Preparation and Mercury Removal Performance of Mg-MOF-74 Composites
Abstract
:1. Introduction
2. Materials and Methods
2.1. Reagents
2.2. Characterization Instruments
2.3. Test System
2.4. Sample Preparation
2.4.1. Preparation of Modified Biochar
2.4.2. Preparation of Mg-MOF-74
2.4.3. Preparation of Mg-MOF-74 and FeCeCu/BC Composites
- Physical mixing method: the produced Mg-MOF-74 and FeCeCu/BC were mixed and ground for 10 min at a ratio of 1:1 by mass. The obtained samples are denoted as MgMOF/mixed;
- Co-pyrolysis method: Mg-MOF-74 was mixed with FeCeCu/BC and FeCeCu/precursor in a ratio of 1:1, ground for 10 min, and then heated at 600 °C for 10 min in a N2 flow of 200 mL/min. The obtained samples are denoted as MgMOF/BC and MgMOF/precursor, respectively. In addition, to better investigate the properties and physicochemical properties of the products obtained by co-pyrolysis, the pyrolysis products of Mg-MOF-74 were characterized and tested, and the samples are denoted as MgMOF/pyrolysis;
- Sol–gel method: Combined with the preparation process of biochar, Mg-MOF-74 was put into the mixed solution and stirred well before adding 1,2-epichlorohydrin. The samples are denoted as MgMOF/sol–gel according to the preparation process for biochar. Because of the yield of Mg-MOF-74, the mass ratio of Mg-MOF-74 to biomass was 1:5;
- In situ growth method: FeCeCu/BC was added to the Mg-MOF-74 precursor solution at a ratio of Mg-MOF-74: FeCeCu/BC = 1:1 and stirred for 30 min. The solution was placed in the reactor according to the synthesis method of Mg-MOF-74, and the resulting sample was denoted MgMOF/in situ growth.

3. Results
3.1. Mercury Removal Performance
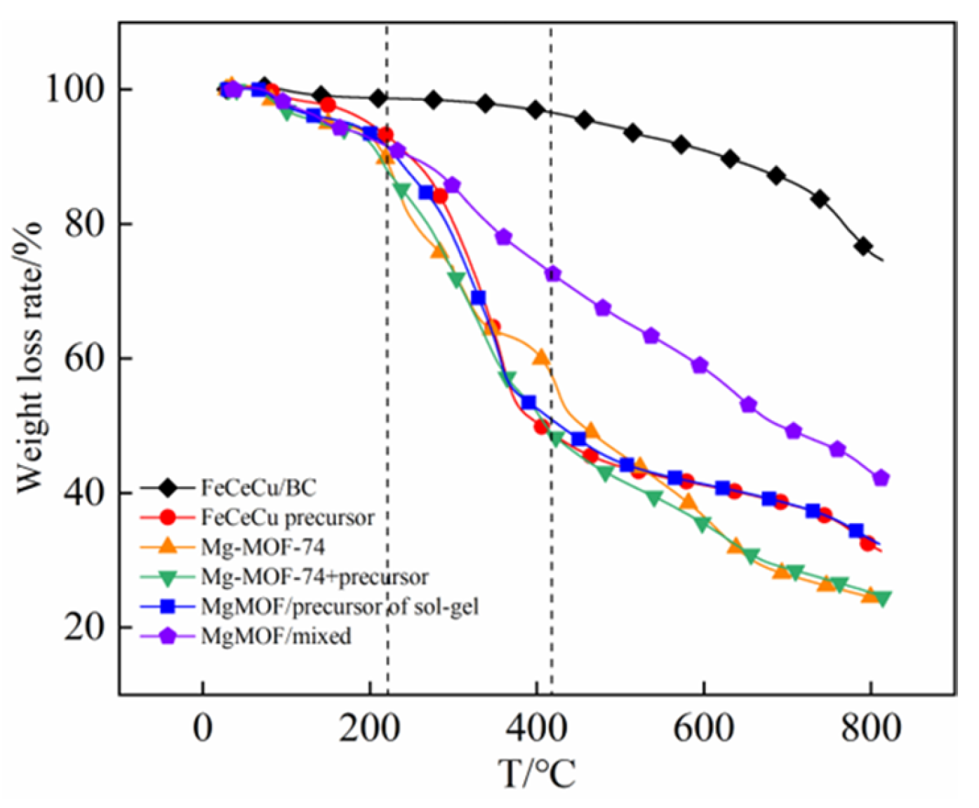
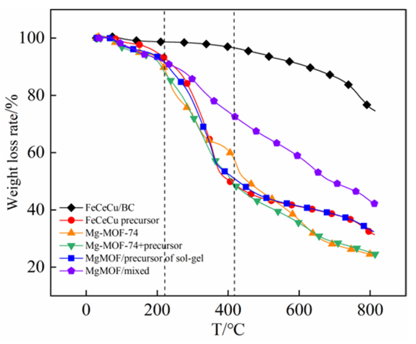
3.2. Pyrolysis Characteristics
3.3. Pore Structure
3.4. Crystal Phase Structure
3.5. Surface Chemical Characterization
3.6. Adsorption Kinetics and Mechanism of Mercury Removal
4. Conclusions
- Mg-MOF-74 was prepared by the solvothermal method, and the effect of changing the solvent volume and mass-to-liquid ratio on the preparation was investigated. The solvothermal method is only applicable to the preparation of Mg-MOF-74 in small batches, and increasing the solvent volume and mass-to-liquid ratio during preparation will deteriorate the crystallization and pore structure of Mg-MOF-74;
- Fe-based metal-doped modified walnut shell biochar FeCeCu/BC was prepared using a sol–gel combined with the co-precipitation method. Various composites of Mg-MOF-74 and FeCeCu/BC were prepared by using physical mixing, co-pyrolysis, sol–gel and in situ growth methods, and mercury removal tests were conducted to compare their mercury removal performance. The results show that MgMOF/sol–gel prepared by the sol–gel method and MgMOF/BC prepared by the co-pyrolysis method have the best performance of mercury removal, with the highest improvement of 31% and 46% compared to FeCeCu/BC, respectively, indicating that the Mg-MOF-74 composites prepared by suitable composite methods can improve the performance of mercury removal;
