Investigation of Summertime Ozone Formation and Sources of Volatile Organic Compounds in the Suburb Area of Hefei: A Case Study of 2020
Abstract
1. Introduction
2. Materials and Methods
2.1. Observation Site Location
2.2. Measurement of VOCs and Other Air Pollutants
2.3. Source Identification
2.4. 0-D Box Model Analysis
3. Results and Discussion
3.1. Overview of Meteorology and Pollutants Characteristics
3.1.1. Levels of Air Pollutants and Meteorological Factors
3.1.2. Diurnal Variation Characteristics
3.2. Source Apportionment of VOCs
3.2.1. Ratio of Specific Compounds
3.2.2. PMF Analysis
3.3. Photochemical O3 Formation and Regional Transport
3.3.1. Sensitivity Analysis of Ozone Formation
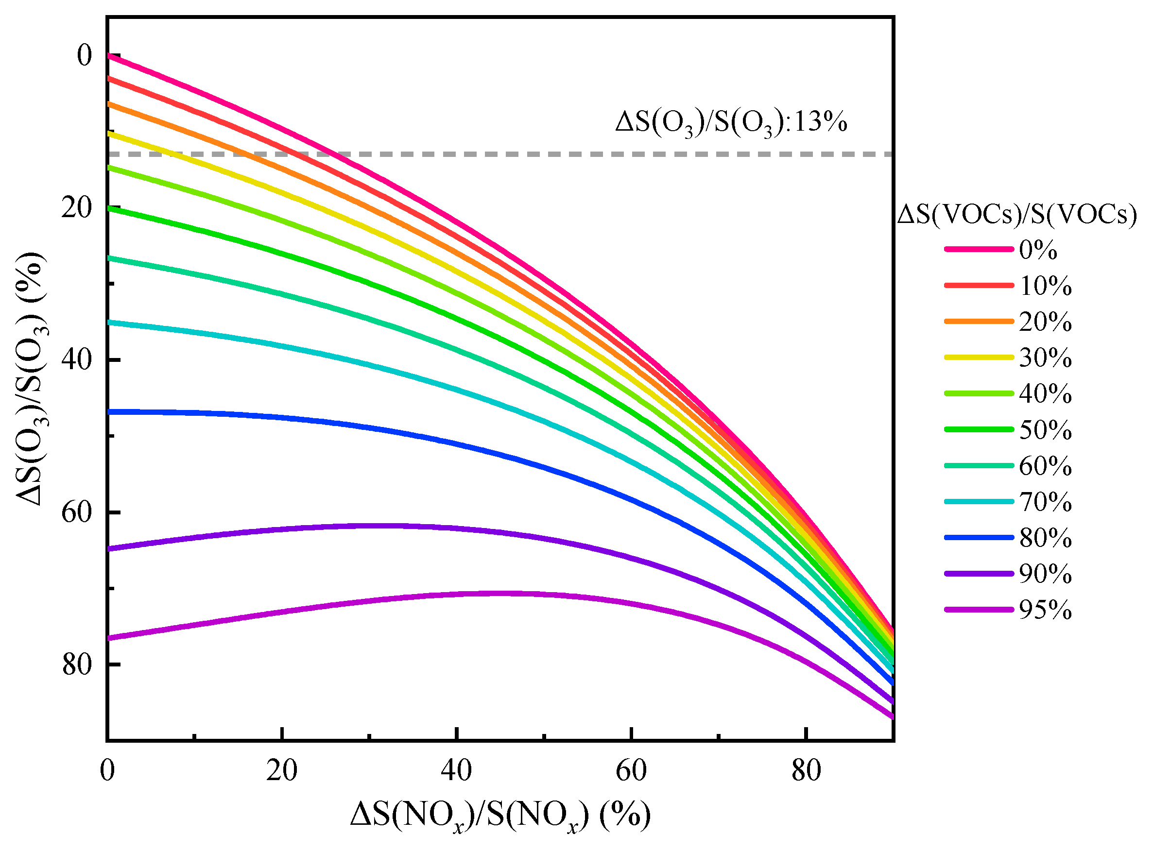
3.3.2. O3 Control Strategies
3.3.3. In Situ O3 Formation Process
4. Conclusions
Supplementary Materials
Author Contributions
Funding
Institutional Review Board Statement
Informed Consent Statement
Data Availability Statement
Acknowledgments
Conflicts of Interest
References
- Lu, X.; Hong, J.; Zhang, L.; Cooper, O.R.; Schultz, M.G.; Xu, X.; Wang, T.; Gao, M.; Zhao, Y.; Zhang, Y. Severe surface ozone pollution in China: A global perspective. Environ. Sci. Technol. Lett. 2018, 5, 487–494. [Google Scholar] [CrossRef]
- Ivatt, P.D.; Evans, M.J.; Lewis, A.C. Suppression of surface ozone by an aerosol-inhibited photochemical ozone regime. Nat. Geosci. 2022, 15, 536–540. [Google Scholar] [CrossRef]
- Fu, T.-M.; Tian, H. Climate Change Penalty to Ozone Air Quality: Review of Current Understandings and Knowledge Gaps. Curr Pollution Rep. 2019, 5, 159–171. [Google Scholar] [CrossRef]
- Li, K.; Jacob, D.J.; Liao, H.; Shen, L.; Zhang, Q.; Bates, K.H. Anthropogenic drivers of 2013−2017 trends in summer surface ozone in China. Proc. Natl. Acad. Sci. USA 2019, 116, 422–427. [Google Scholar] [CrossRef] [PubMed]
- Lu, X.; Zhang, L.; Wang, X.; Gao, M.; Li, K.; Zhang, Y.; Yue, X.; Zhang, Y. Rapid increases in warm-season surface ozone and resulting health impact in China since 2013. Environ. Sci. Technol. Lett. 2020, 7, 240–247. [Google Scholar] [CrossRef]
- Wang, Z.; Tian, X.; Li, J.; Wang, F.; Liang, W.; Zhao, H.; Huang, B.; Wang, Z.; Feng, Y.; Shi, G. Quantitative evidence from VOCs source apportionment reveals O3 control strategies in northern and southern China. Environ. Int. 2023, 172, 107786. [Google Scholar] [CrossRef]
