Incidence and Impact of Myocarditis in Genetic Cardiomyopathies: Inflammation as a Potential Therapeutic Target
Highlights
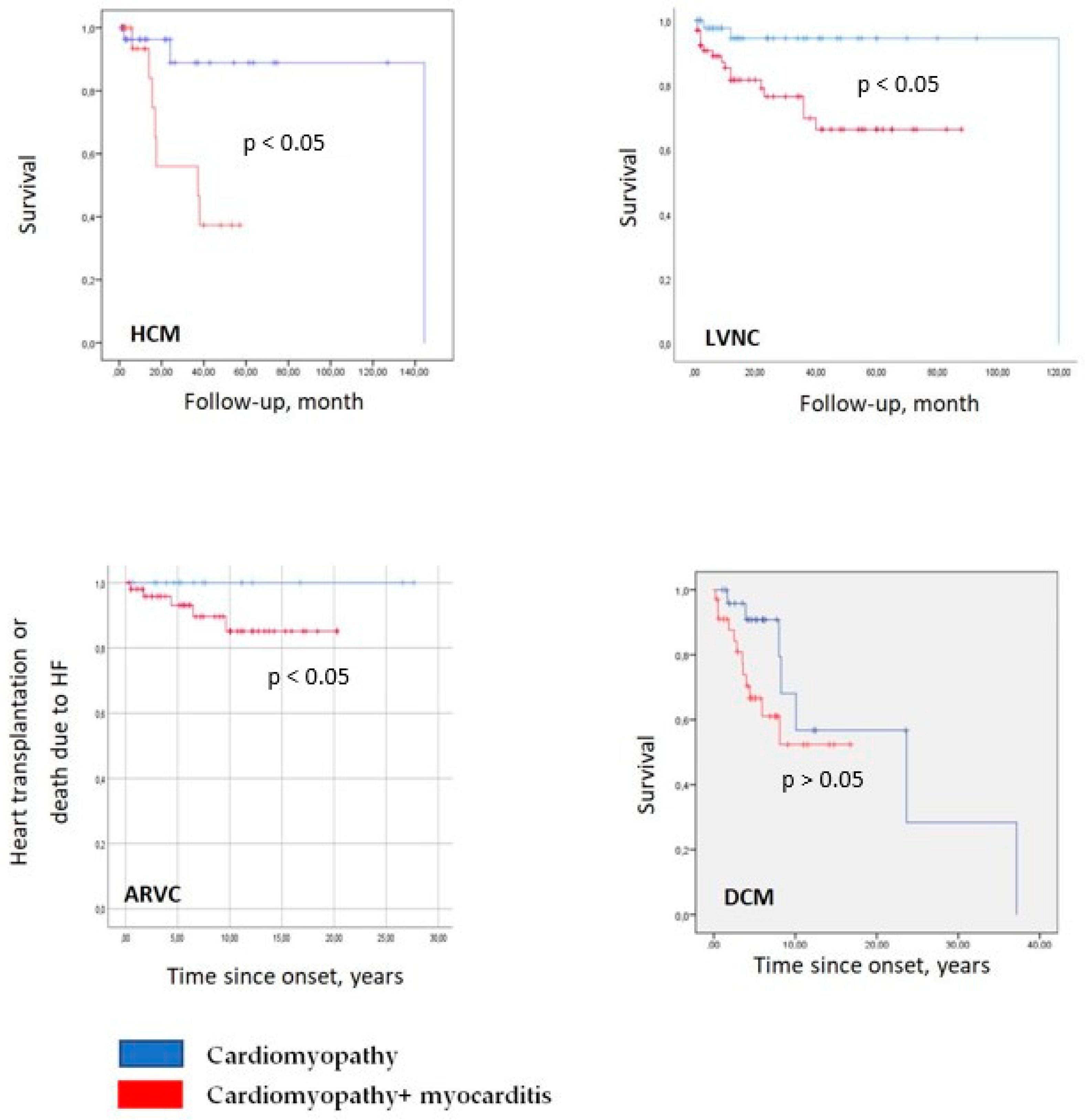
- We demonstrate extremely high incidences of myocarditis in patients with genetic cardiomyopathies (from 30.9% to 74.3% depending on the type of cardiomyopathy);
- Myocarditis significantly deteriorates the clinical course of cardiomyopathy and negatively affects outcomes.
- In patients with genetic cardiomyopathies, myocarditis should be actively diagnosed and treated, as it is an important therapeutic target.
- The main clinical signs of myocarditis in patients with cardiomyopathies are the decompensation of heart failure and the onset or worsening of arrhythmias. Patients with mutations in desmoplakin, desmin, filamin C, and MYH7 are more predisposed to superimposed myocarditis.
- If myocarditis is diagnosed in a patient with cardiomyopathy, it is reasonable to consider immunosuppressive therapy, as this can stabilize and, in some cases, improve the patient's condition and reduce the risk of adverse outcomes.
Abstract
1. Introduction
2. Materials and Methods
- (1)
- Bidirectional direct sequencing was conducted on an ABI 3730 XL automated sequencer (Applied Biosystems).
