Abstract
Rainfall intensity–duration thresholds are commonly used to assess flood potential in both urban and rural environments. Derivation of these thresholds is one of the approaches commonly used for the development of flash flood warning systems that are mainly based on rainfall predictions. This research work presents a detailed analysis on these threshold estimations, implemented for the Attica region, Greece, as prior work in parts of the study area is limited and previous estimations regarding rainfall intensity–duration thresholds are based on a short period of available data. The analysis considers a large number of stations and takes into account all flood events occurred during the period between 2005 and 2017 in order to define two maximum intensity limits for various durations that denote three areas; conditions of flood occurrence, mixed conditions, and conditions linked to solely flood occurrence, respectively. Finally, limitations regarding the determination of specific spatiotemporal thresholds as observed through this analysis are also discussed. The application of this methodology as a tool to assess flood occurrence may contribute to minimize possible situations of pre-crisis or immediate crisis by reducing the flood consequences and the resources involved in emergency response to flood events.
1. Introduction
Precipitation, in terms of total amount of rain, its intensity as well as its duration, is the major cause of natural hazards, especially flooding [1,2,3]. Floods are one of the most significant types of natural disasters and, since 1995, have accounted for 47% of all weather-related disasters, affecting 2.3 billion people around the globe [4]. Particularly urban flooding is the most frequent and severe type of natural disasters due to its impact; it is a major cause of disruptions in cities globally and it directly affects infrastructure and a significant number of properties [5]. For these reasons, several flood events have now been studied by many authors (e.g., [6,7,8,9]) and from various perspectives.
As in many parts of the world, precipitation and flood extremes are going to increase considerably in the future [10]. Great emphasis will be placed on flood protection systems, and thereby the need for non-structural methods to reduce natural and social impacts will increase. Among the non-structural methods, early warning systems have gained some ground and have been thoroughly researched in recent years. Methods based on rainfall threshold are one of the most commonly used approaches for flood forecasting that operate in order to meet the need for delivering warning information. Rainfall thresholds approaches can be classified into several categories. The one followed in this work concerns the rainfall intensity–duration (I–D) thresholds, while there are also thresholds based on the total rainfall of the events, rainfall event–duration (E–D) thresholds and rainfall event–intensity (E–I) thresholds. The I–D and E–D thresholds are the most commonly used world-wide.
Barbería et al. [11] discussed rainfall intensity thresholds in conjunction with regional vulnerability indicators, including the population density, which is directly linked to the type of urbanization and land use [12]. The results for the 2008–2011 period showed that there is a statistically strong correlation between short-duration rainfall intensities and the requests related to insurance claims, which was the measure of the material damages. Cannon et al. [13] and Guzzetti et al. [14] developed rainfall intensity–duration (ID) thresholds for the occurrence of debris flows, landslides and floods. Particularly, the fundamental analysis of Cannon et al. [13] investigated the relation between debris flow, flood occurrence and various rainfall characteristics (i.e., duration, total depth, intensity) focusing on the central and southern and southwest areas of Colorado and parts of southern California; the study area had undergone extensive forest fires and finally illustrated the differences among storms occurred in the two regions. The importance of this analysis lies on the fact that they compared intensities of two groups of events (related to flood occurrence and not related) and they defined clear ID thresholds that delineate the different statuses.
Studies for Greece have examined the role of storm totals, peak and average rainfall intensity, and moisture conditions in triggering floods. A more extensive analysis has been performed in the northeastern part of Attica, Central Greece [15], which highlights that the study of rainfall conditions that are connected with flood events contributes to the identification of storms that potentially lead to flooding. The determination of any rainfall threshold values, in conjunction with rainfall forecasting or real-time monitoring, can be the basis of decision support tools in the context of early warning systems development. The results for this area showed that there is a significant correlation between peak storm intensity and flood triggering, and, in this basis, a rainfall threshold could be set (above which flooding is highly probable). After Diakakis [15], in the study of Papagiannaki et al. [16] the flash flood events that occurred over a decade in the Attica prefecture, Greece, were examined, with the aim of identifying rainfall thresholds that trigger flooding, as well as of assessing the effect of rainfall upon the magnitude of the induced damages. The analysis showed that the most reliable results regarding the rainfall intensity thresholds have been produced for the center of Athens, which is also the most urbanized area in Greece. Finally, they concluded that reliability of rainfall thresholds is controlled by the characteristics of the existing rain gauge network, in terms of station network density, stations’ location, and length of available records.
