Next Article in Journal
Characteristics and Driving Factors of Energy Balance over Different Underlying Surfaces in the Qinghai Plateau
Next Article in Special Issue
Precipitation Retrieval from FY-3G/MWRI-RM Based on SMOTE-LGBM
Previous Article in Journal
Examine the Role of Indo-Pacific Sea Surface Temperatures in Recent Meteorological Drought in Sudan
Previous Article in Special Issue
Monitoring Snow Cover in Typical Forested Areas Using a Multi-Spectral Feature Fusion Approach
 
 
Font Type:
Arial Georgia Verdana
Font Size:
Aa Aa Aa
Line Spacing:
Column Width:
Background:
Article

A Methodological Approach to Improving Extreme Precipitation Reanalysis Data Using the Clausius-Clapeyron Relationship: A Case Study in a Mediterranean City

by
Alexandros Papadopoulos-Zachos
* and
Christina Anagnostopoulou
Department of Meteorology and Climatology, School of Geology, Aristotle University of Thessaloniki, 54124 Thessaloniki, Greece
*
Author to whom correspondence should be addressed.
Atmosphere 2024, 15(10), 1195; https://doi.org/10.3390/atmos15101195
Submission received: 29 July 2024 / Revised: 13 September 2024 / Accepted: 3 October 2024 / Published: 6 October 2024
(This article belongs to the Special Issue Precipitation Monitoring and Databases)

Abstract

Climate change is a crucial issue of the 21st century, leading to more frequent and severe extreme precipitation events globally. These events result in significant social and economic disruptions, including flooding, loss of life, and damage to infrastructure. Projections suggest that extreme rainfall will intensify in the latter half of the century, underscoring the need for accurate and timely forecasting. Despite advancements in meteorological and climate models that offer high accuracy for various weather parameters, these models still struggle to detect extreme values, particularly for precipitation. This research examines the sensitivity of extreme precipitation events to temperature, based on the Clausius-Clapeyron relationship, focusing on Thessaloniki, Greece. It also evaluates the effectiveness of reanalysis data in identifying extreme precipitation and explores how rainfall-temperature relationships can enhance prediction accuracy. The findings are vital for improving the estimation of extreme rainfall events and informing the design of flood-resilient infrastructure.

1. Introduction

One of the most significant impacts of climate change concerns disruptions in the hydrological cycle. These disruptions are not expected to be uniform, unlike temperature increases. In some regions, there is a trend towards increased average precipitation, while in others, a decrease is expected. Specifically, reductions are observed in subtropical areas and increases in higher latitudes, particularly in North America, Eurasia, and Argentina. Negative trends are particularly observed in the Mediterranean, southern Asia, and Africa [1,2]. Changes in extremes do not necessarily align with changes in average precipitation. Extreme precipitation events generally show increasing trends worldwide, even in regions where a decrease in average precipitation is observed [2]. Particularly in drier areas, the increase in extremes appears to be significantly greater, as evidenced by both observations and model simulations [3].
One of the most fundamental equations in thermodynamics is the Clausius-Clapeyron (CC) relation. This differential equation connects the pressure of a substance with the temperature in a system where two phases of that substance are in equilibrium. In meteorology and climatology, the most well-known form of the equation is the following:
d e s e s = L u R u d T T 2
where:
  • e s is the saturation vapor pressure,
  • T is the air temperature in degrees Kelvin (K),
  • L u is the latent heat of vaporization of water,
  • R u is the specific gas constant for water vapor.
By integrating the above equation, and using the values L u = 600 cal / gr , R u = 462 J / Kgr , and e s 0 = 6.11 hPa (the saturation vapor pressure at 273 K or 0 °C), the simplified form is derived:
e s ( T ) = 0.611 exp 17.67 T T + 243.5
The above relation has an accuracy of about 0.3% for temperatures 35   ° C < T < 35   ° C and shows that the saturation vapor pressure is a unique function of temperature [4]. Specifically, it is found that the vapor pressure, and thus the capacity of the atmosphere to hold water vapor, increases exponentially with temperature. This increase in capacity is estimated to be about 7% for each 1 °C increase in temperature.
Pall et al. [5] concluded that that alterations in mean precipitation are governed by the energy balance, while changes in the upper percentiles of the precipitation distribution are expected to be restricted by moisture availability, specifically by the Clausius-Clapeyron relationship. Theoretically, therefore, if the most intense rainfall episodes are likely to occur when almost all the moisture in a volume of air precipitates, and the intensity of these episodes increases with the availability of moisture, it would be expected that the upper percentiles of the rainfall distribution would also increase accordingly with Clausius-Clapeyron. This would apply if changes in environmental flows have little impact on moisture convergence, which is more likely at higher latitudes. A prerequisite for a rise in extreme precipitation at a rate specified by the Clausius-Clapeyron (CC) relationship is the presence of moisture in the atmosphere. In regions where there is lack of moisture, such as continental areas, the extreme precipitation rate of increase with temperature will be smaller than the one defined by the CC relationship (sub-Clausius-Clapeyron or sub-CC) [6]. In tropical regions, the mechanisms driving heavy precipitation are predominantly impacted by the latent heat released during the process of rainfall. As a result, it is projected that there will be moisture enhancements leading to a rate exceeding the one defined by the Clausius-Clapeyron equation, a phenomenon known as super Clausius-Clapeyron or super CC [5]. This phenomenon also holds true for regions at high latitudes in the event of moisture influx from nearby areas during extreme weather [6].
It is evident that the daily precipitation intensity exhibits different types of scaling with mean temperature depending on the geographical region. Specifically, in tropical regions (20° S–20° N), a consistently negative scaling prevails, while a consistently positive scaling is identified in areas with a high latitude in the Northern Hemisphere (>55° N). In mid-latitudes (20–55° N and S), positive scaling dominates up to a certain temperature threshold, beyond which it becomes negative. This behavior has been observed in many areas and is associated with the limitation of moisture availability at higher temperatures [7].The mean daily temperature is typically used as the primary parameter for determining the relationship between extreme precipitation and temperature, rather than the temperature at the time of the event [8], because the latter is significantly influenced by boundary layer processes and radiation. In contrast, the mean daily temperature better represents the air mass above the region [9]. Additionally, the temperature during the event is affected by the cooling caused by the precipitation itself [10]. Various studies have observed that using the dew point instead of surface temperature better represents the precipitation-temperature relationship. The use of dew point instead of surface temperature is a better and more realistic indicator of the response of extreme precipitation to warming. This is because the relative humidity is taken into account for the dew point calculation, which must remain constant for the CC relationship to hold. However, this is not the case for all regions and especially for high temperatures, where there is a limitation of relative humidity [11]. Additionally, the timescale under investigation plays a significant role in the relationship, as a considerably greater increase in extreme precipitation with temperature is observed, exceeding the rate defined by the Clausius-Clapeyron (super-CC), on hourly scales. On even shorter timescales (such as 10 or 5-min intensities), the increase can be up to twice the Clausius-Clapeyron rate (2CC) [12,13].
In the Mediterranean, extreme precipitation events (99th percentile) at daily or smaller scales (three-hourly, hourly, and ten-minute intensities) from E-OBS data show an increase at a rate close to the CC (7%/°C) up to a certain temperature threshold. Beyond this threshold, they follow sub-CC or negative trends, thus exhibiting a characteristic “hook” shape.The temperature change point indicates the temperature at which a sharp change occurs in the precipitation-temperature relationship [6].
It is important to emphasize that the choice of data used to establish the relationship between extreme precipitation and temperature in a given region requires careful consideration. In cases where the network of available meteorological stations does not adequately cover the study area, many studies rely on alternative data sources (reanalysis, E-OBS, model simulations). However, it is crucial to recognize that these data sources may have limitations in accurately capturing the phenomena under investigation, particularly extreme precipitation events. E-OBS data are known to systematically underestimate extremes (dry bias) compared to stations data [6]. Similarly, ERA5 and ERA5-Land reanalysis data tend to overestimate moderate events while underestimating the most intense precipitation episodes [14,15].
The primary aim of this study is to develop and test a methodological framework for introducing the Clausius-Clapeyron (CC) relationship into reanalysis data correction in a mid-latitude, semiarid region (Thessaloniki, Greece). By employing various techniques, this study explores the potential of the CC relationship to improve the accuracy of extreme precipitation estimates, which are crucial for understanding and predicting events like flash floods and their associated impacts. The focus is on improving reanalysis datasets through the use of temperature-based corrections, with the goal of enhancing their ability to capture extreme precipitation patterns in regions where these events are influenced by thermal processes. While this initial analysis is based on a single station, it serves as a case study to demonstrate the applicability of the proposed methodology. A more comprehensive analysis involving a larger network of stations across the Greek-Mediterranean region will be pursued in future studies.

