Rare Variant Burden and Behavioral Phenotypes in Children with Autism in Slovakia
Abstract
1. Introduction
2. Materials and Methods
2.1. Participants and Sample Collection
2.2. Diagnosis of ASD
2.3. Assessment of Adaptive Behavior
2.4. Assessment of Cognitive Abilities and Executive Functions
2.5. Whole Exome Sequencing and Clinical Interpretation
2.6. Statistical Analysis
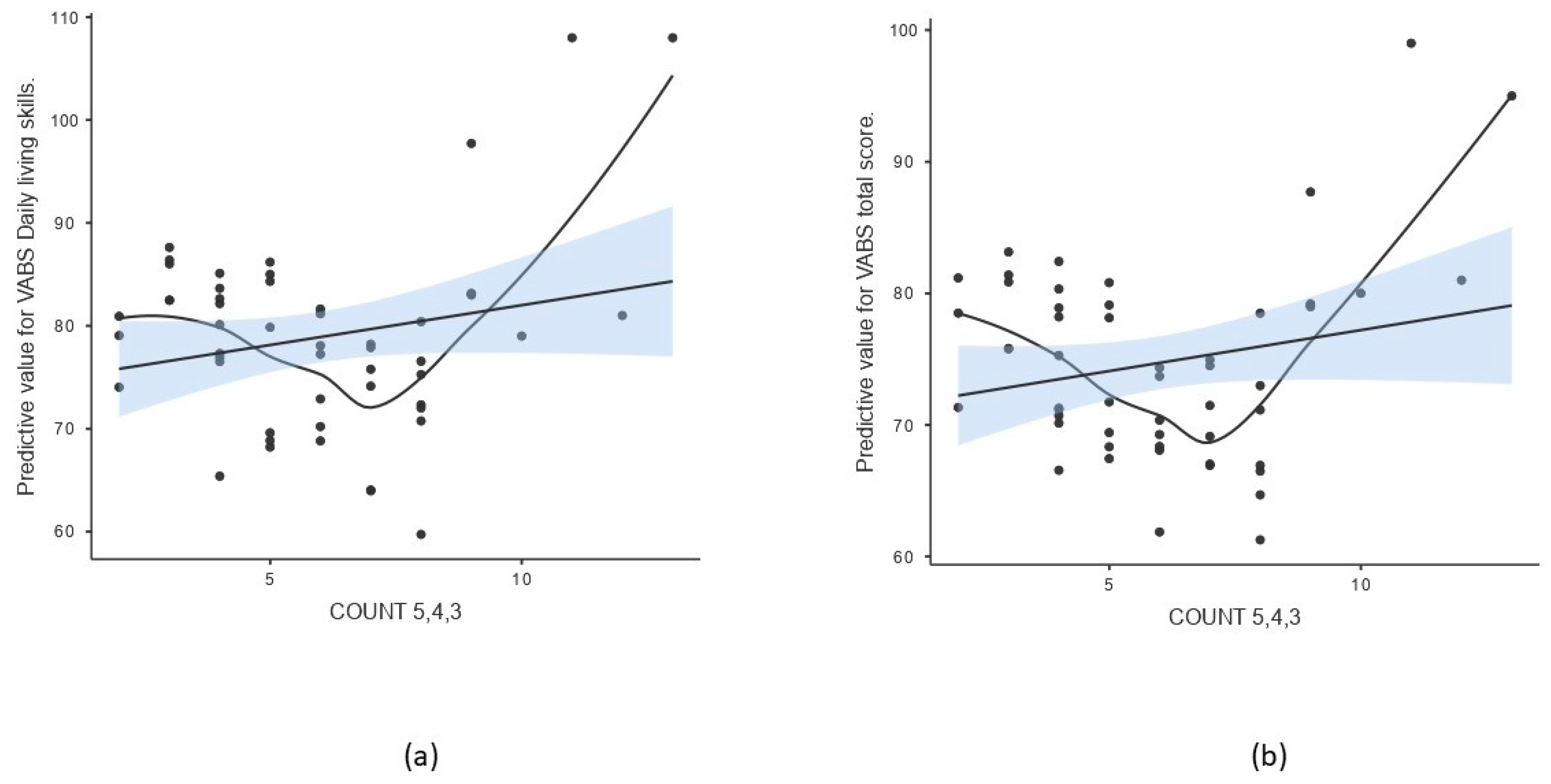
3. Results
4. Discussion
Supplementary Materials
Author Contributions
Funding
Institutional Review Board Statement
Informed Consent Statement
Data Availability Statement
Acknowledgments
Conflicts of Interest
References
- Paglia, L. CChildren Diagnosed with “ASD” Are First of All … Children. Eur. J. Paediatr. Dent. 2020, 21, 8. [Google Scholar] [CrossRef]
- Lyall, K.; Croen, L.; Daniels, J.; Fallin, M.D.; Ladd-Acosta, C.; Lee, B.K.; Park, B.Y.; Snyder, N.W.; Schendel, D.; Volk, H.; et al. The Changing Epidemiology of Autism Spectrum Disorders. Annu. Rev. Public. Health 2017, 38, 81–102. [Google Scholar] [CrossRef]
- Hapčová, M.; Malík, B.; Demkaninová, D.; Celušáková, H.; Belica, I. Adaptive Behavior and Its Importance of Assessment in Clinical Practice. Čes A Slov. Psychiat 2025, 121, 7–14. [Google Scholar] [CrossRef]
- Shaw, K.A.; Williams, S.; Patrick, M.E.; Valencia-Prado, M.; Durkin, M.S.; Howerton, E.M.; Ladd-Acosta, C.M.; Pas, E.T.; Bakian, A.V.; Bartholomew, P.; et al. Prevalence and Early Identification of Autism Spectrum Disorder Among Children Aged 4 and 8 Years—Autism and Developmental Disabilities Monitoring Network, 16 Sites, United States, 2022. MMWR Surveill. Summ. 2025, 74, 1–22. [Google Scholar] [CrossRef] [PubMed]
- Lynch, C.J.; Breeden, A.L.; You, X.; Ludlum, R.; Gaillard, W.D.; Kenworthy, L.; Vaidya, C.J. Executive Dysfunction in Autism Spectrum Disorder Is Associated With a Failure to Modulate Frontoparietal-Insular Hub Architecture. Biol. Psychiatry Cogn. Neurosci. Neuroimaging 2017, 2, 537–545. [Google Scholar] [CrossRef]
- Mehling, M.H.; Tassé, M.J. Severity of Autism Spectrum Disorders: Current Conceptualization, and Transition to DSM-5. J. Autism Dev. Disord. 2016, 46, 2000–2016. [Google Scholar] [CrossRef]
- Wiśniowiecka-Kowalnik, B.; Nowakowska, B.A. Genetics and Epigenetics of Autism Spectrum Disorder-Current Evidence in the Field. J. Appl. Genet. 2019, 60, 37–47. [Google Scholar] [CrossRef] [PubMed]