Following up the previous research work, this study introduces a different approach regarding method’s formulation, in order to generalize and update the existing ID thresholds, through providing spatially distributed flood-triggering ID patterns in the terrestrial part of Attica prefecture. The river basin district (RBD) of Attica corresponds to an area of 3186 km2 and includes the mainland part of the Attica region, the islands of Aegina, Salamina and Makronisos, and a small part of Central Greece and Peloponnese. Attica region (Figure 1) is an administrative unit of Greece that encompasses the entire metropolitan area of Athens, which is the largest city and the country’s capital. The majority of the country’s economic activity, as well as over 50% of its population, and the highest risk of flooding have been observed in the mainland of Attica. In general, the increasing urbanization of recent decades and land cover distribution (artificial surfaces correspond to 25%) have had significant effect on the occurrence of floods, as they reduce both the hydrological losses and the catchments’ time of concentration, leading to higher values of peak discharge. Attica is surrounded by four mountains; Aegaleo and Parnitha in the west-north-west part, and Penteli and Hymettus in the east-south-east. The climate of Attica can be characterized as Mediterranean, except for high altitudes where it is mountainous. The mean annual precipitation depth is 411 mm and varies significantly; it is approximately 350 mm in Attica basin, while it reaches 1000 mm in high altitudes, such as in Mount Parnitha. The mean annual temperature varies from 16 °C to 18 °C, depending on the altitude and distance from the sea. The main rivers of the RBD of Attica are the Kifissos River and its torrents (Helidonous, Kokkinaras, Chalandrion, etc.) and Ilissos River, both located in Attica basin. The area often suffers from heavy rainfall with positive trends in extreme daily precipitation [17] and these events test the capacity of the stormwater drainage network, causing either localized or extensive flooding problems [18]. Thus, ID thresholds determination is essentially important to better understand the characteristics of rainfall events triggering floods.
Figure 1.
The study area of Attica region with the locations of rain gauges and emergency calls.
2. Materials and Methods
The generation and update of ID thresholds is a challenge, as there are multiple competing methods for their determination, which have not been objectively and thoroughly compared at multiple scales [19], as well as being rarely validated [20]. The reliability of estimations is driven by the availability of various data, especially regarding rainfall, as well as on how precise is the determination of flood events both in space and time. Here, we address the research questions which have arisen in the frame of methodology formulation and compare our findings for the study area with other available data as a way to examine the impact of these uncertainties.
To perform an analysis as described, there is a need for at least two types of data, namely (a) rainfall time series and (b) a proper dataset denoting the historic floods that is further used in order to characterize each rainfall event as ‘flood-inducing’ or ‘not flood-inducing’.
Particularly, in this research, rainfall time series from 17 automatic rain gauges are considered. The existence of a satisfactory number of stations is decisive for the entire analysis, as it contributes to the proper determination of the rainfall events in the area and then to the calculation of the maximum rainfall intensities for various durations per event. Dealing with the non-uniformity of the area in some parts, station measurements from two networks were obtained when available, in order to work with a denser network especially in Attica basin that includes the center of Athens. The 17 reference stations originated the corresponding subareas for which the ID patterns are defined. The boundaries for each subarea were set using map algebra to combine various spatial criteria; the administrative boundaries of municipalities and the location of station are of higher importance among criteria set, and the subbasins’ limits and the distance between stations and areas of high flood vulnerability (in which we attributed lower weighting). Across subareas’ boundaries, we have formulated a buffer zone of 1 km on each side that used in order to take into account a subset of incidents (i.e., the dataset denoting the historic floods) that occurred in the neighboring zone of each subarea. The stations in the region belong either to the HOA (METEONET) [21] or to the NOANN network [22], which operate under the direction of the Hydrological Observatory of Athens (National Technical University of Athens) and the Institute for Environmental Research and Sustainable Development (National Observatory of Athens), respectively. The preprocessing of rainfall time series is a requirement for working with homogenous datasets in the same temporal interval, and it was mainly conducted in the frame of previous research [23]. Before processing, the majority of time series consisted of recordings with a time step of ten minutes, thus, a time step normalization and gap-filling was performed for the 2005–2017 period. Table 1 includes information regarding data acquisition period for each station, while the stations’ locations are shown in Figure 1.
Table 1.
Main characteristics of the selected rain gauges.
