Study on Characteristics and Model Prediction of Methane Emissions in Coal Mines: A Case Study of Shanxi Province, China
Abstract
:1. Introduction
2. Research Methods
2.1. Calculation Method of Methane Emission
2.2. Emission Factor Prediction Models of Methane Emission
| y = input; n = length(y); yy = ones(n,1); yy(1) = y(1); for i = 2:n yy(i) = yy(I − 1) + y(i); end B = ones(n-1, 2); for i =1:(n − 1) B(i, 1) = −(yy(i) + yy(i + 1))/2; B(i,2) = 1; end BT = B’; for j = 1:(n − 1) YN(j) = y(j + 1); end YN = YN’; A = inv(BT*B)*BT*YN; a = A(1); u = A(2); t = u/a; | t_test = input(‘Enter the number of predictions to be made ‘); i = 1:t_test + n; yys(i + 1) = (y(1) − t).*exp(−a.*i) + t; yys(1) = y(1); for j = n + t_test:−1: 2 ys(j) = yys(j) − yys(j − 1); end x = 1:n; xs = 2:n + t_test; yn = ys(2:n + t_test); plot(x, y, ‘^r’, xs, yn, ‘*−b’); det = 0; for i = 2:n det =det + abs(yn(i) − y(i)); end det = det/(n − 1); disp([‘The per cent absolute error is:’,num2str(det), ‘%’]); disp([‘The predicted value is:’,num2str(ys(n + 1: n + t_test))]); |
2.3. Emission Factor Prediction Models of Methane Emission
3. Results and Discussion
3.1. Characteristics and Type Classification of Methane Distribution
3.1.1. Methane Distribution Characteristics in Coal Mines
3.1.2. Classification of Underground Coal Mine Types
3.2. Accounting and Analysis of Methane Emissions from Different Areas
3.2.1. Accounting for Methane Emissions in Different Monitoring Modes for Partition
3.2.2. Accounting for Methane Emissions in Different Categories of Mining Areas
3.3. Characteristics and Emission Factor Correction of Methane Emissions from Coal Mines
3.3.1. Estimation of Methane Emissions from Key Group Coal Mines
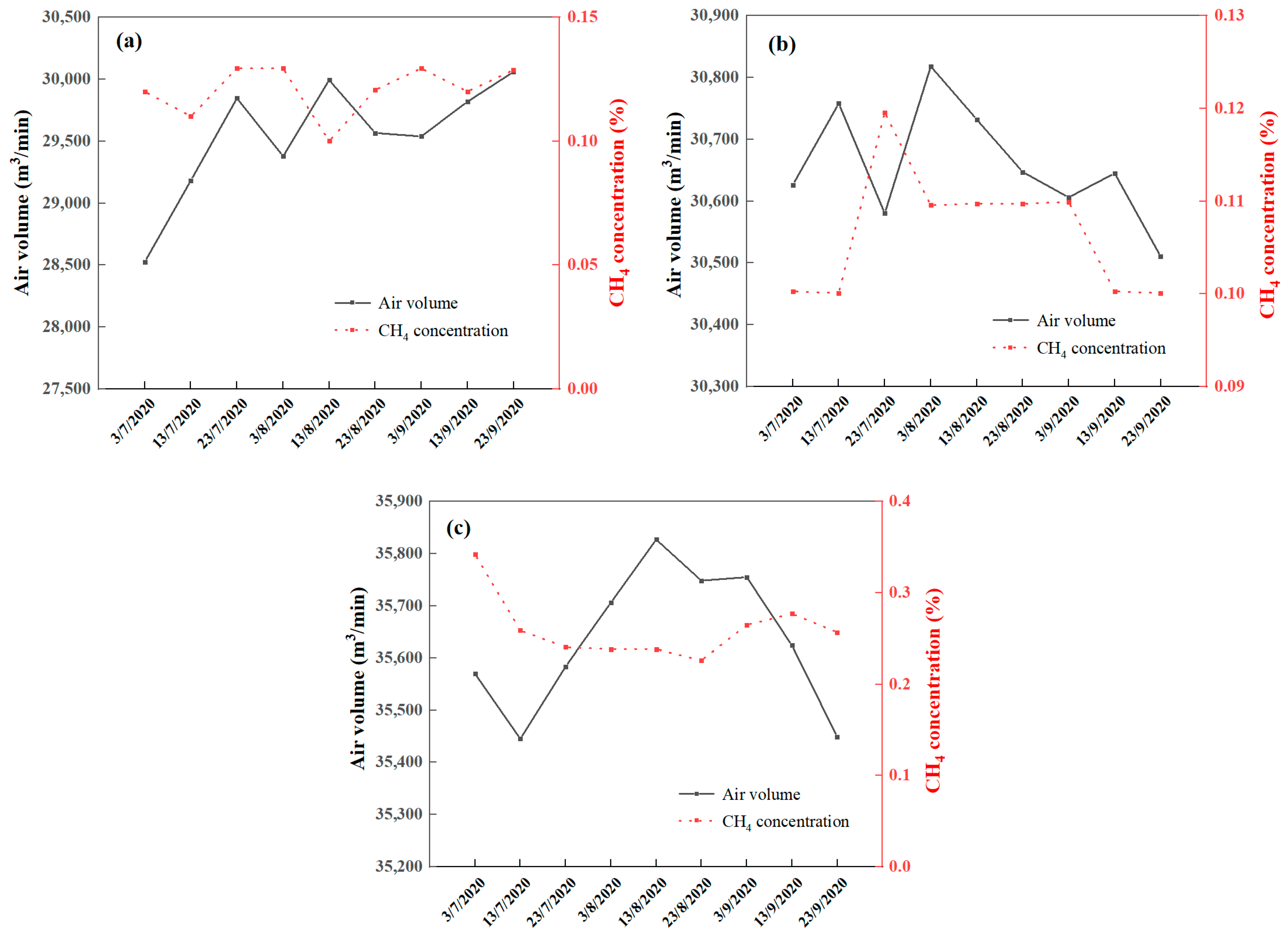
3.3.2. Key Coal Mine Offline Methane Emission Monitoring
Coalbed Methane Extraction