- Ronald, A.; Hoekstra, R. Progress in Understanding the Causes of Autism Spectrum Disorders and Autistic Traits: Twin Studies from 1977 to the Present Day. In Behavior Genetics of Psychopathology; Rhee, S.H., Ronald, A., Eds.; Springer: New York, NY, USA, 2014; pp. 33–65. [Google Scholar] [CrossRef]
- Hallmayer, J. Genetic Heritability and Shared Environmental Factors Among Twin Pairs With Autism. Arch. Gen. Psychiatry 2011, 68, 1095. [Google Scholar] [CrossRef] [PubMed]
- Ozonoff, S.; Young, G.S.; Carter, A.; Messinger, D.; Yirmiya, N.; Zwaigenbaum, L.; Bryson, S.; Carver, L.J.; Constantino, J.N.; Dobkins, K.; et al. Recurrence Risk for Autism Spectrum Disorders: A Baby Siblings Research Consortium Study. Pediatrics 2011, 128, e488–e495. [Google Scholar] [CrossRef]
- Constantino, J.N.; Todorov, A.; Hilton, C.; Law, P.; Zhang, Y.; Molloy, E.; Fitzgerald, R.; Geschwind, D. Autism Recurrence in Half Siblings: Strong Support for Genetic Mechanisms of Transmission in ASD. Mol. Psychiatry 2013, 18, 137–138. [Google Scholar] [CrossRef]
- Fernandez, B.A.; Scherer, S.W. Syndromic Autism Spectrum Disorders: Moving from a Clinically Defined to a Molecularly Defined Approach. Dialogues Clin. Neurosci. 2017, 19, 353–371. [Google Scholar] [CrossRef]
- Bourgeron, T. From the Genetic Architecture to Synaptic Plasticity in Autism Spectrum Disorder. Nat. Rev. Neurosci. 2015, 16, 551–563. [Google Scholar] [CrossRef]
- Chang, J.; Gilman, S.R.; Chiang, A.H.; Sanders, S.J.; Vitkup, D. Genotype to Phenotype Relationships in Autism Spectrum Disorders. Nat. Neurosci. 2015, 18, 191–198. [Google Scholar] [CrossRef]
- Schuch, J.B.; Paixão-Côrtes, V.R.; Longo, D.; Roman, T.; Riesgo, R.D.S.; Ranzan, J.; Becker, M.M.; Riegel, M.; Schuler-Faccini, L. Analysis of a Protein Network Related to Copy Number Variations in Autism Spectrum Disorder. J. Mol. Neurosci. 2019, 69, 140–149. [Google Scholar] [CrossRef]
- La Monica, I.; Di Iorio, M.R.; Sica, A.; Rufino, F.; Sotira, C.; Pastore, L.; Lombardo, B. Autism Spectrum Disorder: Genetic Mechanisms and Inheritance Patterns. Genes 2025, 16, 478. [Google Scholar] [CrossRef] [PubMed]
- Available online: https://gene.sfari.org/ (accessed on 1 April 2025).