2. Data and Methodology

Thessaloniki, located in northern Greece, is the country’s second largest city with more than one million residents in its metropolitan area. To investigate the extreme precipitation relationship with temperature both station and reanalysis data were used. Specifically, temperature, dew point, and precipitation data from the meteorological station of Aristotle University of Thessaloniki were collected, spanning the period from 1951 to 2021. Additionally, reanalysis data from the ERA5-Land dataset were utilized for the same parameters and for the period 1981–2021. For establishing the relationship between extreme precipitation and temperature and comparing it with the rate defined by the Clausius-Clapeyron, two methods were employed: linear Quantile Regression and the Binning method. The quantile regression method was applied to the hourly and three-hourly precipitation data, using both mean daily temperature and mean daily dew point. This methodology, established by de Vyver et al. [16], was utilized in the analysis of station data from Central Europe and Scandinavia. This study pertains to assessing the efficacy of employing this methodology in a station exhibiting distinct climatic attributes. The methodology fits two different linear models to the precipitation data. A simple linear model applied to the upper quantile for the whole temperature range and a second model using piecewise linear quantile regression, in which a tipping point is specified, representing the temperature threshold above which the relationship changes and thus the slope of the line changes. In the first model, which is called the “CC model”, the scaling of the upper quantiles ( τ ) of the daily rainfall is calculated using the logarithm of rainfall-log(P) with temperature or the dew point as the predictor variable [17]:
Q τ c c ( T ) = α + β T
where:
  • β , the slope of the line resulting in CC scaling.
  • T, the mean daily temperature or the dew point.
The second model, called the “CC+ model” calculates the inflection point of the scaling line, using piecewise linear quantile regression [18]:
Q τ C C + ( T ) = { α 2 + β 2 T   f o r   T > T C α 1 + β 1 T   f o r   T < = T C
where:
  • T C , the temperature threshold above which the rainfall-temperature relationship changes
  • β 1 , the slope of the line before the inflection point, corresponding to the rate of increase defined by the Clausius-Clapeyron (CC rate, 7%/°C)
  • β 2 , the slope of the line after the inflection point Tc, corresponding to a rate of increase greater (>7%/°C, super-CC), smaller (<7%/°C, sub-CC), or negative (<0%/°C) scaling.
In order to determine which of the two models best represents the data in each case, the Bayesian Information Criterion (BIC) is applied. According to this, two main factors are considered: (a) How well the model describes the data, and (b) How complex the model is.
The BIC formula is:
BIC = 2 log L ^ + p ln ( n )
where:
  • log L ^ measures how well the model fits the data,
  • p is the number of parameters in the model,
  • n is the number of observations.
For the CC model, the number of parameters is p = 2 ( α , β ), while for the CC+ model, p = 4 ( α 1 , β 1 , α 2 , β 2 ). In this way, the degree to which the model fits the data is calculated, while penalty scores are also introduced for the model’s complexity. These two factors are combined, and the model with the lowest BIC value is selected.
Additionally, to assess the ability of each model to represent the data for a specific quantile, the goodness-of-fit criterion is applied. This criterion calculates the R value which takes values between 0 and 1 and the closer to 1, the better the model represents the data for the given t-quantile. The goodness of fit criterion is used to determine the most efficient model of the two and also to select the best predictor variable between the mean daily temperature and the dew point for the respective quantile.
For the binning method, the methodology is developed according to the standards of Drobinski et al. [6]. The methodology was applied to hourly, three-hourly and daily precipitation values using the average daily temperature. Days with precipitation of at least 0.1 mm were characterized as rainy days. The classification of the observations was performed in bins with a fixed range of 2 °C. The data were sorted in ascending order based on the mean daily temperature (respectively for the dew point) and the maximum and minimum temperatures were calculated in order to determine the total range. They were then divided into fixed range classes of 2 °C and sorted into them according to the average temperature on the day of the rainfall. Unlike [6], an equal number of cases in each class was not used, ensuring no cases were dropped. Instead, all cases were sorted for the reference period. To ensure statistical significance, only classes with at least 50 cases were selected. In this way, the upper and lower classes of the distribution were excluded. The average temperature of each class was then calculated and finally, for each of them, the cases were ranked in descending order and the 90th, 95th, 99th and 99.9th percentiles were calculated.
The main difference between the Quantile Regression and Binning methods is that the first calculates the relationships between extreme precipitation and temperature by taking into account the upper percentiles of the entire distribution. In contrast, the second calculates the quantiles of each temperature class separately. In this way, the binning method includes cases that do not necessarily belong to the extreme percentiles of the total precipitation distribution of the station. On the other hand, the separation of the episodes into temperature classes and the calculation of the upper percentiles for each of them, provides the advantage of a more comprehensive and thorough study of the relationship between extreme precipitation and temperature in particular temperature ranges. In addition, by using the binning method, it is easier to detect the temperature threshold above which the relationship becomes negative for the mid-latitudes, which include our study area.
In Figure 1, the flowchart of the applied methodology is presented. The Quantile Regression and Binning methods are applied using temperature, dew point, and precipitation data from the station.
For the Quantile Regression methodology, once the linear relationships for the station data have been determined, they are applied to the reanalysis data. Using the mean daily temperature or dew point (T) from the reanalysis data, and given the coefficients α , β (from the CC model – Equation (1)) and α 1 , β 1 , α 2 , β 2 (from the CC+ model – Equation (2)) for each t-quantile, the expected precipitation value for each quantile at that temperature is obtained.
In the Binning methodology, a function was developed to utilize temperature values from reanalysis data to extract the precipitation percentiles, which are obtained from observations corresponding to those temperatures. First, the function identifies the temperature class and verifies if the temperature falls within the acceptable range. Then, it extracts the percentiles for that class. Next, it determines the percentiles for the two adjacent classes (upper and lower) and calculates weights for all three classes based on the distance of the given temperature from the average temperatures of the neighboring classes. Finally, a linear regression is performed using these weights to quantify the temperature.
This function is applied to each temperature value from the reanalysis data in order to obtain a new set of binning-corrected data.

3. Results

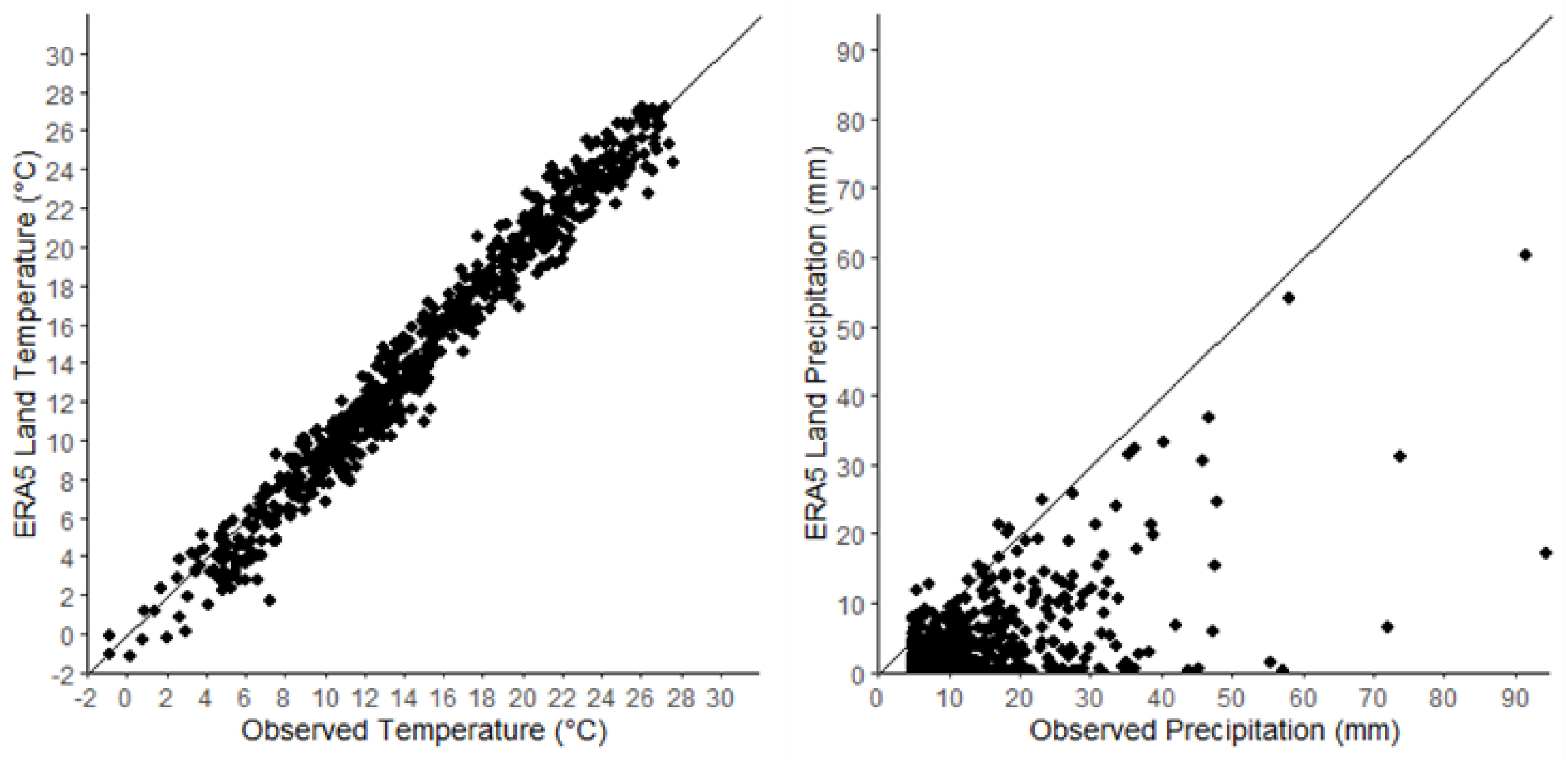
Comparing the observational data with ERA5 Land values at the closest grid point to the station, it is apparent that while ERA5 Land data can accurately depict daily temperatures during extreme events (Figure 2 left), they exhibit a tendency to significantly underestimate extreme precipitation. Illustrated in Figure 2 right, the majority of 3-h intensities exceeding the 90th percentile of the distribution lies below the x = y line, indicating this underestimation by ERA5 Land. In light of this observation, and drawing from existing literature, it becomes evident that there exists a crucial necessity to acknowledge and enhance this underestimation. In order to address this concern, our objective is to utilize the observed scaling relations between extreme precipitation and temperature on the data derived by ERA5 Land.

