Influence of the Madden–Julian Oscillation (MJO) on Tropical Cyclones Affecting Tonga in the Southwest Pacific
Abstract
1. Introduction
2. Data and Methods
2.1. Track Data and Study Area
2.2. Real-Time Multivariate MJO (RMM) Index
2.3. Oceanic Niño Index (ONI)
2.4. Bootstrap Method
2.5. Track Clustering
3. Results and Discussions
3.1. MJO and Climatology of Large-Scale Environmental Fields
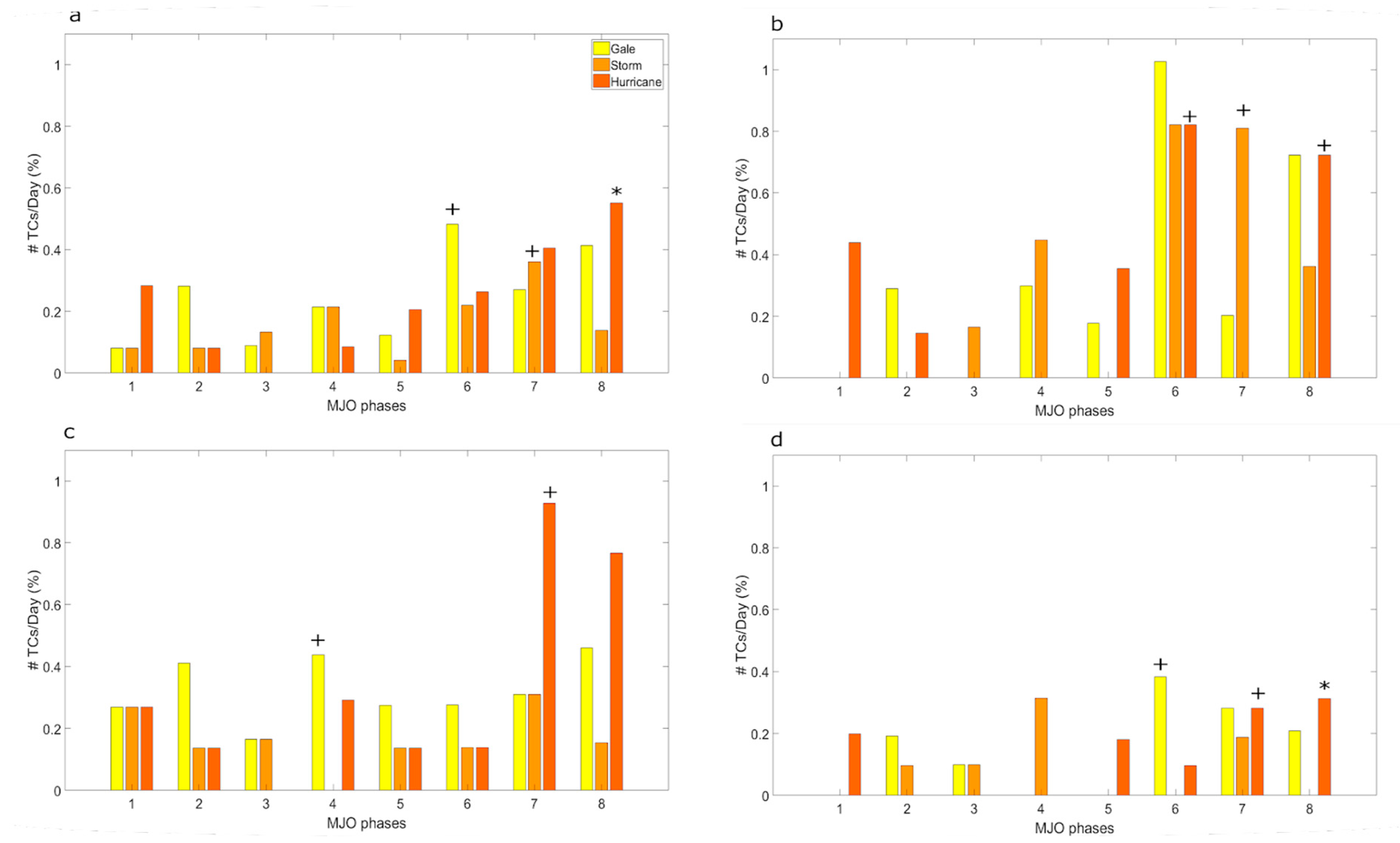
3.2. MJO and TC Frequency
3.3. MJO and Spatial Distribution of TC Genesis
3.4. MJO and TC Intensity
3.5. MJO and TC Trends
4. Conclusions
Author Contributions
Funding
Institutional Review Board Statement
Informed Consent Statement
Data Availability Statement
Acknowledgments
Conflicts of Interest
References
- Terry, J.P. Tropical Cyclones: Climatology and Impacts in the South Pacific; Springer Science & Business Media: New York, NY, USA, 2007. [Google Scholar]
- Lavender, S.L.; Dowdy, A.J. Tropical cyclone track direction climatology and its intraseasonal variability in the Australian region. J. Geophys. Res. Atmos. 2016, 121, 13–236. [Google Scholar] [CrossRef]
- Magee, A.D.; Verdon-Kidd, D.C.; Kiem, A.S.; Royle, S.A. Tropical cyclone perceptions, impacts and adaptation in the Southwest Pacific: An urban perspective from Fiji Vanuatu and Tonga. Nat. Hazards Earth Syst. Sci. 2016, 16, 1091–1105. [Google Scholar] [CrossRef]
