Sign in to use this feature.

Years

Between: -

Subjects

remove_circle_outline
remove_circle_outline
remove_circle_outline
remove_circle_outline
remove_circle_outline
remove_circle_outline
remove_circle_outline
remove_circle_outline

Journals

remove_circle_outline
remove_circle_outline
remove_circle_outline
remove_circle_outline
remove_circle_outline
remove_circle_outline
remove_circle_outline
remove_circle_outline
remove_circle_outline
remove_circle_outline
remove_circle_outline
remove_circle_outline
remove_circle_outline
remove_circle_outline
remove_circle_outline

Article Types

Countries / Regions

remove_circle_outline
remove_circle_outline
remove_circle_outline
remove_circle_outline
remove_circle_outline
remove_circle_outline
remove_circle_outline
remove_circle_outline

Search Results (849)

Search Parameters:
Keywords = myocarditis

Order results
Result details
Results per page
Select all
Export citation of selected articles as:
10 pages, 449 KB  
Systematic Review
Systematic Review: The Impact of COVID-19 Vaccination on Myocarditis Risk and Recovery
by Yibo Liu, Christopher Khatchadourian, Luke Sanders, Quincy Eweroke, Cyvannah Warner-McCutcheon, Jackson Lewis, Joaquin Santos and Vishwanath Venketaraman
Clin. Pract. 2026, 16(4), 77; https://doi.org/10.3390/clinpract16040077 - 17 Apr 2026
Viewed by 2296
Abstract
Background: Myocarditis is an uncommon but recognized adverse event following mRNA COVID-19 vaccination, with risk varying by age, sex, dose number, and vaccine product. Clarifying the magnitude of risk, clinical course, and recovery—relative to myocarditis following SARS-CoV-2 infection—is essential for risk–benefit assessment and [...] Read more.
Background: Myocarditis is an uncommon but recognized adverse event following mRNA COVID-19 vaccination, with risk varying by age, sex, dose number, and vaccine product. Clarifying the magnitude of risk, clinical course, and recovery—relative to myocarditis following SARS-CoV-2 infection—is essential for risk–benefit assessment and public health guidance. Methods: We performed a systematic PubMed and Embase search (January 2020–December 2024) and synthesized cohort, registry, and surveillance data on myocarditis incidence and outcomes following mRNA COVID-19 vaccination. Outcomes included incidence, observed-to-expected (OE) or incidence rate (IRRs) ratios, hospitalization, and short-term recovery. Study selection followed PRISMA 2020 systematic review guidelines. Results: Myocarditis following mRNA COVID-19 vaccination was identified as a rare adverse event, most commonly occurring after the second dose and in younger male individuals. Across multiple cohort and registry-based studies, cases were generally mild and self-limited, with most patients recovering without complication. In contrast, myocarditis following SARS-CoV-2 infection was consistently associated with more severe outcomes, including higher rates of hospitalization and mortality. Conclusions: Vaccine-associated myocarditis is rare, typically mild, and self-limited, with excellent short-term recovery; vaccinated individuals also exhibit lower odds of in-hospital death and intubation. In contrast, infection-associated myocarditis is more frequent and severe. Overall, the benefit–risk profile of mRNA vaccination remains strongly favorable. Full article
Show Figures