- (2)
- High-throughput semiconductor sequencing was conducted on the PGM IonTorrent platform (Thermo Fisher Scientific, Waltham, Massachusetts, USA). A panel of genes for high-throughput sequencing was designed using AmpliSeq technology (Thermo Fisher Scientific). The presence of the mutations was confirmed by Sanger sequencing.
- (3)
- Whole exome sequencing was conducted on the NextSeq550Dx instrument (Illumina, San Diego, California, USA).
3. Results
3.1. The Primary Myocardial Hypertrophy Syndrome
3.2. Left Ventricular Non-Compaction
3.3. Arrhythmogenic Right Ventricular Cardiomyopathy
3.4. Primary Dilated Cardiomyopathy
3.5. Restrictive Cardiomyopathy
4. Discussion
5. Conclusions
6. Study Limitations
Author Contributions
Funding
Institutional Review Board Statement
Informed Consent Statement
Data Availability Statement
Conflicts of Interest
Appendix A
- AARS2, ABCC6, ABCC9, ABLI, ACAD9, ACADVL, ACTAI, ACTA2, ACTCI, ACTN2, ACVR2B, ACVRLI, ADAMTS2, AGK, AGI, AGPAT2, AKAP9, ALMSI, ALPK3, ANK2, ANO5, APOAI, ATPAF2, BAG3, BAG5, BRAF, CACNA1C, CACNA1D, CACNB2, CALMI, CALM2, CALM3, CALR3, CAPN3, CASQ2, CASZI, CAV3, CBL, CDH2, CHRM2, CDK13, CFAP45, CEAP52, CFCI, CHD7, CHST14, CITED2, COLIAI, COLIA2, COLAI, COLSAI, COL5A2, COXIS, CRELDI, CPT2, CRYAB, CSRP3, CTNNA3, DBH, DCHS1, DES, DMD, DNAJCI9, DOLK, DPM3, DSC2, DSG2, DSP, DTNA, DYSF, EEF1A2, ELAC2, ELN, EMD, ENG, ENPPI, EPG5, EPHB4, ETEA, ETFDH, EYA4, FAH, FBN1, FBN2, FBXL4, FBX032, FHL1, FHOD3, FKBP14, FKRP, FKTN, FLNA, FLNC, FLT4, FOXD4, FOXFI, FOXREDI, FXN, GAA, GATA4, GATAS, GATA6, GATAD1, GATC, GBE1, GDF2, GFMI, GLA, GLB1, GJA1, GJA5, GMPPB, GNAI2, GNB5, GPD1L, GSK3B, GTPBP3, GUSB, HADHA, HAND1, HAND2, HCN4, HFE, HRAS, IDUA, ILK, CRPPA\ISPD, JAG1, JPH2, JUP, KCNAS, KCNEI, KCNE2, KCND3, KCNH2, KCNJ2, KCNJ5, KCNQI, KLHL24, KRAS, LAMA2, LAMA4, LAMP2, LARGEI, LDB3, LEMD2, LMNA, LMOD2, LOX, LRRC1O, LZTR1, MAP2K1, MAP2K2, MAP3K8, MAPK1, MED13L, MEAP5, MIBI, MIPEP, MLYCD, MMP21, MNS1, MRAS, MRPL3, MRPL44, MRPS22, MTO1, MYBPC3, MYBPHL, MYH6, MYH7, MYHIL, MYL2, MYL3, MYL4, MYLK, MYLK2, MYO18B, MYOT, MYOZ2, MYPN, MYRE, NDUFAF2, NEXN, NFI, NKX2-5, NKX2-6, NODAL, NONO, NOSIAP, NOTCH1, NOTCH2, NPPA, NR2F2, NRAP, NUPI55, PARS2, PCCA, PCCB, PKDILI, PKP2, PLDI, PLEC, PLEKHM2, PLN, PNPLA2, POMTI, PPA2, PPCS, PPPICB, PPPIRI3L, PRDM6, PRDMI6, PRKAG2, PRKDI, PRKGI, PSENI, PSEN2, PTPNII, ORSLI, RAFI, RASAI, RASA2, RBCKI, RBM20, RITI, RMNDI, RPL3L, RRAS, RRAS2, RYR2, SALL4, SCN10A, SCN1B, SCN2B, SCN3B, SCN4B, SCN5A, SCNNIB, SCNNIG, SCO1, SCO2, SDHA, SELENON, SGCA, SGCB, SGCD, SGCG, SHOC2, SKI, SLC2A10, SIC22A5, SLC25420, SLC2543, SLC2544, SLC39A13, SMAD2, SMAD3, SMAD4, SMAD6, SMCHDI, SNTA1, SOS1, SOS2, SPEG, SPRED1, SPRED2, STAG2, TAB2, TANGO2, TAZ, TBXI, TBX20, TBX3, TCAP, TECRL, TFAP2B, TGFB2, TGFB3, TGFBR1, TGFBR2, TLL1, TMEM43, TMEM70, TNNCI, TINZ3, TNNI3K, TNNT2, TNXB, TOR1AIP1, TPM1, TRDN, TRIM32, TRPM4, TSFM, TTN, TTR, VARS2, VCL, VCP, ZFPM2, ZIC3.