Methane Emission from Ventilation System
3.3.3. Key Coal Mine Methane Emissions Factor Correction
3.4. Prediction of Coal Mine Methane Emissions
4. Conclusions
Author Contributions
Funding
Institutional Review Board Statement
Informed Consent Statement
Data Availability Statement
Conflicts of Interest
References
- Zhang, S.; Ma, J.; Zhang, X.; Guo, C. Atmospheric remote sensing for anthropogenic methane emissions: Applications and research opportunities. Sci. Total Environ. 2023, 893, 164701. [Google Scholar] [CrossRef] [PubMed]
- Zhang, J.; Lin, H.; Li, S.; Yang, E.; Ding, Y.; Bai, Y.; Zhou, Y. Accurate gas extraction (AGE) under the dual-carbon background: Green low-carbon development pathway and prospect. J. Clean. Prod. 2022, 377, 134372. [Google Scholar] [CrossRef]
- Sadavarte, P.; Pandey, S.; Maasakkers, J.D.; Lorente, A.; Borsdorff, T.; van der Gon, H.D.; Houweling, S.; Aben, I. Methane Emissions from Superemitting Coal Mines in Australia Quantified Using TROPOMI Satellite Observations. Environ. Sci. Technol. 2021, 55, 16573–16580. [Google Scholar] [CrossRef]
- Commissions, E. Global Methane Pledge Ministerial at COP27. 2022. Available online: https://ec.europa.eu/commission/presscorner/detail/en/SPEECH_22_6995 (accessed on 1 April 2023).
- Chai, X.; Tonjes, D.J.; Mahajan, D. Methane emissions as energy reservoir: Context, scope, causes and mitigation strategies. Prog. Energy Combust. Sci. 2016, 56, 33–70. [Google Scholar] [CrossRef]
- Saint-Vincent, P.M.B.; Pekney, N.J. Beyond-the-Meter: Unaccounted Sources of Methane Emissions in the Natural Gas Distribution Sector. Environ. Sci. Technol 2019, 54, 39–49. [Google Scholar] [CrossRef] [PubMed]
- EPA, U. Importance of Methane. 2016. Available online: https://www.epa.gov/gmi/importance-methane (accessed on 1 April 2023).
