Computational Domain Size Effects on Large-Eddy Simulations of Precipitating Shallow Cumulus Convection
Abstract
1. Introduction
2. Methods
3. Results
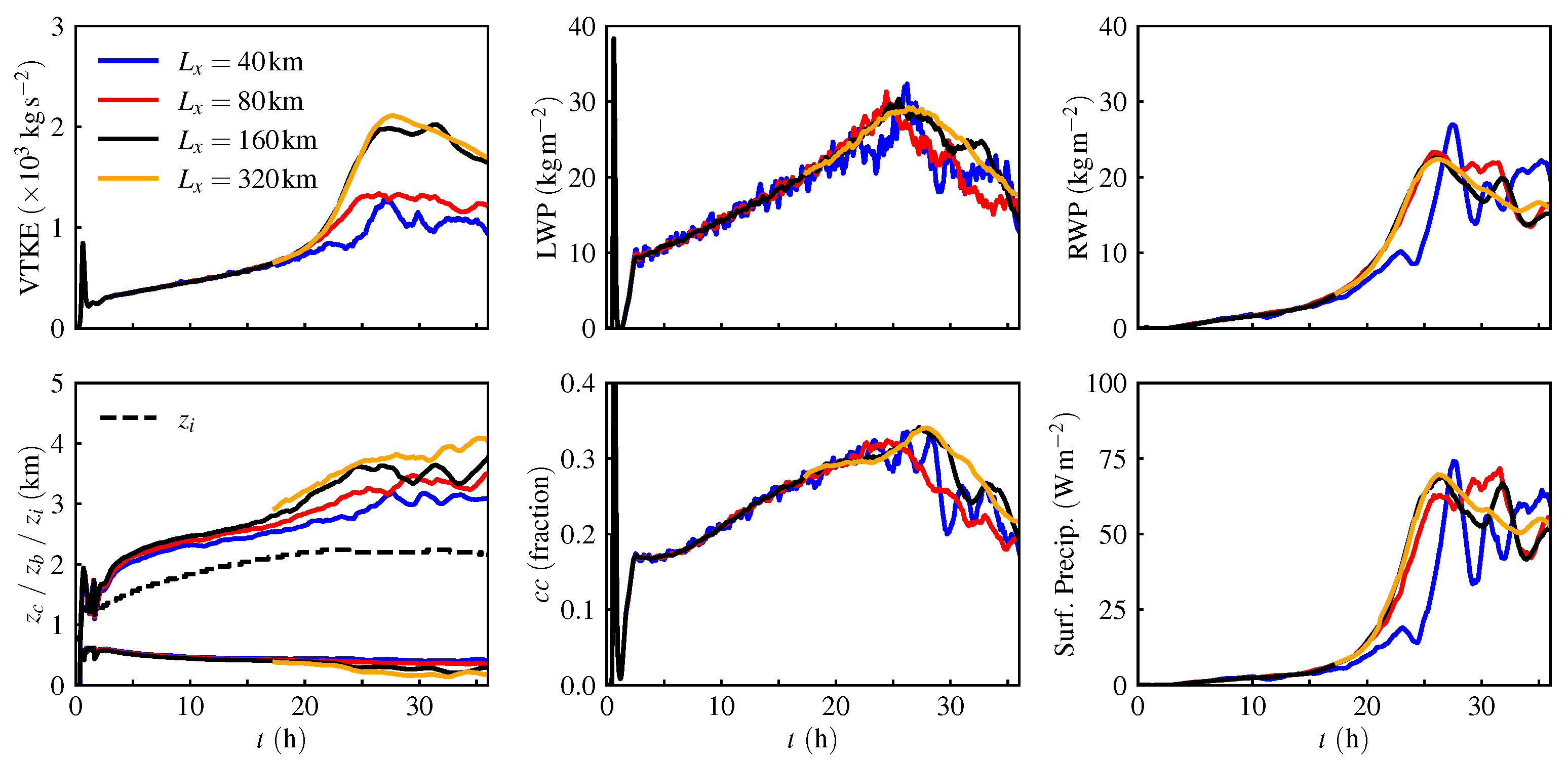
3.1. Convection Organization
3.2. Domain-Averaged Turbulent-Flow Statistics
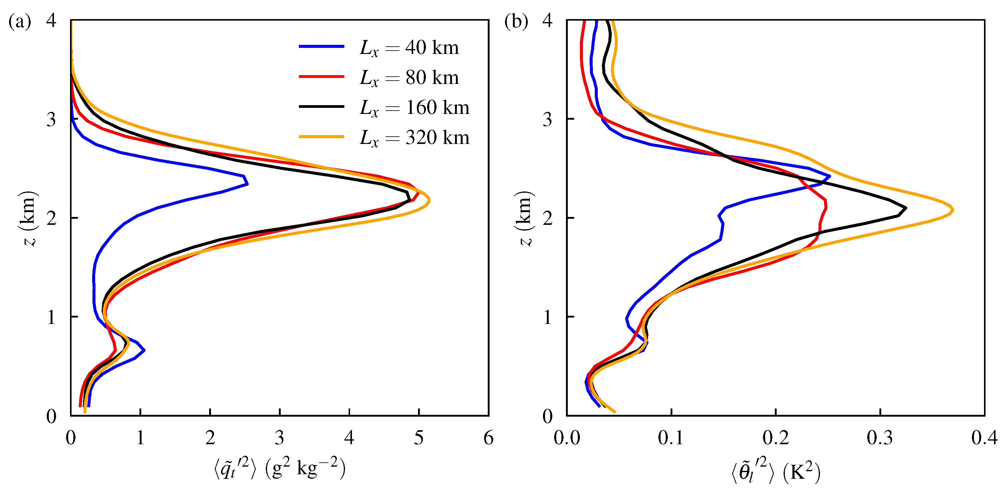
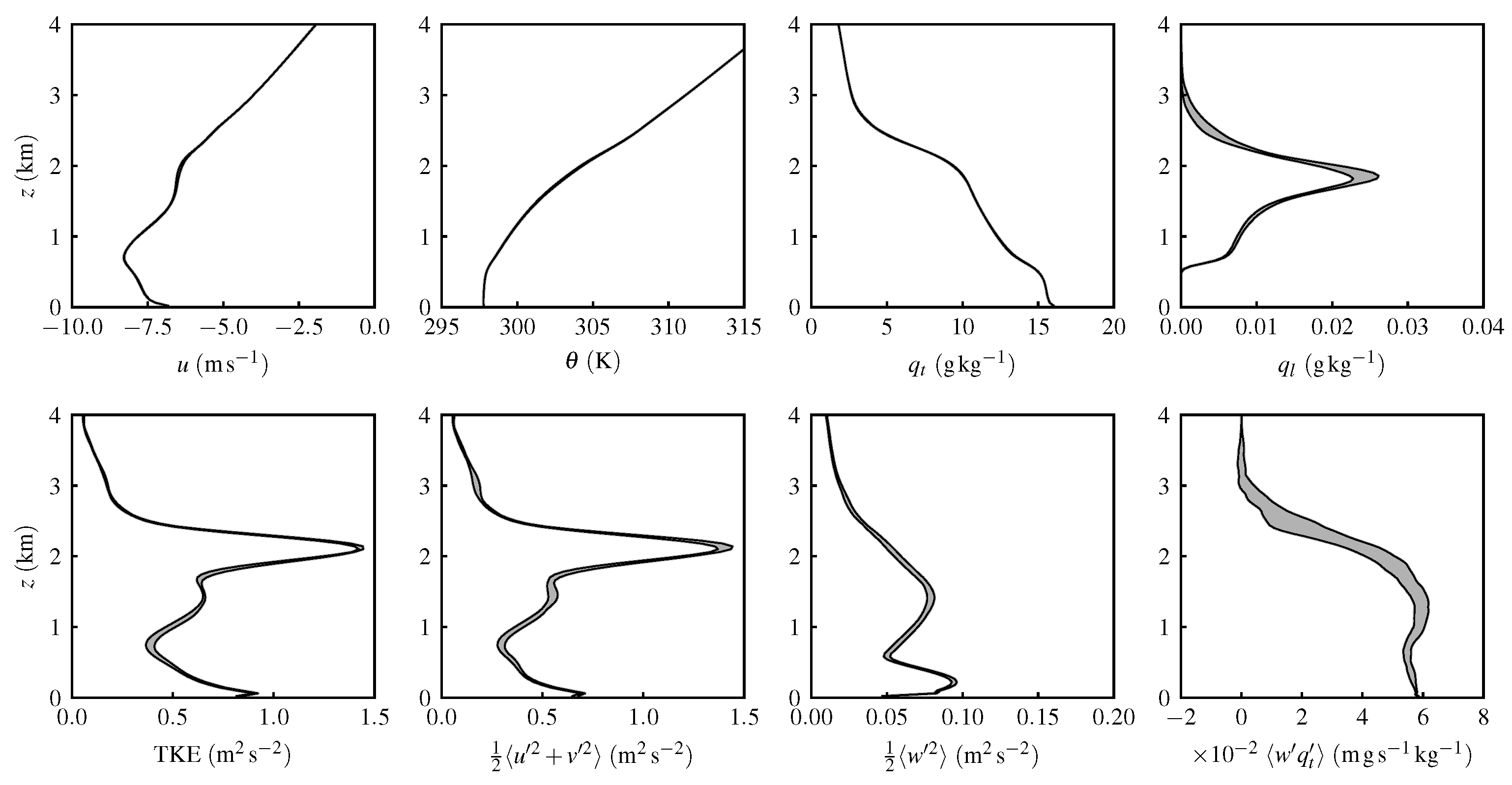
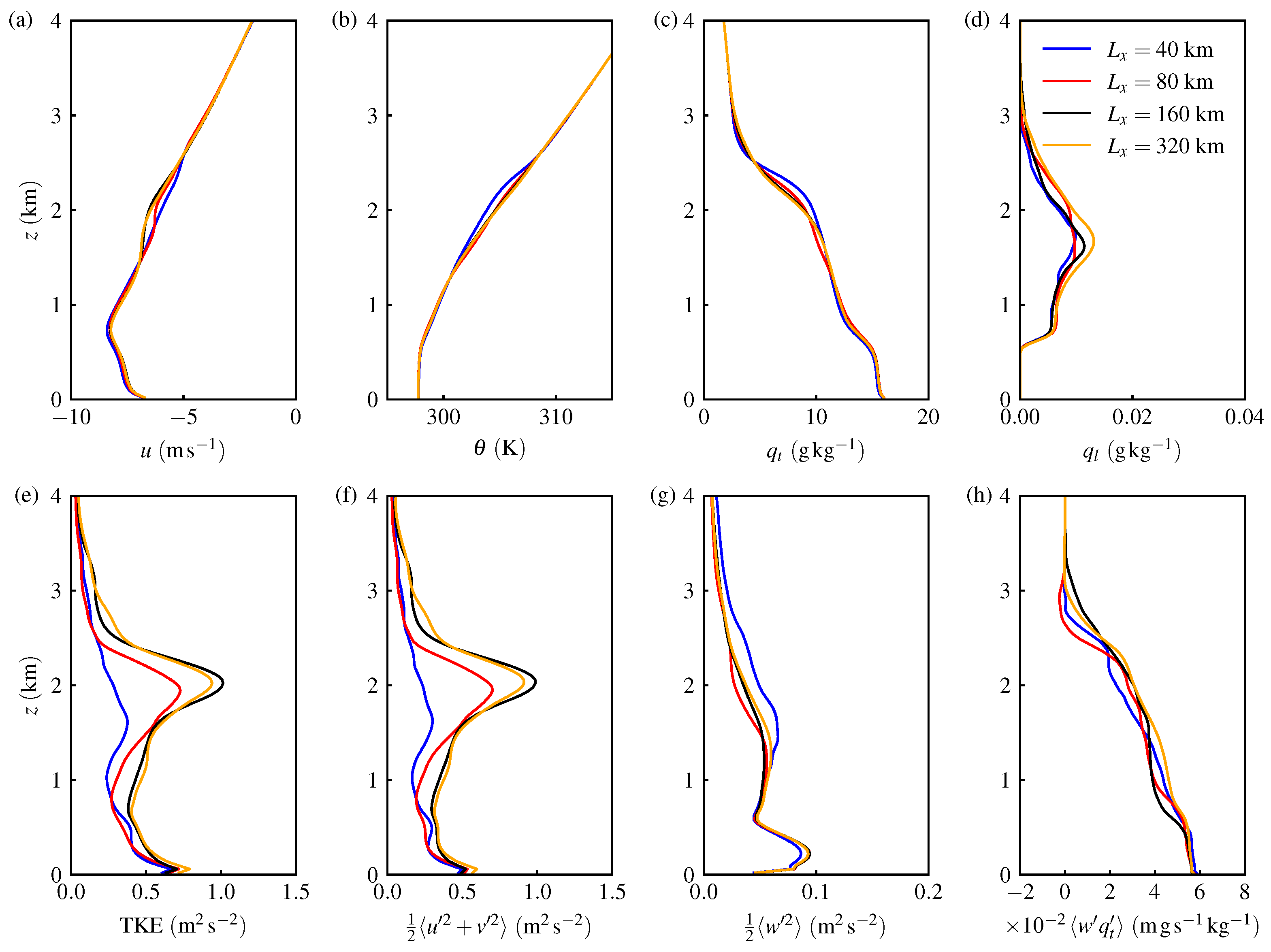
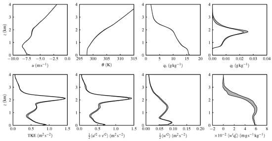
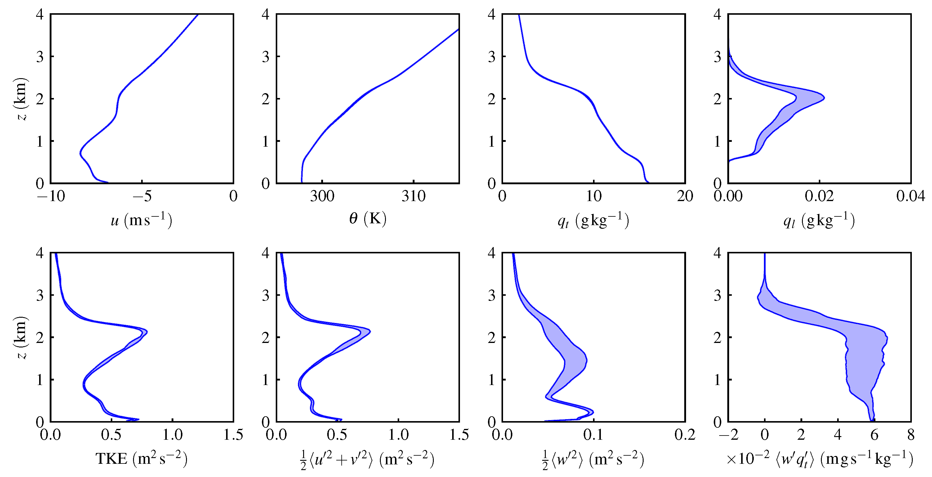
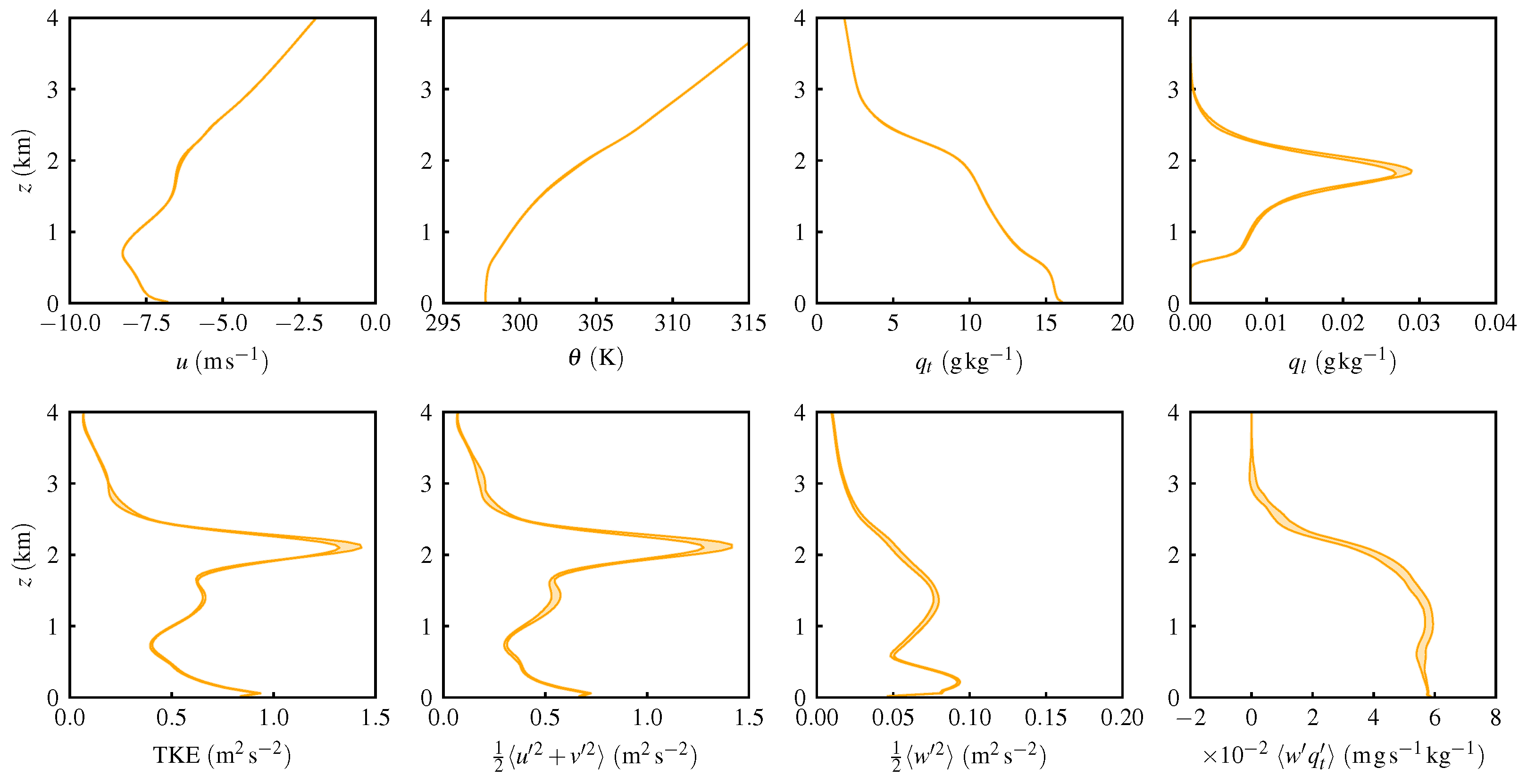
3.3. Vertical Profiles
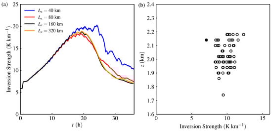
3.4. Inversion Strength
3.5. Spectra and Length Scales
4. Conclusions
Author Contributions
Funding
Data Availability Statement
Acknowledgments
Conflicts of Interest
Appendix A




References
- Bony, S.; Stevens, B.; Frierson, D.M.; Jakob, C.; Kageyama, M.; Pincus, R.; Shepherd, T.G.; Sherwood, S.C.; Siebesma, A.P.; Sobel, A.H.; et al. Clouds, circulation and climate sensitivity. Nat. Geosci. 2015, 8, 261–268. [Google Scholar] [CrossRef]
- Zelinka, M.D.; Randall, D.A.; Webb, M.J.; Klein, S.A. Clearing clouds of uncertainty. Nat. Clim. Change 2017, 7, 674–678. [Google Scholar] [CrossRef]
- Klein, S.A.; Hall, A.; Norris, J.R.; Pincus, R. Low-Cloud Feedbacks from Cloud-Controlling Factors: A Review. In Shallow Clouds, Water Vapor, Circulation, and Climate Sensitivity; Pincus, R., Winker, D., Bony, S., Stevens, B., Eds.; Springer International Publishing: Cham, Switzerland, 2018; pp. 135–157. [Google Scholar]