- Radtke, K.; Weller, D. The WorldRiskIndex 2021. Available online: https://reliefweb.nt/report/world/worldriskreport-2021-focus-social-protection (accessed on 18 May 2023).
- World Bank. Acting on Climate Change and Disaster Risk for the Pacific, World Bank Report, 16. 2013. Available online: https://www.worldbank.org/content/dam/Worldbank/document/EAP/Pacific%20Islands/climate-change-pacific.pdf (accessed on 18 May 2023).
- Tu’uholoaki, M.; Singh, A.; Espejo, A.; Chand, S.; Damlamian, H. Tropical cyclone climatology, variability, and trends in the Tonga region, Southwest Pacific. Weather. Clim. Extrem. 2022, 37, 100483. [Google Scholar] [CrossRef]
- Dowdy, A.J.; Qi, L.; Jones, D.; Ramsay, H.; Fawcett, R.; Kuleshov, Y. Tropical cyclone climatology of the South Pacific Ocean and its relationship to El Niño–Southern Oscillation. J. Clim. 2012, 25, 6108–6122. [Google Scholar] [CrossRef]
- Stephens, S.A.; Ramsay, D.L. Extreme cyclone wave climate in the Southwest Pacific Ocean: Influence of the El Niño Southern Oscillation and projected climate change. Glob. Planet. Chang. 2014, 123, 13–26. [Google Scholar] [CrossRef]
- World Trade Organisation. Executive Summary. WTO. Report. 2018. Available online: https://www.wto.org/english/tratop_e/devel_e/study_1_pacific_country_annex_18_april_draft_final.pdf (accessed on 18 May 2023).
- Cyclone Harold. 2020. Available online: https://en.wikipedia.org/wiki/Cyclone_Harold (accessed on 26 May 2023).