3.1. Identifying the Observed Scaling Relations

The analysis compares two methodologies, Quantile Regression and the Binning method, applied to extreme precipitation data from 1951 to 2021, with a focus on the cold (October–March) and warm (April–September) seasons. The statistical evaluation based on the goodness of fit criterion indicates that using temperature instead of dew point provides a slightly better fit for the station data across all timescales and seasons examined. Quantile Regression reveals that extreme precipitation generally increases with temperature, with the most significant rates of increase observed during the warm period. Notably, this rate of increase surpasses the Clausius-Clapeyron (CC) relation, especially for very extreme events. Similarly, the Binning method shows an overall increase in extreme precipitation with temperature exceeding the rate defined by the Clausius-Clapeyron equation, predominantly during the warm season. Additionally, the Binning method identifies a temperature threshold for this increased rate, which ranges from 21 °C to 24 °C across all analyzed timescales.
The analysis of Figure 3 involves comparing the Quantile Regression (dashed lines) and Binning (solid lines) methodologies for the upper percentiles of hourly precipitation with daily mean temperature, across different periods. For Quantile Regression, the rates of increase of extreme precipitation percentiles with temperature are given in Table 1, for the whole season and the warm and cold half of the year along with the temperature threshold for CC and the CC+ methods. Specifically, the Quantile Regression method identified increasing rates in agreement with the rate defined by CC, for the 90th and 95th percentile of hourly precipitation, while rates exceeding the CC rate have been identified for the 99th and 99.9th as shown in Table 1. For the 99th percentile during the total reference period, the rate of increase as derived from the CC+ model is significantly higher reaching super-CC (+9.9%/°C) for temperatures above 14.1 °C. The precipitation during the cold period shows a similar behavior with the increase after the temperature change point (Tc = 16.1 °C) being more than double the CC rate (>2CC) with +15.8%/°C. In the warm period, an increase of 9.9%/°C up to 17.7 °C is observed. For the 99.9th percentile, for temperatures exceeding 9.5 °C and 9.7 °C (Figure 3), very extreme precipitation increases at a rate of +10.5%/°C (total period) and +10.7% (cold season). During the warm half, scaling close to 2CC is observed with a rate of +13.3%/°C for average daily temperatures below 18.5 °C and following the CC rate (+7.3%/°C) for higher temperatures.
For the 3-hourly intensities (Table 2 and Figure 4), the Quantile Regression method identified an increasing rate below the one defined by the Clausius-Clapeyron equation. The rate increases for the highest percentiles and for the 99.9th an increase of about 6%/°C is found. Unlike the hourly intensities, the increase in the warm season is not the highest. The most pronounced increase in temperature is found when the warm and cold periods are considered together.
With the Binning method the extreme hourly intensities show an increase with average daily temperature at a rate similar to and greater than the rate defined by the CC relation. Super-CC scaling is observed at temperatures −3 to +1 °C (Figure 3, total period; cold period). and between 15 and 21.5 °C where it reaches 2CC. For temperatures above 21.5 °C, the precipitation-temperature relationship becomes negative for the 90th and 95th percentiles, as well as the 99th and 99.9th percentiles. During the cold period of the year (October–March), hourly precipitation values increase with the temperature at a rate close to the 7%/°C defined by Clausius-Clapeyron. The 99th and 99.9th percentiles exceed this rate for temperatures of 15–18 °C, but show a negative relationship at higher temperatures. In the warm season (April–September) the binning method shows an increase close to CC rate up to 15 °C. Between 15 °C and 22 °C, the increase exceeds 7%/°C for the 90th and 95th percentiles and exceeds twice the CC rate (2CC) for the 99th and 99.9th percentiles. However, for temperatures above 26 °C, the relationship becomes negative. The 3-hourly precipitation intensities, for the whole period, follow the Clausius-Clapeyron rate closely (Figure 4). Specifically, the 95th, 99th and 99.9th percentiles follow the CC rate for temperatures from 2 °C to 22 °C, while the 90th percentile shows sub-CC growth. Between 18 °C and 22 °C, the 90th and 95th percentiles increase at a rate approaching 2CC, but become negative above 22–24 °C. During the cold period, the rate of increase for extreme precipitation exceeds the CC rate between 2–6 °C and 10–14 °C becoming negative above 18–20 °C. In the warm season, the increase exceeds the CC rate (super-CC) and reaches or exceeds 2CC for temperatures between 15 and 21 °C, but becomes negative at higher temperatures. The evolution of the daily extremes with temperature occurs at a rate lower than that defined by CC rate. There is a significant increase in daily extremes up to 6 °C. For temperatures higher than 22 °C, the relationship becomes negative, except for the 99th and 99.9th percentiles, which show a significant increase at 26–28 °C. When separating the data into cold and warm seasons, a similar pattern is observed.