The second dataset, which is required in order to determine the rainfall events are associated with floods, is the one accounting for historical floods in the same period. For this reason, in the frame of the current research a flood list for the Attica region was compiled with data for the study period. This catalog includes (a) the list of historical floods, as provided by the Ministry of the Environment, Physical Planning and Public Works in the framework of the Directive 2007/60/EC implementation [24], and (b) the citizens’ emergency calls (i.e., flood incidents that recorded at the Hellenic Fire Service database), a dataset that was kindly provided by the Department of Analysis, Programming and Statistics of the Hellenic Fire Service for the current research. Flood assessment using the latter kind of measurement was introduced by Barbería et al. [11]. This dataset generally corresponds to alarms experienced by property owners to National Fire Services or to other responsible agencies for operations (mainly water pumping). These alarms are linked to flooding caused by heavy rainfall in an urban environment as the cause of call is recorded in the database and, thus, they can be utilized as quantitative evidence for flood events. As information includes the accurate time and address of each call, one can obtain the spatiotemporal distribution of incidents, after performing a geocoding process in the entire number of emergency calls, thus, the impact of each event is defined separately. The information of the time each incident occurs is significant to deal with uncertainties in event timing determination and subsequently to calculate the corresponding rainfall parameter. Here, the maximum rainfall intensity. The entire dataset including the positions of all incidents recorded in the study period for Attica is presented in Figure 1 in black dots. The map also includes a classification of the regions’ municipalities according to the population, used in order to highlight the link between urbanization and flood impact.
The dataset of emergency calls used in the analysis initially with the purpose of categorizing each rainfall event as flood inducing or not; namely, it was necessary to set a threshold in the daily number of emergency calls above which flooding is considered to take place, as, for instance, only one call per day is expected to not denote flood conditions. An investigation regarding critical threshold of the daily number of emergency calls is suggesting when performing similar analysis using this type of data, as it was observed that as the occurrence of flood incidents is a function of both local characteristics and buildings’ conditions, the critical cumulative number per subarea is expected to vary significantly and is affected by the subareas set in the frame of the analysis. Based on a previous study performing a statistical analysis in the same dataset [23], the criterion of the upper fifth percentile on the daily number of emergency calls was initially performed per subarea, to consider only extremes, namely values beyond two standard deviations away from the mean. It should be noted that this value is expected to vary and it is affected by the boundaries of the spatial unit used for the analysis. Indicatively, when performing the analysis for the entire Attica basin, this threshold is close to 30 calls per day, while in case the spatial extent is particularly limited, the threshold is significantly lower (as expected, since it results from the addition of all incidents occurred per day within a much smaller spatial unit). In the current analysis concerning the 17 subareas, the average value of the threshold is set at 6 calls per day (after calculating per subarea the number corresponding to 5% of the empirical cumulative distribution function of the total number of emergency calls). The relative standard deviation of the threshold is among the uncertainties that we have to deal with, as the determination of this initial threshold is decisive for the entire analysis; it contributes to define outliers. In this frame, when less than six incidents are recorded per day and subarea, then the algorithm does not characterize the event as one triggered flood. It should be noted that the (geocoded) dataset of emergency calls is finally divided into several spatial groups that were correlated with the station records, as described below.
This approach regarding ID thresholds determination requires the calculation of the maximum rainfall intensity for various durations per event. For this reason, a temporal threshold for the separation of two sequential events was also defined. In other words, this threshold is the minimum duration without rainfall that is considered to separate any consecutive events. According to Llasat [25], the definition of an episode is quite subjective and one can find extremely different values in the global literature; indicatively, in [16] a rainfall event is set to start if more than 24 h without rain has proceeded, while, Tokay et al. [26] suggested a time equal to 30 min as the minimum duration between two episodes, based on a methodology considering the difference in the incident time of two raindrops recorded by a disdrometer. Among several thresholds introduced in relevant studies, a time spam equal to one hour (1 h) is adopted in the present analysis after taking into consideration the urban character of the region that accounts for low times of concentration.
The 17 rain gauges used in the context of this application, were selected to meet the criterion of spatial representativeness. The density of the network, the appropriate spatial distribution of the stations and the longest possible operating period were the main criteria set for station selection. In addition, in order to take into account the specific local characteristics and the vulnerability of each area [11], the administrative boundaries of the municipalities of Attica were correlated with the available rain gauges. The link between the stations and the municipalities’ boundaries follows geographical criteria and is guided by the hydrological scheme, i.e., the surrounding mountains and the hydrographic network. A detailed description regarding this spatial classification is provided by Feloni [23], then applied in [27]. Using the available stations and the criteria set, 17 geographical units were defined; for each of them rainfall records and flood evidence contribute to create the rainfall intensity-duration diagrams of Figure 2. For all rainfall events recorded per station, the maximum rainfall intensities were calculated based on the aggregation method and more specifically on the maximum moving sum for the following durations: 10 min (1/6 h), 20 min (1/3 h), 30 min (1/2 h), 1 h, 2 h, 3 h, 6 h and 12 h. It is obvious that it does not serve any purpose to calculate the maximum intensities for higher durations when the episode’s duration is short, except for those durations that are less than or equal to the episode’s duration. This fact accounts for the different number of points per duration in the diagrams.
Figure 2.
