Simulated Impacts of Thundercloud Charge Distributions on Sprite Halos Using a 3D Quasi-Electrostatic Field Model
Abstract
1. Introduction
2. Methods
2.1. The 3D QES Heating Model
2.2. Thundercloud Charge Model
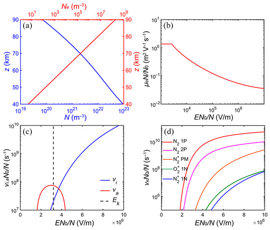
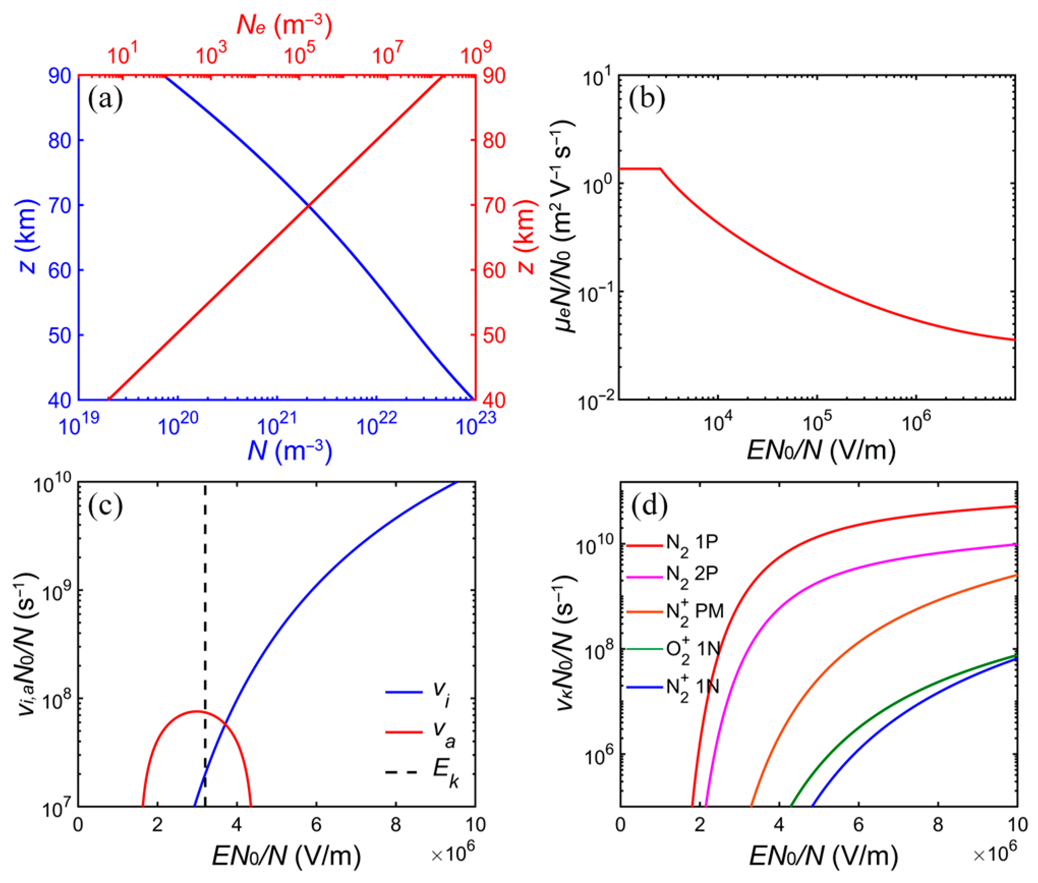
2.3. Computation of Atmospheric Conductivity
2.4. Computation of Optical Emissions
2.5. Model Validation
3. Results and Discussion
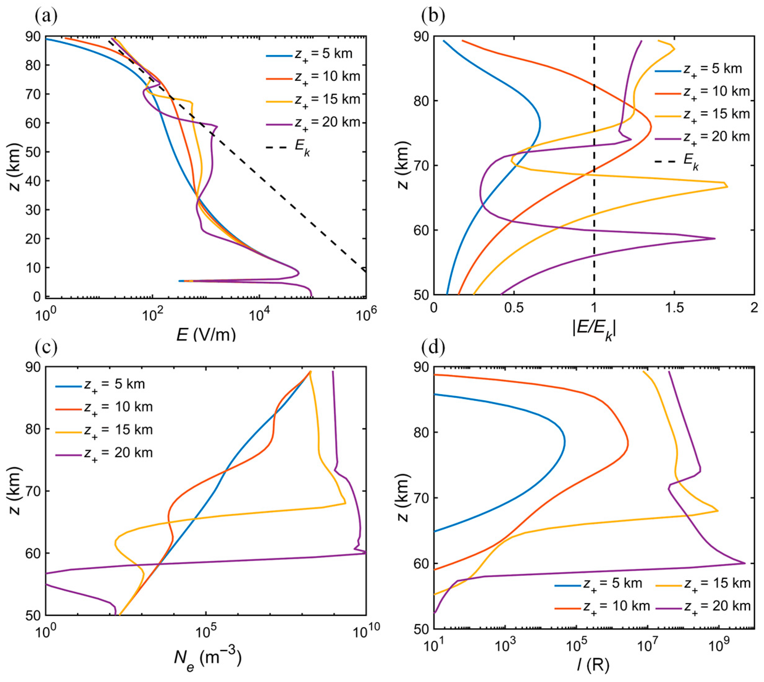