References
- Suzuki, H.; Sumiyoshi, M.; Kawai, S.; Takagi, A.; Wada, A.; Nakazato, Y.; Daida, H.; Sakurai, H.; Yamaguchi, H. Arrhythmogenic right ventricular cardiomyopathy with an initial manifestation of severe left ventricular impairment and normal contraction of the right ventricle. Jpn. Circ. J. 2000, 64, 209–213. [Google Scholar] [CrossRef] [PubMed][Green Version]
- Maron, B.J.; Towbin, J.A.; Thiene, G.; Antzelevitch, C.; Corrado, D.; Arnett, D.; Moss, A.J.; Seidman, C.E.; Young, J.B.; American Heart Association; et al. Contemporary definitions and classification of the cardiomyopathies: An American Heart Association Scientific Statement from the Council on Clinical Cardiology, Heart Failure and Transplantation Committee; Quality of Care and Outcomes Research and Functional Genomics and Translational Biology Interdisciplinary Working Groups; and Council on Epidemiology and Prevention. Circulation 2006, 113, 1807–1816. [Google Scholar] [CrossRef] [PubMed]
- Dobranici, M.; Buzea, A.; Popescu, R.; Chirila, L. Genetic disorder or toxoplasma myocarditis: A case report of dilated cardiomyopathy with hypertrabeculation in a young asymptomatic woman. J. Med. Life 2012, 5, 110–113. [Google Scholar] [PubMed] [PubMed Central]
- Bariani, R.; Rigato, I.; Cipriani, A.; Marinas, M.B.; Celeghin, R.; Basso, C.; Corrado, D.; Pilichou, K.; Bauce, B. Myocarditis-like Episodes in Patients with Arrhythmogenic Cardiomyopathy: A Systematic Review on the So-Called Hot-Phase of the Disease. Biomolecules 2022, 12, 1324. [Google Scholar] [CrossRef] [PubMed] [PubMed Central]
- Elliott, J.F.; Liu, J.; Yuan, Z.-N.; Bautista-Lopez, N.; Wallbank, S.L.; Suzuki, K.; Rayner, D.; Nation, P.; Robertson, M.A.; Liu, G.; et al. Autoimmune cardiomyopathy and heart block develop spontaneously in HLA-DQ8 transgenic IAβ knockout NOD mice. Proc. Natl. Acad. Sci. USA 2003, 100, 13447–13452. [Google Scholar] [CrossRef] [PubMed] [PubMed Central]
- Bondue, A.; Arbustini, E.; Bianco, A.; Ciccarelli, M.; Dawson, D.; De Rosa, M.; Hamdani, N.; Hilfiker-Kleiner, D.; Meder, B.; Leite-Moreira, A.F.; et al. Complex roads from genotype to phenotype in dilated cardiomyopathy: Scientific update from the Working Group of Myocardial Function of the European Society of Cardiology. Cardiovasc. Res. 2018, 114, 1287–1303. [Google Scholar] [CrossRef] [PubMed] [PubMed Central]
- Li, D.; Liu, Y.; Maruyama, M.; Zhu, W.; Chen, H.; Zhang, W.; Reuter, S.; Lin, S.-F.; Haneline, L.S.; Field, L.J.; et al. Restrictive loss of plakoglobin in cardiomyocytes leads to arrhythmogenic cardiomyopathy. Hum. Mol. Genet. 2011, 20, 4582–4596. [Google Scholar] [CrossRef] [PubMed] [PubMed Central]
- Mitrofanova, L.B.; Beshchuk, O.V.; Naumova, E.I. The diagnostics of arrhythmogenic right ventricular dysplasia by an endomiocardial biopsy and the role of viruses in the pathogenesis of disease. Arkh Patol. 2011, 73, 27–30. [Google Scholar] [PubMed]
- Bruno, A.P.; De Simone, F.I.; Iorio, V.; De Marco, M.; Khalili, K.; Sariyer, I.K.; Capunzo, M.; Nori, S.L.; Rosati, A. HIV-1 Tat protein induces glial cell autophagy through enhancement of BAG3 protein levels. Cell Cycle 2014, 13, 3640–3644. [Google Scholar] [CrossRef] [PubMed] [PubMed Central]
- Basso, C.; Thiene, G.; Corrado, D.; Angelini, A.; Nava, A.; Valente, M. Arrhythmogenic right ventricular cardiomyopathy: Dysplasia, dystrophy, or myocarditis? Circulation 1996, 94, 983–991. [Google Scholar] [CrossRef] [PubMed]
