Transcriptome Sequencing Analysis of the Effects of Metformin on the Regeneration of Planarian Dugesia japonica
Abstract
1. Introduction
2. Materials and Methods
2.1. Materials
2.2. Experimental Animals
2.3. Effect of Metformin Exposure on Planarian Eyespot Regeneration
2.4. Construction and Sequencing of High-Throughput Transcriptome Library
2.5. Bioinformatics Analysis of Transcriptome Sequencing
2.6. Validation of Transcriptome Sequencing Using qPCR
2.7. Cloning of DjCK1α Gene Using RACE
2.8. RNA Interference (RNAi)
2.9. Data Analysis
3. Results
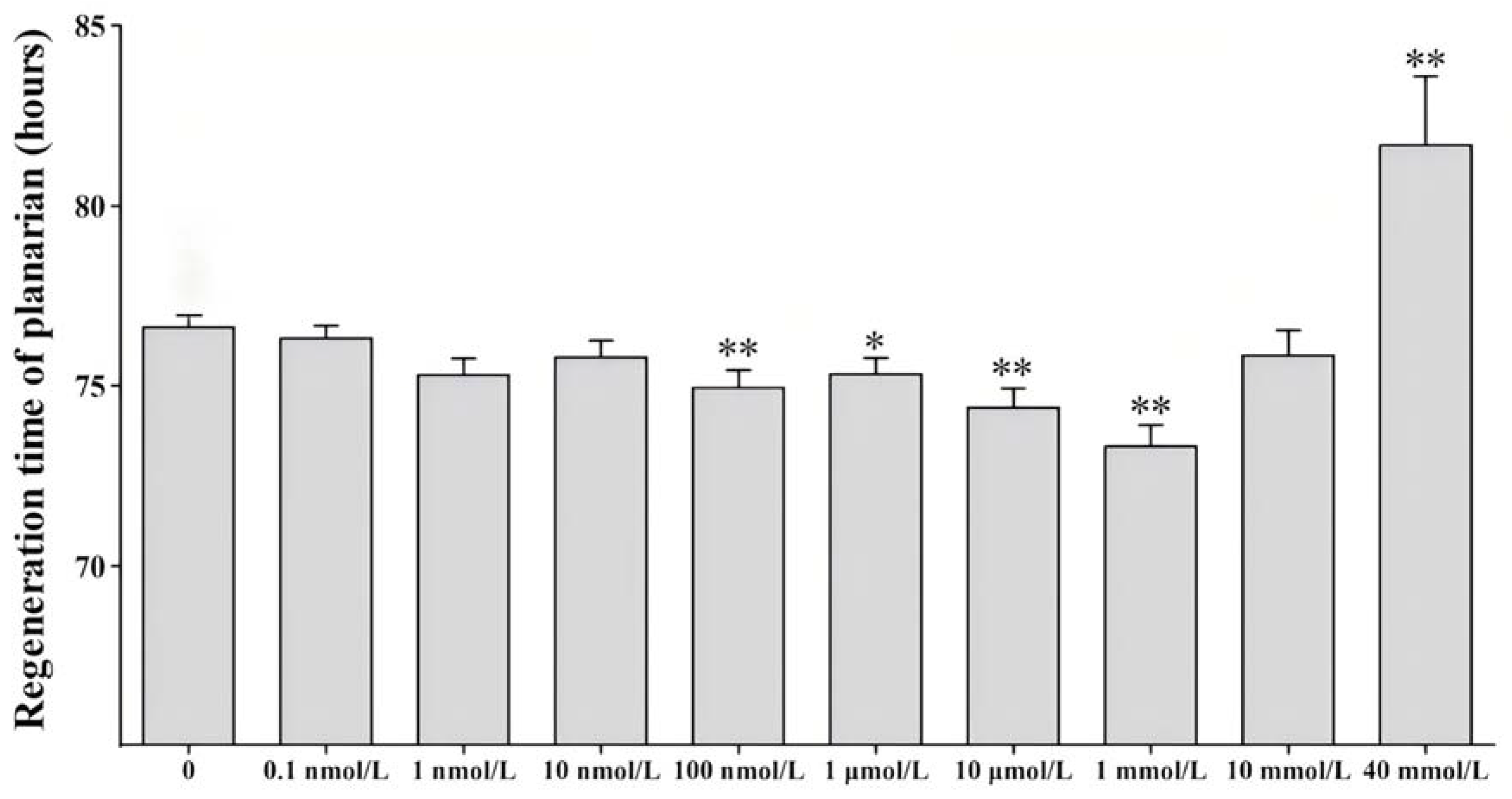
3.1. Effect of Metformin Exposure on the Regeneration of Eyespots in Planarian
3.2. High-Throughput Transcriptome Analysis
3.3. Validation of Transcriptome Sequencing by qPCR
3.4. Cloning of Planarian DjCK1α by RACE
3.5. Functional Study of DjCK1α in Metformin-Regulated Eyespot Regeneration in Planarians
4. Discussion
5. Conclusions
Author Contributions
Funding
Institutional Review Board Statement
Informed Consent Statement
Data Availability Statement
Acknowledgments
Conflicts of Interest
Appendix A
| Primer Name | Sequence (5’-3’) |
|---|---|
| DjCTL-qPCR-F | TCTTCAGGTTCCCAAGGTCT |
| DjCTL-qPCR-R | CTGATTGGAAGAGTAGTGATGGT |
| DjCK1α-qPCR-F | ATTTGGGTGTTGCCGTTTC |
| DjCK1α-qPCR-R | CGGACCGAGTAAATCCATAAC |
| DjGPAT4-qPCR-F | CATCGGATTCTACACCTTTTTGC |
| DjGPAT4-qPCR-R | GAAACTTTGCCACATCCACCA |
| Primer Name | Sequence (5’-3’) |
|---|---|
| 5R-DjCK1α-1 | GATTACGCCAAGCTTGCCTTCAATCCCTGCCATGG |
| 3R-DjCK1α-1 | GATTACGCCAAGCTTGATGTTAGCCGAGCAGATGTT |
| 5R-DjCK1α-2 | GAAGACAAAAATCTGACCGGC |
| 3R-DjCK1α-2 | CTATTTGTTGTTGATTTTGGTTTAT |
| UPM short primer | CTAATACGACTCACTATAGGGC |
| Primer Name | Sequence (5’-3’) |
|---|---|
| DjCK1α-RNAi-F | AACTGCAGGATGTTAGCCGAGCAGATGTT |
| DjCK1α-RNAi-R | CCGCTCGAGCCCCACCTATTCCTCCAAG |
| Samples | Raw Reads | Clean Reads | Clean Base (G) | Q30 (%) | GC (%) |
|---|---|---|---|---|---|
| CK1 | 48,759,412 | 46,671,068 | 7 | 91.09 | 33.83 |
| CK2 | 43,642,502 | 41,630,244 | 6.24 | 91.84 | 33.58 |
| CK3 | 44,409,026 | 42,310,516 | 6.35 | 90.48 | 33.77 |
| L1 | 48,116,106 | 45,890,448 | 6.88 | 90.42 | 33.78 |
| L2 | 44,956,770 | 42,980,480 | 6.45 | 89.99 | 33.72 |
| L3 | 48,757,002 | 46,453,410 | 6.97 | 90.7 | 33.84 |
Appendix B





References
- Knowler, W.C.; Barrett-Connor, E.; Fowler, S.E.; Hamman, R.F.; Lachin, J.M.; Walker, E.A.; Nathan, D.M. Reduction in the incidence of type 2 diabetes with lifestyle intervention or metformin. N. Engl. J. Med. 2002, 346, 393–403. [Google Scholar] [CrossRef]