- Thermogravimetric tests, BET, XRD, FTIR characterization analysis and adsorption kinetic fitting were conducted to analyze the composite process and the mechanism of mercury removal from the composites, and the results show that the mercury removal performance of the samples is the result of the combined effect of physical and chemical adsorption. Mg-MOF-74 and MgMOF/pyrolysis are not suitable for mercury removal. The mercury removal of the composites depends on the chemisorption and oxidation of the metal active sites of FeCeCu/BC, and the composite of Mg-MOF-74 and FeCeCu/BC leads to changes in the pore structure and surface properties of the composites, which affect the performance of mercury removal. Physical mixing and in situ growth are Mg-MOF-74 wrapped or attached to the FeCeCu/BC surface, which is not conducive to mercury removal, while the co-pyrolysis and sol–gel methods affect both pore structure and surface properties, and MgMOF/precursor deteriorates the performance of mercury removal due to the deterioration of pore size and surface properties, while MgMOF/BC co-pyrolysis and MgMOF/sol–gel improve the pore structure with little change in surface properties and improve the performance of mercury removal;
- The effect of the doping ratio of Mg-MOF-74 on the mercury removal performance of the composites needs to be investigated subsequently, and it can be predicted that for the in situ growth method, physical mixing method, Mg-MOF-74 and FeCeCu/precursor co-pyrolysis, decreasing the doping ratio of Mg-MOF-74 will improve the mercury removal performance, while the Mg-MOF-74 and FeCeCu/BC co-pyrolysis and sol–gel method should also have the most favorable Mg-MOF-74 doping ratio for mercury removal;
- The high-temperature conditions used for flue gas formation after coal combustion in power plants can be used to calcine the functional iron-based precursor materials prepared by the sol–gel method, resulting in the pyrolysis of biomass to obtain Mg-MOF-74 composite adsorbents. After that, the obtained adsorbent can effectively remove gaseous Hg0 in a suitable range of low temperatures. Finally, it can be separated and captured by electrostatic precipitators (ESPs) and fabric filters (FFs). This mercury emission reduction process has a very low cost. Moreover, this method does not need to add new equipment and has a simple process that is suitable for the transformation of existing units and is not limited by the coal type and combustion conditions, so as to realize its own recycling based on “demercuration by waste”, which has broad application prospects.