Figure 1

19 pages, 1539 KB  
Article
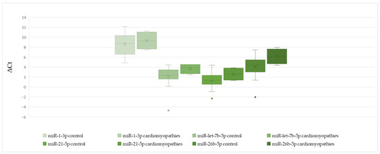
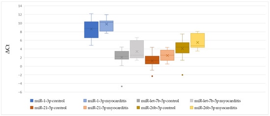
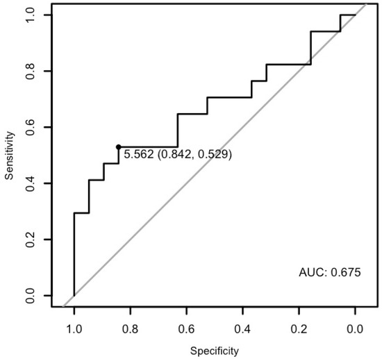
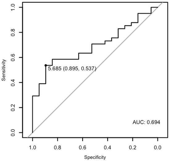
Assessment of miR-1-3p, miR-let-7b-5p, miR-21-5p, and miR-26b-5p in Children with Cardiovascular Diseases
by Marta Pasławska-Zyskowska, Piotr Majewski, Anetta Sulewska, Paweł Muszyński, Miłosz Nesterowicz, Filip Bossowski, Joanna Gościk, Beata Sawicka, Justyna Dunaj-Małyszko, Anna Moniuszko-Malinowska, Jacek Nikliński and Artur Tadeusz Bossowski
Cells 2026, 15(8), 674; https://doi.org/10.3390/cells15080674 - 10 Apr 2026
Viewed by 379
Abstract
Background: Cardiovascular diseases remain important causes of morbidity and potential premature mortality in children. Although clinical imaging and electrophysiologic testing have advanced, early, minimally invasive biomarkers that can both detect myocardial injury and help differentiate among overlapping pediatric phenotypes are still limited. Circulating [...] Read more.
Background: Cardiovascular diseases remain important causes of morbidity and potential premature mortality in children. Although clinical imaging and electrophysiologic testing have advanced, early, minimally invasive biomarkers that can both detect myocardial injury and help differentiate among overlapping pediatric phenotypes are still limited. Circulating microRNAs (miRNAs; miRs) are becoming attractive biomarker candidates because many are abundant in the heart, actively released into the circulation, and remarkably stable in plasma. The study aimed to assess the expression of miR-1-3p, miR-let-7b-5p, miR-21-5p, and miR-26b-5p in children with cardiovascular disease. Methods: Children aged 10–18 years with cardiac arrhythmias, myocarditis, or cardio-myopathies were recruited. The control group consisted of healthy age- and sex-matched children. For each participant, peripheral venous blood was collected for plasma isolation and miRNA profiling. The expression of miR-1-3p, miR-let-7b-5p, miR-21-5p, miR-26b-5p, and UniSp6 molecules was analyzed using the comparative cycle threshold delta Ct (ΔCt) method. A p-value ≤ 0.05 was considered statistically significant. Results: miR-26b-5p was significantly downregulated in patients with cardiac disease compared with healthy controls. miR-21-5p and miR-26b-5p were downregulated in patients with ventricular arrhythmia. Moreover, miR-26b-5p was downregulated in arrhythmia in general. We found no significant difference in the expression of miR-1-3p, miR-let-7b-5p, miR-21b-5p, and miR-26b-5p between patients with and without myocarditis, as well as with and without hypertrophic cardiomyopathy. Conclusions: miR-26b-5p may distinguish young patients with cardiovascular disease and those with arrhythmias from healthy individuals. miR-21-5p and miR-26b-5p may also be seen as potential biomarkers of ventricular arrhythmia. Further studies involving a larger sample size are required to obtain sufficient data and validate these findings. Full article
(This article belongs to the Special Issue MicroRNAs: Regulators of Cellular Fate)
Show Figures

Figure 1

12 pages, 4770 KB  
Case Report
A Diagnostic Dilemma of Arrhythmogenic Cardiomyopathy Masquerading as Recurrent Myocarditis in a Pediatric Patient with a DES Gene Variant: A Case Report
by Qi Meng, Wei Li, Wenhong Ding, Hui Wang, Dong Chen, Ling Han, Yifei Li and Chencheng Dai
J. Cardiovasc. Dev. Dis. 2026, 13(4), 162; https://doi.org/10.3390/jcdd13040162 - 8 Apr 2026
Viewed by 267
Abstract
Background: Arrhythmogenic cardiomyopathy (ACM) is an inherited disorder characterized by fibrofatty replacement of cardiomyocytes. The inflammatory episodes of ACM, known as the “hot phase”, can mimic acute myocarditis. It was seldom observed in a DES-associated ACM as a “hot-phase” presentation. Case Presentation: [...] Read more.
Background: Arrhythmogenic cardiomyopathy (ACM) is an inherited disorder characterized by fibrofatty replacement of cardiomyocytes. The inflammatory episodes of ACM, known as the “hot phase”, can mimic acute myocarditis. It was seldom observed in a DES-associated ACM as a “hot-phase” presentation. Case Presentation: The proband, a 13-year-old female, initially presented with a series of clinical manifestations of fulminant myocarditis. Although recommendation-guided anti-immunotherapy had been provided, this patient still developed into an aggressive cardiomyopathy with biventricular dilation and severe systolic heart failure. Additionally, cardiac magnetic resonance demonstrated circumferential late gadolinium enhancement in left ventricular myocardium with diffuse fibrosis. Whole-exon sequencing identified a de novo missense variant, as c.335T>A (p.L112Q) of the DES gene, resulting in protein dysfunction. And a diagnosis of ACM due to a DES variant had been identified. Finally, this patient received heart transplantation, and biventricular fibrofatty infiltration was confirmed by pathological analysis. Conclusions: This case presented a de novo genetic variant that can induce severe and aggressive heart failure. This finding emphasizes the importance of comprehensive genetic analysis in patients suspected of having fulminant myocarditis, which would greatly benefit the precise clinical management and outcomes. Full article
(This article belongs to the Topic Molecular and Cellular Mechanisms of Heart Disease)
Show Figures