- Lyu, X.; Guo, H.; Zou, Q.; Li, K.; Xiong, E.; Zhou, B.; Guo, P.; Jiang, F.; Tian, X. Evidence for reducing volatile organic compounds to improve air quality from concurrent observations and in situ simulations at 10 stations in eastern China. Environ. Sci. Technol. 2022, 56, 15356–15364. [Google Scholar] [CrossRef]
- Meng, X.; Jiang, J.; Chen, T.; Zhang, Z.; Lu, B.; Liu, C.; Xue, L.; Chen, J.; Herrmann, H.; Li, X. Chemical drivers of ozone change in extreme temperatures in eastern China. Sci. Total Environ. 2023, 874, 162424. [Google Scholar] [CrossRef]
- Karl, T.; Lamprecht, C.; Graus, M.; Cede, A.; Tiefengraber, M.; Vila-Guerau de Arellano, J.; Gurarie, D.; Lenschow, D. High urban NOx triggers a substantial chemical downward flux of ozone. Sci. Adv. 2023, 9, eadd2365. [Google Scholar] [CrossRef]
- Ma, W.; Feng, Z.; Zhan, J.; Liu, Y.; Liu, P.; Liu, C.; Ma, Q.; Yang, K.; Wang, Y.; He, H.; et al. Influence of photochemical loss of volatile organic compounds on understanding ozone formation mechanism. Atmos. Chem. Phys. 2022, 22, 4841–4851. [Google Scholar] [CrossRef]
- Hao, L.; Kari, E.; Leskinen, A.; Worsnop, D.R.; Virtanen, A. Direct contribution of ammonia to α-pinene secondary organic aerosol formation. Atmos. Chem. Phys. 2020, 20, 14393–14405. [Google Scholar] [CrossRef]
- Babar, Z.B.; Park, J.-H.; Lim, H.-J. Influence of NH3 on secondary organic aerosols from the ozonolysis and photooxidation of α-pinene in a flow reactor. Atmos. Environ. 2017, 164, 71–84. [Google Scholar] [CrossRef]
- Iyer, S.; Rissanen, M.P.; Valiev, R.; Barua, S.; Krechmer, J.E.; Thornton, J.; Ehn, M.; Kurtén, T. Molecular mechanism for rapid autoxidation in α-pinene ozonolysis. Nat. Commun. 2021, 12, 878. [Google Scholar] [CrossRef] [PubMed]
- Babar, Z.B.; Park, J.-H.; Kang, J.; Lim, H.-J. Characterization of a smog chamber for studying formation and physicochemical properties of secondary organic aerosol. Aerosol Air Qual. Res. 2016, 16, 3102–3113. [Google Scholar] [CrossRef]
- Iinuma, Y.; Müller, C.; Berndt, T.; Böge, O.; Claeys, M.; Herrmann, H. Evidence for the existence of organosulfates from β-pinene ozonolysis in ambient secondary organic aerosol. Environ. Sci. Technol. 2007, 41, 6678–6683. [Google Scholar] [CrossRef] [PubMed]
- Wang, X.; Yin, S.; Zhang, R.; Yuan, M.; Ying, Q. Assessment of summertime O3 formation and the O3-NOx-VOC sensitivity in Zhengzhou, China using an observation-based model. Sci. Total Environ. 2022, 813, 152449. [Google Scholar] [CrossRef]
