Associations of Maternal Breastmilk microRNAs and Infant Obesity Status at 1 Year
Abstract
1. Introduction
2. Materials and Methods
2.1. Participants
2.2. HM Sample Collection
2.3. Sample and Data Processing
2.4. Infant Weight Data Collection
2.5. Statistical Analysis
3. Results
3.1. Weight Outcomes
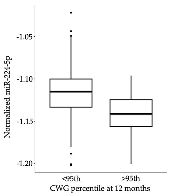
3.2. Human Milk miRNA Characteristics and Infant Weight Outcomes
3.3. Logistic Regression of Demographic and miRNA Variables
4. Discussion
Author Contributions
Funding
Institutional Review Board Statement
Informed Consent Statement
Data Availability Statement
Acknowledgments
Conflicts of Interest
References
- Murray, C.J.L.; Aravkin, A.Y.; Zheng, P.; Abbafati, C.; Abbas, K.M.; Abbasi-Kangevari, M.; Abd-Allah, F.; Abdelalim, A.; Abdollahi, M.; Abdollahpour, I.; et al. Global burden of 87 risk factors in 204 countries and territories, 1990–2019: A systematic analysis for the Global Burden of Disease Study 2019. Lancet 2020, 396, 1223–1249. [Google Scholar] [CrossRef] [PubMed]
- Leunissen, R.W.J.; Kerkhof, G.F.; Stijnen, T.; Hokken-Koelega, A. Timing and tempo of first-year rapid growth in relation to cardiovascular and metabolic risk profile in early adulthood. JAMA 2009, 301, 2234–2242. [Google Scholar] [CrossRef] [PubMed]
- Butler, É.M.; Derraik, J.G.B.; Taylor, R.W.; Cutfield, W.S. Prediction Models for Early Childhood Obesity: Applicability and Existing Issues. Horm. Res. Paediatr. 2018, 90, 358–367. [Google Scholar] [CrossRef] [PubMed]
- Halilagic, A.; Moschonis, G. The Effect of Growth Rate during Infancy on the Risk of Developing Obesity in Childhood: A Systematic Literature Review. Nutrients 2021, 13, 3449. [Google Scholar] [CrossRef] [PubMed]
- Taveras, E.M.; Rifas-Shiman, S.L.; Belfort, M.B.; Kleinman, K.P.; Oken, E.; Gillman, M.W. Weight status in the first 6 months of life and obesity at 3 years of age. Pediatrics 2009, 123, 1177–1183. [Google Scholar] [CrossRef] [PubMed]
- Bhargava, S.K.; Sachdev, H.S.; Fall, C.H.D.; Osmond, C.; Lakshmy, R.; Barker, D.J.P.; Biswas, S.K.D.; Ramji, S.; Prabhakaran, D.; Reddy, K.S. Relation of serial changes in childhood body-mass index to impaired glucose tolerance in young adulthood. N. Engl. J. Med. 2004, 350, 865–875. [Google Scholar] [CrossRef] [PubMed]
- Cameron, N.; Pettifor, J.; De Wet, T.; Norris, S. The relationship of rapid weight gain in infancy to obesity and skeletal maturity in childhood. Obes. Res. 2003, 11, 457–460. [Google Scholar] [CrossRef] [PubMed]
- Eid, E.E. Follow-up study of physical growth of children who had excessive weight gain in first six months of life. Br. Med. J. 1970, 2, 74–76. [Google Scholar] [CrossRef] [PubMed]
- Prediction of Childhood Obesity by Infancy Weight Gain: An Individual-Level Meta-Analysis–Druet–2012–Paediatric and Perinatal Epidemiology–Wiley Online Library. Available online: https://onlinelibrary.wiley.com/doi/full/10.1111/j.1365-3016.2011.01213.x (accessed on 28 April 2024).