Figure 1

17 pages, 5042 KB  
Review
Artificial Intelligence in Cardiovascular Pathology: Toward a Diagnostic Revolution
by Andrea Marzullo, Andrea Quaranta, Gerardo Cazzato and Cecilia Salzillo
BioMedInformatics 2026, 6(2), 18; https://doi.org/10.3390/biomedinformatics6020018 - 1 Apr 2026
Viewed by 435
Abstract
Artificial intelligence (AI) in cardiovascular pathology involves the use of computational models, including machine learning and deep learning (DL), to analyse complex and heterogeneous data. These data include histopathological whole-slide images, cardiovascular imaging techniques such as cardiac magnetic resonance, echocardiography, computed tomography (CT), [...] Read more.
Artificial intelligence (AI) in cardiovascular pathology involves the use of computational models, including machine learning and deep learning (DL), to analyse complex and heterogeneous data. These data include histopathological whole-slide images, cardiovascular imaging techniques such as cardiac magnetic resonance, echocardiography, computed tomography (CT), clinical parameters, and molecular information. The integration of these multimodal data sources allows AI to overcome the limitations of single-modality analysis, improving diagnostic accuracy, prognostic stratification, and personalised clinical decision-making while reducing inter-observer variability. Cardiovascular disease remains the leading cause of mortality worldwide, highlighting the need for more precise and timely diagnostic tools. AI has shown significant promise, particularly in digital pathology, where the digitisation of histological slides combined with advanced algorithms enables improved diagnosis, prognostic assessment, and translational research. This review summarises current AI applications in cardiovascular pathology, focusing on heart transplant rejection, cardiomyopathies, myocarditis, and atherosclerotic and valvular diseases. Automated methods offer important advantages, including diagnostic standardisation, quantitative histological analysis, and improved reproducibility. However, several challenges remain, such as the need for large, well-annotated shared datasets, limited interpretability of AI models, and ethical and legal issues related to clinical implementation. AI represents a promising tool for advancing cardiovascular pathology and personalised medicine, although robust multicentre validation is required before routine clinical adoption. Full article
Show Figures

Graphical abstract

24 pages, 2760 KB  
Review
Impact of Early Diagnosis and Immunosuppressive Therapy on Giant Cell Myocarditis Outcomes: A Review
by Nilima Rajpal Kundnani, Abhijit Kumar, Abhinav Sharma, Berceanu Vaduva Marcel Mihai, Cristina Diana Ardelean, Lucretia Marin-Bancila, Mihaela Valcovici, Codrina Levai, Adela Iancu and Ciprian Ilie Rosca
Life 2026, 16(4), 575; https://doi.org/10.3390/life16040575 - 1 Apr 2026
Viewed by 405
Abstract
Background: Giant cell myocarditis (GCM) is a rare condition with an incompletely understood immune pathogenesis, characterized by inflammatory damage to the myocardium and the presence of multinucleated giant cells on histopathological examination. The frequently fulminant and severe course requires rapid intervention for a [...] Read more.
Background: Giant cell myocarditis (GCM) is a rare condition with an incompletely understood immune pathogenesis, characterized by inflammatory damage to the myocardium and the presence of multinucleated giant cells on histopathological examination. The frequently fulminant and severe course requires rapid intervention for a correct diagnosis and the initiation of immunosuppressive therapy, which is often life-saving. Materials and methods: This article contains information from observational studies and case reports, systematically collected from prestigious publications such as JACC, NEJN, ESC, JCC, Heliyon, and Cureus found in the PubMed and ClinicalTrials.gov databases. Thus, 25 patients diagnosed with giant cell myocarditis between March 2019 and May 2025 were analyzed, with a focus not only on the initial clinical evolution, mortality incidence, and the need for heart transplantation but also on the incidence of major complications such as cardiogenic shock and malignant rhythm and conduction disorders refractory to drug treatment. These parameters were studied according to certain intrinsic factors that cannot be influenced, such as age at onset, gender, and associated pathology of the patient, as well as extrinsic factors that can be influenced, such as the time of diagnosis and the start of immunosuppressive therapy. The results obtained were compared with those in the literature from previous years, considering the limitations of the current study. Results: The selected patients were 13 women (52%) and 12 men (48%), mostly from the US and Japan, aged between 22 and 76 years, with an average age of 44.92 years. An associated autoimmune pathology was found in 40% of patients in this group, and previous cardiovascular pathology in 28%. Only 8% had a history of GCM. The clinical onset of new-onset heart failure, refractory to usual therapy, with progressive dyspnea as the cardinal symptom was found in 12 patients, representing 48% of cases; palpitations as an expression of rhythm or conduction disorders were found in five patients, representing 20%; precordial discomfort to precordial pain accompanied or not by ST-T segment changes was present in four patients, representing 16%; and general signs and symptoms or those of other organs were present in three (12%) cases. The diagnosis was made by histological examination of the biopsy fragment obtained by endomyocardial biopsy or from the myocardial fragment obtained during the implantation of mechanical cardiovascular support devices and, less frequently, on the explanted heart and at autopsy. In terms of progression, of the 25 patients, four (16%) died, four (16%) required heart transplantation, and 16 (64%) had a severe progression with cardiogenic shock, which required mechanical circulatory support in 11 (44%) cases. The outcome was mainly influenced by the early diagnosis and administration of immunosuppressive medication, but also by the age of the patients and associated chronic diseases. Conclusions: Giant cell myocarditis is a serious condition that, in the absence of rapid diagnosis and appropriate immunosuppressive therapy, has a fulminant, often fatal course. Clinical suspicion of giant cell myocarditis remains important in the initial diagnosis. Raising this suspicion, together with modern and improved paraclinical investigations compared to previous years, has led to faster diagnosis and administration of immunosuppressive therapy in this pathology. Histological examination remains the gold standard for final diagnosis, but it should be noted that it may be non-diagnostic. In the face of a strong suspicion of giant cell myocarditis, the best approach is to start immunosuppressive therapy and monitor the patient’s progress. Immunosuppressive treatment remains decisive in influencing the evolution of this condition, both through prompt administration and through the adaptation of therapeutic regimens to the evolution of patients. A more detailed understanding of the immune-mediated pathogenesis of GCM and the identification of clinical risk factors for unfavorable short- and long-term outcomes may enable earlier risk stratification and the development of more targeted, individualized therapeutic strategies. Full article
Show Figures