- Madiraju, A.K.; Qiu, Y.; Perry, R.J.; Rahimi, Y.; Zhang, X.M.; Zhang, D.; Camporez, J.G.; Cline, G.W.; Butrico, G.M.; Kemp, B.E.; et al. Metformin inhibits gluconeogenesis via a redox-dependent mechanism in vivo. Nat. Med. 2018, 24, 1384–1394. [Google Scholar] [CrossRef] [PubMed]
- Bailey, C.J. Metformin: Historical overview. Diabetologia 2017, 60, 1566–1576. [Google Scholar] [CrossRef]
- Foretz, M.; Guigas, B.; Bertrand, L.; Pollak, M.; Viollet, B. Metformin: From mechanisms of action to therapies. Cell Metab. 2014, 20, 953–966. [Google Scholar] [CrossRef] [PubMed]
- Tai, S.; Sun, J.; Zhou, Y.; Zhu, Z.; He, Y.; Chen, M.; Yang, H.; Xiao, Y.; Tu, T.; Tang, L.; et al. Metformin suppresses vascular smooth muscle cell senescence by promoting autophagic flux. J. Adv. Res. 2022, 41, 205–218. [Google Scholar] [CrossRef]
- Pernicova, I.; Korbonits, M. Metformin–mode of action and clinical implications for diabetes and cancer. Nat. Rev. Endocrinol. 2014, 10, 143–156. [Google Scholar] [CrossRef]
- Wang, G.; Wang, Y.; Yang, Q.; Xu, C.; Zheng, Y.; Wang, L.; Wu, J.; Zeng, M.; Luo, M. Metformin prevents methylglyoxal-induced apoptosis by suppressing oxidative stress in vitro and in vivo. Cell Death Dis. 2022, 13, 29. [Google Scholar] [CrossRef]
- Liao, Z.; Li, S.; Lu, S.; Liu, H.; Li, G.; Ma, L.; Luo, R.; Ke, W.; Wang, B.; Xiang, Q.; et al. Metformin facilitates mesenchymal stem cell-derived extracellular nanovesicles release and optimizes therapeutic efficacy in intervertebral disc degeneration. Biomaterials 2021, 274, 120850. [Google Scholar] [CrossRef]
- Zhang, L.; Zhang, J.; Zhu, X.; Jiao, W.; Yang, Y.; Wu, Y.; Yang, L.; Wang, Y. Metformin enhances neural precursor cells migration and functional recovery after ischemic stroke in mice. Exp. Brain Res. 2023, 241, 505–515. [Google Scholar] [CrossRef]
- Fatt, M.; Hsu, K.; He, L.; Wondisford, F.; Miller, F.D.; Kaplan, D.R.; Wang, J. Metformin Acts on Two Different Molecular Pathways to Enhance Adult Neural Precursor Proliferation/Self-Renewal and Differentiation. Stem Cell Rep. 2015, 5, 988–995. [Google Scholar] [CrossRef]
- Xie, F.; Xu, S.; Lu, Y.; Wong, K.F.; Sun, L.; Hasan, K.M.M.; Ma, A.C.H.; Tse, G.; Manno, S.H.C.; Tian, L.; et al. Metformin accelerates zebrafish heart regeneration by inducing autophagy. NPJ Regen. Med. 2021, 6, 62. [Google Scholar] [CrossRef]
- Jiang, L.L.; Liu, L. Effect of metformin on stem cells: Molecular mechanism and clinical prospect. World J. Stem Cells 2020, 12, 1455–1473. [Google Scholar] [CrossRef] [PubMed]