- Li, Y.-F.; Lin, S.-J.; Chiang, T. Timing of rapid weight gain and its effect on subsequent overweight or obesity in childhood: Findings from a longitudinal birth cohort study. BMC Pediatr. 2020, 20, 293. [Google Scholar] [CrossRef]
- Ong, K.K.; Loos, R.J.F. Rapid infancy weight gain and subsequent obesity: Systematic reviews and hopeful suggestions. Acta Paediatr. 2006, 95, 904–908. [Google Scholar] [CrossRef]
- Lessen, R.; Kavanagh, K. Position of the Academy of Nutrition and Dietetics: Promoting and Supporting Breastfeeding. J. Acad. Nutr. Diet. 2015, 115, 444–449. [Google Scholar] [CrossRef] [PubMed]
- Lawrence, P.B. Breast milk: Best source of nutrition for term and preterm infants. Pediatr. Clin. N. Am. 1994, 41, 925–941. [Google Scholar] [CrossRef] [PubMed]
- Alsaweed, M.; Lai, C.T.; Hartmann, P.E.; Geddes, D.T.; Kakulas, F. Human Milk Cells Contain Numerous miRNAs that May Change with Milk Removal and Regulate Multiple Physiological Processes. Int. J. Mol. Sci. 2016, 17, 956. [Google Scholar] [CrossRef] [PubMed]
- Tingö, L.; Ahlberg, E.; Johansson, L.; Pedersen, S.A.; Chawla, K.; Sætrom, P.; Cione, E.; Simpson, M.R. Non-Coding RNAs in Human Breast Milk: A Systematic Review. Front. Immunol. 2021, 12, 725323. [Google Scholar] [CrossRef] [PubMed]
- Alsaweed, M.; Hepworth, A.R.; Lefèvre, C.; Hartmann, P.E.; Geddes, D.T.; Hassiotou, F. Human Milk MicroRNA and Total RNA Differ Depending on Milk Fractionation. J. Cell. Biochem. 2015, 116, 2397–2407. [Google Scholar] [CrossRef] [PubMed]
- Hicks, S.D.; Confair, A.; Warren, K.; Chandran, D. Levels of Breast Milk MicroRNAs and Other Non-Coding RNAs Are Impacted by Milk Maturity and Maternal Diet. Front. Immunol. 2021, 12, 785217. [Google Scholar] [CrossRef] [PubMed]
- Alsaweed, M.; Lai, C.T.; Hartmann, P.E.; Geddes, D.T.; Kakulas, F. Human Milk Cells and Lipids Conserve Numerous Known and Novel miRNAs, Some of Which Are Differentially Expressed during Lactation. PLoS ONE 2016, 11, e0152610. [Google Scholar] [CrossRef] [PubMed]
- Carney, M.C.; Tarasiuk, A.; DiAngelo, S.L.; Silveyra, P.; Podany, A.; Birch, L.L.; Paul, I.M.; Kelleher, S.; Hicks, S.D. Metabolism-related microRNAs in maternal breast milk are influenced by premature delivery. Pediatr. Res. 2017, 82, 226–236. [Google Scholar] [CrossRef] [PubMed]
- Characterization and Biological Function of Milk-Derived miRNAs–Golan-Gerstl–2017–Molecular Nutrition & Food Research–Wiley Online Library. Available online: https://onlinelibrary.wiley.com/doi/full/10.1002/mnfr.201700009 (accessed on 28 April 2024).
- Munch, E.M.; Harris, R.A.; Mohammad, M.; Benham, A.L.; Pejerrey, S.M.; Showalter, L.; Hu, M.; Shope, C.D.; Maningat, P.D.; Gunaratne, P.H.; et al. Transcriptome profiling of microRNA by Next-Gen deep sequencing reveals known and novel miRNA species in the lipid fraction of human breast milk. PLoS ONE 2013, 8, e50564. [Google Scholar] [CrossRef]
- Hicks, S.D.; Beheshti, R.; Chandran, D.; Warren, K.; Confair, A. Infant consumption of microRNA miR-375 in human milk lipids is associated with protection from atopy. Am. J. Clin. Nutr. 2022, 116, 1654–1662. [Google Scholar] [CrossRef]
- Chandran, D.; Confair, A.; Warren, K.; Kawasawa, Y.I.; Hicks, S.D. Maternal Variants in the MFGE8 Gene are Associated with Perceived Breast Milk Supply. Breastfeed. Med. 2022, 17, 331–340. [Google Scholar] [CrossRef] [PubMed]
- Kelleher, S.L.; Gagnon, A.; Rivera, O.C.; Hicks, S.D.; Carney, M.C.; Alam, S. Milk-derived miRNA profiles elucidate molecular pathways that underlie breast dysfunction in women with common genetic variants in SLC30A2. Sci. Rep. 2019, 9, 12686. [Google Scholar] [CrossRef] [PubMed]
- Zamanillo, R.; Sánchez, J.; Serra, F.; Palou, A. Breast Milk Supply of MicroRNA Associated with Leptin and Adiponectin Is Affected by Maternal Overweight/Obesity and Influences Infancy BMI. Nutrients 2019, 11, 2589. [Google Scholar] [CrossRef] [PubMed]
