Impact of Human Activities on Hydrological Drought Evolution in the Xilin River Basin
Abstract
1. Introduction
2. Materials and Methods
2.1. Study Area
2.2. Data
2.3. Methods
2.3.1. Reconstruction of Natural Runoff Based on SWAT Model
2.3.2. Attribution Analysis of Runoff Change
2.3.3. Identification of the Hydrological Drought Process Based on the Run Theory
3. Results
3.1. Analysis of the Characteristics of Hydrometeorological Elements in the Basin
3.2. Attribution Analysis of Runoff Attenuation
3.3. Analysis of Hydrological Drought Evolution over Different Time Scales
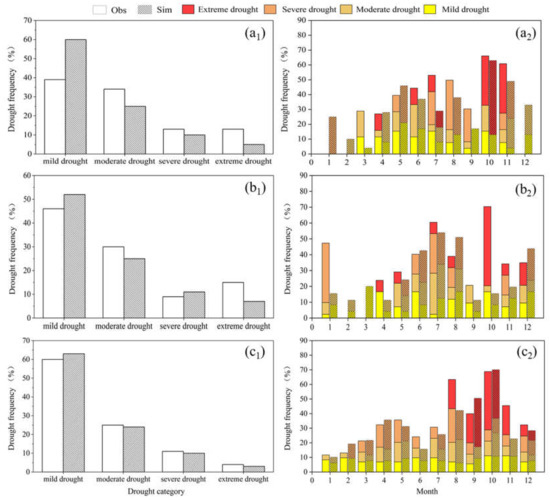
3.4. Analysis of Drought Frequency at Different Time Scales
3.5. Analysis of Drought Events Characteristics
4. Discussion
5. Conclusions
Author Contributions
Funding
Institutional Review Board Statement
Informed Consent Statement
Data Availability Statement
Conflicts of Interest
References
- Zhang, Q.; Liu, J.; Vijay, P.; Gu, X.; Chen, X. Evaluation of impacts of climate change and human activities on stream-flow in the Poyang Lake basin, China. Hydol Process. 2016, 30, 2562–2576. [Google Scholar] [CrossRef]
- Veldkamp, T.; Wada, Y.; Aerts, J.; Döll, P.; Gosling, S.; Liu, J.; Masaki, Y.; Oki, T.; Ostberg, S.; Pokhrel, Y.; et al. Water scarcity hotspots travel downstream due to human interventions in the 20th and 21st century. Nat. Commun. 2017, 8, 1–12. [Google Scholar] [CrossRef] [PubMed]
- Naumann, G.; Alfieri, L.; Wyser, K.; Mentaschi, L.; Betts, R.; Carrao, H.; Spinoni, J.; Vogt, J.; Feyen, L. Global changes in drought conditions under different levels of warming. Geophys. Res. Lett. 2018, 45, 3285–3296. [Google Scholar] [CrossRef]
- Faiz, M.A.; Zhang, Y.; Tian, X.; Tian, J.; Zhang, X.; Ma, N.; Aryal, S. Drought index revisited to assess its response to vegetation in different agro-climatic zones. J. Hydrol. 2022, 614, 128543. [Google Scholar] [CrossRef]
- Rivera, J.; Araneo, D.; Penalba, O.; Villalba, R. Regional aspects of streamflow droughts in the Andean rivers of Patagonia, Argentina. Links with large-scale climatic oscillations. Hydrol. Res. 2018, 49, 134–149. [Google Scholar] [CrossRef]
- He, S.; Zhang, E.; Huo, J.; Yang, M. Characteristics of Propagation of Meteorological to Hydrological Drought for Lake Baiyangdian in a Changing Environment. Atmosphere 2022, 13, 1531. [Google Scholar] [CrossRef]
- Faiz, M.A.; Liu, D.; Fu, Q.; Naz, F.; Hristova, N.; Li, T.; Niaz, M.A.; Khan, Y.N. Assessment of dryness conditions according to transitional ecosystem patterns in an extremely cold region of China. J. Clean. Prod. 2020, 255, 120348. [Google Scholar] [CrossRef]
- Wander, N.; Wada, Y. Human and climate impacts on the 21st century hydrological drought. J. Hydrol. 2015, 526, 208–220. [Google Scholar] [CrossRef]
- Guo, Y.; Huang, S.; Huang, Q.; Leng, G.; Fang, W.; Wang, L.; Wang, H. Propagation thresholds of meteorological drought for triggering hydrological drought at various levels. Sci. Total Environ. 2020, 712, 136502. [Google Scholar] [CrossRef]
- Gu, L.; Chen, J.; Yin, J.; Xu, C.; Chen, H. Drought hazard transferability from meteorological to hydrological propagation. J. Hydrol. 2020, 585, 124761. [Google Scholar] [CrossRef]
- He, X.; Wada, Y.; Wanders, N.; Sheffield, J. Intensification of hydrological drought in California by human water management. Geophys. Res. Lett. 2017, 44, 1777–1785. [Google Scholar] [CrossRef]
