Adverse Health Effects (Bronchitis Cases) Due to Particulate Matter Exposure: A Twenty-Year Scenario Analysis for the Greater Athens Area (Greece) Using the AirQ+ Model
Abstract
1. Introduction
2. Materials and Methods
2.1. Study Area Description
2.2. Air Pollution Data and Population
2.3. AirQ+ Model
- 1.
- Details of the area: location and total population.
- Table 1 data was used.
- 2.
- Mean annual PM10 concentration (PM10).
- For each year of the period 2001–2020 and for each one of the five examined locations within the GAA, a dataset of PM10 mean daily concentrations was constructed (i.e., 20 × 5 = 100 datasets).
- 3.
- Type of the health impact:
- (a)
- Prevalence of bronchitis in children (BC), measured as BC cases per 100,000 inhabitants.
- (b)
- Adult chronic bronchitis long-term incidence in adults (CBI), measured as CBI cases per 100,000 inhabitants.
- 4.
- The Relative Risk (RR): A statistical parameter used in epidemiological studies, given by the exponential formula:
3. Results and Discussion
3.1. Statistical Analyses of the PM10 Concentrations Timeseries
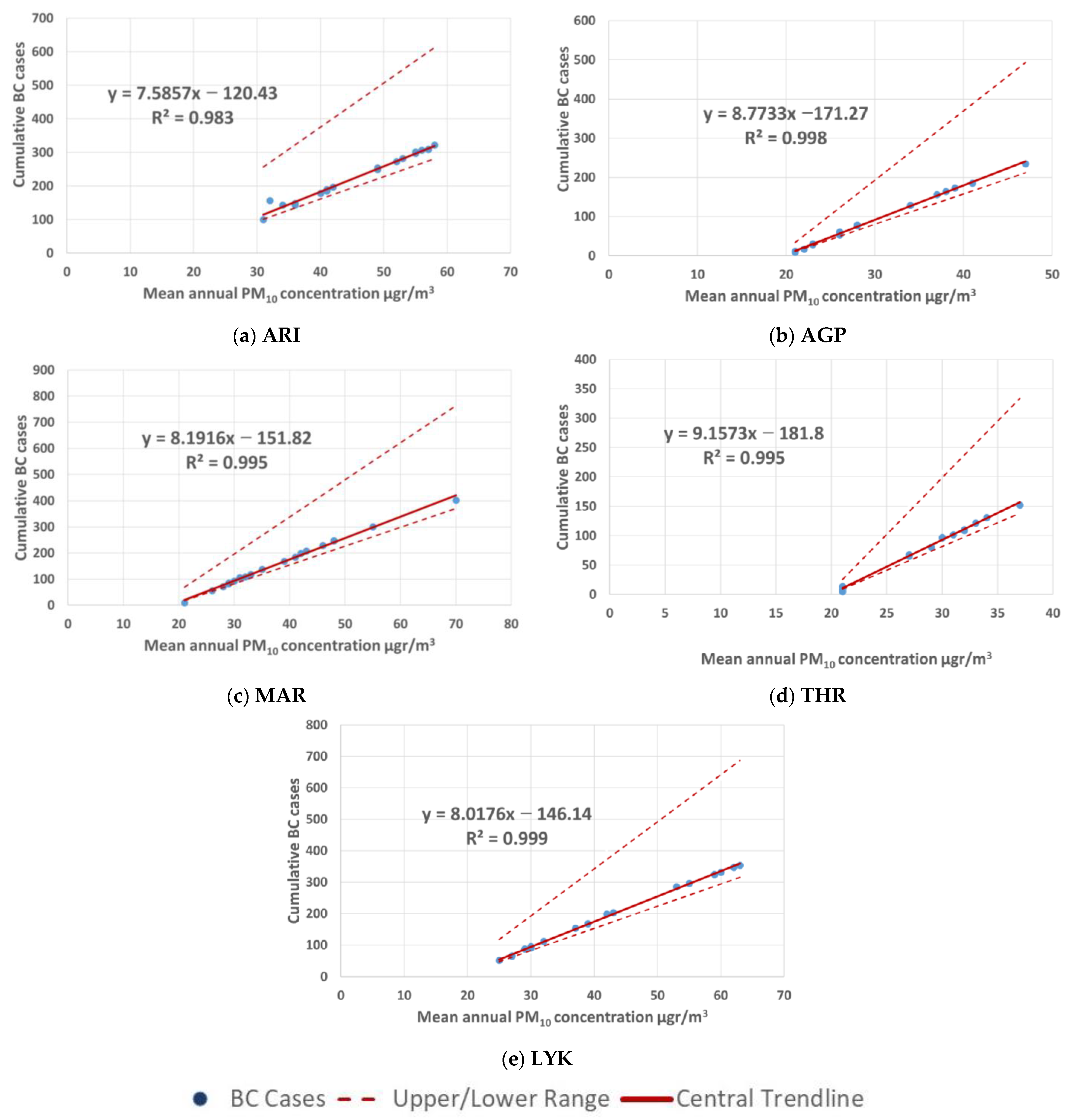
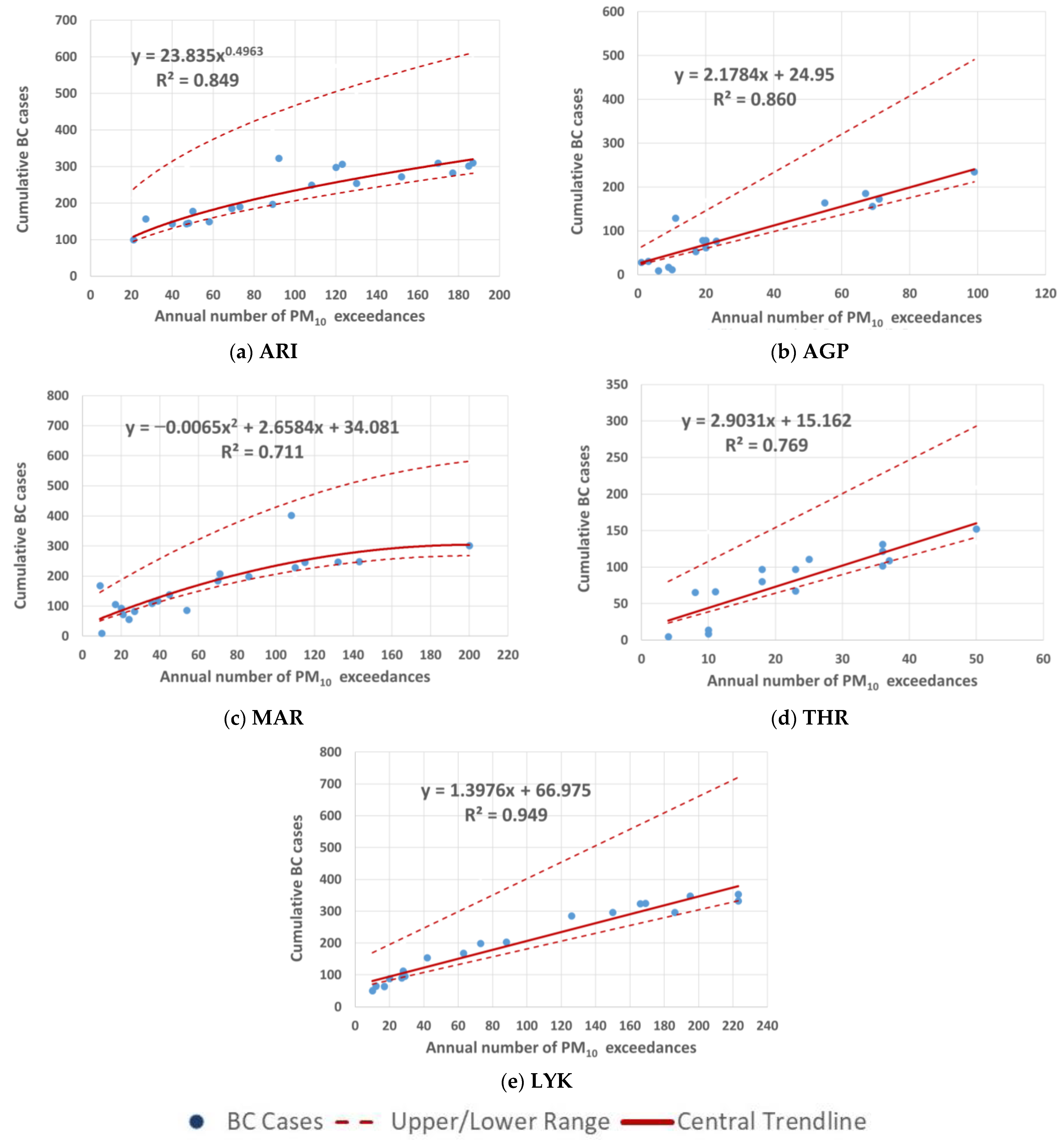
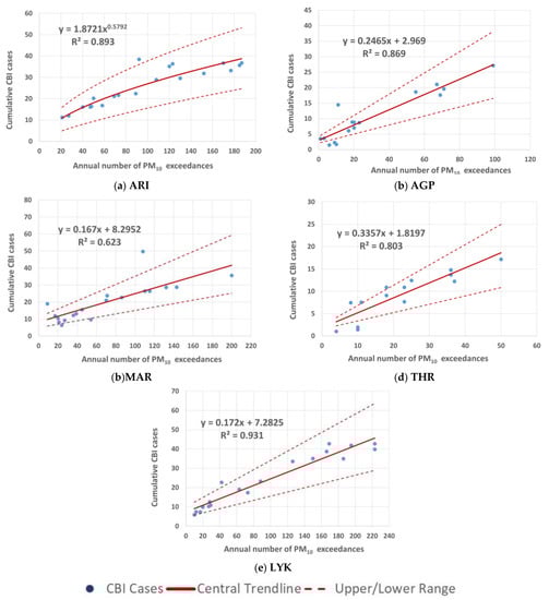
3.2. Scenario Results (AirQ+ Application Results)
4. Conclusions
- For the GAA, the average annual PM10 concentrations range from 21 μgr/m3 to 57 μgr/m3, the annual number of CBI cases per 100,000 inhabitants ranges between 8 and 26 cases and the annual number of BC cases ranges between 74 and 225 cases.