- Montzka, S.A.; Dlugokencky, E.J.; Butler, J.H. Non-CO2 greenhouse gases and climate change. Nature 2011, 476, 43–50. [Google Scholar] [CrossRef] [PubMed]
- Saunois, M.; Stavert, A.R.; Poulter, B.; Bousquet, P.; Canadell, J.G. The Global Methane Budget 2000–2017. Earth Syst. Sci. Data 2020, 12, 1561–1623. [Google Scholar] [CrossRef]
- Derwent, R.G. Global Warming Potential (GWP) for Methane: Monte Carlo Analysis of the Uncertainties in Global Tropospheric Model Predictions. Atmosphere 2020, 11, 486. [Google Scholar] [CrossRef]
- Pörtner, H.O.; Roberts, D.C.; Tignor, M.M.B.; Poloczanska, E.S.; Mintenbeck, K. Climate Change 2022: Impacts, Adaptation and Vulnerability. Available online: https://www.ipcc.ch/report/ar6/wg2/resources/press/press-release/ (accessed on 1 April 2023).
- Karacan, C.O. Predicting methane emissions and developing reduction strategies for a Central Appalachian Basin, USA, longwall mine through analysis and modeling of geology and degasification system performance. Int. J. Coal Geol. 2023, 270, 104234. [Google Scholar] [CrossRef]
- Magdalena Tutak, J.B. Forecasting Methane Emissions from Hard Coal Mines Including the Methane Drainage Process. Energies 2019, 12, 3840. [Google Scholar] [CrossRef]
- Sławomir Kędzior, M.D. Methane occurrence, emissions and hazards in the Upper Silesian Coal Basin, Poland. Int. J. Coal Geol. 2019, 211, 103226. [Google Scholar] [CrossRef]
- Yu, J.; Peng, S.; Chang, J.; Ciais, P.; Dumas, P.; Lin, X.; Piao, S. Inventory of methane emissions from livestock in China from 1980 to 2013. Atmos. Environ. 2018, 184, 69–76. [Google Scholar] [CrossRef]
- Natiaonal Bureau of Statistics of China. China Statistical Yearbook, 2015–2022. Available online: http://www.stats.gov.cn/sj/ndsj/2022/indexch.htm (accessed on 1 April 2023).
- Cao, X. Policy and regulatory responses to coalmine closure and coal resources consolidation for sustainability in Shanxi, China. J. Clean. Prod. 2017, 145, 199–208. [Google Scholar] [CrossRef]
- Qian, Z.; Yang, Y.; Li, P.; Wang, J.; Rodrigues, A.E. An improved vacuum pressure swing adsorption process with the simulated moving bed operation mode for CH4/N2 separation to produce high-purity methane. Chem. Eng. J. 2021, 419, 129657. [Google Scholar] [CrossRef]
- Ursueguía, D.; Díaz, E.; Ordóñez, S. Adsorbents selection for the enrichment of low-grade methane coal mine emissions by temperature and pressure swing adsorption technologies. J. Nat. Gas Sci. Eng. 2022, 105, 104721. [Google Scholar] [CrossRef]
- Bo Lan, Y.L. Numerical study on thermal oxidation of lean coal mine methane in a thermal flow-reversal reactor. Chem. Eng. J. 2018, 351, 922–929. [Google Scholar] [CrossRef]
- Pengfei Guo, X.G. Experimental Research on the Thermal Oxidation of Ventilation Air Methane in a Thermal Reverse Flow Reactor. ACS Omega 2019, 4, 14886–14894. [Google Scholar] [CrossRef]
- Wang, Y.; Wang, S.; Bai, J.; Zhang, L.; Zhao, S.; Deng, J.; Tang, X.; Duan, E. Structural evolution in LaCoO3 by polyol treatment: Highly active and resistant Co3O4/La2O2CO3/LaCoO3 heterostructure catalysts for CH4 oxidation. Appl. Catal. B Environ. 2023, 338, 123079. [Google Scholar] [CrossRef]
