric propagation of VLF waves. Geophys. Res. Lett. 2009, 36, L03104. [Google Scholar] [CrossRef]
- Pan, W.Y.; Li, K. Propagation of SLF/ELF Electromagnetic Waves; Springer Press: Berlin, Germany, 2014. [Google Scholar]
- Samanes, J.; Raulin, J.; Jinbin, C. Estimation of the night time height of the lower ionosphere using VLF waves propagation. In Proceedings of the URSI Asia-Pacific Radio Science Conference, Seoul, Republic of Korea, 21–25 August 2016; pp. 1310–1312. [Google Scholar]
- Zhang, S.X.; Wang, Y.S.; Li, G.M. Study on the influence of ionospheric parameters on the numerical calculation of VLF signal field strength. Ship Electron. Eng. 2018, 38, 140–144. (In Chinese) [Google Scholar]
- He, T.; Zheng, J.; Pan, W.Y.; Li, K. Multiple-mode interference and phase standard deviation of VLF wave propagation in an anisotropic Earth–Ionosphere waveguide. IEEE Trans. Antennas Propag. 2018, 66, 7265–7272. [Google Scholar] [CrossRef]
- Chowdhury, S.; Kundu, S.; Basak, T.; Ghosh, S.; Hayakawa, M.; Chakraborty, S.; Chakrabarti, S.K.; Sasmal, S. Numerical simulation on flower ionospheric reflection parameters by using international reference ionosphere (IRI) model and validation with Very Low Frequency (VLF) radio signal characteristics. Adv. Space Res. 2021, 67, 1599–1611. [Google Scholar] [CrossRef]
- Liu, B.; Wang, M.; Zhang, S.; Li, H.; Li, G.; Yu, M.; Zhang, X.; Xu, J. Finite Element Method study on VLF propagable modes coupling and interference in the anisotropic earth-ionosphere waveguide. Int. J. Numer. Model. Electron. Netw. Devices Fields 2024, 37, e3207. [Google Scholar] [CrossRef]
- Wait, J.R. Electromagnetic Waves in Stratified Media; Pergamon Press: New York, NY, USA, 1962; p. 609. [Google Scholar]
- Fu, H.; Zhang, Z.; Ju, J. Calculation of short wave propagation in anisotropic ionosphere by transfer matrix Method. In Proceedings of the Electronic and Automation Control Conference (IAEAC), Chengdu, China, 12–14 March 2021; p. 5. [Google Scholar]
- Liu, R.; Xu, Z.; Wu, J.; Liu, S.; Zhang, B.; Wang, G. Preliminary studies on ionospheric for easting in China and its surrounding area. J. Atmos. Sol.-Terr. Phys. 2005, 67, 1129–1136. [Google Scholar] [CrossRef]
- Berreman, D.W. Optics in stratified and anisotropic media: 4×4 matrix formulation. J. Opt. Soc. Am. B 1972, 62, 503. [Google Scholar] [CrossRef]
- Zhao, L.; Xie, H. A novel optical ε-near-zero material realized by multi-layered Ag/SiC filmstructures. Optik 2019, 183, 519. [Google Scholar] [CrossRef]













Disclaimer/Publisher’s Note: The statements, opinions and data contained in all publications are solely those of the individual author(s) and contributor(s) and not of MDPI and/or the editor(s). MDPI and/or the editor(s) disclaim responsibility for any injury to people or property resulting from any ideas, methods, instructions or products referred to in the content. |
© 2024 by the authors. Licensee MDPI, Basel, Switzerland. This article is an open access article distributed under the terms and conditions of the Creative Commons Attribution (CC BY) license (https://creativecommons.org/licenses/by/4.0/).
Share and Cite
Zhao, L.; Zhan, Z.; Zhang, Z.; Feng, H. Analysis of VLF Electromagnetic Scattering in Lower Anisotropic Ionosphere Based on Transfer Matrix. Atmosphere 2024, 15, 1396. https://doi.org/10.3390/atmos15111396
Zhao L, Zhan Z, Zhang Z, Feng H. Analysis of VLF Electromagnetic Scattering in Lower Anisotropic Ionosphere Based on Transfer Matrix. Atmosphere. 2024; 15(11):1396. https://doi.org/10.3390/atmos15111396
Chicago/Turabian StyleZhao, Lin, Zhiting Zhan, Zhigang Zhang, and Huiting Feng. 2024. "Analysis of VLF Electromagnetic Scattering in Lower Anisotropic Ionosphere Based on Transfer Matrix" Atmosphere 15, no. 11: 1396. https://doi.org/10.3390/atmos15111396
APA StyleZhao, L., Zhan, Z., Zhang, Z., & Feng, H. (2024). Analysis of VLF Electromagnetic Scattering in Lower Anisotropic Ionosphere Based on Transfer Matrix. Atmosphere, 15(11), 1396. https://doi.org/10.3390/atmos15111396