Figure 1

18 pages, 1268 KB  
Review
Immune Toxicities in AAV Gene Therapy: Overview for Clinicians
by Shestruma Parajuli, Thomas Gallagher and Terence R. Flotte
Int. J. Mol. Sci. 2026, 27(7), 3196; https://doi.org/10.3390/ijms27073196 - 31 Mar 2026
Viewed by 3064
Abstract
Gene therapy using recombinant adeno-associated virus (rAAV) vectors has emerged as a transformative therapeutic modality for genetic disorders, demonstrating high transduction efficiency and a generally favorable safety profile during pre-clinical development. However, serious adverse events, including thrombotic microangiopathy, acute respiratory distress syndrome, hepatotoxicity, [...] Read more.
Gene therapy using recombinant adeno-associated virus (rAAV) vectors has emerged as a transformative therapeutic modality for genetic disorders, demonstrating high transduction efficiency and a generally favorable safety profile during pre-clinical development. However, serious adverse events, including thrombotic microangiopathy, acute respiratory distress syndrome, hepatotoxicity, myocarditis, cytokine storm, and hemophagocytic lymphohistiocytosis, have been observed across multiple gene therapy clinical trials. Significant efforts have been made to understand the toxicities that cause these adverse events and clinical care for patients receiving gene therapies has evolved to mitigate their effects. These toxicities arise from a complex interplay between the innate and adaptive immune responses directed against the viral capsid and transgene products and are often compounded by pre-existing anti-AAV immunity. Immunomodulatory strategies have been developed to combat these responses to improve the long-term success of gene therapies, and this review provides clinicians managing gene therapy patients with an overview of mechanisms underlying AAV-associated immunotoxicities and a discussion of syndromes and mitigation strategies that have been reported in the clinical care of patients. Full article
(This article belongs to the Section Molecular Immunology)
Show Figures

Figure 1

15 pages, 815 KB  
Article
Longitudinal Myocardial Deformation Analysis of the Left Ventricle in Dogs with Leishmaniosis Investigated by Speckle-Tracking Echocardiography
by Alessandra Recchia, Antonella Colella, Maria Albrizio, Fabrizio Iarussi, Giovanni Romito, Aleksandra Domanjko Petrič and Paola Paradies
Pathogens 2026, 15(4), 370; https://doi.org/10.3390/pathogens15040370 - 31 Mar 2026
Viewed by 394
Abstract
Inflammatory myocardial involvement has been reported in canine leishmaniosis (CanL); however, studies evaluating the degree of myocardial dysfunction in affected dogs are limited. This prospective study aimed to investigate myocardial involvement in dogs with CanL using conventional and speckle-tracking echocardiography (STE), focusing on [...] Read more.
Inflammatory myocardial involvement has been reported in canine leishmaniosis (CanL); however, studies evaluating the degree of myocardial dysfunction in affected dogs are limited. This prospective study aimed to investigate myocardial involvement in dogs with CanL using conventional and speckle-tracking echocardiography (STE), focusing on the assessment of left ventricular systolic function and myocardial strain. Symptomatic, initially untreated dogs with a diagnosis of leishmaniosis and free from other vector-borne diseases or underlying heart diseases were enrolled (Leish group). Healthy dogs matched for age, body weight, breed, and sex were selected for the control group (C group). At the time of inclusion (T0) and at each follow-up, laboratory tests as well as conventional echocardiographic examination and STE were performed. For strain analysis, apical longitudinal long-axis 4-chamber, 3-chamber, and 2-chamber views were used (2C, 3C, 4C, respectively) to obtain the average global longitudinal strain (GLSAV), which is recognised to have the maximum reliability as an indicator of left ventricular dysfunction in humans. The software obtains GLSAV by averaging the longitudinal strain values from all left-ventricular segments derived from the multiple apical views. After enrolment, dogs were treated with a combination of meglumine and allopurinol and were monitored for six months. Clinical-pathological and echocardiographic data were collected at follow-up at 1, 3, and 6 months after the start of treatment (T1, T2, T3) and compared between the two study groups using appropriate statistical tests. Sixteen dogs composed the C group and nine dogs the Leish group. At T0, none of these dogs had abnormalities in cardiac auscultation, plasma cardiac troponin concentration was within the reference range, and standard echocardiographic examination excluded underlying cardiac diseases. The comparison between C and Leish groups did not show a statistically significant difference in any of the strain parameters analysed (GLSAV, GLS4C, GLS3C, GLS2C). Moreover, strain values in the Leish group did not change significantly over time. In conclusion, in this preliminary study on a limited population of dogs with leishmaniosis, both conventional echocardiography and STE failed to reveal clear changes suggestive of left ventricular systolic dysfunction secondary to possible myocarditis or as a consequence of the systemic disease in dogs with active leishmaniosis. However, further STE studies in larger cohorts of dogs with leishmaniosis are needed to confirm and expand our findings. Full article
Show Figures