- Savic-Jovcic, V.; Stevens, B. The structure and mesoscale organization of precipitating stratocumulus. J. Atmos. Sci. 2008, 65, 1587–1605. [Google Scholar] [CrossRef]
- LeMone, M.A.; Angevine, W.M.; Bretherton, C.S.; Chen, F.; Dudhia, J.; Fedorovich, E.; Katsaros, K.B.; Lenschow, D.H.; Mahrt, L.; Patton, E.G.; et al. 100 years of progress in boundary layer meteorology. Meteorol. Monogr. 2019, 59, 9.1–9.85. [Google Scholar] [CrossRef]
- Ovchinnikov, M.; Fast, J.D.; Berg, L.K.; Gustafson, W.I., Jr.; Chen, J.; Sakaguchi, K.; Xiao, H. Effects of horizontal resolution, domain size, boundary conditions, and surface heterogeneity on coarse LES of a convective boundary layer. Mon. Weather Rev. 2022, 150, 1397–1415. [Google Scholar] [CrossRef]
- Matheou, G.; Chung, D.; Nuijens, L.; Stevens, B.; Teixeira, J. On the fidelity of large-eddy simulation of shallow precipitating cumulus convection. Mon. Weather Rev. 2011, 139, 2918–2939. [Google Scholar] [CrossRef]
- Seifert, A.; Heus, T.; Pincus, R.; Stevens, B. Large-eddy simulation of the transient and near-equilibrium behavior of precipitating shallow convection. J. Adv. Model. Earth Syst. 2015, 7, 1918–1937. [Google Scholar] [CrossRef]