Author Contributions
Funding
Institutional Review Board Statement
Informed Consent Statement
Data Availability Statement
Conflicts of Interest
References
- Habuer; Zhou, Y.; Takaoka, M. Time-Series Analysis of Excess Mercury in China. J. Mater. Cycles Waste Manag. 2018, 20, 1483–1498. [Google Scholar] [CrossRef]
- Zhao, S.; Duan, Y.; Chen, L.; Li, Y.; Yao, T.; Liu, S.; Liu, M.; Lu, J. Study on Emission of Hazardous Trace Elements in a 350 MW Coal-Fired Power Plant. Part 1. Mercury. Environ. Pollut. 2017, 229, 863–870. [Google Scholar] [CrossRef]
- Tong, Y.; Wang, K.; Gao, J.; Yue, T.; Zuo, P.; Wang, C.; Tong, L.; Zhang, X.; Zhang, Y.; Liang, Q.; et al. Mercury Distribution and Emission Reduction Potentials of Chinese Coal-Fired Industrial Boilers. Air Qual. Atmos. Health. 2022, 15, 967–978. [Google Scholar] [CrossRef]
- Azmi, N.Z.M.; Buthiyappan, A.; Raman, A.A.A.; Patah, M.F.A.; Sufian, S. Recent Advances in Biomass Based Activated Carbon for Carbon Dioxide—A Review. J. Ind. Eng. Chem. 2022, 116, 1–20. [Google Scholar] [CrossRef]
- Qi, L.; Wang, X.; Wang, W.; Li, J.; Huang, Y. Mercury Removal from Coal Combustion Flue Gas by Pyrite-Modified Fly Ash Adsorbent. Environ. Sci. Pollut. Res. 2022, 29, 39228–39238. [Google Scholar] [CrossRef]
- Liu, H.; Yuan, B.; Zhang, B.; Hu, H.; Li, A.; Luo, G.; Yao, H. Removal of Mercury from Flue Gas Using Sewage Sludge-Based Adsorbents. J. Mater. Cycles Waste Manag. 2014, 16, 101–107. [Google Scholar] [CrossRef]
- Cui, Y.; Huo, Q.; Chen, H.; Chen, S.; Wang, S.; Wang, J.; Chang, L.; Han, L.; Xie, W. Biomass Carbon Magnetic Adsorbent Constructed by One-Step Activation Method for the Removal of Hg-0 in Flue Gas. ACS Omega 2022, 7, 9244–9253. [Google Scholar] [CrossRef]
- Jia, L.; Cheng, P.; Yu, Y.; Chen, S.; Wang, C.; He, L.; Nie, H.; Wang, J.; Zhang, J.; Fan, B.; et al. Regeneration Mechanism of a Novel High-Performance Biochar Mercury Adsorbent Directionally Modified by Multimetal Multilayer Loading. J. Environ. Manag. 2023, 326, 116790. [Google Scholar] [CrossRef]
- Avci, G.; Altintas, C.; Keskin, S. Metal Exchange Boosts the CO2 Selectivity of Metal Organic Frameworks Having Zn-Oxide Nodes. J. Phys. Chem. C 2021, 125, 17311–17322. [Google Scholar] [CrossRef]
- Rarotra, S.; Kumar, P.; Satyabrata, S.; Kumar, P.; Kim, K.H. Transformation of Recovered Cobalt from Lithium-Ion Batteries into Zeolitic Imidazolate Framework-67. J. Mater. Cycles Waste Manag. 2022, 24, 425–432. [Google Scholar] [CrossRef]