- Yang, Z.; Zhang, L.; Zhang, Y.; Bai, M.; Zhang, Y.; Yue, Z.; Duan, E. Effects of apparent activation energy in pyrolytic carbonization on the synthesis of MOFs-carbon involving thermal analysis kinetics and decomposition mechanism. Chem. Eng. J. 2020, 395, 124980. [Google Scholar] [CrossRef]
- Wang, S.; Chu, P.; Liu, J.; Wang, C.; Duan, E.; Deng, J.; Hou, L. Amino acid-deep eutectic solvents/LaCoO3 mutualism system:Forming La-Co-C-O hybrid for low temperature methane catalytic oxidation. Fuel 2022, 316, 123358. [Google Scholar] [CrossRef]
- Sheng, J.; Song, S.; Zhang, Y.; Prinn, R.G.; Janssens-Maenhout, G. Bottom-Up Estimates of Coal Mine Methane Emissions in China: A Gridded Inventory, Emission Factors, and Trends. Environ. Sci. Technol. Lett. 2019, 6, 473–478. [Google Scholar] [CrossRef]
- Wei, C.; Xu, M.; Sun, J.; Li, X.; Ji, C. Coal Mine Gas Emission Gray Dynamic Prediction. Procedia Eng. 2011, 26, 1157–1167. [Google Scholar]
- Wang, W.; Peng, L.; Wang, X. Prediction of Coal Mine Gas Emission Quantity Based on Grey-Gas Geologic Method. Math. Probl. Eng. 2018, 17, 4397237. [Google Scholar]












| Low-Gas Mine | High-Gas Mine | Coal and Gas Outburst Mine | |
|---|---|---|---|
| Relative gas emission | ≤10 m3/t | >10 m3/t | A mine that has experienced gas outbursts or has potential outburst danger. |
| Absolute gas emission | ≤40 m3/min | >40 m3/min | |
| Absolute gas emission in the heading face | ≤3 m3/min (each working face) | >3 m3/min | |
| Absolute gas emissions in coal mining face | ≤5 m3/min (each working face) | >5 m3/min |
| Coal Mine Gas Grade | I | II | III | IV | V | Total |
|---|---|---|---|---|---|---|
| High-gas mine | 102 | 23 | 14 | 6 | 6 | 151 |
| Coal and gas outburst mine | 26 | 3 | 3 | 0 | 0 | 32 |
| Total | 128 | 26 | 17 | 6 | 6 | 183 |
| Serial Number | Partition | Year | Annual Output of Coal (Mt) | Coal Mine Methane Emission Factor (m3/t) | Methane Emission from Coal Mines (m3) |
|---|---|---|---|---|---|
| 1 | I | 2010 | 32.0 | 17.00 | 0.544 × 109 |
| 2015 | 36.0 | 19.37 | 0.697 × 109 | ||
| 2 | I | 2010 | 41.6 | 15.13 | 0.629 × 109 |
| 2015 | 71.6 | 15.93 | 1.141 × 109 | ||
| 3 | I | 2010 | 50.9 | 22.97 | 1.169 × 109 |
| 2015 | 55.3 | 22.33 | 1.235 × 109 | ||
| 4 | II | 2010 | 2.6 | 81.32 | 0.211 × 109 |
| 2015 | 8.0 | 81.32 | 0.651 × 109 | ||
| 5 | III | 2010 | 21.9 | 17.79 | 0.390 × 109 |
| 2015 | 23.2 | 19.42 | 0.451 × 109 | ||
| 6 | V | 2010 | 7.2 | 31.92 | 0.230 × 109 |
| 2015 | 8.2 | 31.54 | 0.259 × 109 |
| Coal Mine Serial Number | Corresponding Gas Occurrence Zoning | Gas Grade | Number of Ventilating Shafts in the Coal Mine | Date of Investigation |
|---|---|---|---|---|
| A | I | High gas | 3 | July to September 2020 |
| B | I | High gas | 1 | |
| C | I | High gas | 4 | |
| D | I | High gas | 3 | |
| E | I | High gas | 3 | |
| F | I | High gas | 3 | |
| G | II | Coal and gas outburst | 1 | January to April 2021 |
| H | II | High gas | 1 | |
| I | V | Coal and gas outburst | 3 |
| Name | Time | Methane Extraction Quantity (m3/min) | Methane Utilization (m3) | Methane Drainage Quantity (m3/min) | Utilization Ratio (%) |
|---|---|---|---|---|---|
| A | 2020/7 | 155.63 | 5.08 × 106 | 41.83 | 73.12 |