- Schalkwijk, J.; Jonker, H.J.J.; Siebesma, A.P.; Meijgaard, E.V. Weather forecasting using GPU-based large-eddy simulations. Bull. Am. Meteorol. Soc. 2015, 96, 715–723. [Google Scholar] [CrossRef]
- Anurose, T.; Bašták Ďurán, I.; Schmidli, J.; Seifert, A. Understanding the moisture variance in precipitating shallow cumulus convection. J. Geophys. Res.-Atmos. 2020, 125, e2019JD031178. [Google Scholar] [CrossRef]
- Lamaakel, O.; Matheou, G. Galilean invariance of shallow cumulus convection large-eddy simulation. J. Comput. Phys. 2021, 427, 11012. [Google Scholar] [CrossRef]
- Lamaakel, O.; Matheou, G. Organization development in precipitating shallow cumulus convection: Evolution of turbulence characteristics. J. Atmos. Sci. 2022, 79, 2419–2433. [Google Scholar] [CrossRef]
- Brown, A.R. The sensitivity of large-eddy simulations of shallow cumulus convection to resolution and subgrid model. Q. J. R. Meteorol. Soc. 1999, 125, 469–482. [Google Scholar] [CrossRef]
- De Roode, S.R.; Duynkerke, P.G.; Jonker, H.J. Large-eddy simulation: How large is large enough? J. Atmos. Sci. 2004, 61, 403–421. [Google Scholar] [CrossRef]
- Stevens, D.E.; Ackerman, A.S.; Bretherton, C.S. Effects of domain size and numerical resolution on the simulation of shallow cumulus convection. J. Atmos. Sci. 2002, 59, 3285–3301. [Google Scholar] [CrossRef]
- Cheng, A.; Xu, K.M.; Stevens, B. Effects of resolution on the simulation of boundary-layer clouds and the partition of kinetic energy to subgrid scales. J. Adv. Model. Earth Syst. 2010, 2, Art. #3. [Google Scholar] [CrossRef]