- Deng, S.; Lei, T.; Chen, H.; Zheng, H.; Xiao, Z.; Cai, S.; Hang, Z.; Xiong, W.; Yu, Y.; Zhang, X.; et al. Metformin pre-treatment of stem cells from human exfoliated deciduous teeth promotes migration and angiogenesis of human umbilical vein endothelial cells for tissue engineering. Cytotherapy 2022, 24, 1095–1104. [Google Scholar] [CrossRef] [PubMed]
- Loan, A.; Syal, C.; Lui, M.; He, L.; Wang, J. Promising use of metformin in treating neurological disorders: Biomarker-guided therapies. Neural Regen. Res. 2024, 19, 1045–1055. [Google Scholar] [CrossRef]
- Zhang, H.C.; Shi, C.Y.; Sun, L.Q.; Wang, F.; Chen, G.W. Toxic effects of ionic liquid 1-octyl-3-methylimidazolium bromide on the antioxidant defense system of freshwater planarian, Dugesia japonica. Toxicol. Ind. Health 2016, 32, 1675–1683. [Google Scholar] [CrossRef]
- Alessandra, S.; Rossi, L. Planarian Stem Cell Heterogeneity. Adv. Exp. Med. Biol. 2019, 1123, 39–54. [Google Scholar] [CrossRef] [PubMed]
- Rink, J.C. Stem cell systems and regeneration in planaria. Dev. Genes Evol. 2013, 223, 67–84. [Google Scholar] [CrossRef]
- Saló, E.; Baguñà, J. Regeneration and pattern formation in planarians. I. The pattern of mitosis in anterior and posterior regeneration in Dugesia (G) tigrina, and a new proposal for blastema formation. J. Embryol. Exp. Morphol. 1984, 83, 63–80. [Google Scholar]
- Prá, D.; Lau, A.H.; Knakievicz, T.; Carneiro, F.R.; Erdtmann, B. Environmental genotoxicity assessment of an urban stream using freshwater planarians. Mutat. Res. 2005, 585, 79–85. [Google Scholar] [CrossRef]
- Rodrigues, A.C.M.; Henriques, J.F.; Domingues, I.; Golovko, O.; Žlábek, V.; Barata, C.; Soares, A.; Pestana, J.L.T. Behavioural responses of freshwater planarians after short-term exposure to the insecticide chlorantraniliprole. Aquat. Toxicol. 2016, 170, 371–376. [Google Scholar] [CrossRef]
- Pagán, O.R. Planaria: An animal model that integrates development, regeneration and pharmacology. Int. J. Dev. Biol. 2017, 61, 519–529. [Google Scholar] [CrossRef]
- Prokai, D.; Nguyen, T.; Kamrowski, K.; Chandra, A.; Talamantes, T.; Baxter, L.R.; Prokai, L. An exploratory evaluation of tyrosine hydroxylase inhibition in planaria as a model for parkinsonism. Int. J. Mol. Sci. 2013, 14, 23289–23296. [Google Scholar] [CrossRef]
- Gentile, L.; Cebrià, F.; Bartscherer, K. The planarian flatworm: An in vivo model for stem cell biology and nervous system regeneration. Dis. Models Mech. 2011, 4, 12–19. [Google Scholar] [CrossRef] [PubMed]
- Simanov, D.; Mellaart-Straver, I.; Sormacheva, I.; Berezikov, E. The Flatworm Macrostomum lignano Is a Powerful Model Organism for Ion Channel and Stem Cell Research. Stem Cells Int. 2012, 2012, 167265. [Google Scholar] [CrossRef] [PubMed]
