Characterization of the Elemental Composition of Aerosols Emitted in the Dry Season of the Pantanal Wetland, Brazil
Abstract
1. Introduction
2. Materials and Methods
2.1. Study Site and Sampling
2.2. Complementary Measures and Methods
3. Results and Discussion
3.1. Variations in PM2.5 and BC Concentrations
3.2. Meteorological Influences
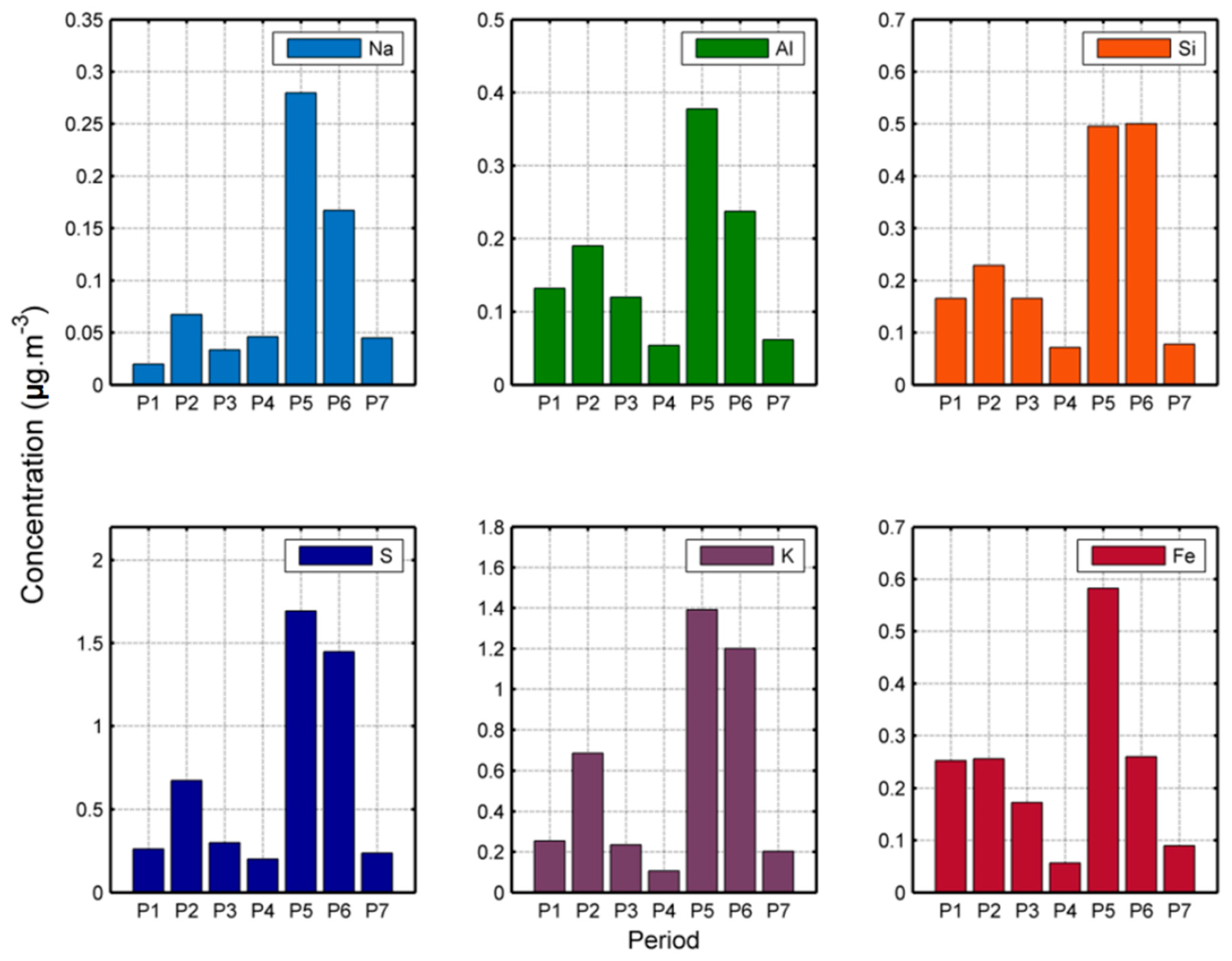
3.3. Elemental Concentration and Enrichment Factor
4. Conclusions
Author Contributions
Funding
Institutional Review Board Statement
Informed Consent Statement
Data Availability Statement
Acknowledgments
Conflicts of Interest
References
- IPCC AR5 Climate Change 2013: The Physical Science Basis; IPCC: Geneva, Switzerland, 2013; Volume 92, ISBN 9781107415324.