3.2. Reanalysis Data

The application of the Binning method to the three-hourly data from ERA5 Land (Figure 5) demonstrates the clear underestimation of the extremes. The upper percentiles follow a negative relationship with temperature up to 6 °C and then a positive relationship up to 10–12 °C. For higher temperatures, the 90th and 95th percentiles show a continuous negative trend, the 99th shows a zero trend up to 21 °C and then a decline, and the 99.9th follows an increase at a rate slightly less than CC up to 21 °C before the relationship becomes negative. Although significant increases are found for some temperature classes, these are not sustained. It appears that the ”hook shape” observed for the Mediterranean regions is more pronounced in the reanalysis data than in the observations. Despite the underestimation of extremes by ERA5, the temperatures where the relationship becomes strongly negative are between 21 and 24 °C and are in agreement with observations. However, a negative relationship is found for the 90th and 95th percentiles for temperatures >9–10 °C which is in agreement with previous studies placing the threshold at 7 °C for the Greek region (Drobinski et al. 2018) [6].
To reduce the underestimation of extreme events, the observed relations are applied to the temperature data of ERA5 Land reanalysis dataset on the days that extreme precipitation was recorded at the station. Figure 6 presents the upper percentiles of the hourly precipitation from the observations, comparing them with both the unadjusted ERA5-Land data (black line) and the corrected values using the two methodologies.
The quantile regression method is shown in red for the QQ model and in yellow for the QQ+ model, while the binning method is represented in green. To facilitate comparison between the methods, violin plots were generated (Figure 7), showing the differences between the station observations, the ERA5 and the results of the two correction approaches (Figure 7). Figure 6 clearly illustrates that extreme rainfall in the Thessaloniki area is consistently underestimated by the ERA5 data (black dots). However, the results from the three methods show a promising trend, with significant improvements, particularly for the most extreme events at the 95th and 99th percentiles. Figure 7 further quantifies this improvement in estimating extreme precipitation. It is evident that the majority of the difference values are positive for ERA5 Land. After applying the correction equations from the three methods, these differences are significantly reduced. Specifically, for the 90th percentile the average difference between station data and ERA5 Land is reduced from 7.7 mm to 5.3 mm using the two quantile regression methods and to 4.6 mm with the binning method. For the 95th the difference decreases from 9.1 mm to 4.5 mm with the CC model, 4.3 mm with the CC+ model and 3.8 mm with the Binning method. For the 99th percentile the difference is reduced respectively from 16.6 mm to 2.3 mm (CC), 1.1 mm (CC+) and 1.9 mm (Binning). Overall, the Binning method offers a clearer and more precise representation of the relationship between temperature and extreme precipitation. While Quantile Regression provides a broader analysis, the Binning method identifies specific temperature thresholds and rates of change, making it more effective for understanding and predicting extreme precipitation patterns. This detailed approach underscores its advantage in capturing the nuances of temperature-related precipitation dynamics.