- The most polluted areas are the center of Athens (ARI), Lykovrisi (LYK), and Maroussi (MAR), where people suffer from chronic bronchitis disproportionately compared to the rest areas.
- There is a strong correlation between bronchitis cases in children and adults and PM10 threshold concentration exceedances. It is remarkable that there are more cases of children suffering from lung disease than adults.
- A steady reduction in both PM10 concentrations and chronic bronchitis effects was identified across the region through the examined years, with a significantly higher decrease over the 2010–2020 period. This is due to the construction activities that took place (the new Attiki Odos urban highway, the metro, the new Eleftherios Venizelos international airport) which led to an overall improvement in traffic, mainly in the city center, as wells as the economic crisis and the subsequent reduction in energy consumption for heating and transportation, and the withdrawal of old vehicles.
- The PM10 concentration starting point for valid outcomes (meaning no hospital admissions) ranges between 15.8 µg/m3 and 19 µg/m3. Several studies worldwide present similar results. More specifically, the five lowest levels reported or estimated were 13.7 µg/m3 [58], 15.0 µg/m3 [72], 15.1 µg/m3 [60], 15.9 µg/m3 [59], and 16.0 µg/m3 [61]. Based on the evaluation of these studies, WHO [73] recommends 15 µg/m3 as the lowest concentration level for Air Quality Guidelines (AQG). However, the above studies, as well as the present one, suggest that health effects may occur at low levels of pollution.
- Measures need to be taken to reduce both children and adult’s exposure to high concentrations of PM10 pollutants which consequently will lessen the incidence of respiratory symptoms, asthma, and hospital admissions due to poor air quality.
Author Contributions
Funding
Informed Consent Statement
Data Availability Statement
Conflicts of Interest
References
- European Environmental Agency Air Pollution: Which European Cities Have the Best Air Quality?—European Environment Agency. Available online: https://www.eea.europa.eu/highlights/air-pollution-which-european-cities (accessed on 6 September 2022).
- Gibson, G.J.; Loddenkemper, R.; Lundbäck, B.; Sibille, Y. Respiratory Health and Disease in Europe: The New European Lung White Book. Eur. Respir. J. 2013, 42, 559–563. [Google Scholar] [CrossRef]
- Künzli, N.; Kaiser, R.; Medina, S.; Studnicka, M.; Chanel, O.; Filliger, P.; Herry, M.; Horak, F.; Puybonnieux-Texier, V.; Quénel, P.; et al. Public-Health Impact of Outdoor and Traffic-Related Air Pollution: A European Assessment. Lancet 2000, 356, 795–801. [Google Scholar] [CrossRef]
- Hellenic Thoracic Society. Asthma Definition. Available online: https://myasthma.gr/to-asthma/ti-einai-to-asthma/ (accessed on 20 June 2022).
- Ferrante, G.; La Grutta, S. The Burden of Pediatric Asthma. Front. Pediatr. 2018, 6, 186. [Google Scholar] [CrossRef]
- Papadimitriou, E.; Karagiannis, D.; Riza, E.; Linos, A. Air Pollution as a Cause of Asthma in Children—A Review. Arch. Hell. Med. 2011, 28, 621–629. [Google Scholar]
- Nastos, P.T. Weather, Ambient Air Pollution and Bronchial Asthma in Athens, Greece. In Seasonal Forecasts, Climatic Change and Human Health; Thomson, M.C., Garcia-Herrera, R., Beniston, M., Eds.; Springer: Dordrecht, The Netherlands, 2008; pp. 173–188. ISBN 978-1-4020-6876-8. [Google Scholar]
- Hellenic Thoracic Society. Asthma Group of the Hellenic Thoracic Society. Available online: https://www.hts.org.gr/ (accessed on 20 September 2021).