- Lord, C.; Rutter, M.; Dilavore, P.C.; Risi, S.; Gotham, K.; Bishop, S. Autism Diagnostic Observation Schedule, Second Edition (ADOS-2); Western Psychological Services: Torrance, CA, USA, 2012; Volume 32. [Google Scholar]
- Lord, C.; Rutter, M.; Le Couteur, A. Autism Diagnostic Interview-Revised: A Revised Version of a Diagnostic Interview for Caregivers of Individuals with Possible Pervasive Developmental Disorders. J. Autism Dev. Disord. 1994, 24, 659–685. [Google Scholar] [CrossRef] [PubMed]
- Sparrow, S.S.; Cicchetti, D.V.; Saulnier, C.A. Vineland Adaptive Behavior Scales (Vineland—3), 3rd ed.; Pearson: Bloomington, MN, USA, 2016. [Google Scholar]
- Laros, J.A.; Tellegen, P.J. Construction and Validation of the SON-R-5 1/2-17, the Snijders-Oomen Non-Verbal Intelligence Test; Wolters-Noordhoff: Groningen, The Netherlands, 1991. [Google Scholar]
- Dalke, C. Woodcock-Johnson Psycho-Educational Test Battery Profiles: A Comparative Study of College Freshmen with and without Learning Disabilities. J. Learn. Disabil. 1988, 21, 567–570. [Google Scholar] [CrossRef] [PubMed]
- Gioia, G.A.; Isquith, P.K. Behavior Rating Inventory for Executive Functions. In Encyclopedia of Clinical Neuropsychology; Kreutzer, J.S., DeLuca, J., Caplan, B., Eds.; Springer: New York, NY, USA, 2011; pp. 372–376. [Google Scholar] [CrossRef]
- Available online: https://Panelapp.Genomicsengland.Co.Uk/ (accessed on 1 May 2024).
- Richards, S.; Aziz, N.; Bale, S.; Bick, D.; Das, S.; Gastier-Foster, J.; Grody, W.W.; Hegde, M.; Lyon, E.; Spector, E.; et al. Standards and Guidelines for the Interpretation of Sequence Variants: A Joint Consensus Recommendation of the American College of Medical Genetics and Genomics and the Association for Molecular Pathology. Genet. Med. 2015, 17, 405–424. [Google Scholar] [CrossRef]
- Varsome. Available online: https://Varsome.Com/ (accessed on 1 December 2024).
- Tavtigian, S.V.; Harrison, S.M.; Boucher, K.M.; Biesecker, L.G. Fitting a Naturally Scaled Point System to the ACMG/AMP Variant Classification Guidelines. Hum. Mutat. 2020, 41, 1734–1737. [Google Scholar] [CrossRef]
- OMIM. Available online: https://Omim.Org/ (accessed on 1 December 2024).
- IBM SPSS Statistics. Available online: https://www.ibm.com/products/spss (accessed on 1 June 2025).
- Available online: https://www.Jamovi.Org/ (accessed on 1 June 2025).