- Chand, S.S.; Walsh, K.J. The influence of the Madden–Julian oscillation on tropical cyclone activity in the Fiji region. J. Clim. 2010, 23, 868–886. [Google Scholar] [CrossRef]
- Vincent, E.M.; Lengaigne, M.; Menkes, C.E.; Jourdain, N.C.; Marchesiello, P.; Madec, G. Interannual variability of the South Pacific Convergence Zone and implications for tropical cyclone genesis. Clim. Dynam. 2011, 36, 1881–1896. [Google Scholar] [CrossRef]
- Ramsay, H.A.; Camargo, S.J.; Kim, D. Cluster analysis of tropical cyclone tracks in the Southern Hemisphere. Clim. Dyn. 2012, 39, 897–917. [Google Scholar] [CrossRef]
- Klotzbach, P.J. The Madden–Julian oscillation’s impacts on worldwide tropical cyclone activity. J. Clim. 2014, 27, 2317–2330. [Google Scholar] [CrossRef]
- Diamond, H.J.; Renwick, J.A. The climatological relationship between tropical cyclones in the southwest pacific and the Madden–Julian Oscillation. Int. J. Climatol. 2015, 35, 676–686. [Google Scholar] [CrossRef]
- Fakhruddin, B.S.; Schick, L. Benefits of economic assessment of cyclone early warning systems-A case study on Cyclone Evan in Samoa. Prog. Disaster Sci. 2019, 2, 100034. [Google Scholar] [CrossRef]
- Zhang, C. Madden-julian oscillation. Rev. Geophys. 2005, 43, 1–46. [Google Scholar] [CrossRef]
- Zhang, C. Madden–Julian oscillation: Bridging weather and climate. Bull. Am. Meteorol. Soc. 2013, 94, 1849–1870. [Google Scholar] [CrossRef]
- Schreck, C.J.; Molinari, J.; Aiyyer, A. A global view of equatorial waves and tropical cyclogenesis. Mon. Weather Rev. 2012, 140, 774–788. [Google Scholar] [CrossRef]
- Balaguru, K.; Leung, L.R.; Hagos, S.M.; Krishnakumar, S. An oceanic pathway for Madden–Julian Oscillation influence on Maritime Continent Tropical Cyclones. Npj Clim. Atmos. Sci. 2021, 4, 52. [Google Scholar] [CrossRef]
- Diamond, H.J.; Schreck, C.J., III; Allgood, A.; Becker, E.J.; Blake, E.S.; Bringas, F.G.; Camargo, S.J.; Chen, L.; Coelho, C.A.S.; Fauchereau, N.; et al. The Tropics. Bull. Am. Meteor. Soc. 2022, 103, S193–S256. [Google Scholar] [CrossRef]
- Chand, S.S.; Walsh, K.J. Tropical cyclone activity in the Fiji region: Spatial patterns and relationship to large-scale circulation. J. Clim. 2009, 22, 3877–3893. [Google Scholar] [CrossRef]
- Sinclair, M.R. Extratropical transition of southwest Pacific tropical cyclones. Part I: Climatology and mean structure changes. Mon. Weather Rev. 2002, 130, 590–609. [Google Scholar] [CrossRef]
- Tu’uholoaki, M. Analysis of 8 February Heavy Rainfall Event Over Tongatapu: A Thesis Submitted to the Victoria University of Wellington in Partialfulfilment of the Requirements for the Degree of Master of Science in Geophysics. Master’s Thesis, Victoria University of Wellington, Wellington, New Zealand, 2012. [Google Scholar]
- Lee, J.C.K.; Lee, R.W.; Woolnough, S.J.; Boxall, L.J. The links between the Madden-Julian Oscillation and European weather regimes. Theor. Appl. Climatol. 2020, 141, 567–586. [Google Scholar] [CrossRef]
- Lin, H. The Madden-Julian Oscillation. Atmos. Ocean. 2022, 60, 338–359. [Google Scholar] [CrossRef]
- Roulston, M.S.; Neelin, J.D. The response of an ENSO model to climate noise, weather noise and intraseasonal forcing. Geophys. Res. Lett. 2000, 27, 3723–3726. [Google Scholar] [CrossRef]
- Zavala-Garay, J.; Zhang, C.; Moore, A.M.; Kleeman, R. The linear response of ENSO to the Madden–Julian oscillation. J. Clim. 2005, 18, 2441–2459. [Google Scholar] [CrossRef]
- Arcodia, M.C.; Kirtman, B.P.; Siqueira, L.S. How MJO teleconnections and ENSO interference impacts US precipitation. J. Clim. 2020, 33, 4621–4640. [Google Scholar] [CrossRef]
- Rui, H.; Wang, B. Development characteristics and dynamic structure of tropical intraseasonal convection anomalies. J. Atmos. Sci. 1990, 47, 357–379. [Google Scholar] [CrossRef]
- Kiladis, G.N.; Wheeler, M. Horizontal and vertical structure of observed tropospheric equatorial Rossby waves. J. Geophys. Res. Atmos. 1995, 100, 22981–22997. [Google Scholar] [CrossRef]
- Diamond, H.J.; Lorrey, A.M.; Knapp, K.R.; Levinson, D.H. Development of an enhanced tropical cyclone tracks database for the southwest Pacific from 1840 to 2010. Int. J. Climatol. 2012, 32, 2240–2250. [Google Scholar] [CrossRef]
- Magee, A.D.; Verdon-Kidd, D.C.; Kiem, A.S. An intercomparison of tropical cyclone best-track products for the southwest Pacific. Nat. Hazards Earth Syst. Sci. 2016, 16, 1431–1447. [Google Scholar] [CrossRef]
- Sharma, K.K.; Verdon-Kidd, D.C.; Magee, A.D. Decadal variability of tropical cyclogenesis decay in the southwest. Pac. Int. J. Climatol. 2020, 40, 2811–2829. [Google Scholar] [CrossRef]
- WMO. Tropical Cyclones. 2022. Available online: https://public.wmo.int/en/our-mandate/focus-areas/natural-hazards-and-disaster-risk-reduction/tropicalcyclones#:~:text=Its%20diameter%20is%20%20typically%20around,storm%20resources%20and%20coastal%20flooding (accessed on 20 December 2022).