- Bermúdez-Jiménez, F.J.; Carriel, V.; Brodehl, A.; Alaminos, M.; Campos, A.; Schirmer, I.; Milting, H.; Abril, B.; Álvarez, M.; López-Fernández, S.; et al. Novel Desmin Mutation p.Glu401Asp Impairs Filament Formation, Disrupts Cell Membrane Integrity, and Causes Severe Arrhythmogenic Left Ventricular Cardiomyopathy/Dysplasia. Circulation 2018, 137, 1595–1610. [Google Scholar] [CrossRef] [PubMed]
- Fisher, D.Z.; DiSalvo, T.G.; Dec, G.W.; DeSanctis, R.W. Transient left ventricular aneurysm in a patient with hypertrophic cardiomyopathy and myocarditis. Clin. Cardiol. 1993, 16, 253–256. [Google Scholar] [CrossRef] [PubMed]
- Graziano, F.; Zorzi, A.; Cipriani, A.; De Lazzari, M.; Bauce, B.; Rigato, I.; Brunetti, G.; Pilichou, K.; Basso, C.; Marra, M.P.; et al. The 2020 “Padua Criteria” for Diagnosis and Phenotype Characterization of Arrhythmogenic Cardiomyopathy in Clinical Practice. J. Clin. Med. 2022, 11, 279. [Google Scholar] [CrossRef] [PubMed] [PubMed Central]
- Yogasundaram, H.; Nikhanj, A.; Putko, B.N.; Boutin, M.; Jain-Ghai, S.; Khan, A.; Auray-Blais, C.; West, M.L.; Oudit, G.Y.; Yogasundaram, H.; et al. Elevated Inflammatory Plasma Biomarkers in Patients With Fabry Disease: A Critical Link to Heart Failure With Preserved Ejection Fraction. J. Am. Heart Assoc. 2018, 7, e009098. [Google Scholar] [CrossRef] [PubMed] [PubMed Central]
- Petri, B.; Broermann, A.; Li, H.; Khandoga, A.G.; Zarbock, A.; Krombach, F.; Goerge, T.; Schneider, S.W.; Jones, C.; Nieswandt, B.; et al. von Willebrand factor promotes leukocyte extravasation. Blood 2010, 116, 4712–4719. [Google Scholar] [CrossRef] [PubMed]
- Frustaci, A.; Verardo, R.; Caldarulo, M.; Acconcia, M.C.; Russo, M.A.; Chimenti, C. Myocarditis in hypertrophic cardiomyopathy patients presenting acute clinical deterioration. Eur. Heart J. 2007, 28, 733–740. [Google Scholar] [CrossRef] [PubMed]
- Lutokhina, Y.; Blagova, O.; Nedostup, A.; Alexandrova, S.; Shestak, A.; Zaklyazminskaya, E. Clinical Classification of Arrhythmogenic Right Ventricular Cardiomyopathy. Pulse 2020, 8, 21–30. [Google Scholar] [CrossRef] [PubMed] [PubMed Central]
- Kühl, U.; Lassner, D.; Wallaschek, N.; Gross, U.M.; Krueger, G.R.; Seeberg, B.; Kaufer, B.B.; Escher, F.; Poller, W.; Schultheiss, H. Chromosomally integrated human herpesvirus 6 in heart failure: Prevalence and treatment. Eur. J. Hear. Fail. 2015, 17, 9–19. [Google Scholar] [CrossRef] [PubMed]
- Bojjireddy, N.; Botyanszki, J.; Hammond, G.; Creech, D.; Peterson, R.; Kemp, D.C.; Snead, M.; Brown, R.; Morrison, A.; Wilson, S.; et al. Pharmacological and genetic targeting of the PI4KA enzyme reveals its important role in maintaining plasma membrane phosphatidylinositol 4-phosphate and phosphatidylinositol 4,5-bisphosphate levels. J. Biol. Chem. 2014, 289, 6120–6132. [Google Scholar] [CrossRef] [PubMed] [PubMed Central]
- Petersen, S.E.; Petersen, S.E.; Jensen, B.; Jensen, B.; Aung, N.; Aung, N.; Friedrich, M.G.; Friedrich, M.G.; McMahon, C.J.; McMahon, C.J.; et al. Excessive Trabeculation of the Left Ventricle. JACC Cardiovasc. Imaging 2023, 16, 408–425. [Google Scholar] [CrossRef] [PubMed] [PubMed Central]
- Bonnet, M.; Craighero, F.; Harbaoui, B. Acute Myocarditis with Ventricular Noncompaction in a COVID-19 Patient. JACC Heart Fail. 2020, 8, 599–600. [Google Scholar] [CrossRef] [PubMed] [PubMed Central]
- Tavora, F.; Zhang, M.; Franco, M.; Oliveira, J.B.; Li, L.; Fowler, D.; Zhao, Z.; Cresswell, N.; Burke, A. Distribution of biventricular disease in arrhythmogenic cardiomyopathy: An autopsy study. Hum. Pathol. 2012, 43, 592–596. [Google Scholar] [CrossRef] [PubMed]