- Kumar, M.; Raju, M.P.; Singh, R.S.; Banerjee, T. Impact of Drought and Normal Monsoon Scenarios on Aerosol Induced Radiative Forcing and Atmospheric Heating in Varanasi over Middle Indo-Gangetic Plain. J. Aerosol Sci. 2017, 113, 95–107. [Google Scholar] [CrossRef]
- Kumar, K.R.; Sivakumar, V.; Yin, Y.; Reddy, R.R.; Kang, N.; Diao, Y.; Adesina, A.J.; Yu, X. Long-Term (2003–2013) Climatological Trends and Variations in Aerosol Optical Parameters Retrieved from MODIS over Three Stations in South Africa. Atmos. Environ. 2014, 95, 400–408. [Google Scholar] [CrossRef]
- Kang, N.; Kumar, K.R.; Hu, K.; Yu, X.; Yin, Y. Long-Term (2002–2014) Evolution and Trend in Collection 5.1 Level-2 Aerosol Products Derived from the MODIS and MISR Sensors over the Chinese Yangtze River Delta. Atmos. Res. 2016, 181, 29–43. [Google Scholar] [CrossRef]
- Rizzo, L.V.; Artaxo, P.; Müller, T.; Wiedensohler, A.; Paixão, M.; Cirino, G.G.; Arana, A.; Swietlicki, E.; Roldin, P.; Fors, E.O.; et al. Long Term Measurements of Aerosol Optical Properties at a Primary Forest Site in Amazonia. Atmos. Chem. Phys. 2013, 13, 2391–2413. [Google Scholar] [CrossRef]
- Thornhill, G.D.; Ryder, C.L.; Highwood, E.J.; Shaffrey, L.C.; Johnson, B.T. The Effect of South American Biomass Burning Aerosol Emissions on the Regional Climate. Atmos. Chem. Phys. 2018, 18, 5321–5342. [Google Scholar] [CrossRef]
- Bond, T.C.; Doherty, S.J.; Fahey, D.W.; Forster, P.M.; Berntsen, T.; Deangelo, B.J.; Flanner, M.G.; Ghan, S.; Kärcher, B.; Koch, D.; et al. Bounding the Role of Black Carbon in the Climate System: A Scientific Assessment. J. Geophys. Res. Atmos. 2013, 118, 5380–5552. [Google Scholar] [CrossRef]
- Bennett, J.E.; Tamura-Wicks, H.; Parks, R.M.; Burnett, R.T.; Pope, C.A.; Bechle, M.J.; Marshall, J.D.; Danaei, G.; Ezzati, M. Particulate Matter Air Pollution and National and County Life Expectancy Loss in the USA: A Spatiotemporal Analysis. PLoS Med. 2019, 16, 1002856. [Google Scholar] [CrossRef]
- Requia, W.J.; Amini, H.; Mukherjee, R.; Gold, D.R.; Schwartz, J.D. Health Impacts of Wildfire-Related Air Pollution in Brazil: A Nationwide Study of More than 2 Million Hospital Admissions between 2008 and 2018. Nat. Commun. 2021, 12, 6555. [Google Scholar] [CrossRef]
- IPCC. Climate Change 2022: Impacts, Adaptation, and Vulnerability. Contribution of Working Group II to the Sixth Assessment Report of the Intergovernmental Panel on Climate Change; IPCC: Cambridge, UK, 2022. [Google Scholar]
- de Andrade Filho, V.S.; Artaxo, P.; Hacon, S.; do Carmo, C.N.; Cirino, G. Aerossois de Queimadas e Doencas Respiratorias em Criancas, Manaus, Brasil. Rev. Saude Publica 2013, 47, 239–247. [Google Scholar] [CrossRef]
- Brunelli, T.C.; Paiva, S.; Yara, A.; Elizeu, C.; Otávio, L.; Basso, J. Environmental parameters and relationships with COVID-19 cases in central South America. Quim. Nova 2021, 44, 1236–1244. [Google Scholar] [CrossRef]