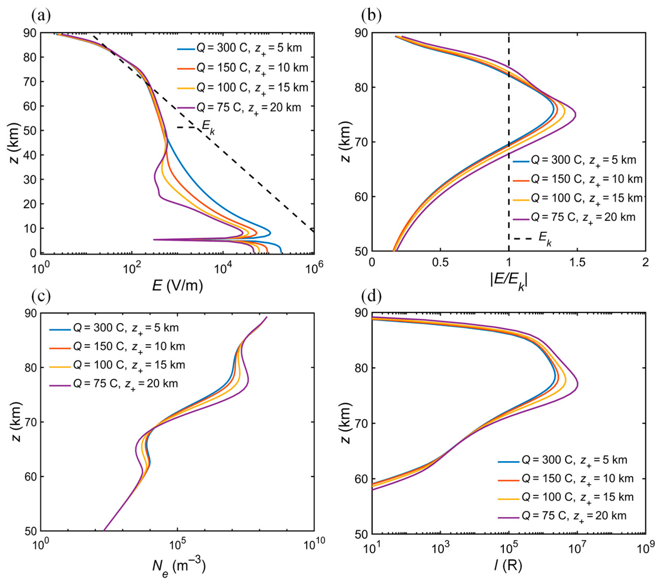
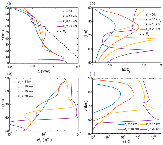
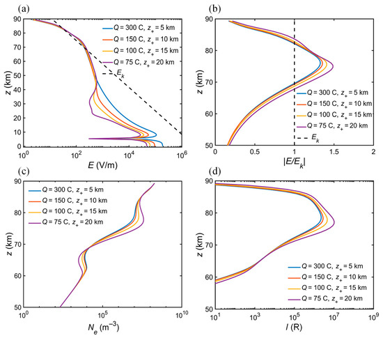
3.1. Effect of the Altitude of the Thundercloud Charge
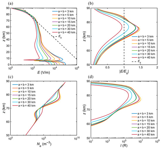
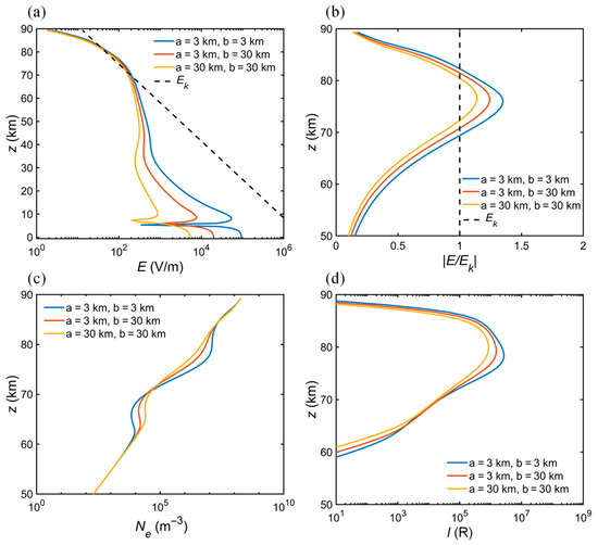
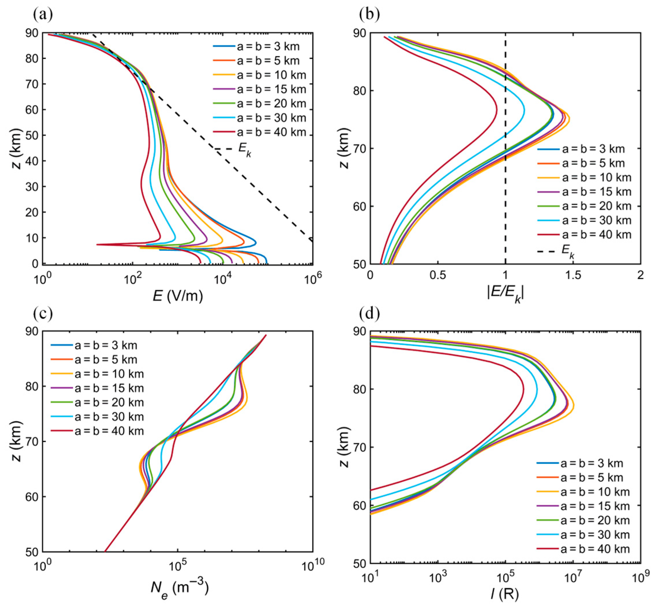
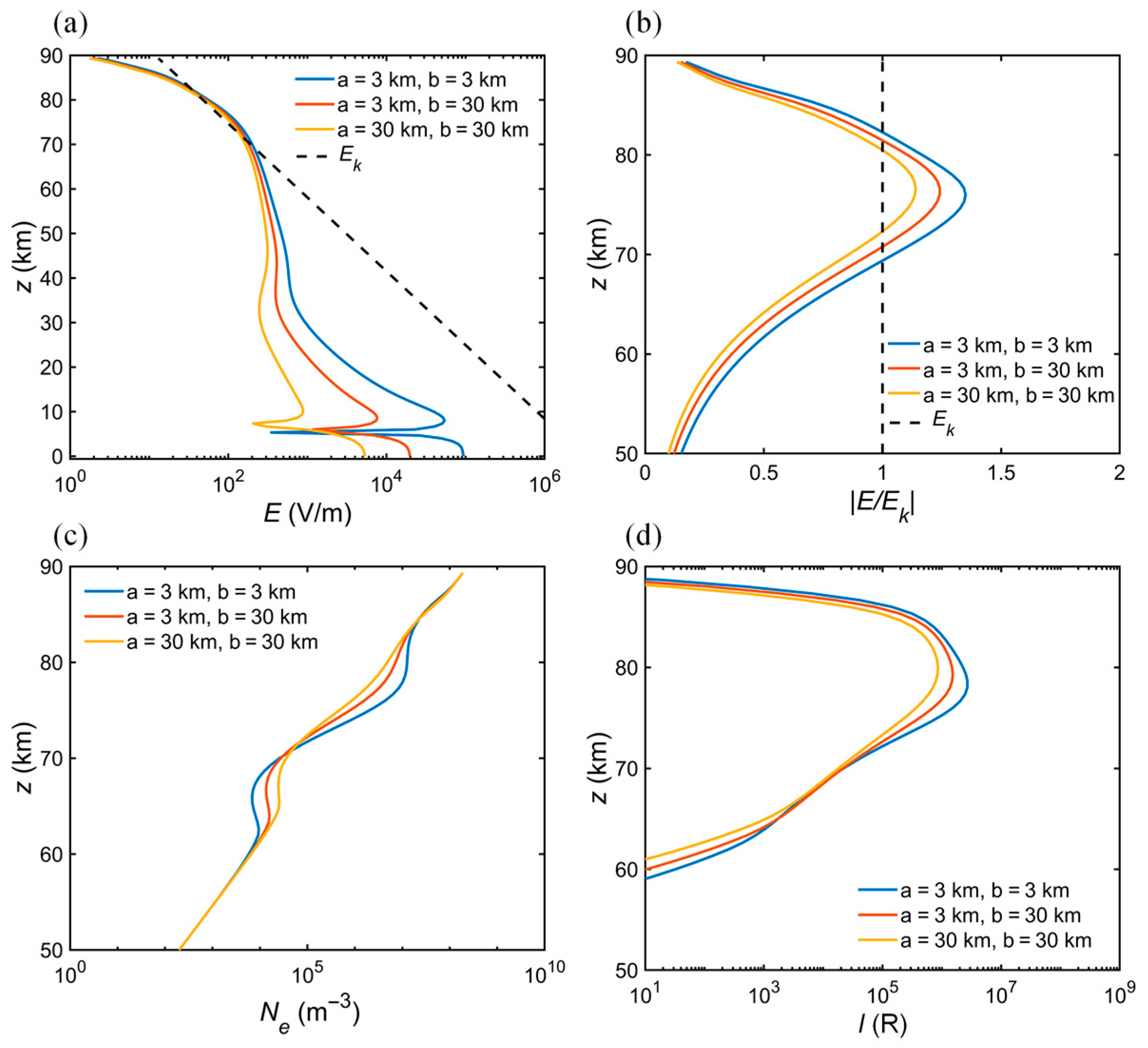
3.2. Effect of the Horizontal Scale of the Charge
3.3. Effect of the Horizontal Shift of Positive and Negative Charges
4. Conclusions
- (1)
- For the case of removing the same charge from different altitudes, higher altitudes are associated with greater CMC, resulting in higher values of electric fields and optical emission intensities in the mesosphere. Even under identical CMC conditions, higher charge removal altitudes will lead to increased mesospheric electric fields and optical emission intensities in the mesosphere to some extent.