- Sheth, F.; Shah, J.; Jain, D.; Shah, S.; Patel, H.; Patel, K.; Solanki, D.I.; Iyer, A.S.; Menghani, B.; Mhatre, P.; et al. Comparative Yield of Molecular Diagnostic Algorithms for Autism Spectrum Disorder Diagnosis in India: Evidence Supporting Whole Exome Sequencing as First Tier Test. BMC Neurol. 2023, 23, 292. [Google Scholar] [CrossRef]
- Available online: https://www.ncbi.nlm.nih.gov/clinvar/ (accessed on 1 January 2025).
- Hüffmeier, U.; Kraus, C.; Reuter, M.S.; Uebe, S.; Abbott, M.-A.; Ahmed, S.A.; Rawson, K.L.; Barr, E.; Li, H.; Bruel, A.-L.; et al. EIF3F-Related Neurodevelopmental Disorder: Refining the Phenotypic and Expanding the Molecular Spectrum. Orphanet J. Rare Dis. 2021, 16, 136. [Google Scholar] [CrossRef]
- Genovese, A.; Butler, M.G. The Autism Spectrum: Behavioral, Psychiatric and Genetic Associations. Genes 2023, 14, 677. [Google Scholar] [CrossRef]
- Rihar, N.; Krgovic, D.; Kokalj-Vokač, N.; Stangler-Herodez, S.; Zorc, M.; Dovc, P. Identification of Potentially Pathogenic Variants for Autism Spectrum Disorders Using Gene-Burden Analysis. PLoS ONE 2023, 18, e0273957. [Google Scholar] [CrossRef]
- Liu, L.; Sabo, A.; Neale, B.M.; Nagaswamy, U.; Stevens, C.; Lim, E.; Bodea, C.A.; Muzny, D.; Reid, J.G.; Banks, E.; et al. Analysis of Rare, Exonic Variation amongst Subjects with Autism Spectrum Disorders and Population Controls. PLoS Genet. 2013, 9, e1003443. [Google Scholar] [CrossRef]
- Griswold, A.J.; Dueker, N.D.; Van Booven, D.; Rantus, J.A.; Jaworski, J.M.; Slifer, S.H.; Schmidt, M.A.; Hulme, W.; Konidari, I.; Whitehead, P.L.; et al. Targeted Massively Parallel Sequencing of Autism Spectrum Disorder-Associated Genes in a Case Control Cohort Reveals Rare Loss-of-Function Risk Variants. Mol. Autism 2015, 6, 43. [Google Scholar] [CrossRef]
- Bernier, R.; Golzio, C.; Xiong, B.; Stessman, H.A.; Coe, B.P.; Penn, O.; Witherspoon, K.; Gerdts, J.; Baker, C.; Vulto-van Silfhout, A.T.; et al. Disruptive CHD8 Mutations Define a Subtype of Autism Early in Development. Cell 2014, 158, 263–276. [Google Scholar] [CrossRef] [PubMed]
- Pizzo, L.; Jensen, M.; Polyak, A.; Rosenfeld, J.A.; Mannik, K.; Krishnan, A.; McCready, E.; Pichon, O.; Le Caignec, C.; Van Dijck, A.; et al. Rare Variants in the Genetic Background Modulate Cognitive and Developmental Phenotypes in Individuals Carrying Disease-Associated Variants. Genet. Med. 2019, 21, 816–825. [Google Scholar] [CrossRef] [PubMed]
- Fowler, D.M.; Rehm, H.L. Will Variants of Uncertain Significance Still Exist in 2030? Am. J. Hum. Genet. 2024, 111, 5–10. [Google Scholar] [CrossRef]
- Lovato, D.V.; Herai, R.R.; Pignatari, G.C.; Beltrão-Braga, P.C.B. The Relevance of Variants With Unknown Significance for Autism Spectrum Disorder Considering the Genotype–Phenotype Interrelationship. Front. Psychiatry 2019, 10, 409. [Google Scholar] [CrossRef] [PubMed]
- Pretzsch, C.M.; Schäfer, T.; Lombardo, M.V.; Warrier, V.; Mann, C.; Bletsch, A.; Chatham, C.H.; Floris, D.L.; Tillmann, J.; Yousaf, A.; et al. Neurobiological Correlates of Change in Adaptive Behavior in Autism. Am. J. Psychiatry 2022, 179, 336–349. [Google Scholar] [CrossRef]