- Yang, L.; Luo, H.; Yuan, Z.; Zheng, J.; Huang, Z.; Li, C.; Lin, X.; Louie, P.K.K.; Chen, D.; Bian, Y. Quantitative impacts of meteorology and precursor emission changes on the long-term trend of ambient ozone over the Pearl River Delta, China, and Implications for Ozone Control Strategy. Atmos. Chem. Phys. 2019, 19, 12901–12916. [Google Scholar] [CrossRef]
- Ren, J.; Guo, F.; Xie, S. Diagnosing ozone–NOx–VOC sensitivity and revealing causes of ozone increases in China based on 2013–2021 satellite retrievals. Atmos. Chem. Phys. 2022, 22, 15035–15047. [Google Scholar] [CrossRef]
- Chen, G.; Liu, T.; Ji, X.; Xu, K.; Hong, Y.; Xu, L.; Li, M.; Fan, X.; Chen, Y.; Yang, C.; et al. Source apportionment of VOCs and O3 production sensitivity at coastal and inland sites of southeast China. Aerosol Air Qual. Res. 2022, 22, 220289. [Google Scholar] [CrossRef]
- Lu, K.; Zhang, Y.; Su, H.; Brauers, T.; Chou, C.; Hofzumahaus, A.; Liu, S.; Kita, K.; Kondo, Y.; Shao, M.; et al. Oxidant (O3 + NO2) production processes and formation regimes in Beijing. J. Geophys. Res. 2010, 115, D07303. [Google Scholar] [CrossRef]
- Lyu, X.; Wang, N.; Guo, H.; Xue, L.; Jiang, F.; Zeren, Y.; Cheng, H.; Cai, Z.; Han, L.; Zhou, Y. Causes of a continuous summertime O3 pollution event in Jinan, a central city in the North China Plain. Atmos. Chem. Phys. 2019, 19, 3025–3042. [Google Scholar] [CrossRef]
- Xu, D.; Yuan, Z.; Wang, M.; Zhao, K.; Liu, X.; Duan, Y.; Fu, Q.; Wang, Q.; Jing, S.; Wang, H.; et al. Multi-factor reconciliation of discrepancies in ozone-precursor sensitivity retrieved from observation- and emission-based models. Environ. Int. 2022, 158, 106952. [Google Scholar] [CrossRef] [PubMed]
- Ling, Z.H.; Guo, H. Contribution of VOC sources to photochemical ozone formation and its control policy implication in Hong Kong. Environ. Sci. Pol. 2014, 38, 180–191. [Google Scholar] [CrossRef]
- Liu, T.; Hong, Y.; Li, M.; Xu, L.; Chen, J.; Bian, Y.; Yang, C.; Dan, Y.; Zhang, Y.; Xue, L.; et al. Atmospheric oxidation capacity and ozone pollution mechanism in a coastal city of southeastern China: Analysis of a typical photochemical episode by an observation-based model. Atmos. Chem. Phys. 2022, 22, 2173–2190. [Google Scholar] [CrossRef]
