Monitoring the Dynamic Changes in Vegetation Cover Using Spatio-Temporal Remote Sensing Data from 1984 to 2020
Abstract
:1. Introduction
2. Materials and Method
2.1. Study Area
2.2. Remote Sensing Data
2.3. Climate Factor Data
2.4. Survey
2.5. Image Classification and Analysis
2.6. Trend and Correlation Analysis
3. Results
3.1. Change in Major Crops
3.2. Trend of NDVI for Different Crops
3.3. Climate Factor of the Study Area
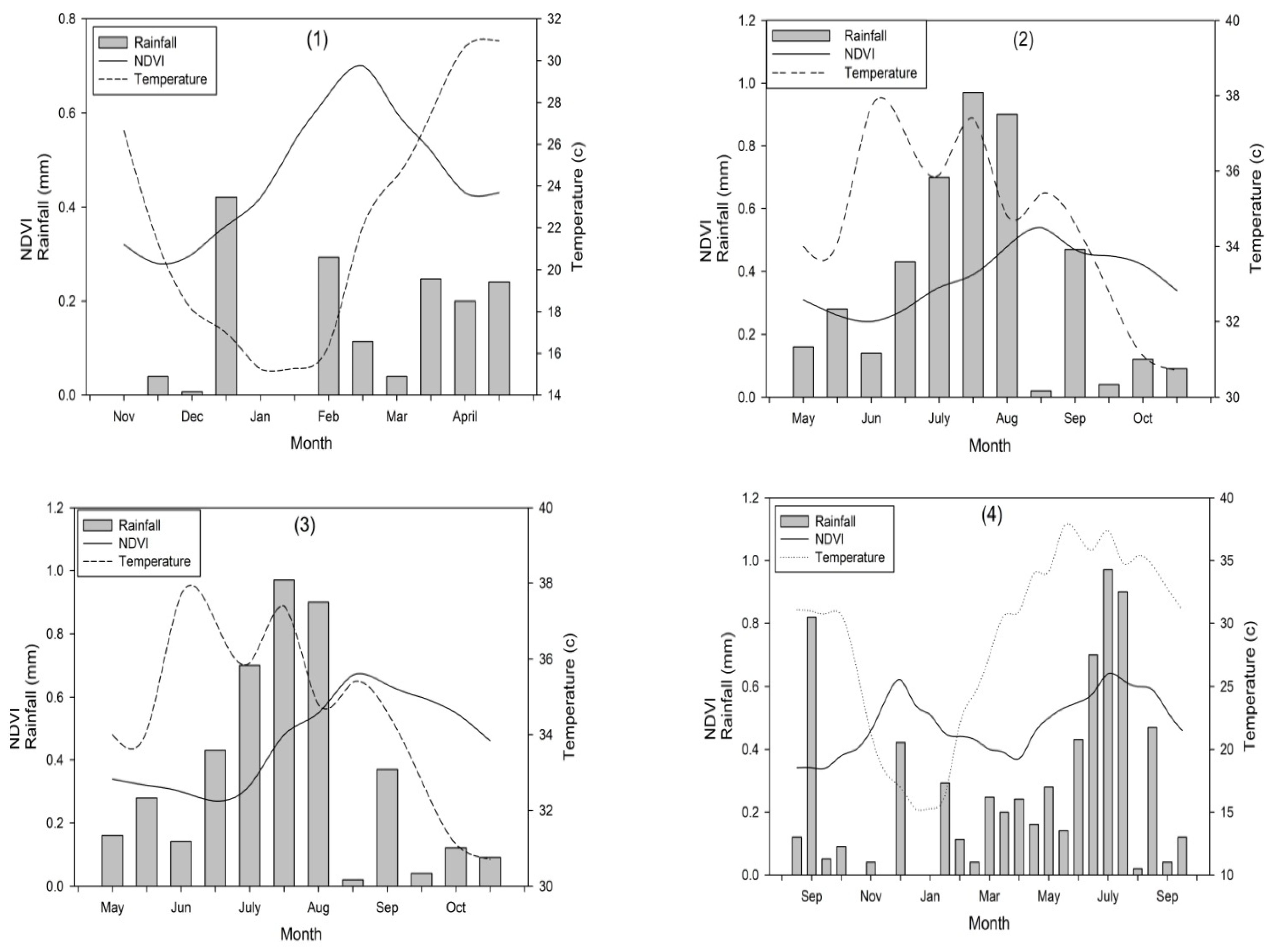
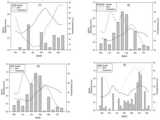
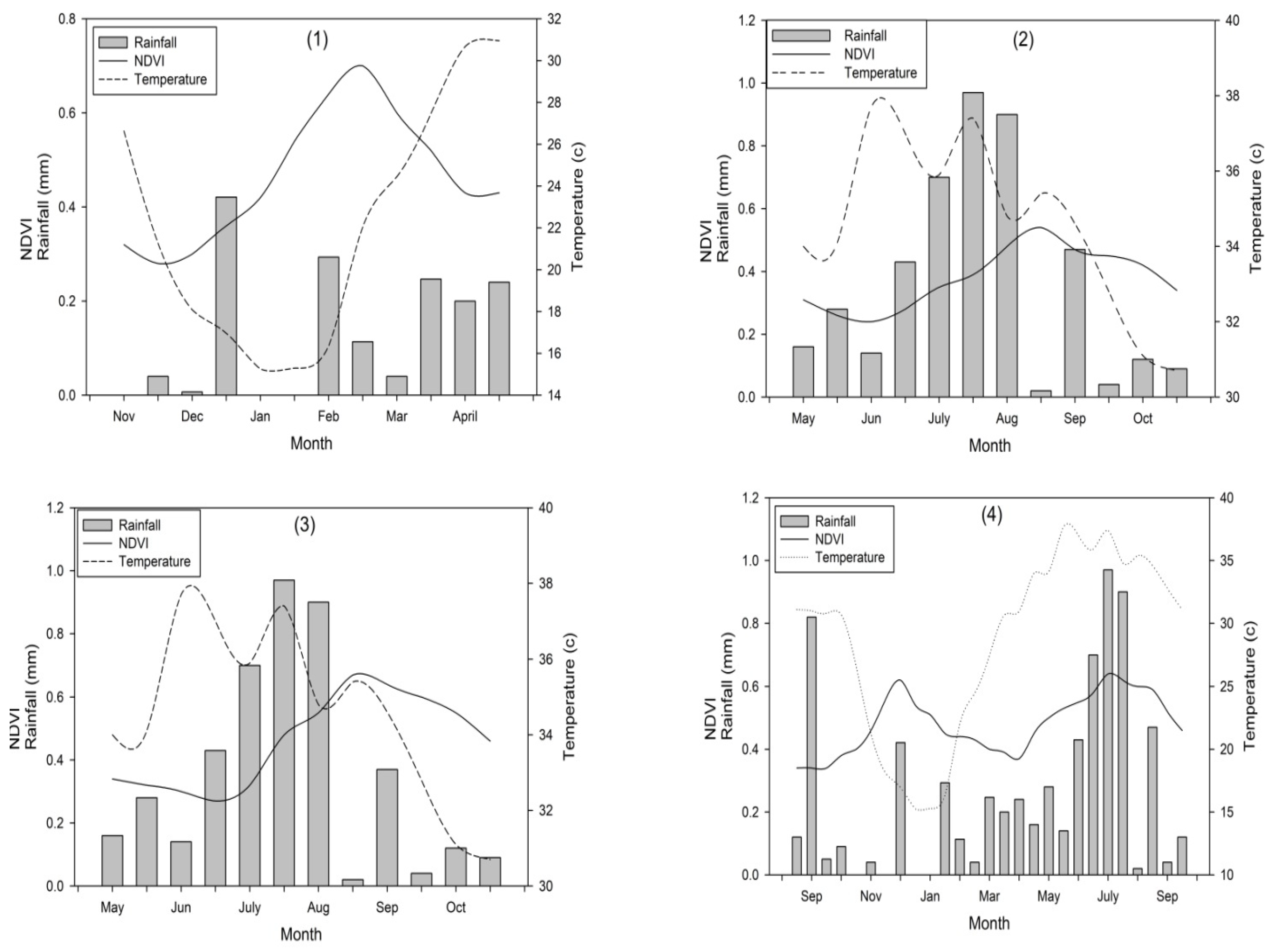
3.4. Trend and Relation of Climate Factor with NDVI
4. Discussion
5. Conclusions
Author Contributions
Funding
Institutional Review Board Statement
Informed Consent Statement
Data Availability Statement
Conflicts of Interest
References
- Al-Najjar, H.A.H.; Kalantar, B.; Pradhan, B.; Saeidi, V.; Halin, A.A.; Ueda, N.; Mansor, S. Land cover classification from fused DSM and UAV images using convolutional neural networks. Remote Sens. 2019, 11, 1461. [Google Scholar] [CrossRef]
- Abdullahi, S.; Pradhan, B. Land use change modeling and the effect of compact city paradigms: Integration of GIS-based cellular automata and weights-of-evidence techniques. Environ. Earth Sci. 2018, 77, 1–15. [Google Scholar] [CrossRef]
- Pradhan, B.; Al-Najjar, H.A.H.; Sameen, M.I.; Tsang, I.; Alamri, A.M. Unseen land cover classification fromhigh-resolution orthophotos using integration of zero-shot learning and convolutional neural networks. Remote Sens. 2020, 12, 1676. [Google Scholar] [CrossRef]
- Hussain, S.; Mubeen, M.; Sultana, S.R.; Ahmad, A.; Fahad, S.; Nasim, W.; Ahmad, S.; Ali, A.; Farid, H.U.; Javeed, H.M.R.; et al. Managing Greenhouse Gas Emission. In Modern Techniques of Rice Crop Production; Sarwar, N., Atique-ur-Rehman, Ahmad, S., Hasanuzzaman, M., Eds.; Springer: Singapore, 2022. [Google Scholar] [CrossRef]
- Hoffmann, P.; Krueger, O.; Schlünzen, K.H. A statistical model for the urban heat island and its application to a climate change scenario. Int. J. Climatol. 2012, 32, 1238–1248. [Google Scholar] [CrossRef]
- Siddiqui, S.; Ali Safi, M.W.; Rehman, N.U.; Tariq, A. Impact of Climate Change on Land use/Land cover of Chakwal District. Int. J. Econ. Environ. Geol. 2020, 11, 65–68. [Google Scholar] [CrossRef]
- Shah, S.H.I.A.; Yan, J.; Ullah, I.; Aslam, B.; Tariq, A.; Zhang, L.; Mumtaz, F. Classification of aquifer vulnerability by using the drastic index and geo-electrical techniques. Water 2021, 13, 2144. [Google Scholar] [CrossRef]
- Waleed, M.; Mubeen, M.; Ahmad, A.; Habib-ur-Rahman, M.; Amin, A.; Farid, H.U.; El Sabagh, A. Evaluating the efficiency of coarser to finer resolution multispectral satellites in mapping paddy rice fields using GEE implementation. Sci. Rep. 2022, 12, 13210. [Google Scholar] [CrossRef]
- Tariq, A.; Shu, H.; Siddiqui, S.; Imran, M.; Farhan, M. Monitoring land use and land cover changes using geospatial techniques, a case study of Fateh Jang, Attock, Pakistan. Geogr. Environ. Sustain. 2021, 14, 41–52. [Google Scholar] [CrossRef]