- Mortazavi, A.; Williams, B.A.; McCue, K.; Schaeffer, L.; Wold, B. Mapping and quantifying mammalian transcriptomes by RNA-Seq. Nat. Methods 2008, 5, 621–628. [Google Scholar] [CrossRef]
- Nagalakshmi, U.; Wang, Z.; Waern, K.; Shou, C.; Raha, D.; Gerstein, M.; Snyder, M. The transcriptional landscape of the yeast genome defined by RNA sequencing. Science 2008, 320, 1344–1349. [Google Scholar] [CrossRef]
- Han, Y.; Gao, S.; Muegge, K.; Zhang, W.; Zhou, B. Advanced Applications of RNA Sequencing and Challenges. Bioinform. Biol. Insights 2015, 9, 29–46. [Google Scholar] [CrossRef]
- Nookaew, I.; Papini, M.; Pornputtapong, N.; Scalcinati, G.; Fagerberg, L.; Uhlén, M.; Nielsen, J. A comprehensive comparison of RNA-Seq-based transcriptome analysis from reads to differential gene expression and cross-comparison with microarrays: A case study in Saccharomyces cerevisiae. Nucleic Acids Res. 2012, 40, 10084–10097. [Google Scholar] [CrossRef] [PubMed]
- Suñé-Pou, M.; Prieto-Sánchez, S.; Boyero-Corral, S.; Moreno-Castro, C.; El Yousfi, Y.; Suñé-Negre, J.M.; Hernández-Munain, C.; Suñé, C. Targeting Splicing in the Treatment of Human Disease. Genes 2017, 8, 87. [Google Scholar] [CrossRef]
- Martinez-Montiel, N.; Rosas-Murrieta, N.H.; Anaya Ruiz, M.; Monjaraz-Guzman, E.; Martinez-Contreras, R. Alternative Splicing as a Target for Cancer Treatment. Int. J. Mol. Sci. 2018, 19, 545. [Google Scholar] [CrossRef]
- Huang, Y.; Sun, Y.; Guo, Y.; Ma, M.; Zhang, S.; Tian, Q. Djck1α Is Required for Proper Regeneration and Maintenance of the Medial Tissues in Planarians. Cells 2023, 12, 473. [Google Scholar] [CrossRef] [PubMed]
- Bely, A.E.; Nyberg, K.G. Evolution of animal regeneration: Re-emergence of a field. Trends Ecol. Evol. 2010, 25, 161–170. [Google Scholar] [CrossRef] [PubMed]
- Rittié, L. Cellular mechanisms of skin repair in humans and other mammals. J. Cell Commun. Signal. 2016, 10, 103–120. [Google Scholar] [CrossRef]
- So, J.; Kim, A.; Lee, S.H.; Shin, D. Liver progenitor cell-driven liver regeneration. Exp. Mol. Med. 2020, 52, 1230–1238. [Google Scholar] [CrossRef]
- Vunjak-Novakovic, G.; Tandon, N.; Godier, A.; Maidhof, R.; Marsano, A.; Martens, T.P.; Radisic, M. Challenges in cardiac tissue engineering. Tissue Eng. Part B Rev. 2010, 16, 169–187. [Google Scholar] [CrossRef]
- Srivastava, M. Beyond Casual Resemblance: Rigorous Frameworks for Comparing Regeneration Across Species. Annu. Rev. Cell Dev. Biol. 2021, 37, 415–440. [Google Scholar] [CrossRef]