- Wheeler, M.C.; Hendon, H.H. An all-season real-time multivariate MJO index: Development of an index for monitoring and prediction. Mon. Weather Rev. 2004, 132, 1917–1932. [Google Scholar] [CrossRef]
- Oliver, E.C.; Thompson, K.R. A reconstruction of Madden–Julian oscillation variability from 1905 to 2008. J. Clim. 2001, 25, 1996–2019. [Google Scholar] [CrossRef]
- Compo, G.P.; Whitaker, J.S.; Sardeshmukh, P.D.; Matsui, N.; Allan, R.J.; Yin, X.; Gleason, B.E.; Vose, R.S.; Rutledge, G.; Bessemoulin, P.; et al. The twentieth century reanalysis project. Q. J. R. Meteorol. Soc. 2001, 137, 1–28. [Google Scholar] [CrossRef]
- Camargo, S.J.; Robertson, A.W.; Gaffney, S.J.; Smyth, P.; Ghil, M. Cluster analysis of typhoon tracks. Part I: General properties. J. Clim. 2007, 20, 3635–3653. [Google Scholar] [CrossRef]
- Gaffney, S.J. Probabilistic Curve-Aligned Clustering and Prediction with Regression Mixture Models; University of California: Irvine, CA, USA, 2004. [Google Scholar]
- Camargo, S.J.; Robertson, A.W.; Gaffney, S.J.; Smyth, P.; Ghil, M. Cluster analysis of typhoon tracks Part II: Large-scale circulation, E.N.S.O. J. Clim. 2007, 20, 3654–3676. [Google Scholar] [CrossRef]
- Sharma, K.K.; Magee, A.D.; Verdon-Kidd, D.C. Variability of southwest Pacific tropical cyclone track geometry over the last 70 years. Int. J. Climatol. 2021, 41, 529–546. [Google Scholar] [CrossRef]
- Gaffney, S.J.; Robertson, A.W.; Smyth, P.; Camargo, S.J.; Ghil, M. Probabilistic clustering of extratropical cyclones using regression mixture models. Clim. Dyn. 2007, 29, 423–440. [Google Scholar] [CrossRef]
- Terry, J.P.; Gienko, G. Developing a new sinuosity index for cyclone tracks in the tropical South Pacific. Nat. Hazards 2011, 59, 1161–1174. [Google Scholar] [CrossRef]
- Gray, W.M. Global view of the origin of tropical disturbances and storms. Mon. Weather Rev. 1968, 96, 669–700. [Google Scholar] [CrossRef]
- Paterson, L.A.; Hanstrum, B.N.; Davidson, N.E.; Weber, H.C. Influence of environmental vertical wind shear on the intensity of hurricane-strength tropical cyclones in the Australian region. Mon. Weather Rev. 2005, 133, 3644–3660. [Google Scholar] [CrossRef]
- Chand, S.S.; Tory, K.J.; Ye, H.; Walsh, K.J. Projected increase in El Niño-driven tropical cyclone frequency in the Pacific. Nat. Clim. Chang. 2017, 7, 123–127. [Google Scholar] [CrossRef]





| Classification of Weather Disturbances/Australian TC Category Classification System | Speed Range (Knots) |
|---|---|
| Tropical depressions | <34 |
| Tropical cyclones (Gale)/Category 1 | 34–47 |
