Intraseasonal Oscillation Features of the Two Types of Persistent High Temperature Events over Jiangnan Region
Abstract
1. Introduction
2. Data and Methodology
2.1. Data
2.2. Method
3. Intraseasonal Oscillation Characteristics of Tmax in Jiangnan Region
4. Spatio-Temporal Evolutions of Two Types of PHTEs
4.1. PHTEs Associated with the Westward Extension of WPSH (Type I Events)
4.2. PHTEs Associated with the Stable Maintenance of the WPSH (Type II Events)
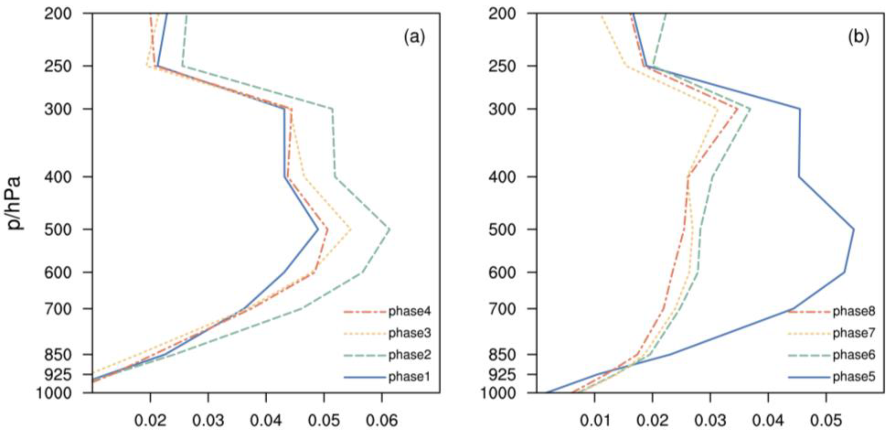
5. Physical Cause of the Two Types of PHTEs
6. Discussion and Conclusions
6.1. Discussion
6.2. Conclusions
Author Contributions
Funding
Institutional Review Board Statement
Informed Consent Statement
Data Availability Statement
Acknowledgments
Conflicts of Interest
References
- Shen, Y.P.; Wang, G.Y. Key findings and assessment results of IPCC WGI Fifth Assessment Report. J. Glaciol. Geocryol. 2013, 35, 1068–1076. (In Chinese) [Google Scholar]
- Zhou, B.T.; Qian, J. Changes of weather and climate extremes in the IPCC AR6. Adv. Clim. Chang. Res. 2021, 17, 713–718. (In Chinese) [Google Scholar]
- Blunden, J.; Arndt, D.S.; Baringer, M.O. State of the climate in 2010. Bull. Am. Meteorol. Soc. 2011, 92, S1–S236. [Google Scholar] [CrossRef]
- Lin, S.; Li, H.Y.; Huang, P.C.; Duan, X.Y. Characteristics of high temperature, drought and circulation situation in summer 2022 in China. J. Arid Meteorol. 2022, 40, 748–763. (In Chinese) [Google Scholar]
- Li, T.; Ling, J.; Hsu, P.C. Madden-Julian Oscillation: Its Discovery, Dynamics, and Impact on East Asia. J. Meteorol. Res. 2020, 34, 20–42. [Google Scholar] [CrossRef]
- Madden, R.A.; Julian, P.R. Detection of a 40–50 day oscillation in the zonal wind in the tropical Pacific. J. Atmos. Sci. 1971, 28, 702–708. [Google Scholar] [CrossRef]
- Jiang, X.A.; Li, T.; Wang, B. Structures and Mechanisms of the Northward Propagating Boreal Summer Intraseasonal Oscillation. J. Clim. 2004, 17, 1022–1039. [Google Scholar] [CrossRef]
- Matthews, A.J. Propagation mechanisms for the Madden-Julian Oscillation. Q. J. R. Meteorol. Soc. 2000, 126, 2637–2651. [Google Scholar] [CrossRef]
- Hsu, H.H.; Weng, C.H. Northwestward Propagation of the Intraseasonal Oscillation in the Western North Pacific during the Boreal Summer: Structure and Mechanism. J. Clim. 2001, 14, 3834–3850. [Google Scholar] [CrossRef]
- Jiang, X.A.; Li, T. Reinitiation of the boreal summer intraseasonal oscillation in the tropical Indian Ocean. J. Clim. 2005, 18, 3777–3795. [Google Scholar] [CrossRef]
- Li, T.; Zhao, C.B.; Hsu, P.C.; Nasuno, T. MJO Initiation Processes over the Tropical Indian Ocean during DYNAMO/CINDY2011. J. Climate 2015, 28, 2121–2135. [Google Scholar] [CrossRef]
- Feng, J.; Li, T. Initiation mechanisms for a successive MJO event and a primary MJO event during boreal winter of 2000–2001. J. Trop. Meteorol. 2016, 22, 479–496. [Google Scholar]
- Lin, H.; Brunet, G.; Mo, R. Impact of the Madden–Julian Oscillation on Wintertime Precipitation in Canada. Mon. Weather Rev. 2010, 138, 3822–3839. [Google Scholar] [CrossRef]
- Cui, J.; Yang, S.Y.; Li, T. The influence of the Madden-Julian oscillation on high-latitude surface air temperature during boreal winter. Dyn. Atmos. Oceans 2020, 90, 101141. [Google Scholar] [CrossRef]
- Zhu, L.J.; Lin, F.L.; Liang, C.J. Modulation of tropical cyclone activity over the Northwestern Pacific through the quasi-biweekly oscillation. J. Trop. Meteorol. 2021, 27, 125–135. [Google Scholar]