- Li, L.; Zheng, Z.; Xu, B.; Wang, X.; Bai, Z.; Yang, W.; Geng, C.; Li, K. Investigation of O3-precursor relationship nearby oil fields of Shandong, China. Atmos. Environ. 2023, 294, 119471. [Google Scholar] [CrossRef]
- Henry, R.C.; Lewis, C.W.; Hopke, P.K.; Williamson, H.J. Review of Receptor Model Fundamentals. Atmos. Environ. 1984, 18, 1507–1515. [Google Scholar] [CrossRef]
- Li, Y.; Yin, S.; Yu, S.; Yuan, M.; Dong, Z.; Zhang, D.; Yang, L.; Zhang, R. Characteristics, source apportionment and health risks of ambient VOCs during high ozone period at an urban site in central plain, China. Chemosphere 2020, 250, 126283. [Google Scholar] [CrossRef]
- Li, Y.; Zhang, Z.; Xing, Y. Long-term change analysis of PM2.5 and ozone pollution in China’s most polluted region during 2015–2020. Atmosphere 2022, 13, 104. [Google Scholar] [CrossRef]
- Wang, X.; Liu, G.; Hu, R.; Zhang, H.; Zhang, M.; Zhang, F. Distribution, sources, and health risk assessment of volatile organic compounds in Hefei city. Arch. Environ. Contam. Toxicol. 2020, 78, 392–400. [Google Scholar] [CrossRef]
- Wang, S.; Liu, G.; Zhang, H.; Yi, M.; Liu, Y.; Hong, X.; Bao, X. Insight into the environmental monitoring and source apportionment of volatile organic compounds (VOCs) in various functional areas. Air Qual. Atmos. Health 2022, 15, 1121–1131. [Google Scholar] [CrossRef]
- Huang, X.; Yi, M.; Deng, S.; Zhao, Q.; Chen, J. The characteristics of daily solar irradiance variability and its relation to ozone in Hefei, China. Air Qual. Atmos Health 2023, 16, 277–288. [Google Scholar] [CrossRef]
- Qian, J.; Liao, H.; Yang, Y.; Li, K.; Chen, L.; Zhu, J. Meteorological influences on daily variation and trend of summertime surface ozone over years of 2015-2020: Quantification for cities in the Yangtze River Delta. Sci. Total Environ. 2022, 834, 155107. [Google Scholar] [CrossRef] [PubMed]
- Norris, G.; Duvall, R. EPA Positive Matrix Factorization (PMF) 5.0 Fundamentals and User Guide; U.S. Environmental Protection Agency Office of Research and Development: Washington, DC, USA, 2014.
- Wolfe, G.M.; Marvin, M.R.; Roberts, S.J.; Travis, K.R.; Liao, J. The Framework for 0-D Atmospheric Modeling (F0AM) v3.1. Geosci. Model Dev. 2016, 9, 3309–3319. [Google Scholar] [CrossRef]
- GB 3095-2012; National Ambient Air Quality Standard. Ministry of Environmental Protection of the People’s Republic of China (MEP): Beijing, China, 2012.