- Yang, Y.; Jin, L.; Zhou, L.; Du, X. A Molecular Study of Humid CO2 Adsorption Capacity by Mg-MOF-74 Surfaces with Ligand Functionalization. Comput. Mater. Sci. 2022, 209, 111407. [Google Scholar] [CrossRef]
- Flores, G.; Aguilar-Pliego, J.; Martin-Guaregua, N.; Ibarra, I.A.; Sanchez-Sanchez, M. Room-Temperature Prepared Bimetallic Nanocrystalline MOF-74 as Catalysts in the Aerobic Oxidation of Cyclohexene. Catal. Today 2022, 394, 295–303. [Google Scholar] [CrossRef]
- Kumar, A.; Madden, D.G.; Lusi, M.; Chen, K.-J.; Daniels, E.A.; Curtin, T.; Perry, J.J.; Zaworotko, M.J. Direct Air Capture of CO2 by Physisorbent Materials. Angew. Chem. Int. Edit. 2015, 54, 14372–14377. [Google Scholar] [CrossRef]
- Yang, Y.; Li, J.; Dong, Y.; Wang, J.; Cao, L. Preparation of Porous Monoliths via CO2-in-Water HIPEs Template and the in situ Growth of Metal Organic Frameworks on It for Multiple Applications. Polym. Adv. Technol. 2020, 31, 1591–1601. [Google Scholar] [CrossRef]
- Moon, H.-S.; Moon, J.-H.; Chun, D.H.; Park, Y.C.; Yun, Y.N.; Sohail, M.; Baek, K.; Kim, H. Synthesis of [Mg-2(DOBDC)(DMF)(2)]@polystyrene Composite and Its Carbon Dioxide Adsorption. Microporous Mesoporous Mat. 2016, 232, 161–166. [Google Scholar] [CrossRef]
- Lv, Z.; Wang, H.; Chen, C.; Yang, S.; Chen, L.; Alsaedi, A.; Hayat, T. Enhanced Removal of Uranium(VI) from Aqueous Solution by a Novel Mg-MOF-74-Derived Porous MgO/Carbon Adsorbent. J. Colloid Interface Sci. 2019, 537, A1–A10. [Google Scholar] [CrossRef]
- Jia, L.; Yu, Y.; Li, Z.-P.; Qin, S.-N.; Guo, J.-R.; Zhang, Y.-Q.; Wang, J.-C.; Zhang, J.-C.; Fan, B.-G.; Jin, Y. Study on the Hg0 Removal Characteristics and Synergistic Mechanism of Iron-Based Modified Biochar Doped with Multiple Metals. Bioresour. Technol. 2021, 332, 125086. [Google Scholar] [CrossRef]
- Kang, H.; Shin, J.; Kim, T.-H.; Lee, Y.; Lee, D.; Lee, J.; Kim, G.; Cho, E. Metal-Organic Framework-Derived Magnesium Oxide@Carbon Interlayer for Stable Lithium-Sulfur Batteries. ACS Sustain. Chem. Eng. 2023, 11, 1344–1354. [Google Scholar] [CrossRef]
- Du, T.; Long, Y.; Tang, Q.; Li, S.; Liu, L. Adsorption Property of Mg-MOF-74 for CO2/H2O. Chem. J. Chin. Univ. Chin. 2017, 38, 225–230. [Google Scholar] [CrossRef]
- Xiao, R.; Gao, T.; Cui, X.; Ji, Y.; Zhang, Y.; Chuai, X.; Xiong, Z.; Liao, Y.; Gu, H.; Yang, J.; et al. Removal of Elemental Mercury from Flue Gas by Recyclable CuCl2 Modified Magnetospheres Catalyst from Fly Ash: Part 6. Commercial Scale Demonstration at a 1000MWth Coal-Fired Power Plant. Fuel 2022, 310, 122219. [Google Scholar] [CrossRef]