- Codd, M.B.; Sugrue, D.D.; Gersh, B.J.; Melton, L.J. Epidemiology of idiopathic dilated and hypertrophic cardiomyopathy. A population-based study in Olmsted County, Minnesota, 1975–1984. Circulation 1989, 80, 564–572. [Google Scholar] [CrossRef] [PubMed]
- Campian, M.E.; Hardziyenka, M.; de Bruin, K.; van Eck-Smit, B.L.; de Bakker, J.M.; Verberne, H.J.; Tan, H.L. Early inflammatory response during the development of right ventricular heart failure in a rat model. Eur. J. Heart Fail. 2010, 12, 653–658. [Google Scholar] [CrossRef] [PubMed]
- Savvatis, K.; Müller, I.; Fröhlich, M.; Pappritz, K.; Zietsch, C.; Hamdani, N.; Grote, K.; Schieffer, B.; Klingel, K.; Van Linthout, S.; et al. Interleukin-6 receptor inhibition modulates the immune reaction and restores titin phosphorylation in experimental myocarditis. Basic Res. Cardiol. 2014, 109, 449. [Google Scholar] [CrossRef] [PubMed]
- Oliva, A.; Grassi, S.; Pinchi, V.; Cazzato, F.; Coll, M.; Alcalde, M.; Vallverdú-Prats, M.; Perez-Serra, A.; Martínez-Barrios, E.; Cesar, S.; et al. Structural Heart Alterations in Brugada Syndrome: Is it Really a Channelopathy? A Systematic Review. J. Clin. Med. 2022, 11, 4406. [Google Scholar] [CrossRef] [PubMed] [PubMed Central]
- Lutokhina, Y.A.; Blagova, O.V.; Shestak, A.G.; Polyak, M.; Bukaeva, A.A.; Zaklyazminskaya, E.V.; Varionchik, N.V.; Sedov, V.P.; Kogan, E.A.; Alexandrova, S.; et al. Combination of Arrhythmogenic Right Ventricular Dysplasia with Left Ventricular Non-Compaction as a Special Form of Cardiomyopathy: Clinic, Diagnostics, Genetic, Natural Course. Ann. Russ. Acad. Med. Sci. 2020, 75, 594–604. [Google Scholar] [CrossRef]
- Arutyunov, G.P.; Paleev, F.N.; Moiseeva, O.M.; Dragunov, D.O.; Sokolova, A.V.; Arutyunov, A.G.; Zhirov, I.V.; Blagova, O.V.; Privalova, E.V.; Gabrusenko, S.A.; et al. 2020 Clinical practice guidelines for Myocarditis in adults. Russ. J. Cardiol. 2021, 26, 4790. (In Russian) [Google Scholar] [CrossRef]
- Blagova, O.V.; Osipova, Y.u.V.; Nedostup, A.V.; Kogan, E.A.; Sulimov, V.A. Clinical, laboratory and instrumental criteria for myocarditis, established in comparison with myocardial biopsy: A non-invasive diagnostic algorithm. Ther. Arch. 2017, 89, 30–40. (In Russian) [Google Scholar] [CrossRef]
- Ferreira, V.M.; Schulz-Menger, J.; Holmvang, G.; Kramer, C.M.; Carbone, I.; Sechtem, U.; Kindermann, I.; Gutberlet, M.; Cooper, L.T.; Liu, P.; et al. Cardiovascular Magnetic Resonance in Nonischemic Myocardial Inflammation: Expert Recommendations. J. Am. Coll. Cardiol. 2018, 72, 3158–3176. [Google Scholar] [CrossRef] [PubMed]
- Patrianakos, A.; Protonotarios, N.; Nyktari, E.; Pagonidis, K.; Tsatsopoulou, A.; Parthenakis, F.; Vardas, P. Arrhythmogenic right ventricular cardiomyopathy/dysplasia and troponin release. Myocarditis or the “hot phase” of the disease? Int. J. Cardiol. 2012, 157, e26–e28. [Google Scholar] [CrossRef] [PubMed]
- Lines, M.A.; Hewson, S.; Halliday, W.; Sabatini, P.J.; Stockley, T.; Dipchand, A.I.; Bowdin, S.; Siriwardena, K. Danon Disease Due to a Novel LAMP2 Microduplication. JIMD Rep. 2014, 14, 11–16. [Google Scholar] [CrossRef] [PubMed] [PubMed Central]
- Popa, M.-A.; Klingel, K.; Hadamitzky, M.; Deisenhofer, I.; Hessling, G. An unusual case of severe myocarditis in a genetic cardiomyopathy: A case report. Eur. Heart J.—Case Rep. 2020, 4, 1–7. [Google Scholar] [CrossRef] [PubMed] [PubMed Central]
- Gao, S.; Puthenvedu, D.; Lombardi, R.; Chen, S.N. Established and Emerging Mechanisms in the Pathogenesis of Arrhythmogenic Cardiomyopathy: A Multifaceted Disease. Int. J. Mol. Sci. 2020, 21, 6320. [Google Scholar] [CrossRef] [PubMed] [PubMed Central]