- Nastos, P.T.; Paliatsos, A.G.; Anthracopoulos, M.B.; Roma, E.S.; Priftis, K.N. Outdoor Particulate Matter and Childhood Asthma Admissions in Athens, Greece: A Time-Series Study. Environ. Health 2010, 9, 45. [Google Scholar] [CrossRef] [PubMed]
- Brunekreef, B. Particulate Matter and Lung Function Growth in Children: A 3-Yr Follow-up Study in Austrian Schoolchildren. Eur. Respir. J. 2002, 20, 1354–1355. [Google Scholar] [CrossRef]
- Lee, S.L.; Wong, W.H.S.; Lau, Y.L. Association between Air Pollution and Asthma Admission among Children in Hong Kong. Clin. Exp. Allergy 2006, 36, 1138–1146. [Google Scholar] [CrossRef]
- Lin, M.; Chen, Y.; Burnett, R.T.; Villeneuve, P.J.; Krewski, D. The Influence of Ambient Coarse Particulate Matter on Asthma Hospitalization in Children: Case-Crossover and Time-Series Analyses. Environ. Health Perspect. 2002, 110, 575–581. [Google Scholar] [CrossRef] [PubMed]
- Hooper, L.G.; Young, M.T.; Keller, J.P.; Szpiro, A.A.; O’Brien, K.M.; Sandler, D.P.; Vedal, S.; Kaufman, J.D.; London, S.J. Ambient Air Pollution and Chronic Bronchitis in a Cohort of U.S. Women. Environ. Health Perspect. 2018, 126, 27005. [Google Scholar] [CrossRef] [PubMed]
- Bentayeb, M.; Helmer, C.; Raherison, C.; Dartigues, J.F.; Tessier, J.-F.; Annesi-Maesano, I. Bronchitis-like Symptoms and Proximity Air Pollution in French Elderly. Respir. Med. 2010, 104, 880–888. [Google Scholar] [CrossRef] [PubMed]
- Kim, S.E.; Hijioka, Y.; Nagashima, T.; Kim, H. Particulate Matter and Its Impact on Mortality among Elderly Residents of Seoul, South Korea. Atmosphere 2019, 11, 18. [Google Scholar] [CrossRef]
- Canova, C.; Dunster, C.; Kelly, F.J.; Minelli, C.; Shah, P.L.; Caneja, C.; Tumilty, M.K.; Burney, P. PM10-Induced Hospital Admissions for Asthma and Chronic Obstructive Pulmonary Disease: The Modifying Effect of Individual Characteristics. Epidemiology 2012, 23, 607–615. [Google Scholar] [CrossRef] [PubMed]
- Sacks, J.; Fann, N.; Gumy, S.; Kim, I.; Ruggeri, G.; Mudu, P. Quantifying the Public Health Benefits of Reducing Air Pollution: Critically Assessing the Features and Capabilities of WHO’s AirQ+ and U.S. EPA’s Environmental Benefits Mapping and Analysis Program—Community Edition (BenMAP—CE). Atmosphere 2020, 11, 516. [Google Scholar] [CrossRef] [PubMed]
- World Health Organization Tools for Health Impact Assessment of Air Quality: AirQ+ Software. Available online: https://www.who.int/europe/tools-and-toolkits/airq---software-tool-for-health-risk-assessment-of-air-pollution (accessed on 20 September 2021).
- Sokoty, L.; Kermani, M.; Janani, L.; Dowlat, M.; Hassanlouei, B.; Rimaz, S. Estimation of Cardiovascular and Respiratory Diseases Attributed to PM10 Using AirQ Model in Urmia during 2011-2017. Med. J. Islam. Repub. Iran 2020, 34, 60. [Google Scholar] [CrossRef] [PubMed]
- Amoatey, P.; Sicard, P.; De Marco, A.; Khaniabadi, Y.O. Long-Term Exposure to Ambient PM2.5 and Impacts on Health in Rome, Italy. Clin. Epidemiol. Glob. Health 2020, 8, 531–535. [Google Scholar] [CrossRef]
- Rovira, J.; Domingo, J.L.; Schuhmacher, M. Air Quality, Health Impacts and Burden of Disease Due to Air Pollution (PM10, PM2.5, NO2 and O3): Application of AirQ+ Model to the Camp de Tarragona County (Catalonia, Spain). Sci. Total Environ. 2020, 703, 135538. [Google Scholar] [CrossRef] [PubMed]
- Kermani, M.; Arfaeinia, H.; Masroor, K.; Abdolahnejad, A.; Fanaei, F.; Shahsavani, A.; Tahmasbizadeh, M.; Vahidi, M.H. Health Impacts and Burden of Disease Attributed to Long-Term Exposure to Atmospheric PM10/PM2.5 in Karaj, Iran: Effect of Meteorological Factors. Int. J. Environ. Anal. Chem. 2020, 102, 6134–6150. [Google Scholar] [CrossRef]
- Zhu, J.; Zhang, Y.; Xu, X.; Yan, Y.; Zhu, X.; Li, X. Air Pollution and Health Impacts of Atmospheric PM: Application of AirQ+ Model to Jiangsu Province in China. Int. J. Environ. Res. 2022, 16, 74. [Google Scholar] [CrossRef]
- Moustris, K.; Ntourou, K.; Nastos, P. Estimation of Particulate Matter Impact on Human Health within the Urban Environment of Athens City, Greece. Urban Sci. 2017, 1, 6. [Google Scholar] [CrossRef]
- Khaniabadi, Y.O.; Sicard, P.; Takdastan, A.; Hopke, P.K.; Taiwo, A.M.; Khaniabadi, F.O.; De Marco, A.; Daryanoosh, M. Mortality and Morbidity Due to Ambient Air Pollution in Iran. Clin. Epidemiol. Glob. Health 2019, 7, 222–227. [Google Scholar] [CrossRef]
- Fattore, E.; Paiano, V.; Borgini, A.; Tittarelli, A.; Bertoldi, M.; Crosignani, P.; Fanelli, R. Human Health Risk in Relation to Air Quality in Two Municipalities in an Industrialized Area of Northern Italy. Environ. Res. 2011, 111, 1321–1327. [Google Scholar] [CrossRef] [PubMed]
- Zhang, D.; Zheng, J. The Burden of Childhood Asthma by Age Group, 1990–2019: A Systematic Analysis of Global Burden of Disease 2019 Data. Front. Pediatr. 2022, 10, 823399. [Google Scholar] [CrossRef] [PubMed]
- Bai, J.; Zhao, Y.; Yang, D.; Ma, Y.; Yu, C. Secular Trends in Chronic Respiratory Diseases Mortality in Brazil, Russia, China, and South Africa: A Comparative Study across Main BRICS Countries from 1990 to 2019. BMC Public Health 2022, 22, 91. [Google Scholar] [CrossRef] [PubMed]
- Fallahzadeh, A.; Sharifnejad Tehrani, Y.; Sheikhy, A.; Ghamari, S.-H.; Mohammadi, E.; Saeedi Moghaddam, S.; Esfahani, Z.; Nasserinejad, M.; Shobeiri, P.; Rashidi, M.-M.; et al. The Burden of Chronic Respiratory Disease and Attributable Risk Factors in North Africa and Middle East: Findings from Global Burden of Disease Study (GBD) 2019. Respir. Res. 2022, 23, 268. [Google Scholar] [CrossRef]
- Chen, F.; Lin, Z.; Chen, R.; Norback, D.; Liu, C.; Kan, H.; Deng, Q.; Huang, C.; Hu, Y.; Zou, Z.; et al. The Effects of PM2.5 on Asthmatic and Allergic Diseases or Symptoms in Preschool Children of Six Chinese Cities, Based on China, Children, Homes and Health (CCHH) Project. Environ. Pollut. 2018, 232, 329–337. [Google Scholar] [CrossRef]
- McDuffie, E.; Martin, R.; Yin, H.; Brauer, M. Global Burden of Disease from Major Air Pollution Sources: A Global Approach. Res. Rep. Health Eff. Inst. 2021, 2021, 210. [Google Scholar]
- HAS. Hellenic Statistical Authority (HSA). Available online: https://www.statistics.gr/ (accessed on 1 November 2021).