- Soubigou, A.; Ross, E.G.; Touhami, Y.; Chrismas, N.; Modepalli, V. Regeneration in the sponge Sycon ciliatum partly mimics postlarval development. Development 2020, 147, dev193714. [Google Scholar] [CrossRef] [PubMed]
- Vogg, M.C.; Galliot, B.; Tsiairis, C.D. Model systems for regeneration: Hydra. Development 2019, 146, dev177212. [Google Scholar] [CrossRef]
- Ivankovic, M.; Haneckova, R.; Thommen, A.; Grohme, M.A.; Vila-Farré, M.; Werner, S.; Rink, J.C. Model systems for regeneration: Planarians. Development 2019, 146, dev167684. [Google Scholar] [CrossRef]
- Gehrke, A.R.; Srivastava, M. Neoblasts and the evolution of whole-body regeneration. Curr. Opin. Genet. Dev. 2016, 40, 131–137. [Google Scholar] [CrossRef]
- Fan, Y.; Chai, C.; Li, P.; Zou, X.; Ferrell, J.E., Jr.; Wang, B. Ultrafast distant wound response is essential for whole-body regeneration. Cell 2023, 186, 3606–3618.E16. [Google Scholar] [CrossRef] [PubMed]
- Reddien, P.W.; Sánchez Alvarado, A. Fundamentals of planarian regeneration. Annu. Rev. Cell Dev. Biol. 2004, 20, 725–757. [Google Scholar] [CrossRef] [PubMed]
- Sureda-Gomez, M.; Adell, T. Planarian organizers. Semin. Cell Dev. Biol. 2019, 87, 95–104. [Google Scholar] [CrossRef]
- Zhang, R.; Liang, Q.; Kang, W.; Ge, S. Metformin facilitates the proliferation, migration, and osteogenic differentiation of periodontal ligament stem cells in vitro. Cell Biol. Int. 2020, 44, 70–79. [Google Scholar] [CrossRef]
- Mu, W.; Wang, Z.; Ma, C.; Jiang, Y.; Zhang, N.; Hu, K.; Li, L.; Wang, Z. Metformin promotes the proliferation and differentiation of murine preosteoblast by regulating the expression of sirt6 and oct4. Pharmacol. Res. 2018, 129, 462–474. [Google Scholar] [CrossRef]
- Marycz, K.; Tomaszewski, K.A.; Kornicka, K.; Henry, B.M.; Wroński, S.; Tarasiuk, J.; Maredziak, M. Metformin Decreases Reactive Oxygen Species, Enhances Osteogenic Properties of Adipose-Derived Multipotent Mesenchymal Stem Cells In Vitro, and Increases Bone Density In Vivo. Oxidative Med. Cell. Longev. 2016, 2016, 9785890. [Google Scholar] [CrossRef]
- Pavlidou, T.; Rosina, M.; Fuoco, C.; Gerini, G.; Gargioli, C.; Castagnoli, L.; Cesareni, G. Regulation of myoblast differentiation by metabolic perturbations induced by metformin. PLoS ONE 2017, 12, e0182475. [Google Scholar] [CrossRef]
- Stark, R.; Grzelak, M.; Hadfield, J. RNA sequencing: The teenage years. Nat. Rev. Genet. 2019, 20, 631–656. [Google Scholar] [CrossRef]
- Shu, X.E.; Swanda, R.V.; Qian, S.B. Nutrient Control of mRNA Translation. Annu. Rev. Nutr. 2020, 40, 51–75. [Google Scholar] [CrossRef]