- Jacobson, L.d.S.V.; de Oliveira, B.F.A.; Schneider, R.; Gasparrini, A.; Hacon, S.d.S. Mortality Risk from Respiratory Diseases Due to Non-Optimal Temperature among Brazilian Elderlies. Int. J. Environ. Res. Public Health 2021, 18, 5550. [Google Scholar] [CrossRef] [PubMed]
- Arana, A.; Artaxo, P. Composição Elementar do Aerossol Atmosférico na Região Central da Bacia Amazônica. Quim. Nova 2014, 37, 268–276. [Google Scholar] [CrossRef]
- Rizzo, L.V.; Correia, A.L.; Artaxo, P.; Procápio, A.S.; Andreae, M.O. Spectral Dependence of Aerosol Light Absorption over the Amazon Basin. Atmos. Chem. Phys. 2011, 11, 8899–8912. [Google Scholar] [CrossRef]
- Rizzo, L.V.; Roldin, P.; Brito, J.; Backman, J.; Swietlicki, E.; Krejci, R.; Tunved, P.; Petäjä, T.; Kulmala, M.; Artaxo, P. Multi-Year Statistical and Modeling Analysis of Submicrometer Aerosol Number Size Distributions at a Rain Forest Site in Amazonia. Atmos. Chem. Phys. 2018, 18, 10255–10274. [Google Scholar] [CrossRef]
- Saturno, J.; Holanda, B.A.; Pöhlker, C.; Ditas, F.; Wang, Q.; Moran-Zuloaga, D.; Brito, J.; Carbone, S.; Cheng, Y.; Chi, X.; et al. Black and Brown Carbon over Central Amazonia: Long-Term Aerosol Measurements at the ATTO Site. Atmos. Chem. Phys. 2018, 18, 12817–12843. [Google Scholar] [CrossRef]
- Ponczek, M.; Franco, M.A.; Carbone, S.; Rizzo, L.V.; Monteiro dos Santos, D.; Morais, F.G.; Duarte, A.; Barbosa, H.M.J.; Artaxo, P. Linking the Chemical Composition and Optical Properties of Biomass Burning Aerosols in Amazonia. Environ. Sci. Atmos. 2021, 2, 252–269. [Google Scholar] [CrossRef]
- Santos, A.C.A.; Finger, A.; De Souza Nogueira, J.; Curado, L.F.A.; Da Silva Palácios, R.; Pereira, V.M.R. Análise Da Concentração e Composição de Aerossóis de Queimadas do Pantanal Mato-Grosso. Quim. Nova 2016, 39, 919–924. [Google Scholar] [CrossRef]
- Marengo, J.A.; Cunha, A.P.; Cuartas, L.A.; Deusdará Leal, K.R.; Broedel, E.; Seluchi, M.E.; Michelin, C.M.; De Praga Baião, C.F.; Chuchón Ângulo, E.; Almeida, E.K.; et al. Extreme Drought in the Brazilian Pantanal in 2019–2020: Characterization, Causes, and Impacts. Front. Water 2021, 3, 639204. [Google Scholar] [CrossRef]
- Palácios, R.; Romera, K.; Rizzo, L.; Cirino, G.; Adams, D.; Imbiriba, B.; Nassarden, D.; Rothmund, L.; Siqueira, A.; Basso, J.; et al. Optical Properties and Spectral Dependence of Aerosol Light Absorption over the Brazilian Pantanal. Atmos. Pollut. Res. 2022, 13, 101413. [Google Scholar] [CrossRef]
- Libonati, R.; Geirinhas, J.o.L.; Silva, P.S.; Russo, A.; Rodrigues, J.A.; Belém, L.B.C.; Nogueira, J.; Roque, F.O.; Dacamara, C.C.; Nunes, A.M.B.; et al. Assessing the Role of Compound Drought and Heatwave Events on Unprecedented 2020 Wildfires in the Pantanal. Environ. Res. Lett. 2022, 17, 015005. [Google Scholar] [CrossRef]