- Wang, H.; Liu, F.; Wang, B.; Li, T. Effect of intraseasonal oscillation on South China Sea summer monsoon onset. Clim. Dyn. 2018, 51, 2543–2558. [Google Scholar] [CrossRef]
- Mao, J.Y.; Wu, G.X. Intraseasonal variations of the Yangtze rainfall and its related atmospheric circulation features during the 1991 summer. Clim. Dyn. 2006, 27, 815–830. [Google Scholar] [CrossRef]
- Li, J.Y.; Mao, J.Y. Impact of the Boreal Summer 30–60-day Intraseasonal Oscillation over the Asian Summer Monsoon Region on Persistent Extreme Rainfall over Eastern China. Chin. J. Atmos. Sci. 2019, 43, 796–812. (In Chinese) [Google Scholar]
- Miao, R.; Wen, M.; Zhang, R.H. Persistent precipitation anomalies and quasi-biweekly oscillation during the annually first rainy season over south China in 2010. J. Trop. Meteorol. 2017, 33, 155–166. (In Chinese) [Google Scholar]
- Liu, Y.; Hsu, P.C. Long-term changes in wintertime persistent heavy rainfall over southern China contributed by the Madden–Julian Oscillation. Atmos. Ocean. Sci. Lett. 2019, 12, 1–8. [Google Scholar] [CrossRef]
- Zhang, L.N.; Lin, P.F.; Xiong, Z. Impact of the Madden-Julian oscillation on pre-flood season precipitation in south China. Chin. J. Atmos. Sci. 2011, 35, 560–570. (In Chinese) [Google Scholar]
- Gao, M.N.; Yang, J.; Wang, B.; Zhou, S.Y.; Gong, D.Y.; Kim, S.J. How are heat waves over Yangtze River valley associated with atmospheric quasi-biweekly oscillation? Clim. Dyn. 2018, 51, 4421–4437. [Google Scholar] [CrossRef]
- Chen, R.D.; Wen, Z.P.; Lu, R.Y. Large-scale circulation anomalies and intraseasonal oscillations associated with long-lived extreme heat events in south China. J. Clim. 2018, 31, 213–232. [Google Scholar] [CrossRef]
- Hsu, P.C.; Lee, J.Y.; Ha, K.J.; Tsou, C.H. Influences of boreal summer intraseasonal oscillation on heat waves in monsoon Asia. J. Clim. 2017, 30, 7191–7211. [Google Scholar] [CrossRef]
- Lee, J.Y.; Wang, B.; Wheeler, M.C.; Fu, X.H.; Waliser, D.E.; Kang, I.S. Real-time multivariate indices for the boreal summer intraseasonal oscillation over the Asian summer monsoon region. Clim. Dyn. 2013, 40, 493–509. [Google Scholar] [CrossRef]
- Diao, Y.F.; Li, T.; Hsu, P.C. Influence of the Boreal Summer Intraseasonal Oscillation on extreme temperature events in the northern hemisphere. J. Meteorol. Res. 2018, 32, 534–547. [Google Scholar] [CrossRef]
- Matsueda, S.; Takaya, Y. The global influence of the Madden-Julian Oscillation on extreme temperature events. J. Clim. 2015, 28, 4141–4151. [Google Scholar] [CrossRef]
- Gao, Q.J.; You, Q. Preliminary analysis of intraseasonal oscillation of summer extreme daily temperature in China. Resour. Environ. Yangtze Basin 2019, 28, 1682–1690. (In Chinese) [Google Scholar]
- Li, M.Y.; Luo, D.H.; Yao, Y.; Zhong, L.H. Large-scale atmospheric circulation control of summer extreme hot events over China. Int. J. Clim. 2020, 40, 1456–1476. [Google Scholar] [CrossRef]
- Gao, Q.J.; Li, Y.; Han, T.X. Intra-seasonal Features of an Extreme High Temperature Event in 2011 in Eastern China and Its Atmospheric Circulation. J. Trop. Meteorol. 2021, 27, 437–446. [Google Scholar] [CrossRef]
- Yuan, Z.; Yin, J.; Wei, M.; Yuan, Y. Spatio-Temporal Variations in the Temperature and Precipitation Extremes in Yangtze River Basin, China during 1961–2020. Atmosphere 2021, 12, 1423. [Google Scholar] [CrossRef]
- Kanamitsu, M.; Ebisuzaki, W.; Woollen, J.; Yang, S.K.; Hnilo, J.J.; Fiorino, M.; Potter, G.L. NCEP–DOE AMIP-II Reanalysis (R-2). Bull. Am. Meteorol. Soc. 2002, 83, 1631–1644. [Google Scholar] [CrossRef]