- Pedersen, J.G.; Malinowski, S.P.; Grabowski, W.W. Resolution and domain-size sensitivity in implicit large-eddy simulation of the stratocumulus-topped boundary layer. J. Adv. Model. Earth Syst. 2016, 8, 885–903. [Google Scholar] [CrossRef]
- Janssens, M.; De Arellano, J.V.G.; Van Heerwaarden, C.C.; De Roode, S.R.; Siebesma, A.P.; Glassmeier, F. Nonprecipitating shallow cumulus convection is intrinsically unstable to length scale growth. J. Atmos. Sci. 2023, 80, 849–870. [Google Scholar] [CrossRef]
- Seifert, A.; Heus, T. Large-eddy simulation of organized precipitating trade wind cumulus clouds. Atmos. Chem. Phys. 2013, 13, 5631–5645. [Google Scholar] [CrossRef]
- Dagan, G.; Koren, I.; Kostinski, A.; Altaratz, O. Organization and oscillations in simulated shallow convective clouds. J. Atmos. Sci. 2018, 10, 2287–2299. [Google Scholar] [CrossRef]
- Janssens, M.; Vilà-Guerau de Arellano, J.; Van Heerwaarden, C.C.; Van Stratum, B.J.; De Roode, S.R.; Siebesma, A.P.; Glassmeier, F. The time scale of shallow convective self-aggregation in large-eddy simulations Is sensitive to numerics. J. Adv. Model. Earth Syst. 2023, 15, e2022MS003292. [Google Scholar] [CrossRef]
- Matheou, G.; Chung, D. Large-eddy simulation of stratified turbulence. Part II: Application of the stretched-vortex model to the atmospheric boundary layer. J. Atmos. Sci. 2014, 71, 4439–4460. [Google Scholar] [CrossRef]