- (2)
- For a Gaussian oblate symmetric charge density distribution with the scale of a = b = 3~40 km, under the same CMC conditions, the electric field amplitude increases with the enlargement of the charge region’s horizontal scale up to 10 km. Beyond this scale, the electric field amplitude decreases as the horizontal extent of the charge region expands further. For a Gaussian ellipsoid nonaxisymmetric charge density distribution with scale of a ≠ b, the spatial distribution of the electric field becomes asymmetric. The morphology and intensity of the time-averaged optical emission of sprite halos also change with different observation orientations.
- (3)
- The effect of the horizontal shift of the positive charge relative to the negative charge due to wind shear was also simulated. For a tilted dipole charge structure, the mesospheric electric fields and the corresponding positions of sprite halos’ optical emissions shift accordingly with the tropospheric removed charge. These findings provide an explanation for the observed horizontal displacement of sprite emissions relative to their parent lightning.
Author Contributions
Funding
Institutional Review Board Statement
Informed Consent Statement
Data Availability Statement
Acknowledgments
Conflicts of Interest
Abbreviations
| TLEs | Transient luminous events |
| 2D/3D | Two-dimensional/three-dimensional |
| QES | Quasi-electrostatic |
| EMP | Electromagnetic pulse |
| CMC | Charge moment change |
| iCMC | Impulsive charge moment change |
| CG | Cloud-to-ground |
| ISUAL | Imager of Sprites and Upper Atmospheric Lightning |
Appendix A
References
- Pasko, V.P.; Yair, Y.; Kuo, C.L. Lightning related transient luminous events at high altitude in the Earth’s atmosphere: Phenomenology, mechanisms, and effects. Space Sci. Rev. 2012, 168, 475–516. [Google Scholar] [CrossRef]
- Surkov, V.V.; Hayakawa, M. Progress in the Study of Transient Luminous and Atmospheric Events: A Review. Surv. Geophys. 2020, 41, 1101–1142. [Google Scholar] [CrossRef]
- Pérez-Invernón, F.J.; Gordillo-Vázquez, F.J.; Malagón-Romero, A.; Jöckel, P. Global and regional chemical influence of sprites: Reconciling modelling results and measurements. Atmos. Chem. Phys. 2024, 24, 3577–3592. [Google Scholar] [CrossRef]
- Rycroft, M.; Odzimek, A. Effects of lightning and sprites on the ionospheric potential, and threshold effects on sprite initiation, obtained using an analog model of the global atmospheric electric circuit. J. Geophys. Res. 2010, 115, A00E37. [Google Scholar] [CrossRef]
- Gordillo-Vázquez, F.J.; Pérez-Invernón, F.J. A review of the impact of transient luminous events on the atmospheric chemistry: Past, present, and future. Atmos. Res. 2021, 252, 105432. [Google Scholar] [CrossRef]
- Franz, R.C.; Nemzek, R.J.; Winckler, J.R. Television image of a large upward electric discharge above a thunderstorm system. Science 1990, 249, 48–51. [Google Scholar] [CrossRef] [PubMed]
- Pasko, V.P.; Inan, U.S.; Taranenko, Y.N.; Bell, T.F. Heating, ionization and upward discharges in the mesosphere, due to intense quasi-electrostatic thundercloud fields. Geophys. Res. Lett. 1995, 22, 365–368. [Google Scholar] [CrossRef]
- Pasko, V.P. Dynamic Coupling of Quasi-Electrostatic Thundercloud Fields to the Mesosphere and Lower Ionosphere: Sprites and Jets. Doctoral Dissertation, Stanford University, Stanford, CA, USA, 1996. [Google Scholar]
- Pasko, V.P.; Inan, U.S.; Bell, T.F.; Taranenko, Y.N. Sprites produced by quasi-electrostatic heating and ionization in the lower ionosphere. J. Geophys. Res. Space Phys. 1997, 102, 4529–4561. [Google Scholar] [CrossRef]