- Kong, L.; Luo, T.; Jiang, X.; Zhou, S.; Huang, G.; Chen, D.; Lan, Y.; Yang, F. Seasonal variation characteristics of VOCs and their influences on secondary pollutants in Yibin, southwest China. Atmosphere 2022, 13, 1389. [Google Scholar] [CrossRef]
- Song, M.; Li, X.; Yang, S.; Yu, X.; Zhou, S.; Yang, Y.; Chen, S.; Dong, H.; Liao, K.; Chen, Q.; et al. Spatiotemporal variation, sources, and secondary transformation potential of volatile organic compounds in Xi’an, China. Atmos. Chem. Phys. 2021, 21, 4939–4958. [Google Scholar] [CrossRef]
- Zhang, X.; Yin, Y.; Wen, J.; Huang, S.; Han, D.; Chen, X.; Cheng, J. Characteristics, reactivity and source apportionment of ambient volatile organic compounds (VOCs) in a typical tourist city. Atmos. Environ. 2019, 215, 116898. [Google Scholar] [CrossRef]
- Liu, Y.; Wang, H.; Jing, S.; Gao, Y.; Peng, Y.; Lou, S.; Cheng, T.; Tao, S.; Li, L.; Li, Y.; et al. Characteristics and sources of volatile organic compounds (VOCs) in Shanghai during summer: Implications of regional transport. Atmos. Environ. 2019, 215, 116902. [Google Scholar] [CrossRef]
- Wu, C.; Wang, C.; Wang, S.; Wang, W.; Yuan, B.; Qi, J.; Wang, B.; Wang, H.; Wang, C.; Song, W.; et al. Measurement report: Important contributions of oxygenated compounds to emissions and chemistry of volatile organic compounds in urban air. Atmos. Chem. Phys. 2020, 20, 14769–14785. [Google Scholar] [CrossRef]
- Li, K.; Chen, L.; Ying, F.; White, S.J.; Jang, C.; Wu, X.; Gao, X.; Hong, S.; Shen, J.; Azzi, M.; et al. Meteorological and chemical impacts on ozone formation: A case study in Hangzhou, China. Atmos. Res. 2017, 196, 40–52. [Google Scholar] [CrossRef]
- De Gouw, J.A.; Gilman, J.B.; Kim, S.W.; Lerner, B.M.; IsaacmanVanWertz, G.; McDonald, B.C.; Warneke, C.; Kuster, W.C.; Lefer, B.L.; Griffith, S.M.; et al. Chemistry of volatile organic compounds in the Los Angeles basin: Nighttime removal of alkenes and determination of emission ratios. J. Geophys. Res. Atmos. 2017, 122, 11843–811861. [Google Scholar] [CrossRef]
- De Gouw, J.A.; Gilman, J.B.; Kim, S.-W.; Alvarez, S.L.; Dusanter, S.; Graus, M.; Griffith, S.M.; Isaacman-VanWertz, G.; Kuster, W.C.; Lefer, B.L.; et al. Chemistry of volatile organic compounds in the Los Angeles Basin: Formation of oxygenated compounds and determination of emission ratios. J. Geophys. Res. Atmos. 2018, 123, 2298–2319. [Google Scholar] [CrossRef]
- Blake, D.R.; Rowland, F.S. Urban leakage of liquefied petroleum gas and its impact on Mexico city air quality. Science 1995, 269, 953–956. [Google Scholar] [CrossRef] [PubMed]
- Katzenstein, A.S.; Doezema, L.A.; Simpson, I.J.; Balke, D.R.; Rowland, F.S. Extensive regional atmospheric hydrocarbon pollution in the southwestern United States. Proc. Natl. Acad. Sci. USA 2003, 100, 11975–11979. [Google Scholar] [CrossRef] [PubMed]
- Ho, K.F.; Lee, S.C.; Ho, W.K.; Blake, D.R.; Cheng, Y.; Li, Y.S.; Ho, S.S.H.; Fung, K.; Louie, P.K.K.; Park, D. Vehicular emission of volatile organic compounds (VOCs) from a tunnel study in Hong Kong. Atmos. Chem. Phys. 2009, 9, 7491–7504. [Google Scholar] [CrossRef]