- Yang, Y.; Mcvicar, T.; Donohue, R.; Zhang, Y.; Roderick, M.; Chiew, F.; Zhang, L.; Zhang, J. Lags in hydrologic recovery following an extreme drought: Assessing the roles of climate and catchment characteristics. Water Resour. Res. 2017, 53, 4821–4837. [Google Scholar] [CrossRef]
- Van Loon, A.; Gleeson, T.; Clark, J.; Van Dijk, A.; Stahl, K.; Hannaford, J.; Van Lanen, H. Drought in the Anthropocene. Nat. Geosci. 2016, 9, 89–91. [Google Scholar] [CrossRef]
- Ahmadi, B.; Ahmadalipour, A.; Moradkhani, H. Hydrological drought persistence and recovery over the CONUS: A multi-stage framework considering water quantity and quality. Water Res. 2019, 150, 97–110. [Google Scholar] [CrossRef]
- Wu, J.; Chen, X.; Yu, Z.; Yao, H.; Li, W.; Zhang, D. Assessing the impact of human regulations on hydrological drought development and recovery based on a ‘simulated-observed’ comparison of the SWAT model. J. Hydrol. 2019, 577, 123990. [Google Scholar] [CrossRef]
- Lin, Q.; Wu, Z.; Vijay, P.; Sadeghi, S.; He, H.; Lu, G. Correlation between hydrological drought, climatic factors, reservoir operation, and vegetation cover in the Xijiang Basin, South China. J. Hydrol. 2017, 549, 512–524. [Google Scholar] [CrossRef]
- Huang, S.; Li, P.; Huang, Q.; Leng, G.; Hou, B.; Ma, L. The propagation from meteorological to hydrological drought and its potential influence factors. J. Hydrol. 2017, 547, 184–195. [Google Scholar] [CrossRef]
- Yuan, F.; Wang, B.; Shi, C.; Cui, W.; Zhao, C.; Liu, Y.; Ren, L.; Zhang, L.; Zhu, Y.; Chen, T.; et al. Evaluation of hydrological utility of IMERG Final run V05 and TMPA 3B42V7 satellite precipitation products in the Yellow River source region, China. J. Hydrol. 2018, 567, 696–711. [Google Scholar] [CrossRef]
- Zhang, D.; Zhang, Q.; Qiu, J.; Bai, P.; Liang, K.; Li, X. Intensification of hydrological drought due to human activity in the middle reaches of the Yangtze River, China. Sci. Total Environ. 2018, 637, 1432–1442. [Google Scholar] [CrossRef]
- Zou, L.; Xia, J.; She, D. Analysis of impacts of climate change and human activities on hydrological drought: A case study in the Wei River Basin, China. Water Resour. Manag. 2018, 32, 1421–1438. [Google Scholar] [CrossRef]
- Tijdeman, E.; Hannaford, J.; Stahl, K. Human influences on streamflow drought characteristics in England and Wales. Hydrol. Earth Syst. Sci. 2018, 22, 1051–1064. [Google Scholar] [CrossRef]
- Van Loon, A.; Rangecroft, S.; Coxon, G.; Naranjo, J.; Ogtrop, F.; Van Lanen, H. Using paired catchments to quantify the human influence on hydrological droughts. Hydrol. Earth Syst. Sci. 2019, 23, 1725–1739. [Google Scholar] [CrossRef]
- Firoz, A.; Nauditt, A.; Fink, M.; Ribbe, L. Quantifying human impacts on hydrological drought using a combined modelling approach in a tropical river basin in central Vietnam. Hydrol. Earth Syst. Sci. 2017, 22, 547–565. [Google Scholar] [CrossRef]
- Wang, Y.; Li, J.; Zhang, T.; Wang, B. Changes in drought propagation under the regulation of reservoirs and water diversion. Theor. Appl. Climatol. 2019, 138, 701–711. [Google Scholar] [CrossRef]
- Jiang, S.; Wang, M.; Ren, L.; Xu, C.; Yuan, F.; Liu, Y.; Shen, H. A framework for quantifying the impacts of climate change and human activities on hydrological drought in a semiarid basin of Northern China. Hydrol. Process. 2019, 33, 1075–1088. [Google Scholar] [CrossRef]