- Liu, Y.M.; Wu, G.X.; Liu, H.; Liu, P. The effect of spatially nonuniform heating on the formation and variation of subtropical high part III: Condensation heating and South Asia High and Western Pacific Subtropical High. Acta Meteorol. Sin. 1999, 57, 525–538. (In Chinese) [Google Scholar]
- Lin, J.; Bi, B.G.; He, J.H. Physical mechanism responsible for Western Pacific Subtropical High variation and hot wave in southern China in July 2003. Chin. J. Atmos. Sci. 2005, 29, 594–599. (In Chinese) [Google Scholar]
- Yanai, M.; Esbensen, S.; Chu, J.H. Determination of Bulk Properties of Tropical Cloud Clusters from Large-Scale Heat and Moisture Budgets. J. Atmos. Sci. 1973, 30, 611–627. [Google Scholar] [CrossRef]











| First Type of PHTEs (Type I Events) | Second Type of PHTEs (Type II Events) | |||||||
|---|---|---|---|---|---|---|---|---|
| Begin Dates | End Dates | Days | Begin Dates | End Dates | Days | Begin dates | End Dates | Days |
| 1981-06-16 | 1981-06-24 | 9 | 2007-07-03 | 2007-07-11 | 9 | 1981-08-13 | 1981-08-24 | 12 |
| 1985-07-07 | 1985-07-19 | 13 | 2008-07-01 | 2008-07-06 | 6 | 1984-07-07 | 1984-07-18 | 12 |
| 1991-08-15 | 1991-08-26 | 12 | 2010-06-30 | 2010-07-05 | 6 | 1987-08-01 | 1987-08-09 | 9 |
| 1991-08-30 | 1991-09-03 | 5 | 2011-07-02 | 2011-07-10 | 9 | 1993-07-08 | 1993-07-19 | 12 |
| 1995-08-28 | 1995-09-09 | 13 | 2011-07-20 | 2011-08-03 | 15 | 1996-07-18 | 1996-08-01 | 15 |
| 2000-06-26 | 2000-07-07 | 12 | 2011-08-12 | 2011-08-22 | 11 | 1981-08-13 | 1981-08-24 | 12 |
| 2002-07-29 | 2002-08-05 | 8 | 2012-08-12 | 2012-08-20 | 9 | 1998-07-07 | 1998-07-20 | 14 |
| 2004-08-07 | 2004-08-12 | 6 | 2013-06-17 | 2013-06-21 | 5 | 2003-08-23 | 2003-08-30 | 8 |
| 2005-07-24 | 2005-08-03 | 11 | 2016-07-20 | 2016-08-02 | 14 | 2005-07-14 | 2005-07-18 | 5 |
| 2006-06-19 | 2006-06-23 | 5 | 2016-08-10 | 2016-08-25 | 16 | 2015-06-23 | 2015-07-01 | 9 |
| 2006-08-07 | 2006-08-18 | 12 | 2017-08-02 | 2017-08-10 | 9 | |||
| 2006-08-26 | 2006-09-04 | 10 | ||||||
Disclaimer/Publisher’s Note: The statements, opinions and data contained in all publications are solely those of the individual author(s) and contributor(s) and not of MDPI and/or the editor(s). MDPI and/or the editor(s) disclaim responsibility for any injury to people or property resulting from any ideas, methods, instructions or products referred to in the content. |
© 2023 by the authors. Licensee MDPI, Basel, Switzerland. This article is an open access article distributed under the terms and conditions of the Creative Commons Attribution (CC BY) license (https://creativecommons.org/licenses/by/4.0/).
Share and Cite
Li, Y.; Gao, Q.; You, Q.; Yue, Y. Intraseasonal Oscillation Features of the Two Types of Persistent High Temperature Events over Jiangnan Region. Atmosphere 2023, 14, 185. https://doi.org/10.3390/atmos14010185
Li Y, Gao Q, You Q, Yue Y. Intraseasonal Oscillation Features of the Two Types of Persistent High Temperature Events over Jiangnan Region. Atmosphere. 2023; 14(1):185. https://doi.org/10.3390/atmos14010185
Chicago/Turabian StyleLi, Yan, Qingjiu Gao, Qi You, and Yuanbo Yue. 2023. "Intraseasonal Oscillation Features of the Two Types of Persistent High Temperature Events over Jiangnan Region" Atmosphere 14, no. 1: 185. https://doi.org/10.3390/atmos14010185
APA StyleLi, Y., Gao, Q., You, Q., & Yue, Y. (2023). Intraseasonal Oscillation Features of the Two Types of Persistent High Temperature Events over Jiangnan Region. Atmosphere, 14(1), 185. https://doi.org/10.3390/atmos14010185