- Garcia, L.C.; Szabo, J.K.; de Oliveira Roque, F.; de Matos Martins Pereira, A.; Nunes da Cunha, C.; Damasceno-Júnior, G.A.; Morato, R.G.; Tomas, W.M.; Libonati, R.; Ribeiro, D.B. Record-Breaking Wildfires in the World’s Largest Continuous Tropical Wetland: Integrative Fire Management Is Urgently Needed for Both Biodiversity and Humans. J. Environ. Manag. 2021, 293, 112870. [Google Scholar] [CrossRef] [PubMed]
- Kumar, S.; Getirana, A.; Libonati, R.; Hain, C.; Mahanama, S.; Andela, N. Changes in Land Use Enhance the Sensitivity of Tropical Ecosystems to Fire-Climate Extremes. Sci. Rep. 2022, 12, 964. [Google Scholar] [CrossRef]
- Martins, P.I.; Belém, L.B.C.; Szabo, J.K.; Libonati, R.; Garcia, L.C. Prioritising Areas for Wildfire Prevention and Post-Fire Restoration in the Brazilian Pantanal. Ecol. Eng. 2022, 176, 106517. [Google Scholar] [CrossRef]
- Köppen, G.W.; Geiger, M.R. Handbuch Der Klimatologie; Salzwasser: Berlin, Germany, 1936. [Google Scholar]
- Guimarães, D.P.; Landau, E.C.; Santos, M.C.B.; Mendes, S.H.G.d.S. Caracterização de Chuvas do Pantanal Mato-Grossense; Embrapa: Brasilia, Brasil, 2018; Volume 15. [Google Scholar]
- Holben, B.N.; Eck, T.F.; Slutsker, I.; Tanré, D.; Buis, J.P.; Setzer, A.; Vermote, E.; Reagan, J.A.; Kaufman, Y.J.; Nakajima, T.; et al. AERONET—A Federated Instrument Network and Data Archive for Aerosol Characterization. Remote Sens. Environ. 1998, 66, 1–16. [Google Scholar] [CrossRef]
- Artaxo, P.; Martins, J.V.; Yamasoe, M.A.; Procópio, A.S.; Pauliquevis, T.M.; Andreae, M.O.; Guyon, P.; Gatti, L.V.; Leal, A.M.C. Physical and Chemical Properties of Aerosols in the Wet and Dry Seasons in Rondônia, Amazonia. J. Geophys. Res. Atmos. 2002, 107, LBA 49-1–LBA 49-14. [Google Scholar] [CrossRef]
- Maenhaut, W.; Raes, N.; Chi, X.; Cafmeyer, J.; Wang, W.; Salma, I. Chemical Composition and Mass Closure for Fine and Coarse Aerosols at a Kerbside in Budapest, Hungary, in Spring 2002. X-Ray Spectrom. 2005, 34, 290–296. [Google Scholar] [CrossRef]
- Mcmurry, P.H. A Review of Atmospheric Aerosol Measurements. Atmos. Environ. 2000, 34, 1959–1999. [Google Scholar] [CrossRef]
- Veltkamp, P.R.; Hansen, K.J.; Barkley, R.M.; Sievers, R.E. Principal Component Analysis of Summertime Organic Aerosols at Niwot Ridge, Colorado. JGR Atmos. 1996, 101, 495–504. [Google Scholar] [CrossRef]
- Morais, F.G. Estudo das Propriedades de Absorção de Brown Carbon e Black Carbon Utilizando Sensoriamento Remoto e Medidas In Situ Na Amazônia; Instituto de Pesquisas Energéticas e Nucleares: Sao Paolo, Brasil, 2022. [Google Scholar]
- Arana, A.A. Aerossóis Atmosféricos Na Amazônia: Composição Orgânica e Inorgânica em Regiões Com Diferentes Usos do Solo. Ph.D. Thesis, Universidade Estadual do Amazonas, Manaus, Brasil, 2014. [Google Scholar]
- Vieira, E.V.R.; do Rosario, N.E.; Yamasoe, M.A.; Morais, F.G.; Martinez, P.J.P.; Landulfo, E.; Maura de Miranda, R. Chemical Characterization and Optical Properties of the Aerosol in São Paulo, Brazil. Atmosphere 2023, 14, 1460. [Google Scholar] [CrossRef]