- Guo, Z.; Zhou, J.; Hou, H.; Wu, X.; Li, Y. Recyclable Mg-MOF-74@cellulose Aerogel Composites for Efficient Removal of Heavy Metals from Wastewater. J. Solid State Chem. 2023, 323, 124059. [Google Scholar] [CrossRef]
- Wang, F.; Tang, T.; Zhang, R.; Cheng, Z.; Wu, J.; He, P.; Qi, Y.; Chen, S.; Li, W. Magnetically Recyclable CoS-Modified Graphitic Carbon Nitride-Based Materials for Efficient Immobilization of Gaseous Elemental Mercury. Fuel 2022, 326, 125117. [Google Scholar] [CrossRef]
- Shen, F.; Liu, J.; Wu, D.; Dong, Y.; Zhang, Z. Development of O2 and NO Co-Doped Porous Carbon as a High Capacity Mercury Sorbent. Environ. Sci. Technol. 2019, 53, 1725–1731. [Google Scholar] [CrossRef]
- Ma, J.; Yu, F.; Zhou, L.; Jin, L.; Yang, M.; Luan, J.; Tang, Y.; Fan, H.; Yuan, Z.; Chen, J. Enhanced Adsorptive Removal of Methyl Orange and Methylene Blue from Aqueous Solution by Alkali-Activated Multiwalled Carbon Nanotubes. ACS Appl. Mater. Interfaces 2012, 4, 5749–5760. [Google Scholar] [CrossRef]
- Yang, W.; Liu, Z.; Xu, W.; Liu, Y. Removal of Elemental Mercury from Flue Gas Using Sargassum Chars Modified by NH4Br Reagent. Fuel 2018, 214, 196–206. [Google Scholar] [CrossRef]
- Recepoglu, Y.K.; Kabay, N.; Yilmaz-Ipek, I.; Arda, M.; Yoshizuka, K.; Nishihama, S.; Yukel, M. Equilibrium and Kinetic Studies on Lithium Adsorption from Geothermal Water by Lambda-MnO2. Solvent Extr. Ion Exch. 2017, 35, 221–231. [Google Scholar] [CrossRef]
- Zhang, Z.; Liu, J.; Wang, Z.; Zhang, J. Bimetallic Fe-Cu-Based Metal-Organic Frameworks as Efficient Adsorbents for Gaseous Elemental Mercury Removal. Ind. Eng. Chem. Res. 2021, 60, 781–789. [Google Scholar] [CrossRef]
- Majumdar, S.; Tokay, B.; Martin-Gil, V.; Campbell, J.; Castro-Munoz, R.; Ahmad, M.Z.; Fila, V. Mg-MOF-74/Polyvinyl Acetate (PVAc) Mixed Matrix Membranes for CO2 Separation. Sep. Purif. Technol. 2020, 238, 116411. [Google Scholar] [CrossRef]
- Zhang, H.; Wang, T.; Sui, Z.; Zhang, Y.; Sun, B.; Pan, W.-P. Enhanced Mercury Removal by Transplanting Sulfur-Containing Functional Groups to Biochar through Plasma. Fuel 2019, 253, 703–712. [Google Scholar] [CrossRef]
- Qin, S.; Fan, H.; Jia, L.; Jin, Y.; Li, Z.; Fan, B. Molecular Structure Analysis and Mercury Adsorption Mechanism of Iron-Based Modified Biochar. Energy Fuels 2022, 36, 3184–3200. [Google Scholar] [CrossRef]
- Zhao, H.; Wang, X.; Feng, J.; Chen, Y.; Yang, X.; Gao, S.; Cao, R. Synthesis and Characterization of Zn2GeO4/Mg-MOF-74 Composites with Enhanced Photocatalytic Activity for CO2 Reduction. Catal. Sci. Technol. 2018, 8, 1288–1295. [Google Scholar] [CrossRef]