Maximum rainfall intensity–duration (ID) diagram for “Zografou” station (ID thresholds and limits of areas #1, #2, and #3).
In this stage, another criterion was introduced for the preparation of the final diagrams, which, as expected, led to the reduction of the number of episodes that are examined for durations that are longer than 6 to 12 h. Therefore, the final tables that were created include the date each event starts and the corresponding maximum intensities for the aforementioned durations. Consequently, for each station and with the use of the citizens’ calls threshold, all events are classified as ‘related’ and ‘not related’ to flood occurrence (F–NF, respectively), after comparing each date with the dataset regarding flood incidents within the geographical unit each station covers. Indicatively, Figure 2 presents the maximum rainfall intensity-duration diagram for the Zografou station located relatively close to the city center, in NTUA Campus. The red dots are the F-events that led to flooding, while in blue dots the NF-events. Based on this classification, the diagram can be divided into three areas: Area #1, the red dots overall exceed the blue ones; Area #3, which consists of only blue dots, i.e., the minima; and, the intermediate Area #2 in which blue and red dots coexist. As shown in Figure 2, two curves are defined to delimit these three areas; the green line separated NF-event with mixed conditions, while the red line the mixed area #2 with F-events. These lines that separate these three areas, hereafter called the upper and lower limits in the ID diagrams, and can be described through power-law equations of the form:
where, RI, is the intensity in mm/h, and D, the duration in hours.
The final step of the methodology concerns the determination of the pair of parameters both for the upper and lower limit and for each geographical unit (station). The coefficients were calculated for 95% confidence interval and for each pair of the parameters that was defined using optimization techniques, the coefficient of determination, R2 is also given (Table 2). Figure 2 shows the boundaries of the three areas, after performing the optimization for Zografou station. Figure 3 summarizes the abovementioned methodology.
Table 2.
Maximum rainfall intensity-duration equations.
Figure 3.
Summary of the methodological framework.
3. Results and Discussion
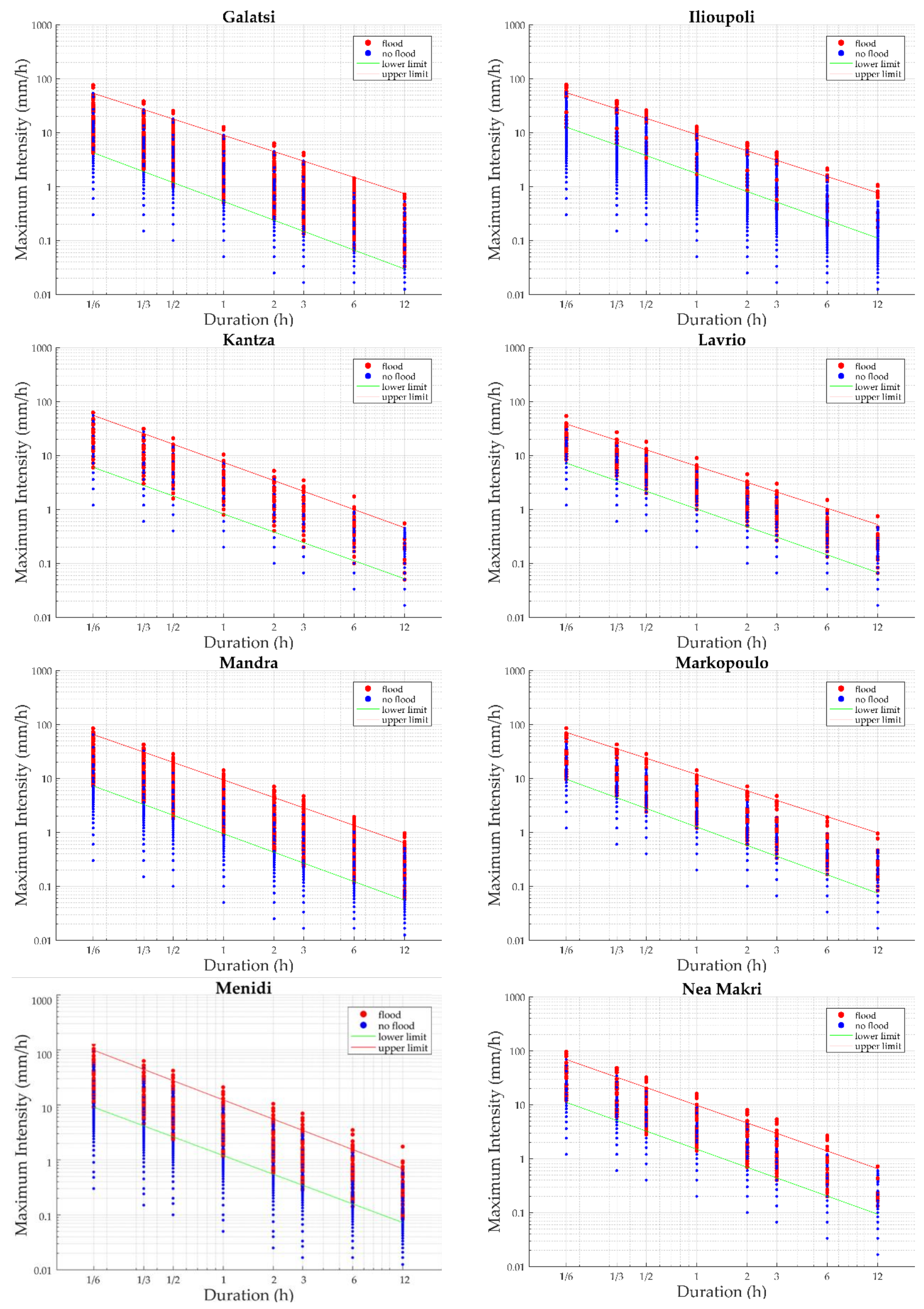
This section includes the results regarding ID thresholds per geographical unit given by the upper and lower limits, as resulted after applying the above-described methodology for each station. Diagrams in Figure 4 show the two groups of events; red dots denote the sets of maximum intensity and duration for an event triggered flooding, while the smaller blue dots correspond to events that are not linked to flood. The limits that separate the three areas (Area #1: no flood, Area #2: mixed conditions, Area #3: flood) are shown in the same figure as green and red lines, switching from no flood-related to mixed conditions, and from mixed to flood-related conditions, respectively.


Figure 4.
Maximum rainfall intensity–duration thresholds and areas #1, #2, and #3 for all stations.