- Seifert, A.; Beheng, K.D. A double-moment parameterization for simulating autoconversion, accretion and selfcollection. Atmos. Res. 2001, 59–60, 265–281. [Google Scholar] [CrossRef]
- Chung, D.; Matheou, G. Large-eddy simulation of stratified turbulence. Part I: A vortex-based subgrid-scale model. J. Atmos. Sci. 2014, 71, 1863–1879. [Google Scholar] [CrossRef]
- Morinishi, Y.; Lund, T.S.; Vasilyev, O.V.; Moin, P. Fully conservative higher order finite difference schemes for incompressible flow. J. Comput. Phys. 1998, 143, 90–124. [Google Scholar] [CrossRef]
- Spalart, P.R.; Moser, R.D.; Rogers, M.M. Spectral methods for the Navier–Stokes equations with one infinite and two periodic directions. J. Comput. Phys. 1991, 96, 297–324. [Google Scholar] [CrossRef]
- Rauber, R.M.; Stevens, B.; Ochs, H.T., III; Knight, C.; Albrecht, B.A.; Blyth, A.M.; Fairall, C.W.; Jensen, J.B.; Lasher-Trapp, S.G.; Mayol-Bracero, O.L.; et al. Rain in shallow cumulus over the ocean: The RICO campaign. Bull. Am. Meteorol. Soc. 2007, 88, 1912–1928. [Google Scholar] [CrossRef]
- van Zanten, M.C.; Stevens, B.; Nuijens, L.; Siebesma, A.P.; Ackerman, A.S.; Burnet, F.; Cheng, A.; Couvreux, F.; Jiang, H.; Khairoutdinov, M.; et al. Controls on precipitation and cloudiness in simulations of trade-wind cumulus as observed during RICO. J. Adv. Model. Earth Syst. 2011, 3, M06001. [Google Scholar]