- Pasko, V.P. Recent advances in theory of transient luminous events. J. Geophys. Res. 2010, 115, A6. [Google Scholar] [CrossRef]
- Marskar, R. Genesis of column sprites: Formation mechanisms and optical structures. Plasma Sources Sci. Technol. 2024, 33, 025024. [Google Scholar] [CrossRef]
- Gerken, E.A.; Inan, U.S. A survey of streamer and diffuse glow dynamics observed in sprites using telescopic imagery. J. Geophys. Res. 2002, 107, SIA 4-1–SIA 4-12. [Google Scholar] [CrossRef]
- Barrington-Leigh, C.P.; Inan, U.S.; Stanley, M. Identification of sprites and elves with intensified video and broadband array photometry. J. Geophys. Res. Space Phys. 2001, 106, 1741–1750. [Google Scholar] [CrossRef]
- Frey, H.U.; Mende, S.B.; Cummer, S.A.; Li, J.; Adachi, T.; Fukunishi, H.; Takahashi, Y.; Chen, A.B.; Hsu, R.-R.; Su, H.-T.; et al. Halos generated by negative cloud-to-ground lightning. Geophys. Res. Lett. 2007, 34, L18801. [Google Scholar] [CrossRef]
- Newsome, R.T.; Inan, U.S. Free-running ground-based photometric array imaging of transient luminous events. J. Geophys. Res. 2010, 115, A00E41. [Google Scholar] [CrossRef]
- Lu, G.; Yu, B.; Cummer, S.A.; Peng, K.-M.; Chen, A.B.; Lyu, F.; Xue, X.; Liu, F.; Hsu, R.-R.; Su, H.-T. On the causative strokes of halos observed by ISUAL in the vicinity of North America. Geophys. Res. Lett. 2018, 45, 10781–10789. [Google Scholar] [CrossRef]
- Moudry, D.; Stenbaek-Nielsen, H.; Sentman, D.; Wescott, E. Imaging of elves, halos, and sprite initiation at 1 ms time resolution. J. Atmos. Sol.-Terr. Phys. 2003, 65, 509–518. [Google Scholar] [CrossRef]
- Kuo, C.-L.; Williams, E.; Adachi, T.; Ihaddadene, K.; Celestin, S.; Takahashi, Y.; Hsu, R.-R.; Frey, H.U.; Mende, S.B.; Lee, L.-C. Experimental Validation of N2 Emission Ratios in Altitude Profiles of Observed Sprites. Front. Earth Sci. 2021, 9, 687989. [Google Scholar] [CrossRef]
- Stenbaek-Nielsen, H.C.; McHarg, M.G.; Kanmae, T.; Sentman, D.D. Observed emission rates in sprite streamer heads. Geophys. Res. Lett. 2007, 34, L11105. [Google Scholar] [CrossRef]
- Kuo, C.-L.; Chen, A.B.; Chou, J.K.; Tsai, L.Y.; Hsu, R.R.; Su, H.T.; Frey, H.U.; Mende, S.B.; Takahashi, Y.; Lee, L.C. Radiative emission and energy deposition in transient luminous events. J. Phys. D Appl. Phys. 2008, 41, 234014. [Google Scholar] [CrossRef]
- Kuo, C.L.; Williams, E.; Bór, J.; Lin, Y.H.; Lee, L.J.; Huang, S.M.; Chou, J.K.; Chen, A.B.; Su, H.T.; Hsu, R.R.; et al. Ionization emissions associated with N2+ 1N band in halos without visible sprite streamers. J. Geophys. Res. Space Phys. 2013, 118, 5317–5326. [Google Scholar] [CrossRef]
- Qin, J.; Celestin, S.; Pasko, V.P. Dependence of positive and negative sprite morphology on lightning characteristics and upper atmospheric ambient conditions. J. Geophys. Res. Space Phys. 2013, 118, 2623–2638. [Google Scholar] [CrossRef]
- Hu, W.; Cummer, S.A.; Lyons, W.A.; Nelson, T.E. Lightning charge moment changes for the initiation of sprites. Geophys. Res. Lett. 2002, 29, 120-1–120-4. [Google Scholar] [CrossRef]
- Cummer, S.A.; Lyons, W.A. Implications of lightning charge moment changes for sprite initiation. J. Geophys. Res. 2005, 110, A04304. [Google Scholar] [CrossRef]
- Lang, T.J.; Li, J.; Lyons, W.A.; Cummer, S.A.; Rutledge, S.A.; MacGorman, D.R. Transient luminous events above two mesoscale convective systems: Charge moment change analysis. J. Geophys. Res. 2011, 116, A10306. [Google Scholar] [CrossRef]
- Yair, Y.; Price, C.; Ganot, M.; Greenberg, E.; Yaniv, R.; Ziv, B.; Sherez, Y.; Devir, A.; Bór, J.; Sátori, G. Optical observations of transient luminous events associated with winter thunderstorms near the coast of Israel. Atmos. Res. 2009, 91, 529–537. [Google Scholar] [CrossRef]