- Akram, R.; Turan, V.; Hammad, H.M.; Ahmad, S.; Hussain, S.; Hasnain, A.; Maqbool, M.M.; Rehmani, M.I.A.; Rasool, A.; Masood, N.; et al. Fate of organic and inorganic pollutants in paddy soils. In Environment Pollution of Paddy Soils; Springer: Cham, Switzerland, 2018; pp. 197–214. [Google Scholar] [CrossRef]
- Wang, B.; Liu, D.; Liu, S.; Zhang, Y.; Lu, D.; Wang, L. Impacts of urbanization on stream habitats and macroinvertebrate communities in the tributaries of Qiangtang River, China. Hydrobiologia 2012, 680, 39–51. [Google Scholar] [CrossRef]
- Zahoor, S.A.; Ahmad, S.; Ahmad, A.; Wajid, A.; Khaliq, T.; Mubeen, M.; Hussain, S.; Din, M.S.U.; Amin, A.; Awais, M.; et al. Improving Water Use Efficiency in Agronomic Crop Production. In Agronomic Crops; Springer: Singapore, 2019; pp. 13–29. [Google Scholar] [CrossRef]
- Ahmed, B.; Kamruzzaman, M.D.; Zhu, X.; Shahinoor Rahman, M.D.; Choi, K. Simulating land cover changes and their impacts on land surface temperature in dhaka, bangladesh. Remote Sens. 2013, 5, 5969–5998. [Google Scholar] [CrossRef]
- Akram, R.; Amanet, K.; Iqbal, J.; Fatima, M.; Mubeen, M.; Hussain, S.; Fahad, S. Climate Change, Insects and Global Food Production. In Climate Change and Ecosystems; CRC Press: New York, NY, USA, 2022; pp. 47–60. [Google Scholar]
- Omran, E.-S.E. Detection of Land-Use and Surface Temperature Change at Different Resolutions. J. Geogr. Inf. Syst. 2012, 4, 189–203. [Google Scholar] [CrossRef]
- Yu, X.; Guo, X.; Wu, Z. Land surface temperature retrieval from landsat 8 TIRS-comparison between radiative transfer equation-based method, split window algorithm and single channel method. Remote Sens. 2014, 6, 9829–9852. [Google Scholar] [CrossRef]
- Mubeen, M.; Bano, A.; Ali, B.; Islam, Z.U.; Ahmad, A.; Hussain, S.; Fahad, S.; Nasim, W. Effect of plant growth promoting bacteria and drought on spring maize (Zea mays L.). Pak. J. Bot. 2021, 53, 731–739. [Google Scholar] [CrossRef]
- Hussain, S.; Ahmad, A.; Wajid, A.; Khaliq, T.; Hussain, N.; Mubeen, M.; Farid, H.U.; Imran, M.; Hammad, H.M.; Awais, M.; et al. Irrigation Scheduling for Cotton Cultivation. In Cotton Production Uses; Springer: Singapore, 2020; pp. 59–80. [Google Scholar] [CrossRef]
- Hussain, S. Land Use/Land Cover Classification by Using Satellite NDVI Tool for Sustainable Water and Climate Change in Southern Punjab. Master’s Thesis, COMSATS University Islamabad, Islamabad, Pakistan, 2018. [Google Scholar] [CrossRef]
- Bryson, R.A.; Swain, A.M. Holocene variations of monsoon rainfall in Rajasthan. Quaternary Res. 1981, 16, 135–145. [Google Scholar] [CrossRef]
- Asad, F.; Zhu, H.; Zhang, H.; Liang, E.; Muhammad, S.; Farhan, S.B.; Hussain, I.; Atif Wazir, M.; Ahmed, M.; Esper, J. Are Karakoram temperatures out of phase compared to hemispheric trends? Clim. Dyn. 2017, 48, 3381–3390. [Google Scholar] [CrossRef]