The establishment of rainfall intensity–duration thresholds denotes the link between peak storm intensities and flood occurrence. In this work, a methodology is developed and then applied in the Attica region (Greece) in order to determine ID thresholds that denote rainfall conditions inducing floods and to discuss their spatial distribution. The fact that in general the three ID areas can be defined in all geographical units is important, since it seems that despite criticism, it is achievable to determine rainfall-related thresholds for flood identification. Table 2 summarizes the ID equations for each station, as well as the coefficient of determination, R2. It is observed that in the equations regarding lower limits (i.e., the limit that separates areas #1 and #2), the coefficient is in the range of 0.363–2.081 and the exponent in the range of 1.108–1.156 for all stations examined. The corresponding values for the upper limits (i.e., the limit between areas #2 and #3), and particularly for the coefficient spreads within a much larger range (6.355–15.800) compared to its values for the lower limits. The values of the exponent for the same limit fall relatively within the same range as for the lower limits (1.000–1.161).
Areas defined by neighboring rain gauges (Figure 1) appear similar upper and lower limits in ID thresholds, probably due to the proximity of the stations and their high crosscorrelation. Such areas are these that represented by the following pairs of stations: Zografou-Ilioupoli, Menidi-Ano Liosia, Pikermi-Nea Makri and Mandra-Psyttalia. The Zografou and Ilioupoli stations have higher values in both lower and upper limits, despite the fact that they are located in a highly urbanized area. This attribute may be linked to the local characteristics of the geographical unit, which are the existence of the Zografou and Ilisos streams and the steep morphological slopes [28]. Ano Liosia and Menidi stations also show relatively high upper limits. However, the width of the mixed area appears wider at these stations. This limitation is more frequent in areas where flood impact is mainly linked to the conditions of buildings and the ineffectiveness of existing artificial flood protection structures, mainly regarding the network on rainwater harvesting (as in this area there are many lash-up properties and limited infrastructure). As it is difficult to obtain the information regarding each building’ characteristics, indicative analysis can be performed based on imaging captured via Google Street View tool. A similar picture at the upper and lower limits is observed at the Pikermi-Nea Makri stations, with the former showing more episodes in the mixed area. Mandra and Psyttalia stations cover neighboring subareas since there was no intervening gauge available, so they present similar upper and lower limits. The subareas of Penteli, Glyfada and Agios Kosmas are not well-represented since their graphs present a wide and inconsistent spread of peak intensities. In contrast, patterns for Athens, Nea Smyrni, Ilioupoli, Anavyssos, and Nea Makri are consistent regarding the distribution of the flash flood event determination and this fact is promising regarding ID thresholds’ potential usage. Even ID thresholds are criticized for ignoring other information contained in the rainfall time series, such as mean intensities and antecedent rainfall. The maximum rainfall intensity gives a clear upper limit with respect to separation between mixed conditions and flood-related events. Major uncertainties in ID thresholds arise, however, from various issues related to the quality of the rainfall record used (where, for instance, in case floods are linked to the frequent short convective rainfall events, precipitation intensities can decay significantly within short distances) [29]. Thus, a station’s insufficient density is a state that may lead to false alarm rate of ID thresholds resulting from underestimations in the upper limit.