- Hellenic Statistical Authority. Announcement on the Publication of Revised 2011 Census Tables. Available online: https://www.statistics.gr/en/2011-census-pop-hous (accessed on 18 February 2022).
- Meteo Weather forecast for Greece. Available online: http://www.meteo.gr/ (accessed on 21 September 2022).
- Spyropoulos, G.C.; Nastos, P.T.; Moustris, K.P.; Chalvatzis, K.J. Transportation and Air Quality Perspectives and Projections in a Mediterranean Country, the Case of Greece. Land 2022, 11, 152. [Google Scholar] [CrossRef]
- Moustris, K.P.; Kladakis, A.; Ntourou, K.; Nastos, P.T. Estimation of Adverse Health Effects Attributed to PM10, CO, NO2, O3 and SO2 Exposure within the Greater Athens Area, Greece. In Proceedings of the 14th International Conference on Meteorology, Climatology and Atmospheric Physics, Alexandroupolis, Greece, 15–17 October 2018. [Google Scholar]
- Spyropoulos, G.C.; Nastos, P.T.; Moustris, K.P. Performance of Aether Low-Cost Sensor Device for Air Pollution Measurements in Urban Environments. Accuracy Evaluation Applying the Air Quality Index (AQI). Atmosphere 2021, 12, 1246. [Google Scholar] [CrossRef]
- Lionello, P. The Climate of the Mediterranean Region; Elsevier: Amsterdam, The Netherlands, 2012; ISBN 978-0-12-416042-2. [Google Scholar]
- Kallos, G.; Nickovic, S.; Papadopoulos, A.; Jovic, D.; Kakaliagou, O.; Misirlis, N.; Boukas, L.; Mimikou, N.; Sakellaridis, G.; Papageorgiou, J. The Regional Weather Forecasting System SKIRON: An Overview. In Proceedings of the Symposium on Regional Weather Prediction on Parallel Computer Environments, Athens, Greece, 15–17 October 1997; University of Athens Greece: Athens, Greece, 1997; Volume 15, p. 17. [Google Scholar]
- Samoli, E.; Kougea, E.; Kassomenos, P.; Analitis, A.; Katsouyanni, K. Does the Presence of Desert Dust Modify the Effect of PM10 on Mortality in Athens, Greece? Sci. Total Environ. 2011, 409, 2049–2054. [Google Scholar] [CrossRef]
- Samoli, E.; Nastos, P.T.; Paliatsos, A.G.; Katsouyanni, K.; Priftis, K.N. Acute Effects of Air Pollution on Pediatric Asthma Exacerbation: Evidence of Association and Effect Modification. Environ. Res. 2011, 111, 418–424. [Google Scholar] [CrossRef]
- Trianti, S.-M.; Samoli, E.; Rodopoulou, S.; Katsouyanni, K.; Papiris, S.A.; Karakatsani, A. Desert Dust Outbreaks and Respiratory Morbidity in Athens, Greece. Environ. Health 2017, 16, 72. [Google Scholar] [CrossRef] [PubMed]
- Remoundaki, E.; Bourliva, A.; Kokkalis, P.; Mamouri, R.E.; Papayannis, A.; Grigoratos, T.; Samara, C.; Tsezos, M. PM10 Composition during an Intense Saharan Dust Transport Event over Athens (Greece). Sci. Total Environ. 2011, 409, 4361–4372. [Google Scholar] [CrossRef] [PubMed]
- Larissi, I.; Antoniou, A.; Nastos, P.; Paliatsos, A. The Role of Wind in the Configuration of the Ambient Air Quality in Athens, Greece. Fresenius Environ. Bull. 2010, 19, 1989–1996. [Google Scholar]
- Mavrakou, T.; Philippopoulos, K.; Deligiorgi, D. The Impact of Sea Breeze under Different Synoptic Patterns on Air Pollution within Athens Basin. Sci. Total Environ. 2012, 433, 31–43. [Google Scholar] [CrossRef] [PubMed]
- HMEE Hellenic Ministry of Environment and Energy. Available online: https://ypen.gov.gr/ (accessed on 30 April 2021).