- Jan, F.; Schüler, L.; Asad, F.; Behling, H. Vegetation and climate dynamics in Khyber Pakhtunkhwa (NW Pakistan), inferred from the pollen record of the Kabal Valley in Swat District during the last 3300 years. Acta Palaeobot. 2019, 59, 145–163. [Google Scholar] [CrossRef]
- Yadava, A.K.; Bräuning, A.; Singh, J.; Yadav, R.R. Boreal spring precipitation variability in the cold arid western Himalaya during the last millennium, regional linkages, and socio-economic implications. Quat. Sci. Rev. 2016, 144, 28–43. [Google Scholar] [CrossRef]
- Hussain, S.; Mubeen, M.; Ahmad, A.; Fahad, S.; Nasim, W.; Hammad, H.M.; Parveen, S. Using space–time scan statistic for studying the effects of COVID-19 in Punjab, Pakistan: A guideline for policy measures in regional agriculture. Environ. Sci. Pollut. Res. 2021, 1–14. [Google Scholar] [CrossRef]
- Baqa, M.F.; Chen, F.; Lu, L.; Qureshi, S.; Tariq, A.; Wang, S.; Jing, L.; Hamza, S.; Li, Q. Monitoring and modeling the patterns and trends of urban growth using urban sprawl matrix and CA-Markov model: A case study of Karachi, Pakistan. Land 2021, 10, 700. [Google Scholar] [CrossRef]
- Hu, P.; Sharifi, A.; Tahir, M.N.; Tariq, A.; Zhang, L.; Mumtaz, F.; Shah, S.H.I.A. Evaluation of Vegetation Indices and Phenological Metrics Using Time-Series MODIS Data for Monitoring Vegetation Change in Punjab, Pakistan. Water 2021, 13, 2550. [Google Scholar] [CrossRef]
- Tariq, A.; Riaz, I.; Ahmad, Z.; Amin, M.; Kausar, R.; Andleeb, S.; Farooqi, M.A.; Rafiq, M. Land surface temperature relation with normalized satellite indices for the estimation of spatio-temporal trends in temperature among various land use land cover classes of an arid Potohar region using Landsat data. Environ. Earth Sci. 2020, 79, 1–15. [Google Scholar] [CrossRef]
- Sharifi, A.; Mahdipour, H.; Moradi, E.; Tariq, A. Agricultural Field Extraction with Deep Learning Algorithm and Satellite Imagery. J. Indian Soc. Remote Sens. 2022, 50, 417–423. [Google Scholar] [CrossRef]
- Mumtaz, F.; Tao, Y.; Leeuw, G.D.; Zhao, L.; Fan, C.; Elnashar, A.; Bashir, B.; Wang, G.; Li, L.L.; Naeem, S.; et al. Modeling spatio-temporal land transformation and its associated impacts on land surface temperature (LST). Remote Sens. 2020, 12, 2987. [Google Scholar] [CrossRef]
- Tariq, A.; Yan, J.; Gagnon, A.S.; Riaz Khan, M.; Mumtaz, F. Mapping of cropland, cropping patterns and crop types by combining optical remote sensing images with decision tree classifier and random forest. Geo-Spat. Inf. Sci. 2022, 1–19. [Google Scholar] [CrossRef]
- Jalayer, S.; Sharifi, A.; Abbasi-Moghadam, D.; Tariq, A.; Qin, S. Modeling and Predicting Land Use Land Cover Spatiotemporal Changes: A Case Study in Chalus Watershed, Iran. IEEE J. Sel. Top. Appl. Earth Obs. Remote Sens. 2022, 15, 5496–5513. [Google Scholar] [CrossRef]