- Rangecroft, S.; Van Loon, A.; Maureira, H.; Verbist, K.; Hannah, D. Multi-method assessment of reservoir effects on hydrological droughts in an arid region. Earth Syst. Dynam. 2016, 11–32. [Google Scholar] [CrossRef]
- Ren, L.; Shen, H.; Yuan, F.; Zhao, C.; Yang, X.; Zheng, P. Hydrological drought characteristics in the Weihe catchment in a changing environment. Adv. Water Sci. 2016, 27, 492–500. (In Chinese) [Google Scholar] [CrossRef]
- Su, Z.; Ma, M.; Xing, Z.; Lv, J.; Zhang, X.; Yu, Z.; Yi, P. Characterizing the hydrological drought evolutions under human interventions: A case study in the Daling River Basin in Liaoning Province. J. China Inst. Water Resour. Hydropower Res. 2021, 19, 1–9. (In Chinese) [Google Scholar] [CrossRef]
- Wang, X.; Yang, X.; Liu, T.; Li, F.; Gao, R.; Duan, L.; Luo, Y. Trend and extreme occurrence of precipitation in a mid-latitude Eurasian steppe watershed at various time scales. Hydrol. Process. 2014, 28, 5547–5560. [Google Scholar] [CrossRef]
- Guo, Q.; Hu, Z.; Li, S.; Yu, G.; Sun, X.; Zhang, L.; Mu, S.; Zhu, X.; Wang, Y.; Li, Y.; et al. Contrasting responses of gross primary productivity to precipitation events in a water-limited and a temperature-limited grassland ecosystem. Agric. For. Meteorol. 2015, 214–215, 169–177. [Google Scholar] [CrossRef]
- Gao, R.; Li, F.; Wang, X.; Liu, T.; Du, D.; Bai, Y. Spatiotemporal variations in precipitation across the Chinese Mongolian plateau over the past half century. Atmos. Res. 2017, 193, 204–215. [Google Scholar] [CrossRef]
- Zhou, Y.; Li, N.; Wu, J. Analysis of drought and its possible causes in Inner Mongolia region for nearly 30 years. J. Catastrophol. 2013, 28, 67–73. (In Chinese) [Google Scholar]
- Li, W.; Duan, L.; Luo, Y.; Liu, T.; Scharaw, B. Spatiotemporal Characteristics of Extreme Precipitation Regimes in the Eastern Inland River Basin of Inner Mongolian Plateau, China. Water 2018, 10, 35. [Google Scholar] [CrossRef]
- Xue, H.; Yu, R.; Zhang, Z.; Qi, Z.; Lu, X.; Liu, T.; Gao, R. Greenhouse gas emissions from the water–air interface of a grassland river: A case study of the Xilin River. Sci. Rep. 2021, 11, 2659. [Google Scholar] [CrossRef]
- Yang, P.; Xia, J.; Zhang, Y.; Zhan, C.; Sun, S. How is the risk of hydrological drought in the Tarim River Basin, Northwest China? Sci. Total Environ. 2019, 693, 133555. [Google Scholar] [CrossRef] [PubMed]
- Kumar, S.; Merwade, V. Impact of watershed subdivision and soil data resolution on SWAT model calibration and parameter uncertainty. Water Resour. Assoc. 2009, 45, 1179–1196. [Google Scholar] [CrossRef]
- Arnold, J.; Srinivasan, R.; Muttiah, R.; Williams, J. Large area hydrologic modeling and assessment part I: Model development. Water Resour. Assoc. 1998, 34, 73–89. [Google Scholar] [CrossRef]
- Shrestha, M.; Recknagel, F.; Frizenschaf, J.; Meyer, W. Future climate and land uses effects on flow and nutrient loads of a Mediterranean catchment in South Australia. Sci. Total Environ. 2017, 590, 186–193. [Google Scholar] [CrossRef] [PubMed]
- Guo, T.; Engel, B.; Shao, G.; Arnold, J.; Srinivasan, R.; Kiniry, J. Development and improvement of the simulation of woody bioenergy crops in the soil and water assessment tool (SWAT). Environ. Modell. Softw. 2019, 122, 104295. [Google Scholar] [CrossRef]