- Qin, Y.F.; Fang, H.M.; Tian, Q.N.; Bao, Z.X.; Lu, P.; Zhao, J.M.; Mai, J.; Zhu, Z.Y.; Shu, L.L.; Zhao, L.; et al. Transcriptome profiling and digital gene expression by deep-sequencing in normal/regenerative tissues of planarian Dugesia japonica. Genomics 2011, 97, 364–371. [Google Scholar] [CrossRef]
- Yang, Y.; Wang, P.; Jin, B.; Dong, Z.; Chen, G.; Liu, D. Screening of Potential Key Transcripts Involved in Planarian Regeneration and Analysis of Its Regeneration Patterns by PacBio Long-Read Sequencing. Front. Genet. 2020, 11, 580. [Google Scholar] [CrossRef] [PubMed]
- Almazan, E.M.P.; Lesko, S.L.; Markey, M.P.; Rouhana, L. Girardia dorotocephala transcriptome sequence, assembly, and validation through characterization of piwi homologs and stem cell progeny markers. Dev. Biol. 2018, 433, 433–447. [Google Scholar] [CrossRef] [PubMed]
- Jin, Z.; Chang, B.; Wei, Y.; Yang, Y.; Zhang, H.; Liu, J.; Piao, L.; Bai, L. Curcumin exerts chondroprotective effects against osteoarthritis by promoting AMPK/PINK1/Parkin-mediated mitophagy. Biomed. Pharmacother. 2022, 151, 113092. [Google Scholar] [CrossRef] [PubMed]
- Zhu, M.; Zeng, Q.; Fan, T.; Lei, Y.; Wang, F.; Zheng, S.; Wang, X.; Zeng, H.; Tan, F.; Sun, N.; et al. Clinical Significance and Immunometabolism Landscapes of a Novel Recurrence-Associated Lipid Metabolism Signature In Early-Stage Lung Adenocarcinoma: A Comprehensive Analysis. Front. Immunol. 2022, 13, 783495. [Google Scholar] [CrossRef]
- Xiang, C.; Liao, Y.; Chen, Z.; Xiao, B.; Zhao, Z.; Li, A.; Xia, Y.; Wang, P.; Li, H.; Xiao, T. Network Pharmacology and Molecular Docking to Elucidate the Potential Mechanism of Ligusticum Chuanxiong Against Osteoarthritis. Front. Pharmacol. 2022, 13, 854215. [Google Scholar] [CrossRef]
- Janovská, P.; Normant, E.; Miskin, H.; Bryja, V. Targeting Casein Kinase 1 (CK1) in Hematological Cancers. Int. J. Mol. Sci. 2020, 21, 9026. [Google Scholar] [CrossRef]
- Hu, Y.; Xu, Z.; Pan, Q.; Ma, L. Casein kinase 1 γ regulates oxidative stress response via interacting with the NADPH dual oxidase complex. PLoS Genet. 2023, 19, e1010740. [Google Scholar] [CrossRef]
- Fang, X.D.; Gao, Q.; Zang, Y.; Qiao, J.H.; Gao, D.M.; Xu, W.Y.; Wang, Y.; Li, D.; Wang, X.B. Host casein kinase 1-mediated phosphorylation modulates phase separation of a rhabdovirus phosphoprotein and virus infection. Elife 2022, 11, e74884. [Google Scholar] [CrossRef]
- Cruciat, C.M. Casein kinase 1 and Wnt/β-catenin signaling. Curr. Opin. Cell Biol. 2014, 31, 46–55. [Google Scholar] [CrossRef]
- Jiang, J. CK1 in Developmental Signaling: Hedgehog and Wnt. Curr. Top. Dev. Biol. 2017, 123, 303–329. [Google Scholar] [CrossRef]