Figure 1

32 pages, 1075 KB  
Review
The Role of Serum Biomarkers for the Differential Diagnosis and Prognostic Assessment of Myocardial Infarction with Non-Obstructive Coronary Arteries: A Narrative Review
by Matteo Orlandi, Ruggero Mazzotta, Niccolò Ciardetti, Giorgia Panichella, Manuel Garofalo, Lucrezia Biagiotti, Maria Federica Crociani, Samuele Salvi, Carlo Di Mario, Francesco Meucci and Alessio Mattesini
J. Clin. Med. 2026, 15(7), 2593; https://doi.org/10.3390/jcm15072593 - 28 Mar 2026
Viewed by 426
Abstract
Myocardial infarction with non-obstructive coronary arteries (MINOCA) represents a heterogeneous clinical entity encompassing multiple ischemic mechanisms, including atherosclerotic plaque disruption, coronary artery spasm, coronary microvascular dysfunction, coronary embolism, and spontaneous coronary artery dissection. Despite the absence of obstructive coronary disease, patients with MINOCA [...] Read more.
Myocardial infarction with non-obstructive coronary arteries (MINOCA) represents a heterogeneous clinical entity encompassing multiple ischemic mechanisms, including atherosclerotic plaque disruption, coronary artery spasm, coronary microvascular dysfunction, coronary embolism, and spontaneous coronary artery dissection. Despite the absence of obstructive coronary disease, patients with MINOCA remain at substantial risk of adverse cardiovascular outcomes, underscoring the need for accurate early diagnosis and effective risk stratification. In this context, accumulating evidence indicates that circulating serum biomarkers may provide additional pathophysiological and prognostic insights in patients with a working diagnosis of MINOCA. Moreover, distinct biomarker profiles may help support the differential diagnostic evaluation between MINOCA and other causes of acute myocardial injury, such as myocardial infarction with obstructive coronary arteries, myocarditis, and Takotsubo syndrome. This narrative review summarizes current evidence on serum biomarkers in MINOCA, highlights their potential role in guiding tailored diagnostic strategies, and discusses future perspectives toward biomarker-driven precision medicine in patients presenting with acute myocardial injury. Full article
(This article belongs to the Special Issue The Role of Biomarkers in Cardiovascular Diseases)
Show Figures

Figure 1

26 pages, 2942 KB  
Review
Multimodal Cardiac Imaging in Systemic Lupus Erythematosus: From Clinical Suspicion to Diagnosis in Clinical Practice
by Mariagrazia Piscione, Barbara Pala, Francesco Cribari, Serena De Mitri, Giada La Placa, Dario Gaudio, Paola Gualtieri and Laura Di Renzo
Diagnostics 2026, 16(7), 988; https://doi.org/10.3390/diagnostics16070988 - 25 Mar 2026
Viewed by 639
Abstract
Background: Systemic lupus erythematosus (SLE) is a chronic autoimmune disease characterized by immune dysregulation and systemic inflammation, with the cardiovascular (CV) system representing a major yet frequently under-recognized target. Cardiac involvement spans from subclinical myocardial inflammation to overt pericardial disease, myocarditis, valvular abnormalities, [...] Read more.
Background: Systemic lupus erythematosus (SLE) is a chronic autoimmune disease characterized by immune dysregulation and systemic inflammation, with the cardiovascular (CV) system representing a major yet frequently under-recognized target. Cardiac involvement spans from subclinical myocardial inflammation to overt pericardial disease, myocarditis, valvular abnormalities, coronary microvascular dysfunction, and accelerated atherosclerosis. Given that CV disease remains a leading cause of morbidity and mortality in SLE, early detection of silent cardiac injury is crucial. Aim: This review aims to provide a comprehensive and clinically oriented overview of CV involvement in SLE, focusing on the role of multimodal cardiac imaging in the detection, characterization, and risk stratification of cardiac abnormalities, as well as its potential implications for clinical management and preventive strategies. Methods: This narrative review is based on a structured, non-systematic search of PubMed (2013–2026), combining the term “systemic lupus erythematosus” with imaging-related keywords including “transthoracic echocardiography,” “cardiac magnetic resonance,” and “cardiac computed tomography.” English-language studies in adult populations were screened and selected according to clinical relevance, methodological robustness, and contribution to understanding SLE-related cardiac involvement. Discussion: Multimodal cardiac imaging plays a central role in the evaluation of SLE-related cardiac disease. Transthoracic echocardiography (TTE) represents the first-line modality for the assessment of ventricular function, pericardial disease, and valvular abnormalities, while deformation imaging enables the detection of subtle myocardial dysfunction. Cardiac magnetic resonance (CMR) provides comprehensive tissue characterization, allowing differentiation between active inflammation and chronic fibrosis. Cardiac computed tomography (cCT) identifies subclinical coronary atherosclerosis and high-risk plaque features, whereas nuclear imaging techniques offer insight into inflammatory activity and microvascular dysfunction. Conclusions: An integrated, imaging-based approach enables early diagnosis, refined CV risk stratification, longitudinal monitoring, and personalized therapeutic strategies. Multimodal imaging thus represents a key pillar of precision medicine in lupus-associated CV disease. Full article
Show Figures