- Ghaderizadeh, S.; Abbasi-Moghadam, D.; Sharifi, A.; Tariq, A.; Qin, S. Multiscale Dual-Branch Residual Spectral-Spatial Network with Attention for Hyperspectral Image Classification. IEEE J. Sel. Top. Appl. Earth Obs. Remote Sens. 2022, 15, 5455–5467. [Google Scholar] [CrossRef]
- Wahla, S.S.; Kazmi, J.H.; Sharifi, A.; Shirazi, S.A.; Tariq, A.; Joyell Smith, H. Assessing spatio-temporal mapping and monitoring of climatic variability using SPEI and RF machine learning models. Geocarto Int. 2022, 1–20. [Google Scholar] [CrossRef]
- Majeed, M.; Tariq, A.; Anwar, M.M.; Khan, A.M.; Arshad, F.; Shaukat, S. Monitoring of Land Use–Land Cover Change and Potential Causal Factors of Climate Change in Jhelum District, Punjab, Pakistan, through GIS and Multi-Temporal Satellite Data. Land 2021, 10, 1026. [Google Scholar] [CrossRef]
- Wang, S.; Ma, Q.; Ding, H.; Liang, H. Detection of urban expansion and land surface temperature change using multi-temporal landsat images. Resour. Conserv. Recycl. 2018, 128, 526–534. [Google Scholar] [CrossRef]
- Zhang, X.; Wang, D.; Hao, H.; Zhang, F.; Hu, Y. Effects of Land Use/Cover Changes and Urban Forest Configuration on Urban Heat Islands in a Loess Hilly Region: Case Study Based on Yan’an City, China. Int. J. Environ. Res. Public Health 2017, 14, 840. [Google Scholar] [CrossRef]
- Tran, D.X.; Pla, F.; Latorre-Carmona, P.; Myint, S.W.; Caetano, M.; Kieu, H.V. Characterizing the relationship between land use land cover change and land surface temperature. ISPRS J. Photogramm. Remote Sens. 2017, 124, 119–132. [Google Scholar] [CrossRef]
- Butt, A.; Shabbir, R.; Ahmad, S.S.; Aziz, N. Land use change mapping and Analysis using Remote Sensing and GIS: A case study of Simly watershed, Islamabad, Pakistan. Egypt. J. Remote Sens. Sp. Sci. 2015, 18, 251–259. [Google Scholar] [CrossRef]
- Din, M.S.U.; Mubeen, M.; Hussain, S.; Ahmad, A.; Hussain, N.; Ali, M.A.; Nasim, W. World Nations Priorities on Climate Change and Food Security. In Building Climate Resilience in Agriculture; Springer: Cham, Switzerland, 2022; pp. 365–384. [Google Scholar] [CrossRef]
- Tariq, A.; Siddiqui, S.; Sharifi, A.; Hassan, S.; Ahmad, I. Impact of spatio-temporal land surface temperature on cropping pattern and land use and land cover changes using satellite imagery, Hafizabad District, Punjab, Province of Pakistan. Arab. J. Geosci. 2022, 15, 1–16. [Google Scholar] [CrossRef]
- Fu, C.; Cheng, L.; Qin, S.; Tariq, A.; Liu, P.; Zou, K.; Chang, L. Timely Plastic-Mulched Cropland Extraction Method from Complex Mixed Surfaces in Arid Regions. Remote Sens. 2022, 14, 4051. [Google Scholar] [CrossRef]
- Jahangir, M.; Maria Ali, S.; Khalid, B. Annual minimum temperature variations in early 21st century in Punjab, Pakistan. J. Atmos. Sol.-Terr. Phys. 2016, 137, 1–9. [Google Scholar] [CrossRef]
- Zereen, A.; Khan, Z. A survey of ethnobotanically important trees of Central Punjab, Pakistan. Biology 2012, 58, 21–30. [Google Scholar]