- Sena, E.T.; Artaxo, P.; Correia, A.L. Spatial Variability of the Direct Radiative Forcing of Biomass Burning Aerosols and the Effects of Land Use Change in Amazonia. Atmos. Chem. Phys. 2013, 13, 1261–1275. [Google Scholar] [CrossRef]
- Santanna, F.B.; De Almeida Filho, E.O.; Vourlitis, G.L.; De Arruda, P.H.Z.; Da Silva Palácios, R.; De Souza Nogueira, J. Elemental Composition of PM10 and PM2.5 for A Savanna (Cerrado) Region of Southern Amazonia. Quim. Nova 2016, 39, 1170–1176. [Google Scholar] [CrossRef]
- Duce, R.A.; Hoffman, G.L.; Zoller, W.H. Atmospheric Trace Metals at Remote Northern and Southern Hemisphere Sites: Pollution or Natural? Science 1975, 187, 59–61. [Google Scholar] [CrossRef] [PubMed]
- Zoller, W.H.; Duce, E.S. Atmospheric Concentrations and Sources of Trace Metals at the South Pole. Science 1974, 183, 198–200. [Google Scholar] [CrossRef] [PubMed]
- Marcazzan, G.M.; Vaccaro, S.; Valli, G.; Vecchi, R. Characterisation of PM10 and PM2.5 Particulate Matter in the Ambient Air of Milan (Italy). Atmos. Environ. 2001, 35, 4639–4650. [Google Scholar] [CrossRef]
- Braga, C.F.; Teixeira, E.C.; Meira, L.; Wiegand, F.; Yoneama, M.L.; Dias, J.F. Elemental Composition of PM10 and PM2.5 in Urban Environment in South Brazil. Atmos. Environ. 2005, 39, 1801–1815. [Google Scholar] [CrossRef]
- Artaxo, P.; Rizzo, L.V.; Brito, J.F.; Barbosa, H.M.J.; Arana, A.; Sena, E.T.; Cirino, G.G.; Bastos, W.; Martin, S.T.; Andreae, M.O. Atmospheric Aerosols in Amazonia and Land Use Change: From Natural Biogenic to Biomass Burning Conditions. Faraday Discuss. 2013, 165, 203–235. [Google Scholar] [CrossRef]
- Palácios, R.d.S.; Romera, K.S.; Curado, L.F.A.; Banga, N.M.; Rothmund, L.D.; Sallo, F.d.S.; Morais, D.; Santos, A.C.A.; Moraes, T.J.; Morais, F.G.; et al. Long Term Analysis of Optical and Radiative Properties of Aerosols in the Amazon Basin. Aerosol Air Qual. Res. 2020, 20, 139–154. [Google Scholar] [CrossRef]
- Palácios, R.; Castagna, D.; Barbosa, L.; Souza, A.P.; Imbiriba, B.; Zolin, C.A.; Nassarden, D.; Duarte, L.; Morais, F.G.; Franco, M.A.; et al. ENSO Effects on the Relationship between Aerosols and Evapotranspiration in the South of the Amazon Biome. Environ. Res. 2024, 250, 118516. [Google Scholar] [CrossRef]
- Curado, L.F.A.; de Paulo, S.R.; da Silva, H.J.A.; Palácios, R.S.; Marques, J.B.; de Paulo, I.J.C.; Dalmagro, H.J.; Rodrigues, T.R. Effect of Biomass Burning Emission on Carbon Assimilation over Brazilian Pantanal. Theor. Appl. Climatol. 2024, 155, 999–1006. [Google Scholar] [CrossRef]
- Huang, Y.; Mahrt, F.; Xu, S.; Shiraiwa, M.; Zuend, A.; Bertram, A.K. Coexistence of Three Liquid Phases in Individual Atmospheric Aerosol Particles. Proc. Natl. Acad. Sci. USA 2021, 118, e2102512118. [Google Scholar] [CrossRef]