- Halkola, H.; Viktorsson, C.; Jones, E.J.H.; Charman, T.; Falck-Ytter, T.; Bussu, G. Genetic and Environmental Effects on Parent-Rated Adaptive Behavior in Infancy. Dev. Sci. 2025, 28, e70041. [Google Scholar] [CrossRef] [PubMed]
- Provenzano, G.; Chelini, G.; Bozzi, Y. Genetic Control of Social Behavior: Lessons from Mutant Mice. Behav. Brain Res. 2017, 325 Pt B, 237–250. [Google Scholar] [CrossRef] [PubMed]
- LaSalle, J.M. Epigenomic Signatures Reveal Mechanistic Clues and Predictive Markers for Autism Spectrum Disorder. Mol. Psychiatry 2023, 28, 1890–1901. [Google Scholar] [CrossRef] [PubMed]


| Gene | cDNA | Reference Sequence | Zygosity | dbSNP ID | Pathog. (Varsome) | Inheritance (OMIM) |
|---|---|---|---|---|---|---|
| ACTG1 | c.221G > C | NM_001614 | het | rs11549185 | 4 | AD |
| BCAS1 | c.1351-1del | NM_003657 | het | - | 4 | unknown |
| COL4A1 | c.904G > A | NM_001845 | het | rs144795487 | 4 | AD |
| DIAPH1 | c.3149-2_3149-1del | NM_005219 | het | rs1491088674 | 4 | AD/AR |
| DLGAP3 | c.2306dup | NM_001080418 | het | - | 4 | unknown |
| DNM1L | c.1430_1431dup | NM_012062 | het | - | 4 | AD/AR |
| EIF3F | c.694T > G | NM_003754 | hom | rs141976414 | 4 | AR |
| FBN1 * | c.6449G > A | NM_000138 | het | rs794728250 | 4 | AD |
| MED13 | c.68C > T | NM_005121 | het | - | 4 | AD |
| MLC1 ** | c.577C > T | NM_015166 | comp-het | rs555304253 | 4 | AR |
| MLC1 ** | c.581T > G | NM_015166 | comp-het | - | 3 | AR |
| NAA15 | c.1645C > T | NM_057175 | het | rs1179904078 | 5 | AD |
| NKX2-1 | c.658G > C | NM_001079668 | het | - | 4 | AD |
| PCDH15 | c.4673_4676del | NM_001142769 | het | rs483353074 | 4 | AR/DR |
| PCDH15 | c.4601G > A | NM_001142767 | het | - | 5 | AR/DR |
| RHOBTB2 | c.910del | NM_015178 | het | rs1317225352 | 4 | AD |
| SCN1A | c.5113T > C | NM_001165963 | het | - | 4 | AD |
| SDHA * | c.1283_1298del | NM_004168 | het | - | 5 | AD/AR |
| SOD1 | c.272A > C | NM_000454 | het | rs80265967 | 5 | AR/AD |
| TCF4 | c.1706G > A | NM_001083962 | het | - | 5 | AD |
| TRIO | c.2149C > T | NM_007118 | het | - | 4 | AD |
| TTN * | c.33183_33187delinsC | NM_001267550 | het | - | 4 | AD/AR |
| TTN * | c.11183dup | NM_001267550 | het | rs778172350 | 4 | AD/AR |
| WDFY3 | c.1080del | NM_014991 | het | - | 4 | AD |
| Burden Score | COUNT 5,4 | COUNT 5,4,3 | Age | ADI-R A | ADI-R B | ADI-R C | ADOS-2 SA | ADOS-2 RRB | ADOS-2 CSS | |
|---|---|---|---|---|---|---|---|---|---|---|
| Mean ± SEM | 23.5 ± 1.29 | 1.23 ± 0.11 | 5.62 ± 0.21 | 5.84 ± 0.299 | 0.496 ± 0.02 | 0.550 ± 0.02 | 0.355 ± 0.02 | 7.68 ± 0.14 | 7.97 ± 0.16 | 7.93 ± 0.13 |
| 95% CI | 21.0–26.1 | 1.2–1.44 | 5.20–6.30 | 5.25–6.43 | 0.46–0.53 | 0.51–0.59 | 0.32–0.39 | 7.39–7.96 | 7.67–8.28 | 7.67–8.19 |
| IQ | BRIEF | VABS communication | VABS daily living skills | VABS socialization | VABS total score | VABS motor skills | VABS maladaptive internalizing | VABS maladaptive externalizing | ||
| Mean ± SEM | 87.8 ± 2.74 | 69.7 ± 1.49 | 70.9 ± 1.86 | 76.1 ± 1.18 | 70.2 ± 1.28 | 72.2 ± 1.6 | 81.5 ± 1.45 | 18.8 ± 0.26 | 18.1 ± 0.26 | |