- Waseem, M.; Khurshid, T.; Abbas, A.; Ahmad, I.; Javed, Z. Impact of meteorological drought on agriculture production at different scales in Punjab, Pakistan. J. Water Clim. Chang. 2022, 13, 113–124. [Google Scholar] [CrossRef]
- Naz, S.; Fatima, Z.; Iqbal, P.; Khan, A.; Zakir, I.; Ullah, H.; Ahmad, S. An Introduction to Climate Change Phenomenon. In Building Climate Resilience in Agriculture; Springer: Cham, Switzerland, 2022; pp. 3–16. [Google Scholar] [CrossRef]
- Masood, N.; Akram, R.; Fatima, M.; Mubeen, M.; Hussain, S.; Shakeel, M.; Nasim, W. Insect Pest Management Under Climate Change. In Building Climate Resilience in Agriculture; Springer: Cham, Switzerland, 2022; pp. 225–237. [Google Scholar] [CrossRef]
- Hussain, S.; Amin, A.; Mubeen, M.; Khaliq, T.; Shahid, M.; Hammad, H.M.; Nasim, W. Climate Smart Agriculture (CSA) Technologies. In Building Climate Resilience in Agriculture; Springer: Cham, Switzerland, 2022; pp. 319–338. [Google Scholar] [CrossRef]
- Tariq, A.; Mumtaz, F.; Zeng, X.; Baloch, M.Y.J.; Moazzam, M.F.U. Spatio-temporal variation of seasonal heat islands mapping of Pakistan during 2000–2019, using day-time and night-time land surface temperatures MODIS and meteorological stations data. Remote Sens. Appl. Soc. Environ. 2022, 27, 100779. [Google Scholar] [CrossRef]
- Nasim, W.; Amin, A.; Fahad, S.; Awais, M.; Khan, N.; Mubeen, M.; Hussain, S. Future risk assessment by estimating historical heat wave trends with projected heat accumulation using SimCLIM climate model in Pakistan. Atmos. Res. 2018, 205, 118–133. [Google Scholar] [CrossRef]
- Hassan, Z.; Shabbir, R.; Ahmad, S.S.; Malik, A.H.; Aziz, N.; Butt, A.; Erum, S. Dynamics of land use and land cover change (LULCC) using geospatial techniques: A case study of Islamabad Pakistan. Springerplus 2016, 5, 812. [Google Scholar] [CrossRef]
- Islam, M.S.; Fahad, S.; Hossain, A.; Chowdhury, M.K.; Iqbal, M.A.; Dubey, A.; Sabagh, A.E. Legumes under Drought Stress: Plant Responses, Adaptive Mechanisms, and Management Strategies in Relation to Nitrogen Fixation. In Engineering Tolerance in Crop Plants Against Abiotic Stress; CRC Press: New York, NY, USA, 2021; pp. 179–207. [Google Scholar]
- Abbas, F.; Sarwar, N.; Ibrahim, M.; Adrees, M.; Ali, S.; Saleem, F.; Hammad, H.M. Patterns of Climate Extremes in the Coastal and Highland Regions of Balochistan, Pakistan. Earth Interact. 2018, 22, 1–23. [Google Scholar] [CrossRef]
- Ur Rehman, Z.; Kazmi, S.J.H. Land use/land cover changes through satellite remote sensing approach: A case study of Indus delta, Pakistan. Pakistan J. Sci. Ind. Res. Ser. A Phys. Sci. 2018, 61, 156–162. [Google Scholar] [CrossRef]
- Abid, M.; Schilling, J.; Scheffran, J.; Zulfiqar, F. Climate change vulnerability, adaptation and risk perceptions at farm level in Punjab, Pakistan. Sci. Total Environ. 2016, 547, 447–460. [Google Scholar] [CrossRef]
- Aslam, A.Q.; Ahmad, S.R.; Ahmad, I.; Hussain, Y.; Hussain, M.S. Vulnerability and impact assessment of extreme climatic event: A case study of southern Punjab, Pakistan. Sci. Environ. 2017, 580, 468–481. [Google Scholar] [CrossRef]