Regarding the results provided for this study area, the findings are in agreement with the previous study [16], as a general observation is that the most vulnerable area examined was the one located within the radius of influence of the rain gauge named Athens, which corresponds mainly to the subarea of the municipality of Athens. This result was expected as Athens is the most densely populated area of Attica with around 17,000 inhabitants per km2. High population density is associated with intense urbanization that increases the impervious surface and, consequently, the total runoff volumes. Furthermore, the geographical location of Athens also contributes to the increased vulnerability to the intense rainfall hazard; Athens is located in the center of the Attica basin, where runoff from the higher sloped areas end. However, among the stations examined, the ID thresholds for Athens station present the highest lower limit of rainfall intensity (indicatively 19 mm/h for the duration of 10 min) above which floods are likely to occur. This fact may be related to the properties’ conditions and to the higher level of public infrastructure (e.g., flood-proofing technical works).
In the frame of the initial processing on the events identification, it is also possible to draw conclusions about the duration of the rainfall events that led to flood. For all of the areas, flood-related rainfall events are of short duration; the majority of them lasted up to 2 h, linked to intense rain, while flood events were noticeably less for the higher durations (i.e., 3, 6, and 12 h). It should be noted that, even if these ID thresholds were well defined for the Attica basin and the surrounding suburbs, a weakness of the present analysis is attributed to the insufficiency in the density of the available rainfall stations in southeastern Attica, where only the stations Markopoulo, Anavyssos and Lavrio were available for a large area and for this reason estimations are of high uncertainty. A similar limitation is observed in the western part of the region, where only the Mandra station was available.
4. Conclusions
In this research work, the association of maximum rainfall intensity-duration relations with flood-occurrence in Attica, Greece, was investigated with the purpose of determining proper ID thresholds for flood potential identification. In particular, the maximum intensities were defined per event after calculating the maximum moving sum for various durations. A threshold regarding daily number of emergency calls per subarea was introduced, to categorize each rainfall event as one triggered or not flooding. Estimations are given in graphs including all rainfall events which occurred in the 2005–2017 period and for 17 available stations. The main conclusions are the following:
- In all rainfall intensity-duration diagrams, there is a strong correlation between the maximum rainfall intensity and floods. It is clear that a limit of maximum intensity above which only flood-induced episodes are observed can be introduced for all durations and for all areas and this attribute may be promising for a variety of hydrological applications in the basis of early warning systems’ development.
- After classifying each rainfall event as related or not related to flooding and after determining two characteristic limits (the ID thresholds), three areas are distinguished: (i) the upper area that corresponds to the maximum intensities denoting the ID characteristics of rainfall events triggering floods (Area #3 in graphs); (ii) the intermediate mixed area, where both events associated and not associated to flood occurrence are met in about the same frequency (Area #2 in graphs); and (iii) the area of lowest intensities, which includes only the events that did not lead to flooding (Area #1 in graphs).
- The boundaries among these areas are determined using power-law equations as first introduced by Cannon et al. [13], and a good fit was achieved in most of the cases.
- The determination of the parameters indicates that neighboring subareas present in general similar threshold values due to similar meteorological conditions and hydrological response.
- The most robust results in relation to the ID thresholds have been produced for the geographical units represented by the stations Athens, Zografou, Nea Makri and Nea Smyrni. In these cases, quite clear thresholds can be defined particularly for the high probability of flooding. These graphs are also consistent regarding the distribution of the flood event concentration.
- The subarea that, according to the values set, is the most vulnerable regarding flooding was found to be Athens, which is also the most urbanized area of Attica and historically experiences the highest risk.
Regarding future research, a different division of the subareas could be investigated. Then, a comparison of the results with those of the present study would be proposed. When formulating the method, various thresholds were set (e.g., number of emergency calls/d that denotes flood occurrence, time for rainfall events separation, etc.) that should be further investigated in the frame of future research. It would be of value to examine the ID thresholds’ variability at a seasonal level, as flood events are linked to different rainfall patterns and also the soil moisture conditions may differ. Furthermore, this methodology can be extended to areas with different land use types and distribution, such as rural areas, after determining dynamic ID thresholds, as a function of soil moisture conditions. Finally, emergency calls can be used in order to define several characteristics of the buildings and the surrounding environment and to perform a more extended future work regarding urban ID thresholds that may incorporate this suggestion.