- Wang, Y.; Hu, L.; Tong, X.; Ye, X. Casein kinase 1γ1 inhibits the RIG-I/TLR signaling pathway through phosphorylating p65 and promoting its degradation. J. Immunol. 2014, 192, 1855–1861. [Google Scholar] [CrossRef] [PubMed]
- Beyaert, R.; Vanhaesebroeck, B.; Declercq, W.; Van Lint, J.; Vandenabele, P.; Agostinis, P.; Vandenheede, J.R.; Fiers, W. Casein kinase-1 phosphorylates the p75 tumor necrosis factor receptor and negatively regulates tumor necrosis factor signaling for apoptosis. J. Biol. Chem. 1995, 270, 23293–23299. [Google Scholar] [CrossRef]
- Penas, C.; Govek, E.E.; Fang, Y.; Ramachandran, V.; Daniel, M.; Wang, W.; Maloof, M.E.; Rahaim, R.J.; Bibian, M.; Kawauchi, D.; et al. Casein kinase 1δ is an APC/C(Cdh1) substrate that regulates cerebellar granule cell neurogenesis. Cell Rep. 2015, 11, 249–260. [Google Scholar] [CrossRef] [PubMed]
- Magliozzi, R.; Low, T.Y.; Weijts, B.G.; Cheng, T.; Spanjaard, E.; Mohammed, S.; van Veen, A.; Ovaa, H.; de Rooij, J.; Zwartkruis, F.J.; et al. Control of epithelial cell migration and invasion by the IKKβ- and CK1α-mediated degradation of RAPGEF2. Dev. Cell 2013, 27, 574–585. [Google Scholar] [CrossRef] [PubMed]
- Ma, T.; Tian, X.; Zhang, B.; Li, M.; Wang, Y.; Yang, C.; Wu, J.; Wei, X.; Qu, Q.; Yu, Y.; et al. Low-dose metformin targets the lysosomal AMPK pathway through PEN2. Nature 2022, 603, 159–165. [Google Scholar] [CrossRef]
- Wang, Y.; An, H.; Liu, T.; Qin, C.; Sesaki, H.; Guo, S.; Radovick, S.; Hussain, M.; Maheshwari, A.; Wondisford, F.E.; et al. Metformin Improves Mitochondrial Respiratory Activity through Activation of AMPK. Cell Rep. 2019, 29, 1511–1523.e5. [Google Scholar] [CrossRef]
- Zhang, K.; Wang, T.; Sun, G.F.; Xiao, J.X.; Jiang, L.P.; Tou, F.F.; Qu, X.H.; Han, X.J. Metformin protects against retinal ischemia/reperfusion injury through AMPK-mediated mitochondrial fusion. Free Radic. Biol. Med. 2023, 205, 47–61. [Google Scholar] [CrossRef]
- Cheng, D.; Xu, Q.; Wang, Y.; Li, G.; Sun, W.; Ma, D.; Zhou, S.; Liu, Y.; Han, L.; Ni, C. Metformin attenuates silica-induced pulmonary fibrosis via AMPK signaling. J. Transl. Med. 2021, 19, 349. [Google Scholar] [CrossRef]
- Um, J.H.; Yang, S.; Yamazaki, S.; Kang, H.; Viollet, B.; Foretz, M.; Chung, J.H. Activation of 5′-AMP-activated kinase with diabetes drug metformin induces casein kinase Iepsilon (CKIepsilon)-dependent degradation of clock protein mPer2. J. Biol. Chem. 2007, 282, 20794–20798. [Google Scholar] [CrossRef]