- Zhang, J.; Liang, Y.; Bradford, W.H.; Sheikh, F. Desmosomes: Emerging pathways and non-canonical functions in cardiac arrhythmias and disease. Biophys. Rev. 2021, 13, 697–706. [Google Scholar] [CrossRef] [PubMed] [PubMed Central]
- Sequeira, V.; Nijenkamp, L.L.; Regan, J.A.; van der Velden, J. The physiological role of cardiac cytoskeleton and its alterations in heart failure. Biochim. Biophys. Acta (BBA)—Biomembr. 2014, 1838, 700–722. [Google Scholar] [CrossRef] [PubMed]
- Li, Y.; Heuser, J.S.; Cunningham, L.C.; Kosanke, S.D.; Cunningham, M.W. Mimicry and antibody-mediated cell signaling in autoimmune myocarditis. J. Immunol. 2006, 177, 8234–8240. [Google Scholar] [CrossRef] [PubMed]
- Caforio, A.L.P.; Kaski, J.P.; Gimeno, J.R.; Elliott, P.M.; Laroche, C.; Tavazzi, L.; Tendera, M.; Fu, M.; Sala, S.; Seferovic, P.M.; et al. Endomyocardial biopsy: Safety and prognostic utility in paediatric and adult myocarditis in the European Society of Cardiology EURObservational Research Programme Cardiomyopathy and Myocarditis Long-Term Registry. Eur. Heart J. 2024, 45, 2548–2569. [Google Scholar] [CrossRef] [PubMed]
- Arbelo, E.; Protonotarios, A.; Gimeno, J.R.; Arbustini, E.; Barriales-Villa, R.; Basso, C.; Bezzina, C.R.; Biagini, E.; Blom, N.A.; de Boer, R.A.; et al. 2023 ESC Guidelines for the management of cardiomyopathies: Developed by the task force on the management of cardiomyopathies of the European Society of Cardiology (ESC). Eur. Heart J. 2023, 44, 3503–3626. [Google Scholar] [CrossRef] [PubMed]







| Investigation | HCM | LNVC | ARVC | DCM | RCM |
|---|---|---|---|---|---|
| Determination of anti-cardiac Ab titres in blood serum, % | 43.0 | 81.6 | 85.7 | 86.7 | 46.9 |
| Morphological investigation of myocardium with determination of cardiotropic virus genome, % | 30.0 | 20.8 | 12.9 | 33.3 | 36.7 |
| DNA diagnostic, % | 96.0 | 41.0 | 100.0 | 71.7 | 59.4 |
| Cardiac MRI, % | 31.0 | 84.0 | 91.4 | 30.0 | 37.5 |
| Cardiac CT, % | 32.0 | 68.0 | 27.1 | 55.0 | 12.5 |
| Myocardial scintigraphy, % | 11.0 | 21.6 | 7.1 | 18.3 | 18.8 |
| Coronary angiography, % | 18.0 | 27.2 | 21.4 | 43.3 | 21.9 |
| Characteristic | Myocarditis+ | Myocarditis− | p |
|---|---|---|---|
| N (%) | 21 (30.9) | 47 (69.1) | - |
| Age, years | 44.6 ± 12.9 | 48.8 ± 14.5 | >0.05 |
| Acute onset, n (%) | 13 (61.9) | 2 (4.3) | <0.001 |
| Relation to prior infection, n (%) | 13 (61.9) | 1 (2.1) | <0.001 |
| Myocardial morphological investigation, n (%) | 11 (52.4) | 9 (19.1) | 0.009 |
| Viral genome in myocardium, n (% of patients with myocardial morphological examination) | 7 (63.6) | 5 (55.6) | >0.05 |
| AbCM, titre | 1:80 [1:80; 1:80–1:160] | 1:80 [1:40; 1:80] | 0.017 |
| Pathogenic/likely pathogenic variants, n (%) | 6 (28.6) | 8 (17.0) | >0.05 |
| LV EF (EchoCG), % | 51.9 ± 16.3 | 57.8 ± 11.2 | >0.05 |
| LV EF (EchoCG) ≤ 45%, n (%) | 8 (38.1) | 7 (14.9) | 0.032 |
| RV hypertrophy, n (%) | 4 (19) | 2 (4.3) | 0.059 |
| Maximum LV wall thickness (MSCT), mm | 18.0 ± 3.0 | 23.1 ± 6.5 | 0.038 |
| NYHA CHF class | 3 [2; 3] | 2 [1; 3] | 0.026 |
| Presence of atrial fibrillation, n (%) | 6 (28.6) | 25 (53.2) | 0.044 |
| PVCs per day, pcs. | 289 [14; 3513] | 63 [10; 404] | >0.05 |
| Presence of VT, n (%) | 11 (52.4) | 23 (48.9) | >0.05 |
| ICD implantation, n (%) | 6 (28.6) | 11 (23.4) | >0.05 |
| Death, n (%) | 7 (33.3) | 3 (6.4) | 0.01 |
| Characteristic | Myocarditis+ | Myocarditis− | p |
|---|---|---|---|
| N (%) | 68 (54.4) | 57 (45.6) | - |
| Age, years | 46.3 ± 16.5 | 48.2 ± 16.4 | >0.05 |