4. Discussion and Conclusions

The statistical analysis of the methods application to the data shows that the use of temperature compared to the dew point seems to have a slightly better fit for the station data. On the contrary, in regions with wetter climatic characteristics, such as Western Europe and Scandinavia, it has been shown that the dew point presents a better fit with extreme precipitation [16]. The hourly values show an increase with temperature, which is in agreement with the Clausius-Clapeyron (CC) relationship, while for very extreme precipitation, a rate that significantly exceeds this relationship (super-CC) is recorded, reaching up to 2CC. Many researchers have reported similar findings for the Netherlands, Switzerland, and Austria, with scaling detection exceeding 2CC [12,13,19]. For the 3 h values, this rate is smaller but still in agreement with CC without exceeding it, while for the daily values, the change is even smaller and is below the CC rate (sub-CC). These results are in agreement with studies worldwide [8,20] and show that the smaller the timescale, the stronger the rate of increase of the extremes with temperature. The Binning method identified the temperature threshold above which a negative relationship prevails, averaging between 21–22 °C for all time scales and most percentiles. This threshold is in agreement with [21] where for Thessaloniki station it was identified at 20 °C and is significantly higher than the threshold of 7 °C found for Greece in previous studies [6].
The evaluation of the ERA5 Land reanalysis data showed that despite the good agreement with the observations for daily mean temperatures, extreme precipitations are significantly underestimated. This underestimation is particularly critical because extreme precipitation is often associated with high-intensity weather systems, such as convective storms, frontal systems, or atmospheric rivers, which are driven by complex interactions between atmospheric moisture, temperature, and dynamics. Numerous studies [14,15,22] have reported this underestimation of very intense precipitation episodes, often accompanied by an overestimation of small rainfall amounts. These discrepancies can be linked to the limitations in the resolution of reanalysis models and their representation of sub-grid scale processes, such as convection and cloud microphysics. Furthermore, both the rate of increase with temperature and the temperature threshold from which the relationship becomes negative were found to be smaller compared to the observed values when the binning method was performed on ERA5 Land data.
This discrepancy is tied to the Clausius-Clapeyron (CC) relation, which governs the physical relationship between temperature and the saturation vapor pressure of water, and subsequently influences the moisture-holding capacity of the atmosphere. According to the CC relation, atmospheric water vapor increases by about 7% per degree Celsius increase in temperature, leading to the potential for more intense precipitation as temperatures rise. However, this increase is not uniform across different temperature ranges, and ERA5 Land appears to underestimate this sensitivity, particularly for extreme rainfall events. By applying the derived equations from the two methodologies to the temperature data from ERA5 Land during the days when extreme rainfall occurred at the station, a significant improvement is observed. In particular, a decrease in the underestimation was observed ranging from 10% to more than 50% with the greatest improvement being found during the most extreme rainfall events. The improvement is similar with all three models (CC, CC+ and Binning) without any of them showing clear superiority.
Overall, the application of the methods for determining the extreme precipitation-temperature relationship shows that the extremes are indeed in agreement with the Clausius-Clapeyron relationship. At the same time, the rate exceeding the CC, which has been identified in sub daily data of different regions, is also found in Thessaloniki. In addition, an important conclusion is that the application of the observed relationship is able to lead to an improvement of the underestimations from the reanalysis data. The latter makes the method a particularly important tool for prevention against extreme events that may lead to flooding events in the near and distant future. The Clausius-Clapeyron (CC) relationship has the limitation of being highly specific to each region, necessitating separate definitions for different areas. Furthermore, accurately defining this relationship requires station-observed data, which are often difficult to obtain. Despite these challenges, these limitations inspire future work and the potential application of the method in other regions, paving the way for broader and more comprehensive studies.

Author Contributions

Conceptualization, A.P.-Z. and C.A.; methodology, A.P.-Z.; software, A.P.-Z.; validation, C.A. and A.P.-Z.; writing—original draft preparation, A.P.-Z.; writing—review and editing, C.A. and A.P.-Z.; visualization, A.P.-Z.; supervision, C.A. All authors have read and agreed to the published version of the manuscript.

Funding

This research received no external funding.

Institutional Review Board Statement

Not applicable.

Informed Consent Statement

Not applicable.

Data Availability Statement

Data available on request from the authors.

Conflicts of Interest

The authors declare no conflicts of interest.