| Samples | Molar Ratio of Solute (Mg(NO3)2·6H2O: H4DOBDC)/mmol | Volume Ratio of Solvent (DMF: Deionized Water: EtOH)/mL | Volume of Polytetrafluoroethylene Lining/mL |
|---|---|---|---|
| Mg-MOF-74(1) | 2.5:0.8 | 60:4:4 | 100 |
| Mg-MOF-74(2) | 5:1.6 | 120:8:8 | 200 |
| Mg-MOF-74(2.5) | 6.25:2 | 150:10:10 | 250 |
| Mg-MOF-74(6:2) | 6:2 | 120:8:8 | 200 |
| Mg-MOF-74(12:4) | 12:4 | 120:8:8 | 200 |
| Mg-MOF-74(15:5) | 15:5 | 120:8:8 | 200 |
| Mg-MOF-74(18:6) | 18:6 | 120:8:8 | 200 |
| Mg-MOF-74(1) | 2.5:0.8 | 60:4:4 | 100 |
| Samples | Specific Surface Area of BET/(m2·g−1) | Pore Volume/(cm3·g−1) | Average Pore Diameter/(m2·g−1) |
|---|---|---|---|
| Mg-MOF-74(1) | 187.0287 | 0.1363 | 2.9142 |
| Mg-MOF-74(2) | 184.2882 | 0.1339 | 2.9336 |
| Mg-MOF-74(2.5) | 179.0822 | 0.1298 | 2.9637 |
| Mg-MOF-74(6:2) | 120.9055 | 0.1072 | 3.3503 |
| Mg-MOF-74(12:4) | 55.7503 | 0.0371 | 4.0793 |
| Mg-MOF-74(15:5) | 37.0171 | 0.0257 | 4.2643 |
| Mg-MOF-74(18:6) | 22.0524 | 0.0077 | 4.6327 |
| Samples | Specific Surface Area of BET/(m2·g−1) | Pore Volume /(cm3·g−1) | Average Pore Diameter/nm | Relative Pore Volume/% | ||
|---|---|---|---|---|---|---|
| Micropore | Mesopore | Macropore | ||||
| unmodified BC | 39.2144 | 0.0284 | 3.1916 | 29.22 | 68.66 | 2.12 |
| Mg-MOF-74 | 187.0287 | 0.1363 | 2.9142 | 36.59 | 63.39 | 0.02 |
| MgMOF/pyrolysis | 225.2365 | 0.3025 | 5.3730 | 23.86 | 75.67 | 0.47 |
| FeCeCu/BC | 107.7644 | 0.1125 | 4.1747 | 30.24 | 68.68 | 1.08 |
| MgMOF/mixed | 119.6446 | 0.1178 | 3.4478 | 33.42 | 65.89 | 0.69 |
| MgMOF/in situ growth | 138.8870 | 0.1188 | 3.4228 | 34.91 | 64.74 | 0.35 |
| MgMOF/sol–gel | 113.6318 | 0.1304 | 4.5888 | 25.84 | 67.28 | 6.88 |
| MgMOF/precursor | 128.6591 | 0.1177 | 5.5022 | 18.89 | 79.45 | 1.66 |
| MgMOF/BC | 207.4954 | 0.2150 | 4.1442 | 14.28 | 85.06 | 0.66 |
| Samples | T/°C | Pseudo-First-Order Kinetic | Pseudo-Second-Order Kinetic | ||||
|---|---|---|---|---|---|---|---|
| R2 | k1 | qe | R2 | k2 | qe | ||
| unmodified BC | 50 | 0.98790 | 5.43 × 10−4 | 5285.86 | 0.99258 | 6.72 × 10−8 | 7120.80 |
| 100 | 0.98754 | 7.48 × 10−4 | 5554.03 | 0.99504 | 9.61 × 10−8 | 7277.17 | |
| 150 | 0.99489 | 1.82 × 10−4 | 10,724.77 | 0.99498 | 6.15 × 10−9 | 18,030.50 | |
| FeCeCu/BC | 50 | 0.99965 | 6.97 × 10−5 | 258,263.05 | 0.99976 | 9.35 × 10−11 | 442,928.87 |
| 100 | 0.99983 | 6.39 × 10−5 | 277,412.99 | 0.99989 | 7.74 × 10−11 | 482,204.94 | |
| 150 | 0.99978 | 3.26 × 10−5 | 474,071.27 | 0.99975 | 1.98 × 10−11 | 885,802.46 | |