- Ma, T.; Duan, Z.; Li, R.; Song, X. Enhancing SWAT with remotely sensed LAI for improved modelling of ecohydrological process in subtropics. J. Hydrol. 2019, 570, 802–815. [Google Scholar] [CrossRef]
- Zhang, H.; Wang, B.; Liu, D.; Zhang, M.; Leslie, L.; Yu, Q. Using an improved SWAT model to simulate hydrological responses to land use change: A case study of a catchment in tropical Australia. J. Hydrol. 2020, 585, 124822. [Google Scholar] [CrossRef]
- Wu, J.; Zheng, H.; Xi, Y. SWAT-Based Runoff Simulation and Runoff Responses to Climate Change in the Headwaters of the Yellow River, China. Atmosphere 2019, 10, 509. [Google Scholar] [CrossRef]
- Mann, H. Nonparametric tests against trend. Econometrica 1945, 13, 245–259. [Google Scholar] [CrossRef]
- Kendall, M. Rank Correlation Methods; Charles Griffin: London, UK, 1975. [Google Scholar]
- Pettitt, A. A non-parametric approach to the change-point problem. Appl. Statist. 1979, 28, 126–135. [Google Scholar] [CrossRef]
- Jiang, S.; Ren, L.; Hong, Y.; Yong, B.; Yang, X.; Yuan, F.; Ma, M. Comprehensive evaluation of multi-satellite precipitation products with a dense rain gauge network and optimally merging their simulated hydrological flows using the Bayesian model averaging method. J. Hydrol. 2012, 452–453, 213–225. [Google Scholar] [CrossRef]
- Shukla, S.; Wood, A. Use of a standardized runoff index for characterizing hydrologic drought. Geophys. Res. Lett. 2008, 35, 226–236. [Google Scholar] [CrossRef]
- Yevjevich, V. An Objective Approach to Definitions and Investigations of Continental Hydrologic Droughts; Hydrology Papers 23; Colorado State University: Fort Collins, CO, USA, 1967. [Google Scholar]
- Wu, J.; Chen, X.; Yao, H.; Gao, L.; Chen, Y.; Liu, M. Non-linear relationship of hydrological drought responding to meteorological drought and impact of a large reservoir. J. Hydrol. 2017, 551, 495–507. [Google Scholar] [CrossRef]
- Wang, W.; Gao, R.; Wang, X.; Liu, T.; Bai, Y. Quantitative analysis of runoff variations as affected by climate variability and human activity in the Xilin River Basin. Res. Soil Water Conserv. 2018, 25, 347–353. (In Chinese) [Google Scholar] [CrossRef]
- Wang, X.; Gao, R.; Yang, X. Responses of soil moisture to climate variability and livestock grazing in a semiarid Eurasian steppe. Sci. Total Environ. 2021, 781, 146705. [Google Scholar] [CrossRef]
- Zhang, A.; Gao, R.; Wang, X.; Liu, T.; Fang, L. Historical Trends in Air Temperature, Precipitation, and Runoff of a Plateau Inland River Watershed in North China. Water 2020, 12, 74. [Google Scholar] [CrossRef]
- Huang, J.; Sun, S.; Xue, Y.; Zhang, J. Changing characteristics of precipitation during 1960–2012 in Inner Mongolia, northern China. Meteorol. Atmos. Phys. 2015, 127, 257–271. [Google Scholar] [CrossRef]
- Han, D.; Wang, G.; Liu, T.; Xue, B.; Kuczera, G.; Xu, X. Hydroclimatic response of evapotranspiration partitioning to prolonged droughts in semiarid grassland. J. Hydrol. 2018, 563, 766–777. [Google Scholar] [CrossRef]
- Yuan, R.; Chang, L.; Gupta, H.; Niu, G. Climatic forcing for recent significant terrestrial drying and wetting. Adv. Water Resour. 2019, 133, 103425. [Google Scholar] [CrossRef]