- Palancar, G.G.; Olcese, L.E.; Lanzaco, B.L.; Achad, M.; López, M.L.; Toselli, B.M. Aerosol Radiative Forcing Efficiency in the UV-B Region over Central Argentina. Atmos. Res. 2016, 176–177, 1–9. [Google Scholar] [CrossRef]
- Caumo, S.; Lázaro, W.L.; Sobreira Oliveira, E.; Beringui, K.; Gioda, A.; Massone, C.G.; Carreira, R.; de Freitas, D.S.; Ignacio, A.R.A.; Hacon, S. Human Risk Assessment of Ash Soil after 2020 Wildfires in Pantanal Biome (Brazil). Air Qual. Atmos. Health 2022, 15, 2239–2254. [Google Scholar] [CrossRef] [PubMed]
- Garba, S.; Abubakar, M. Source and Distribution of The Heavy Metals: Pb, Cd, Cu, Zn, Fe, Cr, and Mn in Soils of Bauchi Metropolis, Nigeria. Am. J. Eng. Res. 2018, 7, 13–22. [Google Scholar]
- Possanzini, M.; Buttini, P.; Di Palo, V. Characterization of a Rural Area in Terms of Dry and Wet Deposition. Sci. Total Environ. 1988, 74, 111–120. [Google Scholar] [CrossRef]
- Andreae, M.A. Soot Carbon and Excess Fine Potassium: Long-Range Transport of Combustion-Derived Aerosols. Science 1983, 220, 1148–1151. [Google Scholar] [CrossRef] [PubMed]
- Urban, R.C.; Lima-Souza, M.; Caetano-Silva, L.; Queiroz, M.E.C.; Nogueira, R.F.P.; Allen, A.G.; Cardoso, A.A.; Held, G.; Campos, M.L.A.M. Use of Levoglucosan, Potassium, and Water-Soluble Organic Carbon to Characterize the Origins of Biomass-Burning Aerosols. Atmos. Environ. 2012, 61, 562–569. [Google Scholar] [CrossRef]
- Caumo, S.; Yera, A.B.; Vicente, A.; Alves, C.; Roubicek, D.A.; de Castro Vasconcellos, P. Particulate Matter–Bound Organic Compounds: Levels, Mutagenicity, and Health Risks. Environ. Sci. Pollut. Res. 2022, 29, 31293–31310. [Google Scholar] [CrossRef] [PubMed]
- Reid, J.S.; Hobbs, P.V.; Ferek, R.J.; Blake, D.R.; Martins, J.V.; Dunlap, M.R.; Liousse, C. Physical, Chemical, and Optical Properties of Regional Hazes Dominated by Smoke in Brazil. J. Geophys. Res. Atmos. 1998, 103, 32059–32080. [Google Scholar] [CrossRef]







| Fine Particulate Matter BAPP Pantanal (Dry Season) | ||||
|---|---|---|---|---|
| Mean | Σ | Min | Max | |
| PM | 36.62 | 31.69 | 7.02 | 83.66 |
| BC | 1.83 | 1.65 | 0.37 | 3.72 |
| Na | 94.05 | 95.33 | 19.68 | 279.87 |
| Mg | 28.12 | 27.45 | 0.86 | 81.81 |
| Al | 167.60 | 113.47 | 53.82 | 377.72 |
| Si | 243.52 | 181.99 | 71.59 | 500.15 |
| P | 33.54 | 38.88 | 5.74 | 98.82 |
| S | 688.32 | 627.43 | 200.90 | 1693.09 |
| Cl | 2.19 | 3.13 | 0.05 | 8.55 |
| K | 582.71 | 524.06 | 106.69 | 1392.17 |
| Ca | 49.07 | 45.44 | 11.56 | 132.15 |
| Ti | 18.93 | 21.01 | 0.02 | 53.30 |
| Cr | 2.05 | 1.71 | 0.42 | 4.62 |
| Mn | 3.86 | 3.30 | 0.74 | 8.65 |
| Fe | 238.28 | 172.63 | 56.47 | 582.40 |
| Ni | 0.53 | 0.49 | 0.11 | 1.45 |
| Cu | 2.65 | 3.15 | 0.69 | 9.16 |
| Zn | 7.66 | 7.22 | 1.33 | 22.49 |
| As | 0.14 | 0.10 | 0.01 | 0.31 |
| Se | 0.12 | 0.16 | 0.00 | 0.45 |
| Br | 8.62 | 7.47 | 2.36 | 18.84 |