| Mg-MOF-74 | 50 | 0.98990 | 8.90 × 10−4 | 1255.53 | 0.99003 | 2.94 × 10−7 | 1997.09 |
| MgMOF/pyrolysis | 50 | 0.98390 | 9.00 × 10−4 | 2120.93 | 0.98487 | 2.08 × 10−7 | 3158.84 |
| MgMOF/mixed | 50 | 0.99505 | 1.59 × 10−4 | 68,256.11 | 0.99679 | 1.16 × 10−9 | 100,816.32 |
| 100 | 0.99408 | 1.57 × 10−4 | 71,872.43 | 0.99588 | 1.09 × 10−9 | 106,144.32 | |
| 150 | 0.99726 | 9.13 × 10−5 | 68,757.25 | 0.99761 | 5.17 × 10−10 | 112,141.92 | |
| MgMOF/BC | 50 | 0.99984 | 8.39 × 10−5 | 232,080.53 | 0.99994 | 1.32 × 10−10 | 388,775.95 |
| 100 | 0.99969 | 9.97 × 10−5 | 194,515.98 | 0.99989 | 1.99 × 10−10 | 317,481.19 | |
| 150 | 1.00000 | 2.73 × 10−5 | 799,582.79 | 1.00000 | 9.74 × 10−12 | 1,499,826.4 | |
| MgMOF/precursor | 50 | 0.99799 | 1.60 × 10−4 | 100,639.32 | 0.99919 | 7.80 × 10−10 | 149,692.53 |
| 100 | 0.99951 | 1.08 × 10−4 | 169,029.49 | 0.99980 | 2.59 × 10−10 | 271,376.11 | |
| 150 | 0.99992 | 1.45 × 10−4 | 124,734.99 | 0.99993 | 5.26 × 10−10 | 191,097.60 | |
| MgMOF/sol–gel | 50 | 0.99995 | 4.60 × 10−5 | 459,113.49 | 0.99997 | 3.12 × 10−11 | 827,144.38 |
| 100 | 0.99999 | 5.49 × 10−5 | 394,543.07 | 1.00000 | 4.47 × 10−11 | 700,221.44 | |
| 150 | 0.99999 | 4.49 × 10−5 | 454,790.48 | 0.99999 | 3.04 × 10−11 | 823,359.45 | |
| MgMOF/in situ growth | 50 | 0.99849 | 1.29 × 10−4 | 133,444.20 | 0.99917 | 4.28 × 10−10 | 206,663.41 |
| 100 | 0.99846 | 2.75 × 10−4 | 64,027.57 | 0.99997 | 2.81 × 10−9 | 85,988.20 | |
| 150 | 0.99392 | 7.34 × 10−5 | 67,044.38 | 0.99398 | 4.04 × 10−10 | 111,909.96 | |
| Samples | T/°C | Intra-Particle Diffusion | Elovich Kinetic | ||||
|---|---|---|---|---|---|---|---|
| R2 | kid | qe | R2 | α | β | ||
| unmodified BC | 50 | 0.99883 | 75.61 | −51.82 | 0.99670 | 0.2295 | 2.07 × 10−3 |
| 100 | 0.99100 | 88.08 | 89.01 | 0.99940 | 0.1466 | 3.33 × 10−3 | |
| 150 | 0.97473 | 101.46 | −1116.65 | 0.99511 | 0.4852 | 2.78 × 10−4 | |
| FeCeCu/BC | 50 | 0.98560 | 1577.60 | −32,275.03 | 0.99985 | 0.0534 | 9.99 × 10−5 |
| 100 | 0.98410 | 1600.49 | −33,667.80 | 0.99994 | 0.0546 | 8.84 × 10−5 | |
| 150 | 0.97677 | 1656.49 | −40,509.49 | 0.99972 | 0.0643 | 3.76 × 10−5 | |
| Mg-MOF-74 | 50 | 0.97729 | 26.65 | −123.17 | 0.99033 | 0.8050 | 1.63 × 10−3 |
| MgMOF/pyrolysis | 50 | 0.98704 | 44.46 | −169.24 | 0.98642 | 0.4299 | 2.12 × 10−3 |
| MgMOF/mixed | 50 | 0.99879 | 616.44 | −6866.30 | 0.99831 | 0.0757 | 3.79 × 10−4 |
| 100 | 0.99850 | 643.63 | −7092.67 | 0.99757 | 0.0727 | 3.75 × 10−4 | |
| 150 | 0.98730 | 485.08 | −8339.34 | 0.99798 | 0.1475 | 1.53 × 10−4 | |