- Nuijens, L.; Stevens, B.; Siebesma, A.P. The environment of precipitating shallow cumulus convection. J. Atmos. Sci. 2009, 66, 1962–1979. [Google Scholar] [CrossRef]
- Snodgrass, E.R.; Di Girolamo, L.; Rauber, R.M. Precipitation characteristics of trade wind clouds during RICO derived from radar, satellite, and aircraft measurements. J. Appl. Meteorol. 2009, 48, 464–483. [Google Scholar] [CrossRef]
- Li, Z.; Zuidema, P.; Zhu, P. Simulated convective invigoration processes at trade wind cumulus cold pool boundaries. J. Atmos. Sci. 2014, 71, 2823–2841. [Google Scholar] [CrossRef]
- Inoue, M.; Matheou, G.; Teixeira, J. LES of a spatially developing atmospheric boundary layer: Application of a fringe method for the stratocumulus to shallow cumulus cloud transition. Mon. Weather Rev. 2014, 142, 3418–3424. [Google Scholar] [CrossRef]
- Matheou, G.; Bowman, K.W. A recycling method for the large-eddy simulation of plumes in the atmospheric boundary layer. Environ. Fluid Mech. 2016, 16, 69–85. [Google Scholar] [CrossRef]
- Matheou, G. Numerical discretization and subgrid-scale model effects on large-eddy simulations of a stable boundary layer. Q. J. R. Meteorol. Soc. 2016, 142, 3050–3062. [Google Scholar] [CrossRef]