- Chen, A.B.; Chen, H.; Chuang, C.W.; Cummer, S.A.; Lu, G.; Fang, H.K.; Su, H.T.; Hsu, R. On negative sprites and the polarity paradox. Geophys. Res. Lett. 2019, 46, 9370–9378. [Google Scholar] [CrossRef]
- Liu, N.; Kosar, B.; Sadighi, S.; Dwyer, J.R.; Rassoul, H.K. Formation of Streamer Discharges from an Isolated Ionization Column at Subbreakdown Conditions. Phys. Rev. Lett. 2012, 109, 025002. [Google Scholar] [CrossRef]
- Qin, J.Q.; Celestin, S.; Pasko, V.P. Minimum charge moment change in positive and negative cloud to ground lightning discharges producing sprites. Geophys. Res. Lett. 2012, 39, L22801. [Google Scholar] [CrossRef]
- Qin, J.Q.; Pasko, V.P.; McHarg, M.G.; Stenbaek-Nielsen, H.C. Plasma irregularities in the D-region ionosphere in association with sprite streamer initiation. Nat. Commun. 2014, 5, 536–538. [Google Scholar] [CrossRef]
- Liu, N.; Dwyer, J.; Stenbaek-Nielsen, H.C.; McHarg, M.G. Sprite streamer initiation from natural mesospheric structures. Nat. Commun. 2015, 6, 7540. [Google Scholar] [CrossRef]
- Qin, J.; Celestin, S.; Pasko, V.P.; Cummer, S.A.; McHarg, M.G.; Stenbaek-Nielsen, H.C. Mechanism of column and carrot sprites derived from optical and radio observations. Geophys. Res. Lett. 2013, 40, 4777–4782. [Google Scholar] [CrossRef]
- Li, J.; Cummer, S.; Lu, G.; Zigoneanu, L. Charge moment change and lightning-driven electric fields associated with negative sprites and halos. J. Geophys. Res. 2012, 117, A09310. [Google Scholar] [CrossRef]
- Cummer, S.A.; Inan, U.S. Measurement of charge transfer in sprite-producing lightning using elf radio atmospherics. Geophys. Res. Lett. 1997, 24, 1731–1734. [Google Scholar] [CrossRef]
- Stolzenburg, M.; Marshall, T.C. Charge Structure and Dynamics in Thunderstorms. Space Sci. Rev. 2008, 137, 355–372. [Google Scholar] [CrossRef]
- Yang, J.; Liu, N.Y.; Sato, M.; Lu, G.; Wang, Y.; Feng, G. Characteristics of Thunderstorm Structure and Lightning Activity Causing Negative and Positive Sprites. J. Geophys. Res. 2018, 123, 8190–8207. [Google Scholar] [CrossRef]
- Ren, H.; Lu, G.; Cummer, S.A.; Peng, K.M.; Lyons, W.A.; Liu, F.; Li, X.; Wang, Y.; Zhang, S.; Cheng, Z. Comparison between High-Speed Video Observation of Sprites and Broadband Sferic Measurements. Geophys. Res. Lett. 2021, 48, e2021GL093094. [Google Scholar] [CrossRef]
- Pasko, V.P.; Inan, U.S.; Bell, T.F. Spatial structure of sprites. Geophys. Res. Lett. 1998, 25, 2123–2126. [Google Scholar] [CrossRef]
- Luque, A.; Ebert, U. Sprites in varying air density: Charge conservation, glowing negative trails and changing velocity. Geophys. Res. Lett. 2010, 37, L06806. [Google Scholar] [CrossRef]
- Liu, N. Multiple ion species fluid modeling of sprite halos and the role of electron detachment of O− in their dynamics. J. Geophys. Res. 2012, 117, A03308. [Google Scholar] [CrossRef]
- Qin, J.; Pasko, V.P. Dynamics of sprite streamers in varying air density. Geophys. Res. Lett. 2015, 42, 2031–2036. [Google Scholar] [CrossRef]
- Brook, M.; Nakano, M.; Krehbiel, P.; Takeuti, T. The electrical structure of the hokuriku winter thunderstorms. J. Geophys. Res. 1982, 87, 1207–1215. [Google Scholar] [CrossRef]
- Levin, Z.; Yair, Y.; Ziv, B. Positive cloud-to-ground flashes and wind shear in Tel-Aviv thunderstorms. Geophys. Res. Lett. 1996, 23, 2231–2234. [Google Scholar] [CrossRef]
- Lang, T.J.; Rutledge, S.A.; Wiens, K.C. Origins of positive cloud-to-ground lightning flashes in the stratiform region of a mesoscale convective system. Geophys. Res. Lett. 2004, 31, L10105. [Google Scholar] [CrossRef]
