Chemical Characteristics and Source Apportionment of PM2.5 in Western Industrial Region of Jinan
Abstract
1. Introduction
2. Materials and Methods
2.1. Sampling
2.2. Chemical Analysis
2.3. Positive Matrix Factorization
3. Results and Discussion
3.1. Chemical Components of PM2.5
3.2. Seasonal Variation of Chemical Components
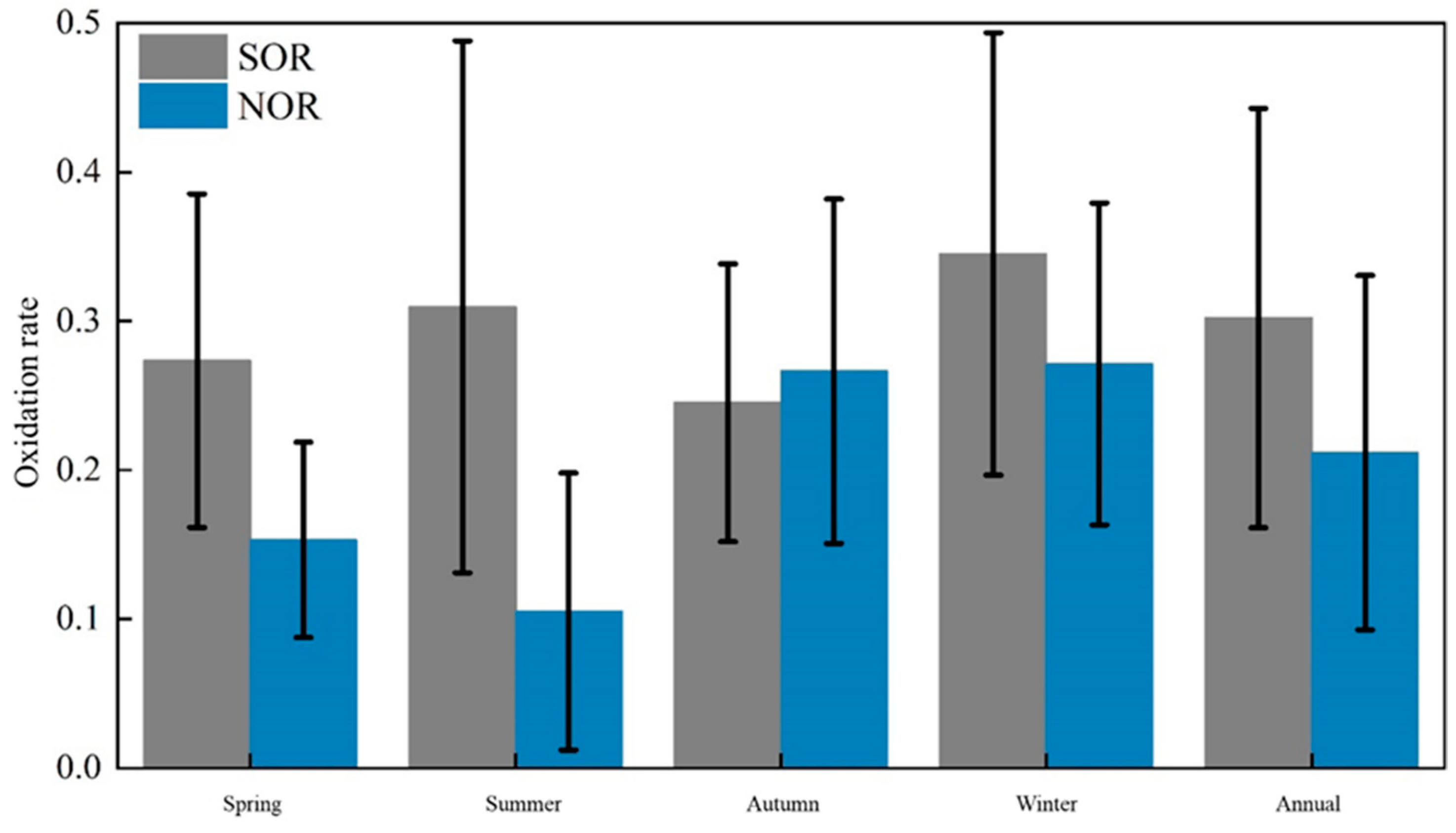
3.3. Sulfur Oxidation Rate and Nitrogen Oxidation Rate
3.4. The Estimation of Secondary Organic Carbon
3.5. Source Apportionment of PM2.5
4. Conclusions
Supplementary Materials
Author Contributions
Funding
Institutional Review Board Statement
Informed Consent Statement
Data Availability Statement
Conflicts of Interest
References
- Guo, J.; Li, L.; Wu, X.C.; Zhuang, T.; Liu, S.J.; Huang, X.J. Simulation study on the effect of key industrial sources on air quality in winter heavy pollution process in Jinan. Acta Sci. Circumstantiae 2019, 39, 134–142. [Google Scholar]
- An, Z.; Huang, R.-J.; Zhang, R.; Tie, X.; Li, G.; Cao, J.; Zhou, W.; Shi, Z.; Han, Y.; Gu, Z.; et al. Severe haze in northern China: A synergy of anthropogenic emissions and atmospheric processes. Proc. Natl. Acad. Sci. USA 2019, 116, 8657–8666. [Google Scholar] [CrossRef] [PubMed]
- Zheng, H.; Kong, S.; Yan, Q.; Wu, F.; Cheng, Y.; Zheng, S.; Wu, J.; Yang, G.; Zheng, M.; Tang, L.; et al. The impacts of pollution control measures on PM2.5 reduction: Insights of chemical composition, source variation and health risk. Atmos. Environ. 2019, 197, 103–117. [Google Scholar] [CrossRef]
- Yan, G.; Zhang, P.; Yang, J.; Zhang, J.; Zhu, G.; Cao, Z.; Fan, J.; Liu, Z.; Wang, Y. Chemical characteristics and source apportionment of PM2.5 in a petrochemical city: Implications for primary and secondary carbonaceous component. J. Environ. Sci. 2021, 103, 322–335. [Google Scholar] [CrossRef]
- Huang, R.-J.; Wang, Y.; Cao, J.; Lin, C.; Duan, J.; Chen, Q.; Li, Y.; Gu, Y.; Yan, J.; Xu, W.; et al. Primary emissions versus secondary formation of fine particulate matter in the most polluted city (Shijiazhuang) in North China. Atmos. Chem. Phys. 2019, 19, 2283–2298. [Google Scholar] [CrossRef]
- Huang, X.; Liu, Z.; Liu, J.; Hu, B.; Wen, T.; Tang, G.; Zhang, J.; Wu, F.; Ji, D.; Wang, L.; et al. Chemical characterization and source identification of PM2.5 at multiple sites in the Beijing-Tianjin-Hebei region, China. Atmos. Chem. Phys. 2017, 17, 12941–12962. [Google Scholar] [CrossRef]
- Zhang, Q.; He, K.; Huo, H. Cleaning China’s air. Nature 2012, 484, 161–162. [Google Scholar] [CrossRef]
- Wei, X.F.; Tan, L.Y.; Sun, Y.M.; Zhu, L.; Zhang, G.Q. Impact on water soluble ions in PM2.5 during heating period in Jinan city by a policy of clean energy. Ecol. Environ. Sci. 2019, 28, 1416–1422. [Google Scholar]