| Duration of the disease, months | 27 [4; 84] | 53 [13; 144] | 0.016 |
| Acute onset, n (%) | 51 (76) | 15 (26.3) | <0.001 |
| Relation to prior infection, n (%) | 40 (58.8) | 9 (15.8) | <0.001 |
| Myocardial morphological investigation, n (%) | 21 (30.9) | 5 (8.8) | >0.05 |
| Pathogenic/likely pathogenic variants, n (%) | 8 (11.8) | 5 (8.8) | >0.05 |
| Family burden | 9 (13.2) | 17 (29.8) | 0.02 |
| Structural and functional parameters in echocardiography and MRI | |||
| EDV | 168 [120; 202] | 134 [100; 182] | 0.043 |
| ESV | 100 [70; 137] | 81 [49; 121] | 0.03 |
| LV EF (EchoCG), % | 35 ± 13 | 43±14 | 0.002 |
| LV EF (EchoCG) ≤ 35%, n (%) | 37 (54.4) | 17 (29.8) | 0.004 |
| RV, ml | 73 [49; 90] | 54 [45; 86] | 0.042 |
| E/A | 1.6 [1.1; 2.6] | 1.3 [0.7; 1.8] | 0.046 |
| LGE at MRI, n (%) | 27 (39.7) | 9 (15.8) | 0.004 |
| Parameters characterising heart failure | |||
| NYHA CHF class | 2-3 [1; 3] | 2 [1; 3] | 0.029 |
| Administration of ACE, n (%) | 51 (75) | 25 (43.9) | <0.001 |
| Administration of β-blocker + ACE, n (%) | 43 (63.2) | 26 (45.6) | 0.017 |
| Administration of spironolactone, n (%) | 47 (69.1) | 26 (45.6) | 0.003 |
| Parameters characterising rhythm disturbances | |||
| Need for anti-coagulant prescriptions, n (%) | 38 (55.9) | 22 (38.6) | 0.017 |
| Presence of VT, n (%) | 46 (67.6) | 20 (35.1) | <0.001 |
| Sustained VT, n (%) | 12 (17.6) | 6 (10.5) | >0.05 |
| Implantation of ICDs, n (%) | 26 (38.2) | 13 (22.8) | 0.048 |
| End points | |||
| Appropriate ICD interventions, n (% of ICD patients) | 11 (42.3) | 3 (23.1) | 0.181 |
| Death, n (%) | 16 (23.5) | 3 (5.3) | 0.004 |
| Heart transplantation, n (%) | 6 (8.8) | 1 (1.8) | 0.09 |
| Characteristic | Myocarditis+ | Myocarditis− | p |
|---|---|---|---|
| N | 52 | 18 | - |
| Acute onset, n (%) | 55.8 | 44.4 | 0.364 |
| Relation to prior infection, n (%) | 53.8 | 11.1 | 0.002 |
| Myocardial morphological investigation, n (%) | 15.4 | 5.5 | >0.05 |
| Pathogenic/likely pathogenic variants, n (%) | 28.9 | 38.9 | 0.380 |
| LV EF (EchoCG), % | 53.1 ± 14.3 | 60.0 ± 7.5 | 0.071 |
| LV EF (EchoCG) ≤ 35%, n (%) | 11.5 | 0 | 0.192 |
| NYHA CHF class | 15.4 | 0 | 0.09 |
| PVC, thousands | 18.2 [3.2; 36.0] | 13.7 [2.1; 19.0] | 0.161 |
| RFA, % | 30.8 | 16.7 | 0.187 |
| Efficiency of RFA, % | 50 | 100 | 0.470 |
| Sustained VT, % | 26.9 | 50.0 | 0.075 |
| Fat in the RV (MRI), % | 42.3 | 66.7 | 0.040 |
| RV thinning, % | 30.8 | 61.1 | 0.010 |
| Death, % | 11.5 | 16.7 | 0.420 |
| Death/HT due to progressive CHF | 9.6 | 0 | 0.215 |
| Characteristic | Baseline | Follow-Up | p |
|---|---|---|---|
| IST+ | |||
| LV EF, % | 51.0 ± 13.6 | 50.9 ±12.5 | 0.166 |
| EDS LV/antero-posterior dimension RV | 1.9 ± 0.6 | 1.9 ±0.5 | 0.968 |
| PVCs, thousands per day | 15 [3.2; 35.5] | 0.7 [0.01; 3.8] | <0.001 |
| Non-sustained VT, % | 55.3 | 26.3 | 0.021 |
| Sustained VT, % | 21.1 | 0 | 0.008 |
| IST− | |||
| LV EF, % | 57.7 ±16.1 | 53.6 ± 10.6 | 0.018 |
| EDS LV/antero-posterior dimension RV | 2.0 ± 0.6 | 2.4 ± 0.5 | 0.091 |
| PVCs, thousands per day | 20 [0.6; 38] | 3.7 [0; 9.3] | 0.028 |
| Non-sustained VT, % | 71.4 | 16.7 | 0.046 |
| Sustained VT, % | 42.9 | 0 | 0.317 |
| Characteristic | Myocarditis+ | Myocarditis− | p |
|---|---|---|---|
| N | 34 | 26 | - |
| Acute onset, n (%) | 91.2 | 76.9 | 0.065 |
| Relation to prior infection, n (%) | 55.9 | 26.9 | 0.018 |
| Myocardial morphological investigation, n (%) | 47.1 | 15.4 | >0.05 |
| Pathogenic/likely pathogenic variants, n (%) | 20.6 | 19.2 | 0.580 |
| EDV, ml | 182 [126; 233] | 198 [142; 243] | 0.584 |
| LV EF (EchoCG), % | 25 [20; 38] | 33 [27; 41] | 0.041 |