- Lang, T.J.; Cummer, S.A.; Rutledge, S.A.; Lyons, W.A. The meteorology of negative cloud-to-ground lightning strokes with large charge moment changes: Implications for negative sprites. J. Geophys. Res. Atmos. 2013, 118, 7886–7896. [Google Scholar] [CrossRef]
- Asano, T.; Suzuki, T.; Hayakawa, M.; Cho, M. Three dimensional EM computer simulation on sprite initiation above a horizontal lightning discharge. J. Atmos. Sol. Terr. Phys. 2009, 71, 983–990. [Google Scholar] [CrossRef]
- Kabirzadeh, R.; Lehtinen, N.G.; Inan, U.S. Latitudinal dependence of static mesospheric E-fields above thunderstorms. Geophys. Res. Lett. 2015, 42, 4208–4215. [Google Scholar] [CrossRef]
- Zhang, J.B.; Zhang, Q.L.; Guo, X.F.; Hou, W.H.; Gao, H.Y. Simulated impacts of atmospheric gravity waves on the initiation and optical emissions of sprite halos in the mesosphere. Sci. China Earth Sci. 2019, 62, 631–642. [Google Scholar] [CrossRef]
- Haspel, C.; Tzabari, M.; Yair, Y. The influence of symmetric and non-symmetric charge configurations on the possibility of sprite inception: Numerical experiments with a 3D electrostatic model. J. Atmos. Sol. Terr. Phys. 2020, 202, 105245. [Google Scholar] [CrossRef]
- Haspel, C.; Kurtser, G.; Yair, Y. The feasibility of a 3D time-dependent model for predicting the area of possible sprite inception in the mesosphere based on an analytical solution to Poisson’s equation. J. Atmos. Sol. Terr. Phys. 2022, 230, 105853. [Google Scholar] [CrossRef]
- Haspel, C.; Yair, Y. Numerical simulations of the region of possible sprite inception in the mesosphere above winter thunderstorms under wind shear. arXiv 2024, arXiv:2404.14794. Available online: https://arxiv.org/abs/2404.14794 (accessed on 23 April 2024). [CrossRef]
- Zhang, J.; Niu, J.; Xie, Z.; Wang, Y.; Li, X.; Zhang, Q. Modeling the Effect of Ionospheric Electron Density Profile and Its Inhomogeneities on Sprite Halos. Atmosphere 2024, 15, 1169. [Google Scholar] [CrossRef]
- Dejnakarintra, M.; Park, C.G. Lightning-induced electric fields in the ionosphere. J. Geophys. Res. Atmos. 1974, 79, 1903–1910. [Google Scholar] [CrossRef]
- Hegerberg, R.; Reid, I.D. Electron drift velocities in air. Aust. J. Phys. 1980, 33, 227–238. Available online: https://www.publish.csiro.au/PH/pdf/PH800227a (accessed on 25 December 1979). [CrossRef]
- Picone, J.M.; Hedin, A.E.; Drob, D.P.; Aikin, A.C. NRLMSISE-00 empirical model of the atmosphere: Statistical comparisons and scientific issues. J. Geophys. Res. 2002, 107, SIA 15-1–SIA 15-16. [Google Scholar] [CrossRef]
- Han, F.; Cummer, S.A. Midlatitude nighttime D region ionosphere variability on hourly to monthly time scales. J. Geophys. Res. Atmos. 2010, 115, A09323. [Google Scholar] [CrossRef]
- Papadopoulos, K.; Milikh, G.; Gurevich, A.; Drobot, A.; Shanny, R. Ionization rates for atmospheric and ionospheric breakdown. J. Geophys. Res. Space Phys. 1993, 98, 17593–17596. [Google Scholar] [CrossRef]
- Valence-Jones, A. Aurora; D. Reidel Publishing Co.: Dordrecht, The Netherlands, 1974; p. 119. [Google Scholar]
- Sipler, D.P.; Biondi, M.A. Measurements of O(1D) quenching rates in the F region. J. Geophys. Res. Space Phys. 1972, 77, 6202–6212. [Google Scholar] [CrossRef]
- Taranenko, Y.N.; Inan, U.S.; Bell, T.F. Interaction with the lower ionosphere of electromagnetic pulses from lightning: Heating, attachment, and ionization. Geophys. Res. Lett. 1993, 20, 1539–1542. [Google Scholar] [CrossRef]
- Taranenko, Y.N.; Inan, U.S.; Bell, T.F. Interaction with the lower ionosphere of electromagnetic pulses from lightning: Excitation of optical emissions. Geophys. Res. Lett. 1993, 20, 2675–2678. [Google Scholar] [CrossRef]