- Xia, Z.Y.; Fu, H.X.; Lv, C.; Zhang, W.J.; Li, M.; Sun, F.J. Pollution characteristics of PM2.5 and components during heavy air pollution period in Jinan urban area and clean air site. Ecol. Environ. Sci. 2019, 28, 958–963. [Google Scholar]
- Liu, Y.Y.; Yin, B.H.; Wang, J.; Wang, X.H.; Hou, L.J.; Ma, Y.H.; Wang, J.; Zhao, X.M.; Jiang, Y. Characteristics of airborne particles compositions during winter heavy pollution days in Ji’nan. Environ. Chem. 2018, 37, 2749–2757. [Google Scholar]
- Li, M.; Wang, L.; Liu, J.; Gao, W.; Song, T.; Sun, Y.; Li, L.; Li, X.; Wang, Y.; Liu, L.; et al. Exploring the regional pollution characteristics and meteorological formation mechanism of PM2.5 in North China during 2013–2017. Environ. Int. 2020, 134, 105283. [Google Scholar] [CrossRef] [PubMed]
- Kong, S.F.; Li, L.; Li, X.X.; Yin, Y.; Chen, K.; Liu, D.T.; Yuan, L.; Zhang, Y.J.; Shan, Y.P.; Ji, Y.Q. The impacts of firework burning at the Chinese Spring Festival on air quality: Insights of tracers, source evolution and aging processes. Atmos. Chem. Phys. 2015, 15, 2167–2184. [Google Scholar] [CrossRef]
- Paatero, P.; Tapper, U. Positive Matrix Factorization—A Nonnegative Factor Model with Optimal Utilization of Error-Estimates Of Data Values. Environmetrics 1994, 5, 111–126. [Google Scholar] [CrossRef]
- Mazzei, F.; D’Alessandro, A.; Lucarelli, F.; Nava, S.; Prati, P.; Valli, G.; Vecchi, R. Characterization of particulate matter sources in an urban environment. Sci. Total Environ. 2008, 401, 81–89. [Google Scholar] [CrossRef] [PubMed]
- Zhang, W.J.; Li, M.; Fu, H.X.; Ge, X.; Lv, B.; Wang, Z.F.; Li, H.B. Pollution characteristics and chemical composition and of PM2.5 in Jinan. Environ. Pollut. Control 2019, 41, 1490–1494. [Google Scholar]
- Bie, S.J.; Yang, L.X.; Gao, Y.; Jiang, P.; Li, Y.Y.; Yang, Y.M.; Zhao, T.; Wang, W.X. Characteristics of Atmospheric PM2.5 Pollution and Its Influence on Visibility inBackground Areas of Ji’nan. Environ. Sci. 2019, 40, 3868–3874. [Google Scholar]
- Liu, X.D.; Meng, J.J.; Hou, Z.F.; Li, J.; Xing, J.Z.; Wei, B.J.; Zhang, E.X.; Liu, J.Z.; Dong, J. Analysis of Seasonal Variations in Chemical Characteristics and Sources of PM2.5 During Summer and Winter in Ji’nan City. Environ. Sci. 2018, 39, 4014–4025. [Google Scholar]
- Sharma, S.K.; Mandal, T.K.; Jain, S.; Saraswati; Sharma, A.; Saxena, M. Source Apportionment of PM2.5 in Delhi, India Using PMF Model. Bull. Environ. Contam. Toxicol. 2016, 97, 286–293. [Google Scholar] [CrossRef]
- Alwadei, M.; Srivastava, D.; Alam, M.S.; Shi, Z.; Bloss, W.J. Chemical characteristics and source apportionment of particulate matter (PM2.5) in Dammam, Saudi Arabia: Impact of dust storms. Atmos. Environ. X 2022, 14, 100164. [Google Scholar] [CrossRef]