References

  1. IPCC. IPCC, 2023: Climate Change 2023: Synthesis Report. Contribution of Working Groups I, II and III to the Sixth Assessment Report of the Intergovernmental Panel on Climate Change; Core Writing Team, Lee, H., Romero, J., Eds.; IPCC: Geneva, Switzerland, 2023. [Google Scholar] [CrossRef]
  2. Trenberth, K.E. Changes in precipitation with climate change. Clim. Res. 2011, 47, 123–138. [Google Scholar] [CrossRef]
  3. Donat, M.G.; Lowry, A.L.; Alexander, L.V.; O’Gorman, P.A.; Maher, N. More extreme precipitation in the world’s dry and wet regions. Nat. Clim. Change 2016, 6, 508–513. [Google Scholar] [CrossRef]
  4. Bolton, D. The computation of equivalent potential temperature. Mon. Weather. Rev. 1980, 108, 1046–1053. [Google Scholar] [CrossRef]
  5. Pall, P.; Allen, M.R.; Stone, D.A. Testing the Clausius-Clapeyron constraint on changes in extreme precipitation under CO2 warming. Clim. Dyn. 2007, 28, 351–363. [Google Scholar] [CrossRef]
  6. Drobinski, P.; Silva, N.D.; Panthou, G.; Bastin, S.; Muller, C.; Ahrens, B.; Borga, M.; Conte, D.; Fosser, G.; Giorgi, F.; et al. Scaling precipitation extremes with temperature in the Mediterranean: Past climate assessment and projection in anthropogenic scenarios. Clim. Dyn. 2018, 51, 1237–1257. [Google Scholar] [CrossRef]
  7. Tang, J.; Lu, Y.; Wang, S.; Guo, Z.; Lu, Y.; Fang, J. Projection of Hourly Extreme Precipitation Using the WRF Model Over Eastern China. J. Geophys. Res. Atmos. 2023, 128, e2022JD036448. [Google Scholar] [CrossRef]
  8. Martinkova, M.; Kysely, J. Overview of observed clausius-clapeyron scaling of extreme precipitation in midlatitudes. Atmosphere 2020, 11, 786. [Google Scholar] [CrossRef]
  9. Lenderink, G.; Meijgaard, E.V. Increase in hourly precipitation extremes beyond expectations from temperature changes. Nat. Geosci. 2008, 1, 511–514. [Google Scholar] [CrossRef]
  10. Manola, I.; Hurk, B.V.D.; Moel, H.D.; Aerts, J.C. Future extreme precipitation intensities based on a historic event. Hydrol. Earth Syst. Sci. 2018, 22, 3777–3788. [Google Scholar] [CrossRef]
  11. Zhang, W.; Villarini, G.; Wehner, M. Contrasting the responses of extreme precipitation to changes in surface air and dew point temperatures. Clim. Change 2019, 154, 257–271. [Google Scholar] [CrossRef]
  12. Lenderink, G.; Barbero, R.; Loriaux, J.M.; Fowler, H.J. Super-Clausius-Clapeyron scaling of extreme hourly convective precipitation and its relation to large-scale atmospheric conditions. J. Clim. 2017, 30, 6037–6052. [Google Scholar] [CrossRef]
  13. Schroeer, K.; Kirchengast, G. Sensitivity of extreme precipitation to temperature: The variability of scaling factors from a regional to local perspective. Clim. Dyn. 2018, 50, 3981–3994. [Google Scholar] [CrossRef]
  14. Gomis-Cebolla, J.; Rattayova, V.; Salazar-Galán, S.; Francés, F. Evaluation of ERA5 and ERA5-Land reanalysis precipitation datasets over Spain (1951–2020). Atmos. Res. 2023, 284, 106606. [Google Scholar] [CrossRef]
  15. Lavers, D.A.; Simmons, A.; Vamborg, F.; Rodwell, M.J. An evaluation of ERA5 precipitation for climate monitoring. Q. J. R. Meteorol. Soc. 2022, 148, 3152–3165. [Google Scholar] [CrossRef]
  16. de Vyver, H.V.; Schaeybroeck, B.V.; Troch, R.D.; Hamdi, R.; Termonia, P. Modeling the Scaling of Short-Duration Precipitation Extremes With Temperature. Earth Space Sci. 2019, 6, 2031–2041. [Google Scholar] [CrossRef]
  17. Wasko, C.; Sharma, A. Quantile regression for investigating scaling of extreme precipitation with temperature. Water Resour. Res. 2014, 50, 3608–3614. [Google Scholar] [CrossRef]
  18. Li, C.; Wei, Y.; Chappell, R.; He, X. Bent Line Quantile Regression with Application to an Allometric Study of Land Mammals’ Speed and Mass. Biometrics 2011, 67, 242–249. [Google Scholar] [CrossRef] [PubMed]
  19. Molnar, P.; Fatichi, S.; Gaál, L.; Szolgay, J.; Burlando, P. Storm type effects on super Clausius-Clapeyron scaling of intense rainstorm properties with air temperature. Hydrol. Earth Syst. Sci. 2015, 19, 1753–1766. [Google Scholar] [CrossRef]
  20. Berg, P.; Moseley, C.; Haerter, J.O. Strong increase in convective precipitation in response to higher temperatures. Nat. Geosci. 2013, 6, 181–185. [Google Scholar] [CrossRef]
  21. Pakalidou, N.; Karacosta, P.; Douka, M. Associating short-duration precipitation extreme events with land surface temperature in Thessaloniki. In Proceedings of the Conference on Meteorology, Climatology and Atmospheric Physics-COMECAP 2021, Ioannina, Greece, 26–29 September 2021. [Google Scholar]
  22. Jiang, Q.; Li, W.; Fan, Z.; He, X.; Sun, W.; Chen, S.; Wen, J.; Gao, J.; Wang, J. Evaluation of the ERA5 reanalysis precipitation dataset over Chinese Mainland. J. Hydrol. 2021, 595, 125660. [Google Scholar] [CrossRef]
Figure 1. Flowchart of the applied methodology.
Figure 1. Flowchart of the applied methodology.
Atmosphere 15 01195 g001
Figure 2. Comparison between ERA5 Land and observations of daily temperatures at the day of extreme events (left) and 3-hourly precipitation events exceeding the 90th percentile (right).
Figure 2. Comparison between ERA5 Land and observations of daily temperatures at the day of extreme events (left) and 3-hourly precipitation events exceeding the 90th percentile (right).
Atmosphere 15 01195 g002
Figure 3. Comparison of Quantile Regression (dashed lines) and Binning (solid lines) methodologies for the four upper percentiles of hourly precipitation with daily mean temperature. On the left, comparison of the CC model with the Binning method; on the right, comparison of the CC+ model with the Binning method. For (a) the whole period 1951–2021, (b) warm period (April–September) and (c) cold period (October–March). Shown for reference: the CC rate (7%/°C) (red dotted lines) and 2CC (14%/°C) (green dotted lines).