- Aslam, A.Q.; Ahmad, I.; Ahmad, S.R.; Hussain, Y.; Hussain, M.S.; Shamshad, J.; Zaidi, S.J.A. Integrated climate change risk assessment and evaluation of adaptation perspective in southern Punjab, Pakistan. Sci. Total Environ. 2018, 628–629, 1422–1436. [Google Scholar] [CrossRef] [PubMed]
- Ahmed, K.; Shahid, S.; Nawaz, N. Impacts of climate variability and change on seasonal drought characteristics of Pakistan. Atmos. Res. 2018, 214, 364–374. [Google Scholar] [CrossRef]
- Amin, A.; Nasim, W.; Fahad, S.; Ali, S.; Ahmad, S.; Rasool, A.; Saleem, N.; Hammad, H.M.; Sultana, S.R.; Mubeen, M.; et al. Evaluation and Analysis of temperature for historical (1996–2015) and projected (2030–2060) climates in Pakistan using SimCLIM climate model: Ensemble application. Atmos. Res. 2018, 213, 422–436. [Google Scholar] [CrossRef]
- Amin, A.; Nasim, W.; Mubeen, M.; Sarwar, S.; Urich, P.; Ahmad, A.; Ali, Q.S. Regional climate assessment of precipitation and temperature in Southern Punjab (Pakistan) using SimCLIM climate model for different temporal scales. Theor. Appl. Climatol. 2018, 131, 121–131. [Google Scholar] [CrossRef]
- Usman, U.; Yelwa, S.A.; Gulumbe, S.U.; Danbaba, A.; Nir, R. Modelling Relationship between NDVI and Climatic Variables Using Geographically Weighted Regression. J. Math. Sci. Appl. 2013, 1, 24–28. [Google Scholar] [CrossRef]
- Campo-Bescós, M.A.; Muñoz-Carpena, R.; Southworth, J.; Zhu, L.; Waylen, P.R.; Bunting, E. Combined spatial and temporal effects of environmental controls on long-term monthly NDVI in the Southern Africa Savanna. Remote Sens. 2013, 5, 6513–6538. [Google Scholar] [CrossRef]
- Fazal, S. Urban expansion and loss of agricultural land—A GIS based study of Saharanpur City, India. Environ. Urban. 2000, 12, 133–149. [Google Scholar] [CrossRef]
- Aguilár, A.G.; Ward, P.M. Globalization, regional development, and mega-city expansion in Latin America: Analyzing Mexico City’s peri-urban hinterland. Cities 2003, 20, 3–21. [Google Scholar] [CrossRef]
- Athick, A.A.S.M.; Shankar, K. Data on Land Use and Land Cover Changes in Adama Wereda, Ethiopia, on ETM+, TM and OLI- TIRS landsat sensor using PCC and CDM techniques. Data Brief 2019, 24, 103880. [Google Scholar] [CrossRef] [PubMed]
- Tariq, A.; Shu, H. CA-Markov Chain Analysis of Seasonal Land Surface Temperature and Land Use Landcover Change Using Optical Multi-Temporal Satellite Data of. Remote Sens. 2020, 12, 3402. [Google Scholar] [CrossRef]
- Sayemuzzaman, M.; Jha, M.K. Modeling of Future Land Cover Land Use Change in North Carolina Using Markov Chain and Cellular Automata Model. Am. J. Eng. Appl. Sci. 2014, 7, 295–306. [Google Scholar] [CrossRef]
- Zhang, Q.; Wang, J.; Peng, X.; Gong, P.; Shi, P. Urban built-up land change detection with road density and spectral information from multi-temporal Landsat TM data. Int. J. Remote Sens. 2002, 23, 3057–3078. [Google Scholar] [CrossRef]