| 2020/8 | 160.42 | 5.11 × 106 | 45.95 | 71.36 | |
| 2020/9 | 163.43 | 4.93 × 106 | 49.31 | 69.83 | |
| B | 2020/9 | 55.26 | 1.05 × 106 | 31.02 | 43.86 |
| C | 2020/7 | 79.90 | 1.24 × 106 | 52.17 | 34.71 |
| 2020/8 | 79.89 | 1.23 × 106 | 52.39 | 34.42 | |
| 2020/9 | 79.84 | 1.20 × 106 | 52.13 | 34.71 | |
| G | 2021/2 | 48.92 | 1.38 × 106 | 14.76 | 30.17 |
| 2021/3 | 50.10 | 1.40 × 106 | 18.67 | 37.27 | |
| 2021/4 | 52.26 | 1.08 × 106 | 25.52 | 48.83 |
| Coal Mine | A | B | C | D | E | F | G | H | I |
|---|---|---|---|---|---|---|---|---|---|
| Methane emission factor (m3/t) | 11.24 | 19.62 | 7.27 | 20.82 | 11.88 | 12.30 | 6.84 | 2.55 | 24.86 |
| Coal Mine | A | B | C | D | E | F | G | H | I |
|---|---|---|---|---|---|---|---|---|---|
| Methane emission factor (m3/t) | 9.31 | 8.82 | 4.16 | 14.59 | 8.04 | 8.98 | 4.29 | 2.01 | 12.24 |
| Year | 2016 | 2017 | 2018 | 2019 | 2020 | 2021 | 2022 | 2023 | 2024 | 2025 |
|---|---|---|---|---|---|---|---|---|---|---|
| Emission factor (m3/t) | 8.529 | 8.605 | 8.621 | 8.658 | 8.653 | 8.704 | 8.717 | 8.742 | 8.765 | 8.795 |
| Revised emission factor (m3/t) | 8.859 | 8.938 | 8.955 | 8.993 | 8.988 | 9.041 | 9.055 | 9.081 | 9.104 | 9.136 |
| Year | Estimated Value | Predicted Value | ||||||||
|---|---|---|---|---|---|---|---|---|---|---|
| 2016 | 2017 | 2018 | 2019 | 2020 | 2021 | 2022 | 2023 | 2024 | 2025 | |
| Emissions (Tg) | 4.77 | 5.19 | 5.58 | 6.00 | 6.38 | 6.80 | 7.20 | 7.61 | 8.02 | 8.43 |
Disclaimer/Publisher’s Note: The statements, opinions and data contained in all publications are solely those of the individual author(s) and contributor(s) and not of MDPI and/or the editor(s). MDPI and/or the editor(s) disclaim responsibility for any injury to people or property resulting from any ideas, methods, instructions or products referred to in the content. |
© 2023 by the authors. Licensee MDPI, Basel, Switzerland. This article is an open access article distributed under the terms and conditions of the Creative Commons Attribution (CC BY) license (https://creativecommons.org/licenses/by/4.0/).
Share and Cite
Zhang, X.; Zhu, T.; Yi, N.; Yuan, B.; Li, C.; Ye, Z.; Zhu, Z.; Zhang, X. Study on Characteristics and Model Prediction of Methane Emissions in Coal Mines: A Case Study of Shanxi Province, China. Atmosphere 2023, 14, 1422. https://doi.org/10.3390/atmos14091422
Zhang X, Zhu T, Yi N, Yuan B, Li C, Ye Z, Zhu Z, Zhang X. Study on Characteristics and Model Prediction of Methane Emissions in Coal Mines: A Case Study of Shanxi Province, China. Atmosphere. 2023; 14(9):1422. https://doi.org/10.3390/atmos14091422
Chicago/Turabian StyleZhang, Xueli, Tao Zhu, Nengjing Yi, Bo Yuan, Chen Li, Zefu Ye, Zhujun Zhu, and Xing Zhang. 2023. "Study on Characteristics and Model Prediction of Methane Emissions in Coal Mines: A Case Study of Shanxi Province, China" Atmosphere 14, no. 9: 1422. https://doi.org/10.3390/atmos14091422
APA StyleZhang, X., Zhu, T., Yi, N., Yuan, B., Li, C., Ye, Z., Zhu, Z., & Zhang, X. (2023). Study on Characteristics and Model Prediction of Methane Emissions in Coal Mines: A Case Study of Shanxi Province, China. Atmosphere, 14(9), 1422. https://doi.org/10.3390/atmos14091422