- Liu, Y.; Shao, M.; Fu, L.; Lu, S.; Zeng, L.; Tang, D. Source profiles of volatile organic compounds (VOCs) measured in China: Part I. Atmos. Environ. 2008, 42, 6247–6260. [Google Scholar] [CrossRef]
- Wang, J.; Jin, L.; Gao, J.; Shi, J.; Zhao, Y.; Liu, S.; Jin, T.; Bai, Z.; Wu, C.-Y. Investigation of speciated VOC in gasoline vehicular exhaust under ECE and EUDC test cycles. Sci. Total Environ. 2013, 445, 110–116. [Google Scholar] [CrossRef]
- Mo, Z.; Shao, M.; Lu, S. Compilation of a source profile database for hydrocarbon and OVOC emissions in China. Atmos. Environ. 2016, 143, 209–217. [Google Scholar] [CrossRef]
- Hsieh, L.; Yang, H.; Chen, H. Ambient BTEX and MTBE in the neighborhoods of different industrial parks in Southern Taiwan. J. Hazard. Mater. 2006, 128, 106–115. [Google Scholar] [CrossRef]
- Phuc, N.H.; Kim Oanh, N.T. Determining factors for levels of volatile organic compounds measured in different microenvironments of a heavy traffic urban area. Sci. Total Environ. 2018, 627, 290–303. [Google Scholar] [CrossRef]
- Han, T.; Ma, Z.; Li, Y.; Pu, W.; Qiao, L.; Shang, J.; He, D.; Dong, F.; Wang, Y. Real-time measurements of aromatic hydrocarbons at a regional background station in North China: Seasonal variations, meteorological effects, and source implications. Atmos. Res. 2021, 250, 105371. [Google Scholar] [CrossRef]
- An, J.; Zhu, B.; Wang, H.; Li, Y.; Lin, X.; Yang, H. Characteristics and source apportionment of VOCs measured in an industrial area of Nanjing, Yangtze River Delta, China. Atmos. Environ. 2014, 97, 206–214. [Google Scholar] [CrossRef]
- Yurdakul, S.; Civan, M.; Kuntasal, Ö.; Doğan, G.; Pekey, H.; Tuncel, G. Temporal variations of VOC concentrations in Bursa atmosphere. Atmos. Pollut. Res. 2018, 9, 189–206. [Google Scholar] [CrossRef]
- Shao, P.; An, J.; Xin, J.; Wu, F.; Wang, J.; Ji, D.; Wang, Y. Source apportionment of VOCs and the contribution to photochemical ozone formation during summer in the typical industrial area in the Yangtze River Delta, China. Atmos. Res. 2016, 176, 64–74. [Google Scholar] [CrossRef]
- Wang, M.; Chen, W.T.; Zhang, L.; Qin, W.; Zhang, Y.; Zhang, X.Z.; Xie, X. Ozone pollution characteristics and sensitivity analysis using an observation-based model in Nanjing, Yangtze River Delta Region of China. J. Environ. Sci. 2020, 93, 13–22. [Google Scholar] [CrossRef] [PubMed]
- Li, J.; Zhai, C.; Yu, J.; Liu, R.; Li, Y.; Zeng, L.; Xie, S. Spatiotemporal variations of ambient volatile organic compounds and their sources in Chongqing, a mountainous megacity in China. Sci. Total Environ. 2018, 627, 1442–1452. [Google Scholar] [CrossRef] [PubMed]
- Xue, L.K.; Wang, T.; Gao, J.; Ding, A.J.; Zhou, X.H.; Blake, D.R.; Wang, X.F.; Saunders, S.M.; Fan, S.J.; Zuo, H.C.; et al. Ground-level ozone in four Chinese cities: Precursors, regional transport and heterogeneous processes. Atmos. Chem. Phys. 2014, 14, 13175–13188. [Google Scholar] [CrossRef]