- Park, J.; Kim, H.; Kim, Y.; Heo, J.; Kim, S.-W.; Jeon, K.; Yi, S.-M.; Hopke, P.K. Source apportionment of PM2.5 in Seoul, South Korea and Beijing, China using dispersion normalized PMF. Sci. Total Environ. 2022, 833, 155056. [Google Scholar] [CrossRef]
- Xie, Y.; Liu, Z.; Wen, T.; Huang, X.; Liu, J.; Tang, G.; Yang, Y.; Li, X.; Shen, R.; Hu, B.; et al. Characteristics of chemical composition and seasonal variations of PM2.5 in Shijiazhuang, China: Impact of primary emissions and secondary formation. Sci. Total Environ. 2019, 677, 215–229. [Google Scholar] [CrossRef]
- Wang, J.; Li, X.; Zhang, W.; Jiang, N.; Zhang, R.; Tang, X. Secondary PM2.5 in Zhengzhou, China: Chemical Species Based on Three Years of Observations. Aerosol Air Qual. Res. 2016, 16, 91–104. [Google Scholar] [CrossRef]
- Luo, G.; Wang, T.J.; Zhao, M.; Wang, D.Y.; Cao, Y.Q.; Chen, C. Chemical composition and source apportionment of fine particulate matter in Xianlin area of Nanjing basing on-line measurement. China Environ. Sci. 2020, 40, 1857–1868. [Google Scholar]
- Zhang, S.; Xing, J.; Sarwar, G.; Ge, Y.; He, H.; Duan, F.; Zhao, Y.; He, K.; Zhu, L.; Chu, B. Parameterization of heterogeneous reaction of SO2 to sulfate on dust with coexistence of NH3 and NO2 under different humidity conditions. Atmos. Environ. 2019, 208, 133–140. [Google Scholar] [CrossRef] [PubMed]
- Pandolfi, M.; Amato, F.; Reche, C.; Alastuey, A.; Otjes, R.P.; Blom, M.J.; Querol, X. Summer ammonia measurements in a densely populated Mediterranean city. Atmos. Chem. Phys. 2012, 12, 7557–7575. [Google Scholar] [CrossRef]
- Ding, A.; Huang, X.; Nie, W.; Chi, X.; Xu, Z.; Zheng, L.; Xu, Z.; Xie, Y.; Qi, X.; Shen, Y.; et al. Significant reduction of PM2.5 in eastern China due to regional-scale emission control: Evidence from SORPES in 2011–2018. Atmos. Chem. Phys. 2019, 19, 11791–11801. [Google Scholar] [CrossRef]
- Wang, Z.; Zhang, D.; Liu, B.; Li, Y.; Chen, T.; Sun, F.; Yang, D.; Liang, Y.; Chang, M.; Yang, L.; et al. Analysis of chemical characteristics of PM2.5 in Beijing over a 1-year period. J. Atmos. Chem. 2016, 73, 407–425. [Google Scholar] [CrossRef]
- Chow, J.C.; Watson, J.G.; Lu, Z.Q.; Lowenthal, D.H.; Frazier, C.A.; Solomon, P.A.; Thuillier, R.H.; Magliano, K. Descriptive analysis of PM2.5 and PM10 at regionally representative locations during SJVAQS/AUSPEX. Atmos. Environ. 1996, 30, 2079–2112. [Google Scholar] [CrossRef]
- Castro, L.M.; Pio, C.A.; Harrison, R.M.; Smith, D.J.T. Carbonaceous aerosol in urban and rural European atmospheres: Estimation of secondary organic carbon concentrations. Atmos. Environ. 1999, 33, 2771–2781. [Google Scholar] [CrossRef]
- Zhang, Y.-X.; Shao, M.; Zhang, Y.-H.; Zeng, L.-M.; He, L.-Y.; Zhu, B.; Wei, Y.-J.; Zhu, X.-L. Source profiles of particulate organic matters emitted from cereal straw burnings. J. Environ. Sci. 2007, 19, 167–175. [Google Scholar] [CrossRef]