- Gao, R.; Bai, Y.; Liu, T.; Wang, X.; Wang, W. Evolution characteristics of runoff in the typical garssland inland river basin of Inner Mongolia Plateau. South-to-North Water Transf. Water Sci. Technol. 2018, 16, 10–17. (In Chinese) [Google Scholar] [CrossRef]
- Van Loon, A.F.; Tijdeman, E.; Wanders, N.; Van Lanen, H.A.J.; Teuling, A.J.; Uijlenhoet, R. How climate seasonality modifies drought duration and deficit. J. Geophys. Res. Atmos. 2014, 119, 4640–4656. [Google Scholar] [CrossRef]
- Jehanzaib, M.; Shah, S.A.; Yoo, J.; Kim, T.-W. Investigating the impacts of climate change and human activities on hydrological drought using non-stationary approaches. J. Hydrol. 2020, 588, 125052. [Google Scholar] [CrossRef]








| Expression | Range | Satisfactory | |
|---|---|---|---|
| NSE | −∞–1 | 0.5 ≤ NSE ≤ 0.65 | |
| R2 | 0–1 | R2 ≥ 0.5 | |
| PBIAS | −∞–+∞ | −25% ≤ PBIAS ≤ 25% |
| Grade | Category | SRI |
|---|---|---|
| 1 | No drought | −0.5 < SRI |
| 2 | Mild drought | −1.0 < SRI ≤ −0.5 |
| 3 | Moderate drought | −1.5 < SRI ≤ −1.0 |
| 4 | Severe drought | −2.0 < SRI ≤ −1.5 |
| 5 | Extreme drought | SRI ≤ −2.0 |
| Element | Mann-Kendall Test | Pettitt Test | ||
|---|---|---|---|---|
| Z | Trend | p-Value | Step Change Year | |
| Runoff | −4.14 | ↓↓ | 4.33 × 10−6 | 1998 |
| Precipitation | −0.17 | ↓ | 0.67 | — |
| Parameter | Definition | Fitted Value |
|---|---|---|
| CN2 | SCS runoff curve number for moisture condition II | 0.13 |
| ESCO | Soil evaporation compensation factor | 0.60 |
| SOL_AWC | Available water capacity of soil | 0.25 |
| SOL_K | Saturated permeability coefficient of soil | 0.10 |
| SOL_BD | Volume weight of soil | 0.10 |
| ALPHA_BNK | Baseflow alpha factor for bank storage | 0.13 |
| CH_K2 | Effective hydraulic conductivity of main channel | 99.80 |
| Period | p-Factor | R-Factor | R2 | NSE | PBIAS | RMSE |
|---|---|---|---|---|---|---|
| Calibration (1975–1991) | 0.62 | 0.36 | 0.77 | 0.75 | 15.79 | 0.23 |
| Validation (1992–1997) | 0.51 | 0.42 | 0.68 | 0.73 | 19.72 | 0.25 |
| Basin | |||||
|---|---|---|---|---|---|
| Xilin River Basin | −1.01 | −0.32 | −0.69 | 32 | 68 |
Publisher’s Note: MDPI stays neutral with regard to jurisdictional claims in published maps and institutional affiliations. |
© 2022 by the authors. Licensee MDPI, Basel, Switzerland. This article is an open access article distributed under the terms and conditions of the Creative Commons Attribution (CC BY) license (https://creativecommons.org/licenses/by/4.0/).
Share and Cite
Li, W.; Wang, W.; Wu, Y.; Quan, Q.; Zhao, S.; Zhang, W. Impact of Human Activities on Hydrological Drought Evolution in the Xilin River Basin. Atmosphere 2022, 13, 2079. https://doi.org/10.3390/atmos13122079
Li W, Wang W, Wu Y, Quan Q, Zhao S, Zhang W. Impact of Human Activities on Hydrological Drought Evolution in the Xilin River Basin. Atmosphere. 2022; 13(12):2079. https://doi.org/10.3390/atmos13122079
Chicago/Turabian StyleLi, Wei, Wenjun Wang, Yingjie Wu, Qiang Quan, Shuixia Zhao, and Weijie Zhang. 2022. "Impact of Human Activities on Hydrological Drought Evolution in the Xilin River Basin" Atmosphere 13, no. 12: 2079. https://doi.org/10.3390/atmos13122079
APA StyleLi, W., Wang, W., Wu, Y., Quan, Q., Zhao, S., & Zhang, W. (2022). Impact of Human Activities on Hydrological Drought Evolution in the Xilin River Basin. Atmosphere, 13(12), 2079. https://doi.org/10.3390/atmos13122079