- Khorraminejad-Shirazi, M.; Farahmandnia, M.; Kardeh, B.; Estedlal, A.; Kardeh, S.; Monabati, A. Aging and stem cell therapy: AMPK as an applicable pharmacological target for rejuvenation of aged stem cells and achieving higher efficacy in stem cell therapy. Hematol./Oncol. Stem Cell Ther. 2018, 11, 189–194. [Google Scholar] [CrossRef]
- Ambasta, R.K.; Kohli, H.; Kumar, P. Multiple therapeutic effect of endothelial progenitor cell regulated by drugs in diabetes and diabetes related disorder. J. Transl. Med. 2017, 15, 185. [Google Scholar] [CrossRef] [PubMed]
- Asahara, T.; Kalka, C.; Isner, J.M. Stem cell therapy and gene transfer for regeneration. Gene Ther. 2000, 7, 451–457. [Google Scholar] [CrossRef] [PubMed]
- Shahrezaee, M.; Salehi, M.; Keshtkari, S.; Oryan, A.; Kamali, A.; Shekarchi, B. In vitro and in vivo investigation of PLA/PCL scaffold coated with metformin-loaded gelatin nanocarriers in regeneration of critical-sized bone defects. Nanomed. Nanotechnol. Biol. Med. 2018, 14, 2061–2073. [Google Scholar] [CrossRef]








Disclaimer/Publisher’s Note: The statements, opinions and data contained in all publications are solely those of the individual author(s) and contributor(s) and not of MDPI and/or the editor(s). MDPI and/or the editor(s) disclaim responsibility for any injury to people or property resulting from any ideas, methods, instructions or products referred to in the content. |
© 2025 by the authors. Licensee MDPI, Basel, Switzerland. This article is an open access article distributed under the terms and conditions of the Creative Commons Attribution (CC BY) license (https://creativecommons.org/licenses/by/4.0/).
Share and Cite
Zhao, Z.; Yin, D.; Yang, K.; Zhang, C.; Song, L.; Xu, Z. Transcriptome Sequencing Analysis of the Effects of Metformin on the Regeneration of Planarian Dugesia japonica. Genes 2025, 16, 365. https://doi.org/10.3390/genes16040365
Zhao Z, Yin D, Yang K, Zhang C, Song L, Xu Z. Transcriptome Sequencing Analysis of the Effects of Metformin on the Regeneration of Planarian Dugesia japonica. Genes. 2025; 16(4):365. https://doi.org/10.3390/genes16040365
Chicago/Turabian StyleZhao, Zelong, Dandan Yin, Kexin Yang, Chunmei Zhang, Linxia Song, and Zhenbiao Xu. 2025. "Transcriptome Sequencing Analysis of the Effects of Metformin on the Regeneration of Planarian Dugesia japonica" Genes 16, no. 4: 365. https://doi.org/10.3390/genes16040365
APA StyleZhao, Z., Yin, D., Yang, K., Zhang, C., Song, L., & Xu, Z. (2025). Transcriptome Sequencing Analysis of the Effects of Metformin on the Regeneration of Planarian Dugesia japonica. Genes, 16(4), 365. https://doi.org/10.3390/genes16040365