| Interventricular septum, mm | 9 [8; 10] | 11 [9; 12] | 0.024 |
| NYHA CHF class ≥ 3, % | 3 [2; 3] | 3 [2; 3] | 0.651 |
| Administration of torasemide, % | 50.0 | 23.1 | 0.031 |
| PVCs, number per day | 961 [160; 5227] | 658 [6; 4281] | 0.406 |
| Non-sustained VT, % | 58.8 | 34.6 | 0.054 |
| Administration of amiodarone, % | 67.6 | 46.2 | 0.059 |
| ICD implantation, % | 38.2 | 26.9 | 0.261 |
| SCD, % | 14.7 | 3.8 | 0.171 |
| SCD + ICD interventions, % | 29.4 | 15.4 | 0.168 |
| Death, % | 35.3 | 26.9 | 0.342 |
| Heart transplantation, % | 11.8 | 7.7 | 0.472 |
| Characteristic | Myocarditis+ | Myocarditis− | p |
|---|---|---|---|
| N (%) | 5 (33.3) | 10 (66.6) | - |
| Age, years | 54.0 ± 17.5 | 49.4 ± 17.4 | 0.713 |
| Acute onset, n (%) | 0 | 1 (10) | 0.667 |
| Relation to prior infection, n (%) | 2 (40) | 2 (20) | 0.758 |
| Rhythm and conduction abnormalities | |||
| PQ, ms | 190 [180; 200] | 160 [150; 160] | 0.046 |
| PVCs per day | 5043 [827; 12 416] | 326 [45; 1677] | 0.086 |
| Non-sustained VT, n (%) | 3 (60) | 4 (40) | 0.427 |
| Atrial fibrillation, n (%) | 4 (80) | 7 (70) | 0.593 |
| Parameters characterising heart failure | |||
| NYHA CHF class | 3 [3; 3] | 3 [3; 3] | 0.661 |
| LV EF (EchoCG), % | 47 [30.5; 59] | 46.5 [43; 61.5] | 0.759 |
| LV EF (EchoCG) ≤ 45%, n (%) | 2 (40) | 4 (40) | 0.713 |
| E/A | 3.6 ± 0.1 | 2.5 ± 0.3 | 0.076 |
| Interventricular septum (EchoCG), mm | 9.8 ± 1.9 | 10.6 ± 2.5 | 0.617 |
| Posterior wall (EchoCG), mm | 10.0 ± 2.2 | 10.2 ± 2.6 | 1.00 |
| LV EDV (EchoCG), mL | 84 [70; 125] | 74 [64; 89.5] | 0.327 |
| RV (EchoCG), cm | 2.5 [2.5; 4.2] | 3.2 [2.8; 3.8] | 0.639 |
| Left atrium (EchoCG), mL | 129 [63; 137.5] | 106 [81; 153] | 0.713 |
| Right atrium (EchoCG), mL | 120 [47.5; 136] | 83 [50.5; 176.5] | 0.739 |
| End points | |||
| Death, n (%) | 0 | 2 (20) | 0.429 |
Disclaimer/Publisher’s Note: The statements, opinions and data contained in all publications are solely those of the individual author(s) and contributor(s) and not of MDPI and/or the editor(s). MDPI and/or the editor(s) disclaim responsibility for any injury to people or property resulting from any ideas, methods, instructions or products referred to in the content. |
© 2025 by the authors. Licensee MDPI, Basel, Switzerland. This article is an open access article distributed under the terms and conditions of the Creative Commons Attribution (CC BY) license (https://creativecommons.org/licenses/by/4.0/).
Share and Cite
Lutokhina, Y.; Zaklyazminskaya, E.; Kogan, E.; Nartov, A.; Nartova, V.; Blagova, O. Incidence and Impact of Myocarditis in Genetic Cardiomyopathies: Inflammation as a Potential Therapeutic Target. Genes 2025, 16, 51. https://doi.org/10.3390/genes16010051
Lutokhina Y, Zaklyazminskaya E, Kogan E, Nartov A, Nartova V, Blagova O. Incidence and Impact of Myocarditis in Genetic Cardiomyopathies: Inflammation as a Potential Therapeutic Target. Genes. 2025; 16(1):51. https://doi.org/10.3390/genes16010051
Chicago/Turabian StyleLutokhina, Yulia, Elena Zaklyazminskaya, Evgeniya Kogan, Andrei Nartov, Valeriia Nartova, and Olga Blagova. 2025. "Incidence and Impact of Myocarditis in Genetic Cardiomyopathies: Inflammation as a Potential Therapeutic Target" Genes 16, no. 1: 51. https://doi.org/10.3390/genes16010051
APA StyleLutokhina, Y., Zaklyazminskaya, E., Kogan, E., Nartov, A., Nartova, V., & Blagova, O. (2025). Incidence and Impact of Myocarditis in Genetic Cardiomyopathies: Inflammation as a Potential Therapeutic Target. Genes, 16(1), 51. https://doi.org/10.3390/genes16010051