Figure 1

18 pages, 564 KB  
Review
Cardiotoxicity of Antitumor Agents: Therapeutic Challenges in Heart Failure with Reduced and Preserved Ejection Fraction
by Marco Tana, Rachele Piccinini, Giada Pinterpe, Ettore Porreca, Rossana Berardi and Claudio Tana
Int. J. Mol. Sci. 2026, 27(7), 2973; https://doi.org/10.3390/ijms27072973 - 25 Mar 2026
Viewed by 642
Abstract
The remarkable evolution of oncological therapies has dramatically improved cancer survival rates but has simultaneously introduced a significant burden of cardiovascular complications. Cardio-oncology has emerged as a critical multidisciplinary field focused on mitigating the “collateral damage” of life-saving anticancer treatments, ranging from traditional [...] Read more.
The remarkable evolution of oncological therapies has dramatically improved cancer survival rates but has simultaneously introduced a significant burden of cardiovascular complications. Cardio-oncology has emerged as a critical multidisciplinary field focused on mitigating the “collateral damage” of life-saving anticancer treatments, ranging from traditional chemotherapeutics to novel immunotherapies. This review provides a comprehensive analysis of the pathophysiological mechanisms, clinical phenotypes, and evolving management strategies for cancer therapy-related cardiac dysfunction (CTRCD). An extensive synthesis of the current literature was conducted, focusing on the molecular pathways of cardiotoxicity, including Topoisomerase IIβ inhibition by anthracyclines, HER2 signaling disruption by targeted agents, and immune-mediated myocarditis triggered by checkpoint inhibitors (ICIs). Cardiotoxicity is increasingly recognized as a spectrum of phenotypes. Heart failure with reduced ejection fraction (HFrEF) remains a primary concern with cytotoxic agents, while heart failure with preserved ejection fraction (HFpEF) is emerging as a critical complication of radiation therapy and tyrosine kinase inhibitors (TKIs). The integration of advanced diagnostic tools—specifically Global Longitudinal Strain (GLS) and Cardiac Magnetic Resonance (CMR) mapping—has shifted the clinical focus toward subclinical detection. Furthermore, pivotal clinical trials such as PRADA and SUCCOUR have validated early pharmacological prophylaxis and strain-guided interventions. Emerging challenges, including the management of CAR-T cell-induced cytokine release syndrome and the specific cardiovascular needs of pediatric and geriatric populations, are also explored. The future of cardio-oncology lies in precision medicine, leveraging genomic profiling and artificial intelligence to identify high-risk individuals. A proactive, multidisciplinary approach is essential to ensure that the success of modern oncology is not compromised by irreversible cardiovascular morbidity. Full article
Show Figures

Figure 1

20 pages, 4175 KB  
Review
Unmasking Cardiac Sarcoidosis: Integrating Multimodal Imaging with Histochemical and Ultrastructural Analysis
by Jakub Kancerek, Damian Świerczek, Wiktoria Baron, Marcin Rojek, Piotr Lewandowski and Romuald Wojnicz
Int. J. Mol. Sci. 2026, 27(7), 2969; https://doi.org/10.3390/ijms27072969 - 25 Mar 2026
Viewed by 460
Abstract
Cardiac sarcoidosis (CS) is a critical and frequently underdiagnosed phenotype of sarcoidosis, characterized by non-caseating granulomatous infiltration of the myocardium. This review synthesizes current knowledge regarding the pathogenesis, diagnosis, and management of CS. The disease manifests with a heterogeneous clinical spectrum ranging from [...] Read more.
Cardiac sarcoidosis (CS) is a critical and frequently underdiagnosed phenotype of sarcoidosis, characterized by non-caseating granulomatous infiltration of the myocardium. This review synthesizes current knowledge regarding the pathogenesis, diagnosis, and management of CS. The disease manifests with a heterogeneous clinical spectrum ranging from asymptomatic conduction abnormalities to life-threatening ventricular arrhythmias and heart failure. Diagnosis remains challenging due to the patchy distribution of granulomas, which limits the sensitivity of endomyocardial biopsy. Consequently, a multimodal diagnostic approach is essential, integrating advanced imaging modalities such as cardiac magnetic resonance (CMR) with late gadolinium enhancement (LGE) and 18F-fluorodeoxyglucose positron emission tomography (FDG-PET). These tools not only facilitate detection but also enable the differentiation of active inflammation from chronic fibrosis. Histopathological assessment, supported by specific immunophenotyping and electron microscopy, remains the gold standard for confirming diagnosis and excluding mimics like giant cell myocarditis or infectious granulomatous diseases. Management requires a multidisciplinary strategy combining immunosuppressive therapy, primarily corticosteroids and steroid-sparing agents, with guideline-directed cardiac care, including implantable cardioverter-defibrillators for arrhythmia risk stratification. Emerging biomarkers and artificial intelligence-driven imaging analysis promise to further refine risk stratification and therapeutic monitoring, advancing precision medicine in this complex disorder. Full article
(This article belongs to the Special Issue Myocardial Disease: Molecular Pathology and Treatments)
Show Figures