- EUR-Lex Directive 2008/50/EC of the European Parliament and of the Council of 21 May 2008 on Ambient Air Quality and Cleaner Air for Europe. Available online: https://eur-lex.europa.eu/legal-content/en/ALL/?uri=CELEX%3A32008L0050 (accessed on 30 June 2021).
- WHO. Outdoor Air Pollution: Assessing the Environmental Burden of Disease at National and Local Levels; WHO: Geneva, Switzerland, 2004. [Google Scholar]
- Moustris, K.P.; Proias, G.T.; Larissi, I.K.; Nastos, P.T.; Koukouletsos, K.V.; Paliatsos, A.G. Health Impacts Due to Particulate Air Pollution in Volos City, Greece. J. Environ. Sci. Health Part A 2016, 51, 15–20. [Google Scholar] [CrossRef]
- Héroux, M.-E.; Anderson, H.R.; Atkinson, R.; Brunekreef, B.; Cohen, A.; Forastiere, F.; Hurley, F.; Katsouyanni, K.; Krewski, D.; Krzyzanowski, M.; et al. Quantifying the Health Impacts of Ambient Air Pollutants: Recommendations of a WHO/Europe Project. Int. J. Public Health 2015, 60, 619–627. [Google Scholar] [CrossRef]
- WHO. Health Risks of Air Pollution in Europe—HRAPIE Project; World Health Organization, Regional Office fro Europe: Copenhagen, Denmark, 2013; p. 60. [Google Scholar]
- Moustris, K.P.; Petraki, E.; Ntourou, K.; Priniotakis, G.; Nikolopoulos, D. Spatiotemporal Evaluation of PM10 Concentrations within the Greater Athens Area, Greece. Trends, Variability and Analysis of a 19 Years Data Series. Environments 2020, 7, 85. [Google Scholar] [CrossRef]
- Attiko Metro SA State Company of Athens Metro. Available online: https://www.ametro.gr/?lang=en (accessed on 22 June 2022).
- Attiki Odos Attica Tollway a Pioneering Project. Available online: https://www.aodos.gr/en/ (accessed on 21 June 2022).
- OASA, S.A. Transport for Athens. Athens Urban Transport Organization. Available online: https://www.oasa.gr/en/ (accessed on 21 June 2022).
- AIA Athens International Airport—Eleftherios Venizelos. Available online: https://www.aia.gr (accessed on 21 June 2022).
- Priftis, K.; Panagiotopoulou- Gartagani, P.; Tapratzi-Potamianou, P.; Zachariadi-Xypolita, A.; Sagriotis, A.; Saxoni-Papageorgiou, P. Hospitalizations for Childhood Asthma in Athens, Greece, from 1978 to 2000. Pediatr. Allergy Immunol. 2005, 16, 82–85. [Google Scholar] [CrossRef]
- Beelen, R.; Raaschou-Nielsen, O.; Stafoggia, M.; Andersen, Z.J.; Weinmayr, G.; Hoffmann, B.; Wolf, K.; Samoli, E.; Fischer, P.; Nieuwenhuijsen, M.; et al. Effects of Long-Term Exposure to Air Pollution on Natural-Cause Mortality: An Analysis of 22 European Cohorts within the Multicentre ESCAPE Project. Lancet 2014, 383, 785–795. [Google Scholar] [CrossRef]
- Carey, I.M.; Atkinson, R.W.; Kent, A.J.; van Staa, T.; Cook, D.G.; Anderson, H.R. Mortality Associations with Long-Term Exposure to Outdoor Air Pollution in a National English Cohort. Am. J. Respir. Crit. Care Med. 2013, 187, 1226–1233. [Google Scholar] [CrossRef]
- Puett, R.C.; Schwartz, J.; Hart, J.E.; Yanosky, J.D.; Speizer, F.E.; Suh, H.; Paciorek, C.J.; Neas, L.M.; Laden, F. Chronic Particulate Exposure, Mortality, and Coronary Heart Disease in the Nurses’ Health Study. Am. J. Epidemiol. 2008, 168, 1161–1168. [Google Scholar] [CrossRef]
- Hart, J.E.; Garshick, E.; Dockery, D.W.; Smith, T.J.; Ryan, L.; Laden, F. Long-Term Ambient Multipollutant Exposures and Mortality. Am. J. Respir. Crit. Care Med. 2011, 183, 73–78. [Google Scholar] [CrossRef] [PubMed]
- Hansell, A.; Ghosh, R.E.; Blangiardo, M.; Perkins, C.; Vienneau, D.; Goffe, K.; Briggs, D.; Gulliver, J. Historic Air Pollution Exposure and Long-Term Mortality Risks in England and Wales: Prospective Longitudinal Cohort Study. Thorax 2016, 71, 330–338. [Google Scholar] [CrossRef] [PubMed]
- Lipsett, M.J.; Ostro, B.D.; Reynolds, P.; Goldberg, D.; Hertz, A.; Jerrett, M.; Smith, D.F.; Garcia, C.; Chang, E.T.; Bernstein, L. Long-Term Exposure to Air Pollution and Cardiorespiratory Disease in the California Teachers Study Cohort. Am. J. Respir. Crit. Care Med. 2011, 184, 828–835. [Google Scholar] [CrossRef] [PubMed]
- QGIS QGIS Project. A Free and Open-Source Geographic Information System. Available online: https://www.qgis.org/en/site/ (accessed on 20 February 2022).