- Yeruva, L.; Mulakala, B.K.; Rajasundaram, D.; Gonzalez, S.; Cabrera-Rubio, R.; Martínez-Costa, C.; Collado, M.C. Human milk miRNAs associate to maternal dietary nutrients, milk microbiota, infant gut microbiota and growth. Clin. Nutr. 2023, 42, 2528–2539. [Google Scholar] [CrossRef] [PubMed]
- Shah, K.B.; Chernausek, S.D.; Garman, L.D.; Pezant, N.P.; Plows, J.F.; Kharoud, H.K.; Demerath, E.W.; Fields, D.A. Human Milk Exosomal MicroRNA: Associations with Maternal Overweight/Obesity and Infant Body Composition at 1 Month of Life. Nutrients 2021, 13, 1091. [Google Scholar] [CrossRef] [PubMed]
- Chong, J.; Wishart, D.S.; Xia, J. Using MetaboAnalyst 4.0 for Comprehensive and Integrative Metabolomics Data Analysis. Curr. Protoc. Bioinform. 2019, 68, e86. [Google Scholar] [CrossRef]
- Griffiths, L.J.; Smeeth, L.; Hawkins, S.S.; Cole, T.J.; Dezateux, C. Effects of infant feeding practice on weight gain from birth to 3 years. Arch. Dis. Child. 2009, 94, 577–582. [Google Scholar] [CrossRef] [PubMed]
- Savage, J.S.; Birch, L.L.; Marini, M.; Anzman-Frasca, S.; Paul, I.M. Effect of the INSIGHT Responsive Parenting Intervention on Rapid Infant Weight Gain and Overweight Status at Age 1 Year: A Randomized Clinical Trial. JAMA Pediatr. 2016, 170, 742–749. [Google Scholar] [CrossRef] [PubMed]
- Xia, J.; Psychogios, N.; Young, N.; Wishart, D.S. MetaboAnalyst: A web server for metabolomic data analysis and interpretation. Nucleic Acids Res. 2009, 37, W652–W660. [Google Scholar] [CrossRef]
- ggplot2 Based Publication Ready Plots. Available online: https://rpkgs.datanovia.com/ggpubr/ (accessed on 28 April 2024).
- Robin, X.; Turck, N.; Hainard, A.; Tiberti, N.; Lisacek, F.; Sanchez, J.-C.; Müller, M. pROC: An open-source package for R and S+ to analyze and compare ROC curves. BMC Bioinform. 2011, 12, 77. [Google Scholar] [CrossRef]
- WHO Child Growth Standards: Growth Velocity Based on Weight, Length and Head Circumference: Methods and Development. Available online: https://www.who.int/publications-detail-redirect/9789241547635 (accessed on 24 April 2024).
- Daniels, L.A.; Mallan, K.M.; Battistutta, D.; Nicholson, J.M.; Perry, R.; Magarey, A. Evaluation of an intervention to promote protective infant feeding practices to prevent childhood obesity: Outcomes of the NOURISH RCT at 14 months of age and 6 months post the first of two intervention modules. Int. J. Obes. 2012, 36, 1292–1298. [Google Scholar] [CrossRef] [PubMed]
- Wen, L.M.; Baur, L.A.; Simpson, J.M.; Rissel, C.; Wardle, K.; Flood, V.M. Effectiveness of home based early intervention on children’s BMI at age 2: Randomised controlled trial. BMJ 2012, 344, e3732. [Google Scholar] [CrossRef] [PubMed]
- Freedman, D.S.; Sharma, A.J.; Hamner, H.C.; Pan, L.; Panzera, A.; Smith, R.B.; Blanck, H.M. Trends in Weight-for-Length Among Infants in WIC From 2000 to 2014. Pediatrics 2017, 139, e20162034. [Google Scholar] [CrossRef] [PubMed]
- Bridgman, S.L.; Azad, M.B.; Persaud, R.R.; Chari, R.S.; Becker, A.B.; Sears, M.R.; Mandhane, P.J.; Turvey, S.E.; Subbarao, P.; Haqq, A.M.; et al. Impact of maternal pre-pregnancy overweight on infant overweight at 1 year of age: Associations and sex-specific differences. Pediatr. Obes. 2018, 13, 579–589. [Google Scholar] [CrossRef] [PubMed]
- Woo Baidal, J.A.; Locks, L.M.; Cheng, E.R.; Blake-Lamb, T.L.; Perkins, M.E.; Taveras, E.M. Risk Factors for Childhood Obesity in the First 1,000 Days: A Systematic Review. Am. J. Prev. Med. 2016, 50, 761–779. [Google Scholar] [CrossRef] [PubMed]
- Hu, J.; Liu, Y.; Wei, X.; Li, L.; Gao, M.; Liu, Y.; Ma, Y.; Wen, D. Association of gestational diabetes mellitus with offspring weight status across infancy: A prospective birth cohort study in China. BMC Pregnancy Childbirth 2021, 21, 21. [Google Scholar] [CrossRef] [PubMed]