Figure 3. Comparison of Quantile Regression (dashed lines) and Binning (solid lines) methodologies for the four upper percentiles of hourly precipitation with daily mean temperature. On the left, comparison of the CC model with the Binning method; on the right, comparison of the CC+ model with the Binning method. For (a) the whole period 1951–2021, (b) warm period (April–September) and (c) cold period (October–March). Shown for reference: the CC rate (7%/°C) (red dotted lines) and 2CC (14%/°C) (green dotted lines).
Atmosphere 15 01195 g003
Figure 4. Comparison of Quantile Regression (dashed lines) and Binning (solid lines) methodologies for the four upper percentiles of 3-hourly precipitation with daily mean temperature. On the left, comparison of the CC model with the Binning method; on the right, comparison of the CC+ model with the Binning method. For (a) the whole period 1951–2021, (b) warm period (April–September) and (c) cold period (October–March). Shown for reference: the CC rate (7%/°C) (red dotted lines) and 2CC (14%/°C) (green dotted lines).
Figure 4. Comparison of Quantile Regression (dashed lines) and Binning (solid lines) methodologies for the four upper percentiles of 3-hourly precipitation with daily mean temperature. On the left, comparison of the CC model with the Binning method; on the right, comparison of the CC+ model with the Binning method. For (a) the whole period 1951–2021, (b) warm period (April–September) and (c) cold period (October–March). Shown for reference: the CC rate (7%/°C) (red dotted lines) and 2CC (14%/°C) (green dotted lines).
Atmosphere 15 01195 g004
Figure 5. Precipitation-mean daily temperature relationships between observations (black) and ERA5 Land (red) after applying the binning method to the 3-h data for the four upper percentiles (90th, 95th, 99th and 99.9th) Shown for comparison: the CC rate (7%/°C) (red dashed lines) and 2CC (14%/°C) (green dashed lines).
Figure 5. Precipitation-mean daily temperature relationships between observations (black) and ERA5 Land (red) after applying the binning method to the 3-h data for the four upper percentiles (90th, 95th, 99th and 99.9th) Shown for comparison: the CC rate (7%/°C) (red dashed lines) and 2CC (14%/°C) (green dashed lines).
Atmosphere 15 01195 g005
Figure 6. Scatter plots of the upper percentiles (90th, 95th and 99th) of the 3-h rainfall values summed over the 24-h period between ERA5 Land and station observations (black) and between ERA5 Land regressed with the CC (red) and CC+ (yellow) models of the Quantile regression method and with the Binning method (green). The line corresponds to x = y.
Figure 6. Scatter plots of the upper percentiles (90th, 95th and 99th) of the 3-h rainfall values summed over the 24-h period between ERA5 Land and station observations (black) and between ERA5 Land regressed with the CC (red) and CC+ (yellow) models of the Quantile regression method and with the Binning method (green). The line corresponds to x = y.
Atmosphere 15 01195 g006
Figure 7. Violin plots of the differences of station observations from the original ERA5 Land (black) and ERA5 Land recalculated with the CC model (red), CC+ model (yellow) and the Binning method (green) for the 90th, 95th and 99th percentiles of the 3-h rainfall values summed over the 24-h period.
Figure 7. Violin plots of the differences of station observations from the original ERA5 Land (black) and ERA5 Land recalculated with the CC model (red), CC+ model (yellow) and the Binning method (green) for the 90th, 95th and 99th percentiles of the 3-h rainfall values summed over the 24-h period.
Atmosphere 15 01195 g007
Table 1. Scaling rates of hourly precipitation extremes to temperature, for each period and percentile and for both models (CC, CC+), as determined by the slope β of the quantile lines. For the CC+ model, the temperature threshold ( T c ) is shown. Shaded with gray is the best model according to the BIC method. Super-CC rates are denoted in bold.
Table 1. Scaling rates of hourly precipitation extremes to temperature, for each period and percentile and for both models (CC, CC+), as determined by the slope β of the quantile lines. For the CC+ model, the temperature threshold ( T c ) is shown. Shaded with gray is the best model according to the BIC method. Super-CC rates are denoted in bold.
P90P95P99P99.9
CC CC+ CC CC+ CC CC+ CC CC+
β β 1 β 2 T c
(°C)
β β 1 β 2 T c
(°C)
β β 1 β 2 T c
(°C)
β β 1 β 2 T c
(°C)
1951–20215.43.45.98.15.9479.37.7 6.89.914.18.31.210.59.5
1951–2021
Cold period
4.83.55.585.24.1687.26.815.816.16.61.310.79.7
1951–2021
Warm period
5.74.36.215.16.757.515.18.79.95.617.712.313.37.318.5
Table 2. Scaling rates of 3-hourly precipitation extremes to temperature, for each period and percentile and for both models (CC, CC+), as determined by the slope β of the quantile lines. For the CC+ model the temperature threshold ( T c ) is shown. Shaded with gray is the best model according to BIC method. Super-CC rates are denoted in bold.
Table 2. Scaling rates of 3-hourly precipitation extremes to temperature, for each period and percentile and for both models (CC, CC+), as determined by the slope β of the quantile lines. For the CC+ model the temperature threshold ( T c ) is shown. Shaded with gray is the best model according to BIC method. Super-CC rates are denoted in bold.
P90P95P99P99.9
CC CC+ CC CC+ CC CC+ CC CC+
β β 1 β 2 T c
(°C)
β β 1 β 2 T c
(°C)
β β 1 β 2 T c
(°C)
β β 1 β 2 T c
(°C)
1951–20213.84.12.5194.42.55.18.95.75.16.513.65.96.24.418.7
1951–2021
Cold period
3.33.41.915.13.82.65.19.35.56.64.66.85.36.54.211.5
1951–2021
Warm period
3.14217.34.45.9317.36.26.74.41957.64.318.2
Disclaimer/Publisher’s Note: The statements, opinions and data contained in all publications are solely those of the individual author(s) and contributor(s) and not of MDPI and/or the editor(s). MDPI and/or the editor(s) disclaim responsibility for any injury to people or property resulting from any ideas, methods, instructions or products referred to in the content.