Figure 1

18 pages, 10294 KB  
Article
A New Inactivated Coxsackievirus B2 Vaccine: Biological Properties, Immunogenicity, and Protective Effects in Mice
by Zhaoyang Chu, Changzeng Feng, Ming Zhang, Xiang Li, Hengli Yang, Jiansheng Liu and Shaohui Ma
Vaccines 2026, 14(4), 290; https://doi.org/10.3390/vaccines14040290 - 24 Mar 2026
Viewed by 467
Abstract
Background: Coxsackievirus B2 (CVB2) causes a range of diseases, including hand, foot, and mouth disease; myocarditis; acute flaccid paralysis; meningitis; and encephalitis. However, no specific antiviral drugs or vaccines are currently available for CVB2. Methods: We used plaque purification, virus titre [...] Read more.
Background: Coxsackievirus B2 (CVB2) causes a range of diseases, including hand, foot, and mouth disease; myocarditis; acute flaccid paralysis; meningitis; and encephalitis. However, no specific antiviral drugs or vaccines are currently available for CVB2. Methods: We used plaque purification, virus titre determination, and serial passaging to screen and identify an inactivated CVB2 vaccine candidate strain, KM31-C05, which exhibited high viral titres and good genetic stability. Comprehensive biological characterization of this candidate strain was performed, including phylogenetic analysis, virulence assessment in BALB/c mice, one-step growth curve analysis, optimization of the multiplicity of infection, as well as determination of viral load, pathological evaluation, and immunohistochemical analysis in tissues of BALB/c suckling mice post-challenge. An experimental inactivated vaccine was prepared using KM31-C05 to evaluate its immunogenicity and protective efficacy. Results: The viral titres of KM31-C05 reached 108 CCID50/mL. After 20 serial passages, only three amino acid mutations were identified (VP3-G165V, VP1-N84K, and VP1-D129N). Although the two VP1 mutations were located in surface-exposed loops, the strain maintained high neutralizing titres across passages, indicating good genetic stability. However, whether these sites affect virulence and replication requires further investigation. Phylogenetic analysis revealed that this strain belonged to genotype C, which is consistent with the strains circulating in mainland China in recent years. The experimental inactivated vaccine prepared from KM31-C05 induced effective neutralizing antibodies (1:128–1:256) in BALB/c mice and provided complete protection to suckling mice against lethal challenge with this CVB2 strain in maternal antibody protection experiments. Conclusions: KM31-C05 demonstrates potential as a CVB2 vaccine candidate in China and provides a theoretical basis for the development of a CVB2 vaccine. Full article
(This article belongs to the Section Vaccine Design, Development, and Delivery)
Show Figures

Figure 1

22 pages, 1825 KB  
Review
Diagnostic and Therapeutic Options in Myocarditis and Inflammatory Cardiomyopathy
by Heinz-Peter Schultheiss, Felicitas Escher, Ganna Aleshcheva, Gordon Wiegleb and Christian Baumeier
Biomedicines 2026, 14(3), 691; https://doi.org/10.3390/biomedicines14030691 - 17 Mar 2026
Cited by 1 | Viewed by 656
Abstract
Myocarditis and inflammatory cardiomyopathy are inflammatory diseases of the heart muscle that can have both infectious and non-infectious causes. They can be caused by an unresolved viral infection or other infection, or they can be autoimmune, toxic, or allergic in nature. The specific [...] Read more.
Myocarditis and inflammatory cardiomyopathy are inflammatory diseases of the heart muscle that can have both infectious and non-infectious causes. They can be caused by an unresolved viral infection or other infection, or they can be autoimmune, toxic, or allergic in nature. The specific identification of the pathogen and/or confirmation of inflammation can only be achieved through direct tissue analysis using endomyocardial biopsy (EMB), as neither detection of the virus nor assessment of the quality and intensity of the inflammation is possible using non-invasive methods. Accordingly, the removal and analysis of an EMB is considered the diagnostic gold standard in international guidelines and statements. The sudden onset of atypical angina pectoris and initially exertion-dependent dyspnea, as well as arrhythmias, pericardial effusion, and progressive symptoms of heart failure, indicate an acute inflammatory process of the myocardium. In addition, nonspecific symptoms such as fatigue and reduced physical performance may also occur. Diagnostic evaluation includes an electrocardiogram (ECG), cardiac imaging, and laboratory tests. The analysis of the EMB is crucial for a definitive diagnosis and thus for the initiation of an etiology-based, specific and personalized therapy. This includes histological and immunohistochemical inflammation diagnostics as well as molecular virological diagnostics. These enable both the detection of viruses and the assessment of transcriptional virus activity. New analyses using metagenomic next generation sequencing (NGS) techniques provide insights of enormous diagnostic and therapeutic relevance. This applies both to the spectrum of detectable pathogens and to the possibility of confirming transcriptional viral activity. In addition, gene expression profiling enables the differentiation of specific forms of myocardial inflammation (e.g., giant cell myocarditis, cardiac sarcoidosis, and eosinophilic myocarditis) and reduces the influence of “sampling errors” in focal inflammatory processes. The treatment of heart failure or ventricular arrhythmias is always symptomatic according to general evidence-based guidelines. In severe cases, mechanical circulatory support or even a heart transplant may be necessary. Patients with histologically confirmed myocardial inflammation or intramyocardial viral infection can be offered specific, causal, and personalized therapy. These patients can be successfully treated with immunosuppressive or antiviral therapy, which significantly improves the prognosis of the disease. Full article
(This article belongs to the Special Issue Cardiomyopathies and Heart Failure: Charting the Future—2nd Edition)
Show Figures