| Tropical cyclones (Storm)/Category 2 | 48–63 |
| Severe Tropical cyclones (Hurricane)/Category 3 | 64–85 |
| Severe Tropical cyclones (Hurricane)/Category 4 | 86–107 |
| (a) All Years | (b) El Niño | |||||||||||||
|---|---|---|---|---|---|---|---|---|---|---|---|---|---|---|
| Phase | U200–850 | SST | SLP | OLR | 300 hPa Omega | RV850 | RH700 | U200–850 | SST | SLP | OLR | 300 hPa Omega | RV850 | RH700 |
| 1 | −0.77 | −0.10 | 1.21 | 0.34 | 6.77 | 0.05 | −4.08 | −0.29 | −0.09 | 1.38 | 0.40 | 8.63 | 0.73 | −4.14 |
| 2 | 1.14 | −0.04 | 1.09 | 0.22 | 8.20 | 1.07 | −2.00 | 2.5 | −0.10 | 1.25 | 0.24 | 8.61 | 1.02 | −2.29 |
| 3 | 3.64 | −0.02 | 0.38 | 0.19 | 9.63 | 1.63 | −1.12 | 4.63 | −0.01 | 0.78 | 0.23 | 10.96 | 1.58 | −1.70 |
| 4 | 4.03 | 0.01 | −0.07 | 0.06 | 6.14 | 1.34 | 0.91 | 3.97 | −0.04 | −0.06 | −0.03 | 2.55 | 1.17 | 0.98 |
| 5 | 2.09 | 0.06 | −0.63 | −0.17 | −2.35 | 0.75 | 2.81 | 2.01 | 0.05 | −0.49 | −0.21 | −3.66 | 1.33 | 2.58 |
| 6 | −1.41 | 0.06 | −1.16 | −0.37 | −12.61 | −0.80 | 3.35 | −2.44 | 0.08 | −1.22 | −0.37 | −12.02 | −0.27 | 4.25 |
| 7 | −4.73 | 0.03 | −0.98 | −0.34 | −14.30 | −2.40 | 1.76 | −6.66 | 0.06 | −1.48 | −0.35 | −14.42 | −3.50 | 1.72 |
| 8 | −4.00 | −0.01 | 0.14 | 0.07 | −1.51 | −1.66 | −1.63 | −3.72 | 0.05 | −0.13 | 0.09 | −0.66 | −2.05 | −1.39 |
| (c) La Niña | (d) ENSO-Neutral | |||||||||||||
| Phase | U200–850 | SST | SLP | OLR | 300 hPa omega | RV850 | RH700 | U200–850 | SST | SLP | OLR | 300-hPa omega | RV850 | RH700 |
| 1 | −3.12 | 0.01 | 0.54 | −0.13 | −9.02 | −1.36 | −0.05 | −0.59 | −0.14 | 1.25 | 0.43 | 9.74 | 0.160 | −5.05 |
| 2 | −0.47 | 0.08 | 0.740 | 0.18 | 6.14 | 0.28 | −1.16 | 1.42 | −0.06 | 1.15 | 0.24 | 8.90 | 1.32 | −2.24 |
| 3 | 2.87 | 0.00 | −0.100 | 0.16 | 9.31 | 1.01 | −0.99 | 3.55 | −0.03 | 0.43 | 0.19 | 9.41 | 1.82 | −1.01 |
| 4 | 3.11 | 0.08 | −0.04 | 0.23 | 10.68 | 1.14 | −0.59 | 4.47 | 0.00 | −0.09 | 0.04 | 6.39 | 1.53 | 1.26 |
| 5 | 4.35 | −0.05 | 0.0 | 0.19 | 10.59 | 1.50 | −0.42 | 1.54 | 0.09 | −0.77 | −0.23 | −4.52 | 0.45 | 3.59 |
| 6 | 0.97 | −0.08 | −0.91 | −0.280 | −11.29 | −0.73 | 2.23 | −1.81 | 0.11 | −1.17 | −0.40 | −13.07 | −1.00 | 3.45 |
| 7 | −3.83 | 0.04 | −0.60 | −0.31 | −11.69 | −0.76 | 1.45 | −4.25 | 0.03 | −0.94 | −0.34 | −15.02 | −2.67 | 1.86 |
| 8 | −3.88 | −0.07 | 0.37 | −0.04 | −4.72 | −1.10 | −0.47 | −4.32 | −0.01 | 0.15 | 0.06 | −1.82 | −1.61 | −1.85 |
| TCs | Category | Date | Mjophase | U200–850 | SST | SLP | OLR | 300-hPa Omega | RV850 | RH700 | ENSO Phase |
|---|---|---|---|---|---|---|---|---|---|---|---|