- Zheng, M.; Yan, C.Q.; Li, X.Y.; Wang, X.S.; Zhang, Y.H. A review of methods for quantifying secondary organic aerosol. China Environ. Sci. 2014, 34, 555–564. [Google Scholar]
- Turpin, B.J.; Huntzicker, J.J. Identification of Secondary Organic Aerosol Episodes and Quantitation of Primary and Secondary Organic Aerosol Concentrations during Scaqs. Atmos. Environ. 1995, 29, 3527–3544. [Google Scholar] [CrossRef]








| Sampling Time | Site | Concentration (μg·m−3) | |||||
|---|---|---|---|---|---|---|---|
| OC | EC | NO3− | SO42− | NH4+ | |||
| 2019 | Industrial district | 9.3 | 2.2 | 14.6 | 9.1 | 8.1 | This study |
| 2017 | Jinan urban site | 9.10 | 2.68 | 13.55 | 12.85 | 7.89 | Zhang et al. [15] |
| 2016 | Jinan background site | 10.0 | 1.0 | 14.3 | 10.9 | 9.5 | Bie et al. [16] |
| 2015 | Jinan urban site | 13.5 | 5.1 | 15.4 | 22.9 | 13.1 | Liu et al. [17] |
| 2016 | Delhi urban area | 17.9 | 10.4 | 10.0 | 12.9 | 9.4 | Sharma et al. [18] |
| 2018 | Dammam city left | 6.3 | 1.8 | 3.4 | 7.0 | 3.9 | Alwadei et al. [19] |
| 2015 | Seoul urban site | 6.3 | 0.97 | 6.8 | 6.6 | 4.4 | Park et al. [20] |
| 2015 | Shijiazhuang | 22.3 | 8.6 | 20.2 | 22.6 | 13.8 | Xie et al. [21] |
| 2013 | Zhengzhou | 33.0 | 6.0 | 27.0 | 44.0 | 19.0 | Zhang et al. [22] |
Disclaimer/Publisher’s Note: The statements, opinions and data contained in all publications are solely those of the individual author(s) and contributor(s) and not of MDPI and/or the editor(s). MDPI and/or the editor(s) disclaim responsibility for any injury to people or property resulting from any ideas, methods, instructions or products referred to in the content. |
© 2023 by the authors. Licensee MDPI, Basel, Switzerland. This article is an open access article distributed under the terms and conditions of the Creative Commons Attribution (CC BY) license (https://creativecommons.org/licenses/by/4.0/).
Share and Cite
Guo, J.; Wang, H.; Liu, S.; Wang, Z. Chemical Characteristics and Source Apportionment of PM2.5 in Western Industrial Region of Jinan. Atmosphere 2023, 14, 864. https://doi.org/10.3390/atmos14050864
Guo J, Wang H, Liu S, Wang Z. Chemical Characteristics and Source Apportionment of PM2.5 in Western Industrial Region of Jinan. Atmosphere. 2023; 14(5):864. https://doi.org/10.3390/atmos14050864
Chicago/Turabian StyleGuo, Jian, Haiyong Wang, Shanjun Liu, and Zhanshan Wang. 2023. "Chemical Characteristics and Source Apportionment of PM2.5 in Western Industrial Region of Jinan" Atmosphere 14, no. 5: 864. https://doi.org/10.3390/atmos14050864
APA StyleGuo, J., Wang, H., Liu, S., & Wang, Z. (2023). Chemical Characteristics and Source Apportionment of PM2.5 in Western Industrial Region of Jinan. Atmosphere, 14(5), 864. https://doi.org/10.3390/atmos14050864