| MgMOF/BC | 50 | 0.99011 | 1606.39 | −31,671.54 | 0.99999 | 0.0487 | 1.28 × 10−4 |
| 100 | 0.99290 | 1481.27 | −27,048.81 | 0.99999 | 0.0479 | 1.65 × 10−4 | |
| 150 | 0.97306 | 2401.48 | −58,780.47 | 1.00000 | 0.0455 | 3.13 × 10−5 | |
| MgMOF/precursor | 50 | 0.99876 | 928.47 | −11,411.56 | 0.99987 | 0.0517 | 3.68 × 10−4 |
| 100 | 0.99443 | 1340.87 | −23,370.47 | 0.99997 | 0.0501 | 1.89 × 10−4 | |
| 150 | 0.99639 | 1133.20 | −16,864.91 | 0.99947 | 0.0483 | 2.95 × 10−4 | |
| MgMOF/sol–gel | 50 | 0.97966 | 2099.52 | −47,885.09 | 0.99998 | 0.0465 | 5.80 × 10−5 |
| 100 | 0.98250 | 2059.07 | −45,657.30 | 0.99999 | 0.0451 | 7.19 × 10−5 | |
| 150 | 0.97914 | 2045.58 | −47,093.91 | 0.99998 | 0.0482 | 5.59 × 10−5 | |
| MgMOF/in situ growth | 50 | 0.99690 | 1138.58 | −17,082.39 | 0.99967 | 0.0510 | 2.56 × 10−4 |
| 100 | 0.98204 | 652.19 | −1500.88 | 0.99792 | 0.0383 | 1.03 × 10−3 | |
| 150 | 0.97535 | 406.23 | −7070.69 | 0.99410 | 0.1914 | 1.15 × 10−4 | |
Disclaimer/Publisher’s Note: The statements, opinions and data contained in all publications are solely those of the individual author(s) and contributor(s) and not of MDPI and/or the editor(s). MDPI and/or the editor(s) disclaim responsibility for any injury to people or property resulting from any ideas, methods, instructions or products referred to in the content. |
© 2023 by the authors. Licensee MDPI, Basel, Switzerland. This article is an open access article distributed under the terms and conditions of the Creative Commons Attribution (CC BY) license (https://creativecommons.org/licenses/by/4.0/).
Share and Cite
Yu, Y.; Li, J.; Cheng, P.; Nie, H.; He, L.; Yan, Q.; Zheng, Y.; Wu, Y.; Jia, L. Preparation and Mercury Removal Performance of Mg-MOF-74 Composites. Atmosphere 2023, 14, 1551. https://doi.org/10.3390/atmos14101551
Yu Y, Li J, Cheng P, Nie H, He L, Yan Q, Zheng Y, Wu Y, Jia L. Preparation and Mercury Removal Performance of Mg-MOF-74 Composites. Atmosphere. 2023; 14(10):1551. https://doi.org/10.3390/atmos14101551
Chicago/Turabian StyleYu, Yue, Jizu Li, Peng Cheng, Haotian Nie, Ling He, Qizhen Yan, Yulan Zheng, Yawen Wu, and Li Jia. 2023. "Preparation and Mercury Removal Performance of Mg-MOF-74 Composites" Atmosphere 14, no. 10: 1551. https://doi.org/10.3390/atmos14101551
APA StyleYu, Y., Li, J., Cheng, P., Nie, H., He, L., Yan, Q., Zheng, Y., Wu, Y., & Jia, L. (2023). Preparation and Mercury Removal Performance of Mg-MOF-74 Composites. Atmosphere, 14(10), 1551. https://doi.org/10.3390/atmos14101551