- Hussain, S.; Mubeen, M.; Ahmad, A.; Majeed, H.; Qaisrani, S.A.; Hammad, H.M.; Nasim, W. Assessment of land use/land cover changes and its effect on land surface temperature using remote sensing techniques in Southern Punjab, Pakistan. Environ. Sci. Pollut. Res. 2022, 1–17. [Google Scholar] [CrossRef] [PubMed]
- Chen, W.; Liu, L.; Zhang, C.; Wang, J.; Wang, J.; Pan, Y. Monitoring the seasonal bare soil areas in Beijing using multitemporal TM images. In Proceedings of the IGARSS 2004, 2004 IEEE International Geoscience and Remote Sensing Symposium, Anchorage, AL, USA, 20–24 September 2004; Volume 5, pp. 3379–3382. [Google Scholar]
- Ahmed, B.; Ahmed, R. Modeling urban land cover growth dynamics using multioral satellite images: A case study of Dhaka, Bangladesh. ISPRS Int. J. Geo-Inf. 2012, 1, 3–31. [Google Scholar] [CrossRef]
- Hussain, S.; Mubeen, M.; Akram, W.; Ahmad, A.; Habib-ur-Rahman, M.; Ghaffar, A.; Amin, A.; Awais, M.; Farid, H.U.; Farooq, A.; et al. Study of land cover/land use changes using RS and GIS: A case study of Multan district, Pakistan. Environ. Monit. Assess. 2020, 192, 2. [Google Scholar] [CrossRef]
- Hussain, S.; Mubeen, M.; Ahmad, A.; Akram, W.; Hammad, H.M.; Ali, M.; Masood, N.; Amin, A.; Farid, H.U.; Sultana, S.R.; et al. Using GIS tools to detect the land use/land cover changes during forty years in Lodhran District of Pakistan. Environ. Sci. Pollut. Res. 2020, 27, 39676–39692. [Google Scholar] [CrossRef]
- Zhao, Z.; Sharifi, A.; Dong, X.; Shen, L.; He, B.J. Spatial Variability and Temporal Heterogeneity of Surface Urban Heat Island Patterns and the Suitability of Local Climate Zones for Land Surface Temperature Characterization. Remote Sens. 2021, 13, 4338. [Google Scholar] [CrossRef]
- Talukdar, S.; Rihan, M.; Hang, H.T.; Bhaskaran, S.; Rahman, A. Modelling urban heat island (UHI) and thermal field variation and their relationship with land use indices over Delhi and Mumbai metro cities. Environ. Dev. Sustain. 2021, 24, 3762–3790. [Google Scholar]
- Sharma, R.; Pradhan, L.; Kumari, M.; Bhattacharya, P. Assessing urban heat islands and thermal comfort in Noida City using geospatial technology. Urban Clim. 2021, 35, 100751. [Google Scholar] [CrossRef]
- Hussain, S.; Mubeen, M.; Ahmad, A.; Masood, N.; Hammad, H.M.; Amjad, M.; Waleed, M. Satellite-based evaluation of temporal change in cultivated land in Southern Punjab (Multan region) through dynamics of vegetation and land surface temperature. Open Geosci. 2021, 13, 1561–1577. [Google Scholar] [CrossRef]
- Hussain, S.; Karuppannan, S. Land use/land cover changes and their impact on land surface temperature using remote sensing technique in district Khanewal, Punjab Pakistan. Geol. Eco. Landsc. 2021, 1–13. [Google Scholar] [CrossRef]
- Hussain, S.; Mubeen, M.; Karuppannan, S. Land use and land cover (LULC) change analysis using TM, ETM+ and OLI Landsat images in district of Okara, Punjab, Pakistan. Phys. Chem. Earth Parts A/B/C 2022, 126, 103117. [Google Scholar] [CrossRef]