- Jeong, S.J. The Impact of Air Pollution on Human Health in Suwon City. Ajae 2013, 7, 227–233. [Google Scholar] [CrossRef]
- Naddafi, K.; Hassanvand, M.S.; Yunesian, M.; Momeniha, F.; Nabizadeh, R.; Faridi, S.; Gholampour, A. Health Impact Assessment of Air Pollution in Megacity of Tehran, Iran. J. Environ. Health Sci. Eng. 2012, 9, 28. [Google Scholar] [CrossRef]
- Habeebullah, T.M. Health Impacts of PM10 Using AirQ2.2.3 Model in Makkah. J. Basic Appl. Sci. 2013, 9, 259–268. [Google Scholar] [CrossRef]
- Shakour, A.; El-Shahat, M.; El-Taieb, N.; Hassanein, M.; Mohamed, A. Health Impacts of Particulate Matter in Greater Cairo, Egypt. J. Am. Sci. 2011, 7, 840–848. [Google Scholar]
- Miri, M.; Derakhshan, Z.; Allahabadi, A.; Ahmadi, E.; Oliveri Conti, G.; Ferrante, M.; Aval, H.E. Mortality and Morbidity Due to Exposure to Outdoor Air Pollution in Mashhad Metropolis, Iran. The AirQ Model Approach. Environ. Res. 2016, 151, 451–457. [Google Scholar] [CrossRef]
- Bahrami Asl, F.; Leili, M.; Vaziri, Y.; Salahshour Arian, S.; Cristaldi, A.; Oliveri Conti, G.; Ferrante, M. Health Impacts Quantification of Ambient Air Pollutants Using AirQ Model Approach in Hamadan, Iran. Environ. Res. 2018, 161, 114–121. [Google Scholar] [CrossRef]
- Fallahizadeh, S.; Kermani, M.; Esrafili, A.; Asadgol, Z.; Gholami, M. The Effects of Meteorological Parameters on PM10: Health Impacts Assessment Using AirQ+ Model and Prediction by an Artificial Neural Network (ANN). Urban Clim. 2021, 38, 100905. [Google Scholar] [CrossRef]
- Bentayeb, M.; Wagner, V.; Stempfelet, M.; Zins, M.; Goldberg, M.; Pascal, M.; Larrieu, S.; Beaudeau, P.; Cassadou, S.; Eilstein, D.; et al. Association between Long-Term Exposure to Air Pollution and Mortality in France: A 25-Year Follow-up Study. Environ. Int. 2015, 85, 5–14. [Google Scholar] [CrossRef] [PubMed]
- World Health Organization. WHO Global Air Quality Guidelines: Particulate Matter (PM2.5 and PM10), Ozone, Nitrogen Dioxide, Sulfur Dioxide and Carbon Monoxide; World Health Organization: Geneva, Switzerland, 2021; ISBN 978-92-4-003422-8. [Google Scholar]











| Aristotelous | Agia Paraskevi | Maroussi | Thrakomakedones | Lykovrissi | |
|---|---|---|---|---|---|
| Abbreviation | ARI | AGP | MAR | THR | LYK |
| Area Size km2 | 39 | 8 | 13 | 4 | 4 |
| Longitude | 23.727617 | 23.819421 | 23.787372 | 23.758195 | 23.788986 |
| Latitude | 37.988066 | 37.995110 | 38.030837 | 38.143521 | 38.067793 |
| Characterization | UT | SB | UB | SB | SB |
| Population | 664,000 | 60,000 | 73,000 | 6200 | 10,000 |
| Population (Kids) | 65,670 | 5934 | 7220 | 613 | 1000 |
| PM10 Data Completeness | 87.10% | 90.02% | 81.20% | 83.36% | 90.21% |
| Parameter | ARI | AGP | MAR | THR | LYK | |||||
|---|---|---|---|---|---|---|---|---|---|---|
| 2001–2010 | 2011–2020 | 2001–2010 | 2011–2020 | 2001–2010 | 2011–2020 | 2001–2010 | 2011–2020 | 2001–2010 | 2011–2020 | |
| Annual Average | 54 | 37 | 35 | 21 | 47 | 31 | 30 | 21 | 55 | 29 |
| Cold Season Average | 57 | 40 | 30 | 19 | 52 | 35 | 27 | 20 | 56 | 32 |
| Warm Season Average | 51 | 34 | 39 | 22 | 41 | 27 | 33 | 23 | 53 | 27 |
| Annual 98th Percentile | 115 | 95 | 98 | 52 | 114 | 92 | 82 | 58 | 122 | 89 |
| Annual Minimum | 8 | 6 | 17 | 11 | 12 | 7 | 5 | 4 | 10 | 7 |
| Annual Maximum | 191 | 164 | 226 | 193 | 207 | 193 | 211 | 180 | 247 | 188 |
| Location | Period | Mean Annual PM10 (μgr/m3) | Health Impact (Cases per 100,000 Inhabitants) | RR | Reference |
|---|---|---|---|---|---|
| Volos, Greece | 2007–2011 | 41.2 | HARD 32 | 1.008 | [49] |