Author Contributions
Conceptualization, C.G. and E.F.; methodology, C.G.; formal analysis, E.F., P.N. and E.B.; investigation, C.G.; writing—original draft preparation, E.F.; writing—review and editing, C.G. and P.N.; supervision, E.B.; visualization, C.G. and E.F. All authors have read and agreed to the published version of the manuscript.
Funding
This research received no external funding.
Institutional Review Board Statement
Not applicable.
Informed Consent Statement
Not applicable.
Data Availability Statement
The data presented in this study are available on request from the corresponding author. The data are not publicly available due to copyright restrictions. The open data used in this study is the shapefile regarding municipalities’ boundaries that is provided in the website of the national open data catalogue named Geoadata.gov.gr http://geodata.gov.gr/dataset (accessed on 20 March 2022).
Acknowledgments
The authors would like to acknowledge the Institute of Environmental Research and Sustainable Development of the National Observatory of Athens for the supply of precipitation measurements from seven stations operating under the NOANN in the study area. The corresponding author would like to thank and acknowledge the Hellenic Fire Service for providing the entire dataset of emergency calls for operations on flooded properties/flood incidents during 2005–2017.
Conflicts of Interest
The authors declare no conflict of interest.
References
- Gaál, L.; Molnar, P.; Szolgay, J. Selection of intense rainfall events based on intensity thresholds and lightning data in Switzerland. Hydrol. Earth Syst. Sci. 2014, 18, 1561–1573. [Google Scholar] [CrossRef]
- Borga, M.; Anagnostou, E.N.; Blöschl, G.; Creutin, J.-D. Flash flood forecasting, warning and risk management: The HYDRATE project. Environ. Sci. Policy 2011, 14, 834–844. [Google Scholar] [CrossRef]
- Wilhelmi, O.V.; Morss, R.E. Integrated analysis of societal vulnerability in an extreme precipitation event: A fort collins case study. Environ. Sci. Policy 2013, 26, 26–49. [Google Scholar] [CrossRef]
- UN Office for Disaster Risk Reduction (UNISDR). The Human Cost of Weather Related Disasters—1995–2015. Technical Report. 2015. Available online: https://www.unisdr.org/files/46796_cop21weatherdisastersreport2015.pdf (accessed on 8 March 2022).
- Jha, A.K.; Bloch, R.; Lamond, J. Cities and Flooding: A Guide to Integrated Urban Flood Risk Management for the 21st Century; World Bank Publications: Washington, DC, USA, 2012; ISBN 978-0-8213-8866-2. [Google Scholar]
- Gaume, E.; Gaál, L.; Viglione, A.; Szolgay, J.; Kohnová, S.; Blöschl, G. Bayesian MCMC approach to regional flood frequency analyses involving extraordinary flood events at ungauged sites. J. Hydrol. 2010, 394, 101–117. [Google Scholar] [CrossRef]
- Prudhomme, C.; Jakob, D.; Svensson, C. Uncertainty and climate change impact on the flood regime of small UK catchments. J. Hydrol. 2003, 277, 1–23. [Google Scholar] [CrossRef]
- Kusumastuti, D.I.; Sivapalan, M.; Struthers, I.; Reynolds, D.A. Thresholds in the storm response of a lake Chain system and the occurrence and magnitude of lake overflows: Implications for flood frequency. Adv. Water Resour. 2008, 31, 1651–1661. [Google Scholar] [CrossRef]
- Diakakis, M.; Deligiannakis, G.; Pallikarakis, A.; Skordoulis, M. Actors controlling the spatial distribution of flash flooding in the complex environment of a metropolitan urban area. The case of Athens 2013 flash flood event. Int. J. Disaster Risk Reduct. 2016, 18, 171–180. [Google Scholar] [CrossRef]
- Tabari, H. Climate change impact on flood and extreme precipitation increases with water availability. Sci. Rep. 2020, 10, 13768. [Google Scholar] [CrossRef]
- Barbería, L.; Amaro, J.; Aran, M.; Llasat, M.C. The role of different factors related to social impact of heavy rain events: Considerations about the intensity thresholds in densely populated areas. Nat. Hazards Earth Syst. Sci. 2014, 14, 1843–1852. [Google Scholar] [CrossRef][Green Version]
- Llasat, M.C.; Llasat-Botija, M.; López, L. A press database on natural risks and its application in the study of floods in Northeastern Spain. Nat. Hazards Earth Syst. Sci. 2009, 9, 2049–2061. [Google Scholar] [CrossRef]