- Khan, R.; Li, H.; Basir, M.; Chen, Y.L.; Sajjad, M.M.; Haq, I.U.; Hassan, W. Monitoring land use land cover changes and its impacts on land surface temperature over Mardan and Charsadda Districts, Khyber Pakhtunkhwa (KP), Pakistan. Environ. Monit. Assess. 2022, 194, 1–22. [Google Scholar] [CrossRef]
- Khan, M.S.; Ullah, S.; Sun, T.; Rehman, A.U.; Chen, L. Land-Use/Land-Cover Changes and Its Contribution to Urban Heat Island: A Case Study of Islamabad, Pakistan. Sustainability 2020, 12, 3861. [Google Scholar] [CrossRef]
- Hussain, S.; Lu, L.; Mubeen, M.; Nasim, W.; Karuppannan, S.; Fahad, S.; Aslam, M. Spatiotemporal Variation in Land Use Land Cover in the Response to Local Climate Change Using Multispectral Remote Sensing Data. Land 2022, 11, 595. [Google Scholar] [CrossRef]













| Satellite | Sensor | Spatial Resolution | Temporal Resolution | Paths | Row | Months | Years |
|---|---|---|---|---|---|---|---|
| Landsat 5 | TM | 30 m | 16 days | 149 and 150 | 39 | March and September | 1984 and 1993 |
| Landsat 7 | ETM+ | 30 m | 16 days | 149 and 150 | 39 | March and September | 2002 and 2011 |
| Landsat 8 | OLI | 30 m | 16 days | 149 and 150 | 39 | March and September | 2020 |
Publisher’s Note: MDPI stays neutral with regard to jurisdictional claims in published maps and institutional affiliations. |
© 2022 by the authors. Licensee MDPI, Basel, Switzerland. This article is an open access article distributed under the terms and conditions of the Creative Commons Attribution (CC BY) license (https://creativecommons.org/licenses/by/4.0/).
Share and Cite
Hussain, S.; Qin, S.; Nasim, W.; Bukhari, M.A.; Mubeen, M.; Fahad, S.; Raza, A.; Abdo, H.G.; Tariq, A.; Mousa, B.G.; et al. Monitoring the Dynamic Changes in Vegetation Cover Using Spatio-Temporal Remote Sensing Data from 1984 to 2020. Atmosphere 2022, 13, 1609. https://doi.org/10.3390/atmos13101609
Hussain S, Qin S, Nasim W, Bukhari MA, Mubeen M, Fahad S, Raza A, Abdo HG, Tariq A, Mousa BG, et al. Monitoring the Dynamic Changes in Vegetation Cover Using Spatio-Temporal Remote Sensing Data from 1984 to 2020. Atmosphere. 2022; 13(10):1609. https://doi.org/10.3390/atmos13101609
Chicago/Turabian StyleHussain, Sajjad, Shujing Qin, Wajid Nasim, Muhammad Adnan Bukhari, Muhammad Mubeen, Shah Fahad, Ali Raza, Hazem Ghassan Abdo, Aqil Tariq, B. G. Mousa, and et al. 2022. "Monitoring the Dynamic Changes in Vegetation Cover Using Spatio-Temporal Remote Sensing Data from 1984 to 2020" Atmosphere 13, no. 10: 1609. https://doi.org/10.3390/atmos13101609
APA StyleHussain, S., Qin, S., Nasim, W., Bukhari, M. A., Mubeen, M., Fahad, S., Raza, A., Abdo, H. G., Tariq, A., Mousa, B. G., Mumtaz, F., & Aslam, M. (2022). Monitoring the Dynamic Changes in Vegetation Cover Using Spatio-Temporal Remote Sensing Data from 1984 to 2020. Atmosphere, 13(10), 1609. https://doi.org/10.3390/atmos13101609