- Miyasato, R.; Taylor, M.J.; Fukunishi, H.; Stenbaek-Nielsen, H.C. Statistical characteristics of sprite halo events using coincident photometric and imaging data. Geophys. Res. Lett. 2002, 29, 29-1–29-4. [Google Scholar] [CrossRef]
- Tong, L.-z.; Hiraki, Y.; Nanbu, K.; Fukunishi, H. Release of positive charges producing sprite halos. J. Atmos. Sol. Terr. Phys. 2005, 67, 829–838. [Google Scholar] [CrossRef]
- Lu, G.; Cummer, S.A.; Li, J.; Zigoneanu, L.; Lyons, W.A.; Stanley, M.A.; Rison, W.; Krehbiel, P.R.; Edens, H.E.; Thomas, R.J.; et al. Coordinated observations of sprites and in-cloud lightning flash structure. J. Geophys. Res. Atmos. 2013, 118, 6607–6632. [Google Scholar] [CrossRef]
- Yair, Y.; Rubanenko, L.; Mezuman, K.; Elhalel, G.; Pariente, M.; Glickman-Pariente, M.; Ziv, B.; Takahashi, Y.; Inoue, T. New color images of transient luminous events from dedicated observations on the International Space Station. J. Atmos. Sol. Terr. Phys. 2013, 102, 140–147. [Google Scholar] [CrossRef]
- Sato, M.; Mihara, M.; Adachi, T.; Ushio, T.; Morimoto, T.; Kikuchi, M.; Kikuchi, H.; Suzuki, M.; Yamazaki, A.; Takahashi, Y.; et al. Horizontal distributions of sprites derived from the JEM-GLIMS nadir observations. J. Geophys. Res. Atmos. 2016, 121, 3171–3194. [Google Scholar] [CrossRef]
- Zhang, J.B.; Zhang, Q.L.; Gu, J.Y. Simulated Impacts of Two Adjacent Cloud-To-Ground Lightning Flashes on the Sprite Inception by Using a Three-Dimensional EMP Model. In Proceedings of the 2022 Asia-Pacific International Symposium on Electromagnetic Compatibility (APEMC), Beijing, China, 1–4 September 2022. [Google Scholar] [CrossRef]














| Band | |||
|---|---|---|---|
| 0 | |||
| 0 | |||
| 0 | |||
| 0 | |||
| 0 |
| Band | a0 | a1 | a2 | a3 |
|---|---|---|---|---|
| −1301.0 | 563.03 | −80.715 | 3.8647 | |
| −1877.1 | 814.70 | −117.46 | 5.6554 | |
| −1760.0 | 724.70 | −99.549 | 4.5862 | |
| −1802.4 | 750.91 | −104.28 | 4.8508 | |
| −2061.1 | 870.25 | −122.43 | 5.7668 |
Disclaimer/Publisher’s Note: The statements, opinions and data contained in all publications are solely those of the individual author(s) and contributor(s) and not of MDPI and/or the editor(s). MDPI and/or the editor(s) disclaim responsibility for any injury to people or property resulting from any ideas, methods, instructions or products referred to in the content. |
© 2024 by the authors. Licensee MDPI, Basel, Switzerland. This article is an open access article distributed under the terms and conditions of the Creative Commons Attribution (CC BY) license (https://creativecommons.org/licenses/by/4.0/).
Share and Cite
Zhang, J.; Niu, J.; Xie, Z.; Wang, Y.; Li, X.; Zhang, Q. Simulated Impacts of Thundercloud Charge Distributions on Sprite Halos Using a 3D Quasi-Electrostatic Field Model. Atmosphere 2024, 15, 1395. https://doi.org/10.3390/atmos15111395
Zhang J, Niu J, Xie Z, Wang Y, Li X, Zhang Q. Simulated Impacts of Thundercloud Charge Distributions on Sprite Halos Using a 3D Quasi-Electrostatic Field Model. Atmosphere. 2024; 15(11):1395. https://doi.org/10.3390/atmos15111395
Chicago/Turabian StyleZhang, Jinbo, Jiawei Niu, Zhibin Xie, Yajun Wang, Xiaolong Li, and Qilin Zhang. 2024. "Simulated Impacts of Thundercloud Charge Distributions on Sprite Halos Using a 3D Quasi-Electrostatic Field Model" Atmosphere 15, no. 11: 1395. https://doi.org/10.3390/atmos15111395
APA StyleZhang, J., Niu, J., Xie, Z., Wang, Y., Li, X., & Zhang, Q. (2024). Simulated Impacts of Thundercloud Charge Distributions on Sprite Halos Using a 3D Quasi-Electrostatic Field Model. Atmosphere, 15(11), 1395. https://doi.org/10.3390/atmos15111395