- Peng, Y.; Xiang, H.; Chen, C.; Zheng, R.; Chai, J.; Peng, J.; Jiang, S. MiR-224 impairs adipocyte early differentiation and regulates fatty acid metabolism. Int. J. Biochem. Cell Biol. 2013, 45, 1585–1593. [Google Scholar] [CrossRef] [PubMed]
- Ding, K.; Liu, C.; Li, L.; Yang, M.; Jiang, N.; Luo, S.; Sun, L. Acyl-CoA synthase ACSL4: An essential target in ferroptosis and fatty acid metabolism. Chin. Med. J. 2023, 136, 2521–2537. [Google Scholar] [CrossRef]
- Milagro, F.I.; Miranda, J.; Portillo, M.P.; Fernandez-Quintela, A.; Campión, J.; Martínez, J.A. High-throughput sequencing of microRNAs in peripheral blood mononuclear cells: Identification of potential weight loss biomarkers. PLoS ONE 2013, 8, e54319. [Google Scholar] [CrossRef]




| miRNA | CWG R2 (p Value) | WFL R2 (p Value) |
|---|---|---|
| miR-30a-5p | 4.7% (0.003) | 2.3% (0.03) |
| miR-141-3p | 4.1% (0.005) | 1.5% (0.07) |
| miR-374b-5p | 2.9% (0.02) | 2.2% (0.03) |
| miR-29a-3p | 2.7% (0.02) | 1.0% (0.1) |
| miR-224-5p | 1.3% (0.08) | 2.6% (0.02) |
| miR-200a-3p | 2.2% (0.03) | 1.1% (0.09) |
| miR-151a-3p | 1.6% (0.06) | 1.8% (0.048) |
| miR-103a-3p | 2.4% (0.03) | 2.6% (0.02) |
| let-7i-5p | 2.4% (0.03) | 1.0% (0.11) |
| MSigDB Term | Genes Targeted, n (%) | FDR |
|---|---|---|
| Muraro Pancreas Ductal Cell | 301/1522 (19.7) | 1.25 × 10−19 |
| Muraro Pancreas Mesenchymal Cell | 160/716 (22.3) | 2.01 × 10−14 |
| Muraro Pancreas β Cell | 195/1019 (19.1) | 8.03 × 10−11 |
| Aizarani Liver C39 Epcam Pos Bile Duct Cells | 55/204 (26.9) | 1.09 × 10−7 |
| Hay Bone Marrow Immature Neutrophil | 55/204 (26.9) | 1.09 × 10−7 |
| Muraro Pancreas Endothelial Cell | 88/398 (22.1) | 1.14 × 10−7 |
| Lake Adult Kidney C17 Collecting System PCS Stressed Dissociated Subset | 63/254 (24.8) | 1.98 × 10−7 |
| Cui Developing Heart C5 Valvar Cell | 57/233 (24.4) | 1.58 × 10−6 |
| Aizarani Liver C20 LSECS 3 | 70/311 (22.5) | 1.60 × 10−6 |
| Muraro Pancreas Acinar Cell | 151/851 (17.7) | 2.41 × 10−6 |
| Model Variable | n (%) |
|---|---|
| Breastfeeding at 6 months | 152 (69%) |
| Self-reported ethnicity (White) | 166 (75%) |
| Presence of gestational diabetes | 25 (11%) |
| Normal pre-pregnancy BMI | 83 (38%) |
| Privately insured | 167 (76%) |
Disclaimer/Publisher’s Note: The statements, opinions and data contained in all publications are solely those of the individual author(s) and contributor(s) and not of MDPI and/or the editor(s). MDPI and/or the editor(s) disclaim responsibility for any injury to people or property resulting from any ideas, methods, instructions or products referred to in the content. |
© 2024 by the authors. Licensee MDPI, Basel, Switzerland. This article is an open access article distributed under the terms and conditions of the Creative Commons Attribution (CC BY) license (https://creativecommons.org/licenses/by/4.0/).
Share and Cite
Van Syoc, E.; Stegman, M.; Sullivan, R.; Confair, A.; Warren, K.; Hicks, S.D. Associations of Maternal Breastmilk microRNAs and Infant Obesity Status at 1 Year. Genes 2024, 15, 813. https://doi.org/10.3390/genes15060813
Van Syoc E, Stegman M, Sullivan R, Confair A, Warren K, Hicks SD. Associations of Maternal Breastmilk microRNAs and Infant Obesity Status at 1 Year. Genes. 2024; 15(6):813. https://doi.org/10.3390/genes15060813
Chicago/Turabian StyleVan Syoc, Emily, Molly Stegman, Rhea Sullivan, Alexandra Confair, Kaitlyn Warren, and Steven D. Hicks. 2024. "Associations of Maternal Breastmilk microRNAs and Infant Obesity Status at 1 Year" Genes 15, no. 6: 813. https://doi.org/10.3390/genes15060813
APA StyleVan Syoc, E., Stegman, M., Sullivan, R., Confair, A., Warren, K., & Hicks, S. D. (2024). Associations of Maternal Breastmilk microRNAs and Infant Obesity Status at 1 Year. Genes, 15(6), 813. https://doi.org/10.3390/genes15060813