- Tan, Z.; Lu, K.; Jiang, M.; Su, R.; Wang, H.; Lou, S.; Fu, Q.; Zhai, C.; Tan, Q.; Yue, D.; et al. Daytime atmospheric oxidation capacity in four Chinese megacities during the photochemically polluted season: A case study based on box model simulation. Atmos. Chem. Phys. 2019, 19, 3493–3513. [Google Scholar] [CrossRef]
- Sun, L.; Xue, L.; Wang, Y.; Li, L.; Lin, J.; Ni, R.; Yan, Y.; Chen, L.; Li, J.; Zhang, Q.; et al. Impacts of meteorology and emissions on summertime surface ozone increases over central eastern China between 2003 and 2015. Atmos. Chem. Phys. 2019, 19, 1455–1469. [Google Scholar] [CrossRef]
- Tan, Z.; Ma, X.; Lu, K.; Jiang, M.; Zou, Q.; Wang, H.; Zeng, L.; Zhang, Y. Direct evidence of local photochemical production driven ozone episode in Beijing: A case study. Sci. Total Environ. 2021, 800, 148868. [Google Scholar] [CrossRef]
- Hui, L.; Liu, X.; Tan, Q.; Feng, M.; An, J.; Qu, Y.; Zhang, Y.; Cheng, N. VOC characteristics, sources and contributions to SOA formation during haze events in Wuhan, Central China. Sci. Total Environ. 2019, 650, 2624–2639. [Google Scholar] [CrossRef]
- Yan, Y.; Yang, C.; Peng, L.; Li, R.; Bai, H. Emission characteristics of volatile organic compounds from coal-, coal, gangue-, and biomass-fired power plants in China. Atmos. Environ. 2016, 143, 261–269. [Google Scholar] [CrossRef]
- Xiong, C.; Wang, N.; Zhou, L.; Yang, F.; Qiu, Y.; Chen, J.; Han, L.; Li, J. Component characteristics and source apportionment of volatile organic compounds during summer and winter in downtown Chengdu, southwest China. Atmos. Environ. 2021, 258, 118485. [Google Scholar] [CrossRef]
- He, Z.; Wang, X.; Ling, Z.; Zhao, J.; Guo, H.; Shao, M.; Wang, Z. Contributions of different anthropogenic volatile organic compound sources to ozone formation at a receptor site in the Pearl River Delta region and its policy implications. Atmos. Chem. Phys. 2019, 19, 8801–8816. [Google Scholar] [CrossRef]
- Sha, Q.; Zhu, M.; Huang, H.; Wang, Y.; Huang, Z.; Zhang, X.; Tang, M.; Lu, M.; Chen, C.; Shi, B.; et al. A newly integrated dataset of volatile organic compounds (VOCs) source profiles and implications for the future development of VOCs profiles in China. Sci. Total Environ. 2021, 793, 148348. [Google Scholar] [CrossRef] [PubMed]









| Time | Location | TVOCs (ppb) | Proportion (%) | Reference | ||||
|---|---|---|---|---|---|---|---|---|
| Alkanes | Alkenes | Halocarbons | OVOCs | Aromatics | ||||
| May 2018 | Zhengzhou | 29.11 | 30.1 | 10.7 | 20.6 | 31.1 | 5.6 | [27] |
| May–November 2019 | Ningde | 49.1 | 44.5 | 5 | 7.9 | 23.3 | 19.3 | [19] |
| May–November 2018 | Guilin | 23.67 | 19.1 | 4.1 | 5.7 | 1.8 | 65.7 | [38] |
| July 2021 | Yibin | 23 | 31 | 7 | 13 | 36 | 13 | [36] |
| September–December 2018 | Guangzhou | 76.84 | 25.38 | – | – | 57 | 5.7 | [40] |
| May 2017 | Shanghai | 42.70 | 35.36 | 5.62 | 12.65 | 31.62 | 11.94 | [39] |
| June–July 2019 | Xi’an | 29.1 | 35.75 | 10.23 | 11.11 | 31.77 | 6.22 | [37] |