Figure 1

29 pages, 7769 KB  
Article
Efficient Deep Learning Models Integrated with a Smart Web Application for Classifying Heart Diseases Based on ECG Signals
by Saeed Mohsen, Ahmed F. Ibrahim, Osama F. Hassan, Norah Alnaim, Noorah Albehaijan and M. Abdel-Aziz
Computers 2026, 15(3), 191; https://doi.org/10.3390/computers15030191 - 16 Mar 2026
Viewed by 559
Abstract
Recent advancements in the accuracy of deep learning (DL) hold significant promise for improving the classification of heart patients. Nevertheless, continued refinement is essential to achieve even greater levels of precision in DL techniques. This paper proposes three efficient DL models: Swin Transformer [...] Read more.
Recent advancements in the accuracy of deep learning (DL) hold significant promise for improving the classification of heart patients. Nevertheless, continued refinement is essential to achieve even greater levels of precision in DL techniques. This paper proposes three efficient DL models: Swin Transformer (Swin-T), Visual Geometry Group (VGG)-19, and Vision Transformer (ViT), which are implemented to classify different types of heart patients. The three DL models are learned on a balanced dataset comprising 600 electrocardiogram (ECG) samples. This dataset contains three classes: Arrhythmia Patient, Myocardic Patient, and Normal Patient. The DL models are applied using a PyTorch framework v2.10.0, with fine-tuning for the models’ hyperparameters to maximize the classification accuracy, and data augmentation techniques are implemented for the ECG samples. Additionally, a smart web application is designed for classifying heart patients into three different diagnostic categories. The performance of the three models is assessed by several metrics such as area under precision-recall (AUPR) curves and normalized confusion matrices (NCMs). The proposed three models achieve high testing accuracy for the classification of heart patients. Regarding testing loss (TL) rates for the Swin-T, VGG-19, and ViT achieve rates of 0.0707, 0.4138, and 0.0015, respectively. Also, the ViT achieves an F1-score, true positive rate (TPR), and AUPR curves of 100%. Full article
(This article belongs to the Special Issue AI in Bioinformatics)
Show Figures

Figure 1

9 pages, 562 KB  
Brief Report
Evidence for Autoimmunity in the Pathogenesis of COVID-19-Induced Myocarditis
by Ortal Tuvali, Michael Welt, Clara Benaim, Michael Fassler and Jacob George
Int. J. Mol. Sci. 2026, 27(6), 2694; https://doi.org/10.3390/ijms27062694 - 16 Mar 2026
Viewed by 569
Abstract
Myocarditis has been described following SARS-CoV-2 infection. The mechanisms underlying COVID-19-associated myocarditis remain incompletely understood. Peripheral blood mononuclear cells (PBMCs), IgG fractions, and myocardial biopsy tissue were obtained from a patient with COVID-19 myocarditis. Cellular responses to SARS-CoV-2 spike protein and myocardial tissue [...] Read more.
Myocarditis has been described following SARS-CoV-2 infection. The mechanisms underlying COVID-19-associated myocarditis remain incompletely understood. Peripheral blood mononuclear cells (PBMCs), IgG fractions, and myocardial biopsy tissue were obtained from a patient with COVID-19 myocarditis. Cellular responses to SARS-CoV-2 spike protein and myocardial tissue extract were assessed in vitro. PBMCs and purified IgG were passively transferred into Rag2/IL2RG-/- mice. Interferon-gamma (IFN-γ) production and cardiac IFN-γ transcript levels were measured. PBMCs from the myocarditis patient proliferated in response to spike protein and myocardial tissue extract, whereas PBMCs from a healthy control did not. PBMCs from the patient secreted higher concentrations of IFN-γ compared with the healthy control. Introduction of patient PBMCs or IgG into Rag2/IL2RG-/- mice resulted in higher cardiac IFN-γ transcript levels compared with control PBMCs or IgG. These findings demonstrate cellular reactivity to SARS-CoV-2 spike protein and myocardial tissue, increased IFN-γ production, and induction of cardiac IFN-γ expression following passive transfer of immune components. Full article
(This article belongs to the Special Issue Long-COVID and Its Complications)
Show Figures

Figure 1

Back to TopTop