| Lola | 1 | 4 Apr 2016 | 4 | −10.88 | 0.63 | −4.10 | −0.68 | −6.48 | −3.01 | 10.42 | ![]() |
| Ron | 1 | 1 Jan 1998 | 6 | −4.97 | 0.09 | −1.64 | −0.72 | −27.09 | −6.99 | 8.71 | |
| Ron | 5 | 7 Jan 1998 | 8 | −9.73 | −0.07 | −3.08 | −1.69 | −74.25 | −9.00 | 6.96 | |
| Elisa | 2 | 7 Jan 2008 | 6 | −9.31 | 0.18 | −1.54 | −1.49 | −43.17 | −6.20 | 17.65 | ![]() |
| Gita | 1 | 1 Feb 2018 | 7 | −6.63 | 0.54 | −3.34 | −0.94 | −25.52 | −9.28 | 13.87 | |
| Gita | 5 | 12 Feb 2018 | 7 | −7.53 | 0.32 | −2.68 | −0.07 | −40.16 | −1.94 | −6.74 | |
| Urmil | 2 | 13 Jan 2006 | 3 | −1.67 | 0.37 | −2.42 | −0.56 | −16.67 | −2.53 | −2.22 | ![]() |
| Kina | 1 | 26 Dec 1992 | 7 | 1.69 | −0.31 | −3.58 | −0.69 | −35.39 | −4.87 | 0.47 | |
| Kina | 4 | 1 Jan 1993 | 7 | −8.80 | −0.39 | −4.29 | −1.08 | −35.84 | −12.9 | −1.96 |
Disclaimer/Publisher’s Note: The statements, opinions and data contained in all publications are solely those of the individual author(s) and contributor(s) and not of MDPI and/or the editor(s). MDPI and/or the editor(s) disclaim responsibility for any injury to people or property resulting from any ideas, methods, instructions or products referred to in the content. |
© 2023 by the authors. Licensee MDPI, Basel, Switzerland. This article is an open access article distributed under the terms and conditions of the Creative Commons Attribution (CC BY) license (https://creativecommons.org/licenses/by/4.0/).
Share and Cite
Tu’uholoaki, M.; Espejo, A.; Sharma, K.K.; Singh, A.; Wandres, M.; Damlamian, H.; Chand, S. Influence of the Madden–Julian Oscillation (MJO) on Tropical Cyclones Affecting Tonga in the Southwest Pacific. Atmosphere 2023, 14, 1189. https://doi.org/10.3390/atmos14071189
Tu’uholoaki M, Espejo A, Sharma KK, Singh A, Wandres M, Damlamian H, Chand S. Influence of the Madden–Julian Oscillation (MJO) on Tropical Cyclones Affecting Tonga in the Southwest Pacific. Atmosphere. 2023; 14(7):1189. https://doi.org/10.3390/atmos14071189
Chicago/Turabian StyleTu’uholoaki, Moleni, Antonio Espejo, Krishneel K. Sharma, Awnesh Singh, Moritz Wandres, Herve Damlamian, and Savin Chand. 2023. "Influence of the Madden–Julian Oscillation (MJO) on Tropical Cyclones Affecting Tonga in the Southwest Pacific" Atmosphere 14, no. 7: 1189. https://doi.org/10.3390/atmos14071189
APA StyleTu’uholoaki, M., Espejo, A., Sharma, K. K., Singh, A., Wandres, M., Damlamian, H., & Chand, S. (2023). Influence of the Madden–Julian Oscillation (MJO) on Tropical Cyclones Affecting Tonga in the Southwest Pacific. Atmosphere, 14(7), 1189. https://doi.org/10.3390/atmos14071189