- Thorpe, A.K.; Frankenberg, C.; Green, R.O.; Thompson, D.R.; Aubrey, A.D.; Mouroulis, P.; Eastwood, M.L.; Matheou, G. The Airborne Methane Plume Spectrometer (AMPS): Quantitative imaging of methane plumes in real time. In Proceedings of the 2016 IEEE Aerospace Conference, Big Sky, MT, USA, 5–12 March 2016; pp. 1–14. [Google Scholar]
- Jongaramrungruang, S.; Frankenberg, C.; Matheou, G.; Thorpe, A.K.; Thompson, D.R.; Kuai, L.; Duren, R.M. Towards accurate methane point-source quantification from high-resolution 2-D plume imagery. Atmos. Meas. Tech. 2019, 12, 6667–6681. [Google Scholar] [CrossRef]
- Couvreux, F.; Bazile, E.; Rodier, Q.; Maronga, B.; Matheou, G.; Chinita, M.J.; Edwards, J.; Stratum, B.J.H.V.; Heerwaarden, C.C.V.; Huang, J.; et al. The GABLS4 experiment: Intercomparison of large-eddy simulation models of the antarctic boundary layer challenged by very stable stratification. Bound.-Layer Meteorol. 2020, 176, 369–400. [Google Scholar] [CrossRef]
- Hunter, J.D. Matplotlib: A 2D graphics environment. Comput. Sci. Eng. 2007, 9, 90–95. [Google Scholar] [CrossRef]








| Run | |||||
|---|---|---|---|---|---|
| A | 1024 | 125 | 40.96 | 5 | 40 |
| B | 2048 | 125 | 80.92 | 5 | 40 |
| C | 4096 | 125 | 163.84 | 5 | 40 |
| D | 8192 | 125 | 327.68 | 5 | 40 |
Disclaimer/Publisher’s Note: The statements, opinions and data contained in all publications are solely those of the individual author(s) and contributor(s) and not of MDPI and/or the editor(s). MDPI and/or the editor(s) disclaim responsibility for any injury to people or property resulting from any ideas, methods, instructions or products referred to in the content. |