| Rb | 0.98 | 0.80 | 0.20 | 2.53 |
| Sr | 2.27 | 3.96 | 0.00 | 11.00 |
| Cd | 8.56 | 8.48 | 0.85 | 22.37 |
| Sb | 5.47 | 4.55 | 1.78 | 13.39 |
| Pb | 4.28 | 9.16 | 0.08 | 24.93 |
| PM2.5 | BC | Local | Period | Reference |
|---|---|---|---|---|
| 3.40 ± 2.00 | 0.23 ± 0.15 | ZF2 Amazon Forest | 2008–2012 | Artaxo et al. [43] |
| 33.00 ± 36.00 | 2.80 ± 2.92 | PVH Amazon deforested | 2009–2012 | Artaxo et al. [43] |
| 1.65 ± 0.92 | 0.09 ± 0.06 | ZF2 Amazon Forest | 2008 | Arana and Artaxo [14] |
| 7.60 ± 3.70 | 1.20 ± 0.80 | Cuiabá | 2004 | Santanna et al. [37] |
| 26.72 ± 14.20 | 2.27 ± 1.30 | São Paulo | 2019 | Vieira et al. [35] |
| 8.66 ± 3.14 | 0.76 ± 0.42 | Pantanal | 2012 | Santos et al. [19] |
| -- | 0.75 ± 0.83 | Pantanal | 2017–2019 | Palácios et al. [21] |
| 36.62 ± 31.69 | 1.83 ± 1.65 | Pantanal | 2022 | This work |
Disclaimer/Publisher’s Note: The statements, opinions and data contained in all publications are solely those of the individual author(s) and contributor(s) and not of MDPI and/or the editor(s). MDPI and/or the editor(s) disclaim responsibility for any injury to people or property resulting from any ideas, methods, instructions or products referred to in the content. |
© 2024 by the authors. Licensee MDPI, Basel, Switzerland. This article is an open access article distributed under the terms and conditions of the Creative Commons Attribution (CC BY) license (https://creativecommons.org/licenses/by/4.0/).
Share and Cite
Ramos, L.C.; Brunelli, T.C.; Vicentin, F.C.; Curado, L.F.A.; Lima, A.M.d.S.; Morais, F.G.; Palácios, R.d.S.; Oliveira, N.N.d.; Marques, J.B. Characterization of the Elemental Composition of Aerosols Emitted in the Dry Season of the Pantanal Wetland, Brazil. Atmosphere 2024, 15, 1361. https://doi.org/10.3390/atmos15111361
Ramos LC, Brunelli TC, Vicentin FC, Curado LFA, Lima AMdS, Morais FG, Palácios RdS, Oliveira NNd, Marques JB. Characterization of the Elemental Composition of Aerosols Emitted in the Dry Season of the Pantanal Wetland, Brazil. Atmosphere. 2024; 15(11):1361. https://doi.org/10.3390/atmos15111361
Chicago/Turabian StyleRamos, Lucas Cardoso, Thais Costa Brunelli, Flávio César Vicentin, Leone Francisco Amorim Curado, André Matheus de Souza Lima, Fernando Gonçalves Morais, Rafael da Silva Palácios, Nicolas Neves de Oliveira, and João Basso Marques. 2024. "Characterization of the Elemental Composition of Aerosols Emitted in the Dry Season of the Pantanal Wetland, Brazil" Atmosphere 15, no. 11: 1361. https://doi.org/10.3390/atmos15111361
APA StyleRamos, L. C., Brunelli, T. C., Vicentin, F. C., Curado, L. F. A., Lima, A. M. d. S., Morais, F. G., Palácios, R. d. S., Oliveira, N. N. d., & Marques, J. B. (2024). Characterization of the Elemental Composition of Aerosols Emitted in the Dry Season of the Pantanal Wetland, Brazil. Atmosphere, 15(11), 1361. https://doi.org/10.3390/atmos15111361