Share and Cite

MDPI and ACS Style

Papadopoulos-Zachos, A.; Anagnostopoulou, C. A Methodological Approach to Improving Extreme Precipitation Reanalysis Data Using the Clausius-Clapeyron Relationship: A Case Study in a Mediterranean City. Atmosphere 2024, 15, 1195. https://doi.org/10.3390/atmos15101195

AMA Style

Papadopoulos-Zachos A, Anagnostopoulou C. A Methodological Approach to Improving Extreme Precipitation Reanalysis Data Using the Clausius-Clapeyron Relationship: A Case Study in a Mediterranean City. Atmosphere. 2024; 15(10):1195. https://doi.org/10.3390/atmos15101195

Chicago/Turabian Style

Papadopoulos-Zachos, Alexandros, and Christina Anagnostopoulou. 2024. "A Methodological Approach to Improving Extreme Precipitation Reanalysis Data Using the Clausius-Clapeyron Relationship: A Case Study in a Mediterranean City" Atmosphere 15, no. 10: 1195. https://doi.org/10.3390/atmos15101195

APA Style

Papadopoulos-Zachos, A., & Anagnostopoulou, C. (2024). A Methodological Approach to Improving Extreme Precipitation Reanalysis Data Using the Clausius-Clapeyron Relationship: A Case Study in a Mediterranean City. Atmosphere, 15(10), 1195. https://doi.org/10.3390/atmos15101195

Note that from the first issue of 2016, this journal uses article numbers instead of page numbers. See further details here.

Article Metrics

Back to TopTop