- Cannon, S.H.; Gartner, J.E.; Wilson, R.C.; Bowers, J.C.; Laber, J.L. Storm rainfall conditions for floods and debris flows from recently burned areas in southwestern Colorado and southern California. Geomorphology 2008, 96, 250–269. [Google Scholar] [CrossRef]
- Guzzetti, F.; Peruccacci, S.; Rossi, M.; Stark, C.P. The rainfall intensity—Duration control of shallow landslides and debris flows: An update. Landslides 2008, 5, 3–17. [Google Scholar] [CrossRef]
- Diakakis, M. Rainfall thresholds for flood triggering. The case of Marathonas in Greece. Nat. Hazards 2012, 60, 789–800. [Google Scholar] [CrossRef]
- Papagiannaki, K.; Lagouvardos, K.; Kotroni, V.; Bezes, A. Flash flood occurrence and relation to the rainfall hazard in a highly urbanized area. Nat. Hazards Earth Syst. Sci. 2015, 15, 1859–1871. [Google Scholar] [CrossRef]
- Nastos, P.T.; Zerefos, C.S. On extreme daily precipitation totals at Athens, Greece. Adv. Geosci. 2007, 10, 59–66. [Google Scholar] [CrossRef][Green Version]
- Feloni, E.; Nastos, P.T.; Matsangouras, I.T. Seasonal synoptic characteristics of heavy rain events in the Attica region. In Perspectives on Atmospheric Sciences; Springer: Cham, Switzerland, 2017; pp. 391–396. [Google Scholar]
- Hirschberg, J.; Badoux, A.; McArdell, B.W.; Leonarduzzi, E.; Molnar, P. Evaluating methods for debris-flow prediction based on rainfall in an Alpine catchment. Nat. Hazards Earth Syst. Sci. 2021, 21, 2773–2789. [Google Scholar] [CrossRef]
- Segoni, S.; Piciullo, L.; Gariano, S.L. A review of the recent literature on rainfall thresholds for landslide occurrence. Landslides 2018, 15, 1483–1501. [Google Scholar] [CrossRef]
- Grammatikogiannis, A.; Mamassis, N.; Baltas, E.; Mimikou, M. A meteorological telemetric network for monitoring of the Athens Wider Area (METEONET). A real time approach from point to areal measurements. In Proceedings of the Ninth International Conference on Environmental Science and Technology (9CEST), Rhodes Island, Greece, 1–3 September 2005; pp. 1–3. [Google Scholar]
- Lagouvardos, K.; Kotroni, V.; Bezes, A.; Koletsis, I.; Kopania, T.; Lykoudis, S.; Mazarakis, N.; Papagiannaki, K.; Vougioukas, S. The automatic weather stations NOANN network of the National Observatory of Athens: Operation and database. Geosci. Data J. 2017, 4, 4–16. [Google Scholar] [CrossRef]
- Feloni, E. Assessment of flood induced by heavy rainfall using advanced methodologies, as a premise for an integrated flood early warning system: The case of Attica region. Ph.D. Thesis, National Technical University of Athens (NTUA), Athens, Greece, 2019. [Google Scholar]
- Directive 2007/60/EC of the European Parliament and of the Council of on the assessment and management of flood risk. Official Journal of the European Union 2007, L288, 27–34.
- Llasat, M.-C. An objective classification of rainfall events on the basis of their convective features: Application to rainfall intensity in the Northeast of Spain. Int. J. Climatol. 2001, 21, 1385–1400. [Google Scholar] [CrossRef]
- Tokay, A.; Kruger, A.; Krajewski, W.F. Comparison of drop size distribution measurements by impact and optical disdrometers. J. Appl. Meteorol. Climatol. 2001, 40, 2083–2097. [Google Scholar] [CrossRef]
- Feloni, E.; Baltas, E. The Intensity—Duration (I-D) curves towards to a spatially distributed flood early warning tool (F-EWT). In Proceedings of the 16th International Conference on Environmental Science and Technology (CEST2019), Rhodes Island, Greece, 4–7 September 2019. [Google Scholar]
- Bathrellos, G.D.; Karymbalis, E.; Skilodimou, H.D.; Gaki-Papanastassiou, K.; Baltas, E.A. Urban flood hazard assessment in the basin of Athens Metropolitan city, Greece. Environ. Earth Sci. 2016, 75, 319. [Google Scholar] [CrossRef]
- Marra, F.; Nikolopoulos, E.I.; Creutin, J.D.; Borga, M. Space-time organization of debris flows-triggering rainfall and its effect on the identification of the rainfall threshold relationship. J. Hydrol. 2016, 541, 246–255. [Google Scholar] [CrossRef]
Publisher’s Note: MDPI stays neutral with regard to jurisdictional claims in published maps and institutional affiliations. |
© 2022 by the authors. Licensee MDPI, Basel, Switzerland. This article is an open access article distributed under the terms and conditions of the Creative Commons Attribution (CC BY) license (https://creativecommons.org/licenses/by/4.0/).