© 2023 by the authors. Licensee MDPI, Basel, Switzerland. This article is an open access article distributed under the terms and conditions of the Creative Commons Attribution (CC BY) license (https://creativecommons.org/licenses/by/4.0/).
Share and Cite
Lamaakel, O.; Venters, R.; Teixeira, J.; Matheou, G. Computational Domain Size Effects on Large-Eddy Simulations of Precipitating Shallow Cumulus Convection. Atmosphere 2023, 14, 1186. https://doi.org/10.3390/atmos14071186
Lamaakel O, Venters R, Teixeira J, Matheou G. Computational Domain Size Effects on Large-Eddy Simulations of Precipitating Shallow Cumulus Convection. Atmosphere. 2023; 14(7):1186. https://doi.org/10.3390/atmos14071186
Chicago/Turabian StyleLamaakel, Oumaima, Ravon Venters, Joao Teixeira, and Georgios Matheou. 2023. "Computational Domain Size Effects on Large-Eddy Simulations of Precipitating Shallow Cumulus Convection" Atmosphere 14, no. 7: 1186. https://doi.org/10.3390/atmos14071186
APA StyleLamaakel, O., Venters, R., Teixeira, J., & Matheou, G. (2023). Computational Domain Size Effects on Large-Eddy Simulations of Precipitating Shallow Cumulus Convection. Atmosphere, 14(7), 1186. https://doi.org/10.3390/atmos14071186