| Suwon City, Seoul, South Korea | 2011 | 52.0 | HARD 39 | 1.008 | [65] |
| Tehran, Iran | 2010 | 90.6 | HARD 77 | 1.008 | [66] |
| Holy City of Makkah, Saudi Arabia | 2012–2013 | 195.5 | HARD 2504 | 1.096 | [67] |
| South Shoubra El-Kheima, Cairo, Egypt | 2008–2009 | 267.0 | HARD 4919 | 1.274 | [68] |
| North Shoubra El-Kheima, Cairo, Egypt | 2008–2009 | 306.0 | HARD 10,941 | 1.138 | [68] |
| North Helwan, Cairo, Egypt | 2008–2009 | 382.0 | HARD 5002 | 1.290 | [68] |
| South Helwan, Cairo, Egypt | 2008–2009 | 441.0 | HARD 4053 | 1.377 | [68] |
| Aristotelous (Athens city center), Greece | 2001–2013 | 50.1 | HARD 40 | 1.008 | [24] |
| Lykovrissi, Greece | 2001–2013 | 50.3 | HARD 40 | 1.008 | [24] |
| Maroussi, Greece | 2001–2013 | 44.5 | HARD 35 | 1.008 | [24] |
| Piraeus (port), Greece | 2001–2013 | 44.2 | HARD 36 | 1.008 | [24] |
| Agia Paraskevi, Greece | 2001–2013 | 32.1 | HARD 21 | 1.008 | [24] |
| Thrakomakedones, Greece | 2001–2013 | 30.0 | HARD 20 | 1.008 | [24] |
| Mashhad, Iran | 2014–2015 | 82.9 | HARD 805 | 1.008 | [69] |
| Hamada, Iran | 2014–2015 | 69.9 | HARD 104 | 1.013 | [70] |
| Yasuj, Iran | 2013–2018 | 92.4 | CBI 215 BC 7959 | 1.008 1.017 | [71] |
| Aristotelous (Athens city center), Greece | 2001–2020 | 45.5 | CBI 26 BC 225 | 1.008 1.08 | Present research |
| Agia Paraskevi, Greece | 2001–2020 | 27.5 | CBI 9 BC 74 | 1.008 1.08 | Present research |
| Maroussi, Greece | 2001–2020 | 38.7 | CBI 19 BC 165 | 1.008 1.08 | Present research |
| Thrakomakedones, Greece | 2001–2020 | 25.8 | CBI 8 BC 66 | 1.008 1.08 | Present research |
| Lykovrissi, Greece | 2001–2020 | 42.1 | CBI 23 BC 193 | 1.008 1.08 | Present research |
Disclaimer/Publisher’s Note: The statements, opinions and data contained in all publications are solely those of the individual author(s) and contributor(s) and not of MDPI and/or the editor(s). MDPI and/or the editor(s) disclaim responsibility for any injury to people or property resulting from any ideas, methods, instructions or products referred to in the content. |
© 2023 by the authors. Licensee MDPI, Basel, Switzerland. This article is an open access article distributed under the terms and conditions of the Creative Commons Attribution (CC BY) license (https://creativecommons.org/licenses/by/4.0/).
Share and Cite
Ntourou, K.; Moustris, K.; Spyropoulos, G.; Fameli, K.-M.; Manousakis, N. Adverse Health Effects (Bronchitis Cases) Due to Particulate Matter Exposure: A Twenty-Year Scenario Analysis for the Greater Athens Area (Greece) Using the AirQ+ Model. Atmosphere 2023, 14, 389. https://doi.org/10.3390/atmos14020389
Ntourou K, Moustris K, Spyropoulos G, Fameli K-M, Manousakis N. Adverse Health Effects (Bronchitis Cases) Due to Particulate Matter Exposure: A Twenty-Year Scenario Analysis for the Greater Athens Area (Greece) Using the AirQ+ Model. Atmosphere. 2023; 14(2):389. https://doi.org/10.3390/atmos14020389
Chicago/Turabian StyleNtourou, Kleopatra, Konstantinos Moustris, Georgios Spyropoulos, Kyriaki-Maria Fameli, and Nikolaos Manousakis. 2023. "Adverse Health Effects (Bronchitis Cases) Due to Particulate Matter Exposure: A Twenty-Year Scenario Analysis for the Greater Athens Area (Greece) Using the AirQ+ Model" Atmosphere 14, no. 2: 389. https://doi.org/10.3390/atmos14020389
APA StyleNtourou, K., Moustris, K., Spyropoulos, G., Fameli, K.-M., & Manousakis, N. (2023). Adverse Health Effects (Bronchitis Cases) Due to Particulate Matter Exposure: A Twenty-Year Scenario Analysis for the Greater Athens Area (Greece) Using the AirQ+ Model. Atmosphere, 14(2), 389. https://doi.org/10.3390/atmos14020389