| August 2020 | Hefei | 42.3 | 21.3 | 3.4 | 13.3 | 52.4 | 3.8 | This work |
| Species | Entire Observation Period | Non-O3 Episode Days | O3 Episode Days |
|---|---|---|---|
| Temp (℃) | 27.94 ± 3.38 | 27.63 ± 3.25 | 28.67 ± 3.57 |
| RH (%) | 86.12 ± 16.62 | 87.9 ± 14.78 | 81.91 ± 16.71 |
| Wind speed (m s−1) | 2.31 ± 1.34 | 2.29 ± 1.35 | 2.35 ± 1.33 |
| SO2 (ppb) | 2.06 ± 0.48 | 1.99 ± 0.46 | 2.21 ± 0.48 |
| CO (ppm) | 0.49 ± 0.14 | 0.47 ± 0.14 | 0.54 ± 0.14 |
| NO2 (ppb) | 6.48 ± 3.98 | 6.29 ± 4.1 | 6.94 ± 3.63 |
| O3 (ppb) | 45.66 ± 23.81 | 41.57 ± 20.46 | 55.54 ± 28.04 |
| PM2.5 (µg m−3) | 24.78 ± 11.42 | 21.56 ± 10.87 | 32.52 ± 8.67 |
| PM10 (µg m−3) | 49.33 ± 22.88 | 44.84 ± 21.81 | 60.06 ± 21.79 |
| Alkanes (ppb) | 8.99 ± 6 | 8.6 ± 6.53 | 10.05 ± 4.03 |
| Alkenes & alkynes (ppb) | 2.62 ± 1.52 | 2.46 ± 1.28 | 3.05 ± 1.98 |
| Halocarbons (ppb) | 5.63 ± 1.46 | 5.44 ± 1.43 | 6.15 ± 1.42 |
| OVOCs (ppb) | 22.13 ± 12.64 | 20.15 ± 10.02 | 27.53 ± 6.79 |
| Aromatics (ppb) | 1.61 ± 0.94 | 1.53 ± 0.99 | 1.84 ± 0.71 |
| Sulfide (ppb) | 1.28 ± 1.27 | 1.3 ± 1.25 | 1.22 ± 1.33 |
| TVOCs (ppb) | 42.26 ± 16.92 | 39.47 ± 15.27 | 49.86 ± 18.76 |
Disclaimer/Publisher’s Note: The statements, opinions and data contained in all publications are solely those of the individual author(s) and contributor(s) and not of MDPI and/or the editor(s). MDPI and/or the editor(s) disclaim responsibility for any injury to people or property resulting from any ideas, methods, instructions or products referred to in the content. |
© 2023 by the authors. Licensee MDPI, Basel, Switzerland. This article is an open access article distributed under the terms and conditions of the Creative Commons Attribution (CC BY) license (https://creativecommons.org/licenses/by/4.0/).
Share and Cite
Yu, H.; Liu, Q.; Wei, N.; Hu, M.; Xu, X.; Wang, S.; Zhou, J.; Zhao, W.; Zhang, W. Investigation of Summertime Ozone Formation and Sources of Volatile Organic Compounds in the Suburb Area of Hefei: A Case Study of 2020. Atmosphere 2023, 14, 740. https://doi.org/10.3390/atmos14040740
Yu H, Liu Q, Wei N, Hu M, Xu X, Wang S, Zhou J, Zhao W, Zhang W. Investigation of Summertime Ozone Formation and Sources of Volatile Organic Compounds in the Suburb Area of Hefei: A Case Study of 2020. Atmosphere. 2023; 14(4):740. https://doi.org/10.3390/atmos14040740
Chicago/Turabian StyleYu, Hui, Qianqian Liu, Nana Wei, Mingfeng Hu, Xuezhe Xu, Shuo Wang, Jiacheng Zhou, Weixiong Zhao, and Weijun Zhang. 2023. "Investigation of Summertime Ozone Formation and Sources of Volatile Organic Compounds in the Suburb Area of Hefei: A Case Study of 2020" Atmosphere 14, no. 4: 740. https://doi.org/10.3390/atmos14040740
APA StyleYu, H., Liu, Q., Wei, N., Hu, M., Xu, X., Wang, S., Zhou, J., Zhao, W., & Zhang, W. (2023). Investigation of Summertime Ozone Formation and Sources of Volatile Organic Compounds in the Suburb Area of Hefei: A Case Study of 2020. Atmosphere, 14(4), 740. https://doi.org/10.3390/atmos14040740