| 95% CI | 82.4–93.3 | 66.7–72.6 | 67.2–74.6 | 73.8–78.4 | 67.7–72.7 | 70.1–74.3 | 78.6–84.4 | 18.2–19.3 | 17.6–18.6 |
| Effect | Test | Value | F | Hyp df | Error df | p |
|---|---|---|---|---|---|---|
| Burden Score | Pillai’s Trace | 10.538 | 1.217 | 495 | 255 | 0.039 |
| COUNT 5,4 | Pillai’s Trace | 1.486 | 1.380 | 60 | 140 | 0.063 |
| COUNT 5,4,3 | Pillai’s Trace | 3.836 | 1.249 | 165 | 358 | 0.042 |
| Psycho-Behavioral Parameter | F | df | p | Adjusted R2 |
|---|---|---|---|---|
| ADOS-2-SA | 3.194 | (33) | 0.007 * | 0.580 |
| ADOS-2-CSS | 2.406 | (33) | 0.029 | 0.500 |
| VABS Total score | 3.828 | (33) | 0.002 * | 0.666 |
| VABS Socialization | 3.158 | (33) | 0.007 * | 0.577 |
| VABS Daily Living Skills | 2.343 | (33) | 0.033 | 0.503 |
| Psycho-Behavioral Parameter | F | df | p | Adjusted R2 |
|---|---|---|---|---|
| VABS Communication | 2.480 | (11) | 0.018 | 0.351 |
| VABS Daily living skills | 3.878 | (11) | 0.001 * | 0.426 |
| VABS Total score | 2.863 | (11) | 0.008 | 0.322 |
| VABS Maladaptive behavior externalizing | 2.471 | (11) | 0.019 | 0.250 |
| Burden Score | COUNT 5,4 | COUNT 5,4,3 | |
|---|---|---|---|
| Burden score | - | ||
| COUNT 5,4 | r = 0.851 *** | - | |
| COUNT 5,4,3 | r = 0.633 *** | r = 0.339 *** | - |
Disclaimer/Publisher’s Note: The statements, opinions and data contained in all publications are solely those of the individual author(s) and contributor(s) and not of MDPI and/or the editor(s). MDPI and/or the editor(s) disclaim responsibility for any injury to people or property resulting from any ideas, methods, instructions or products referred to in the content. |
© 2025 by the authors. Licensee MDPI, Basel, Switzerland. This article is an open access article distributed under the terms and conditions of the Creative Commons Attribution (CC BY) license (https://creativecommons.org/licenses/by/4.0/).
Share and Cite
Repiská, G.; Konečný, M.; Krasňanská, G.; Celušáková, H.; Belica, I.; Rašková, B.; Kopčíková, M.; Keményová, P.; Ostatníková, D.; Lakatošová, S. Rare Variant Burden and Behavioral Phenotypes in Children with Autism in Slovakia. Genes 2025, 16, 893. https://doi.org/10.3390/genes16080893
Repiská G, Konečný M, Krasňanská G, Celušáková H, Belica I, Rašková B, Kopčíková M, Keményová P, Ostatníková D, Lakatošová S. Rare Variant Burden and Behavioral Phenotypes in Children with Autism in Slovakia. Genes. 2025; 16(8):893. https://doi.org/10.3390/genes16080893
Chicago/Turabian StyleRepiská, Gabriela, Michal Konečný, Gabriela Krasňanská, Hana Celušáková, Ivan Belica, Barbara Rašková, Mária Kopčíková, Petra Keményová, Daniela Ostatníková, and Silvia Lakatošová. 2025. "Rare Variant Burden and Behavioral Phenotypes in Children with Autism in Slovakia" Genes 16, no. 8: 893. https://doi.org/10.3390/genes16080893
APA StyleRepiská, G., Konečný, M., Krasňanská, G., Celušáková, H., Belica, I., Rašková, B., Kopčíková, M., Keményová, P., Ostatníková, D., & Lakatošová, S. (2025). Rare Variant Burden and Behavioral Phenotypes in Children with Autism in Slovakia. Genes, 16(8), 893. https://doi.org/10.3390/genes16080893

