Genome-Wide Identification and Hormone Response Analysis of the COBL Gene Family in Barley
Abstract
1. Introduction
2. Results
2.1. Identification of the COBL Gene Family in the Barley Genome
2.2. Chromosomal Location and Collinearity Analysis of COBL Family Genes in Barley
2.3. Phylogenetic Relationship Analysis of COBL Proteins
2.4. Analyses of Locations, Structures, and Conserved Motifs of HvCOBL Genes
2.5. Prediction of Signal Peptide, TMHs, and Subcellular Localization of HvCOBL Family Proteins
2.6. Analysis of Cis-Acting Elements of HvCOBL Promoter
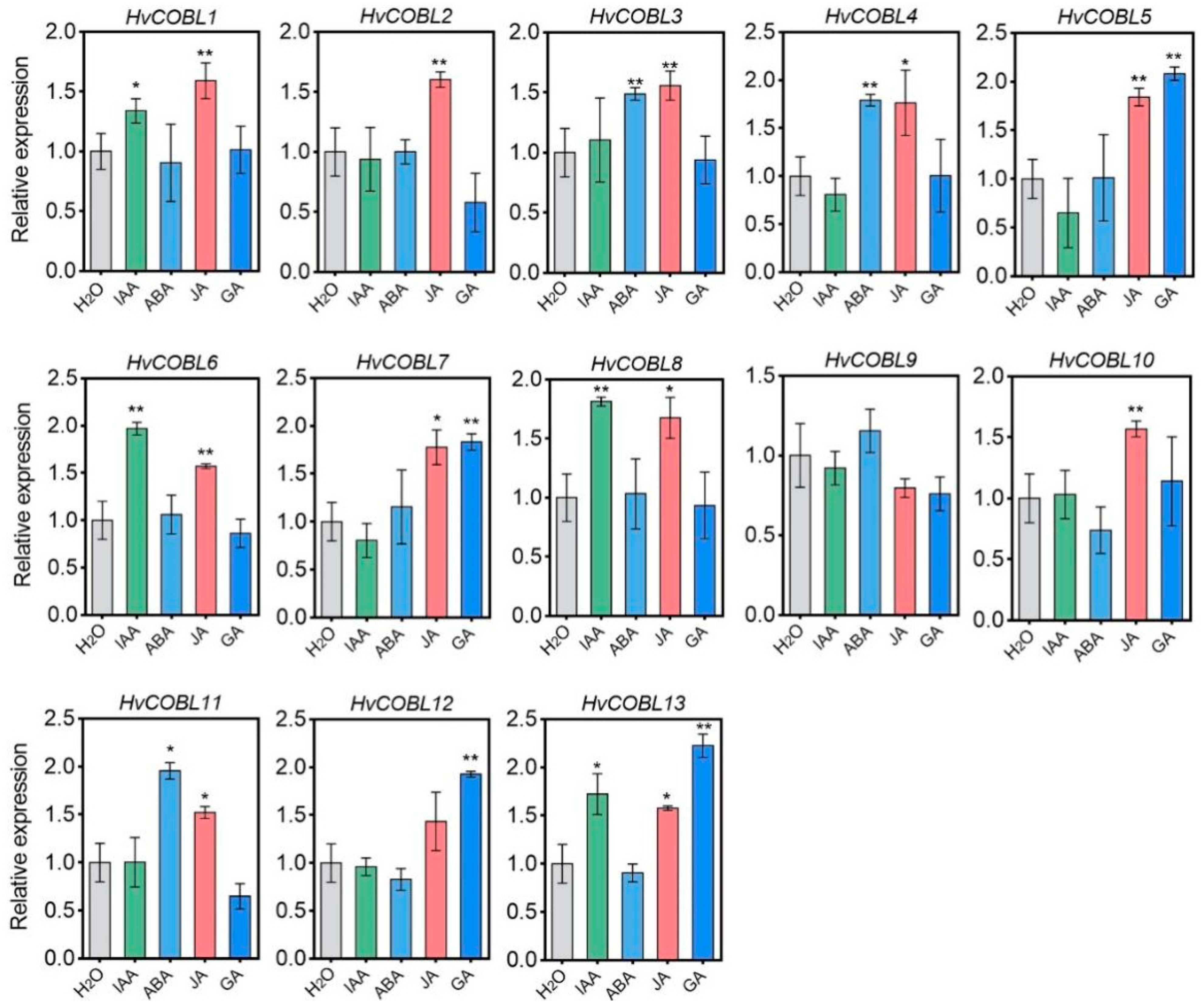
2.7. Expression of HvCOBL Genes under Different Plant Hormone Treatments
3. Discussion
3.1. Functions of Cellulose in Stem Development and Stress Responses
3.2. COBL Family Genes Involved in Cellulose Synthesis
3.3. Regulating Cellulose Content to Assist Barley Production
4. Materials and Methods
4.1. Identification of COBL Genes in Barley
4.2. Phylogenetic Analysis and Classification of HvCOBL Genes in Barley
4.3. Collinearity Analysis and Chromosomal Mapping of the HvCOBL Family Genes
4.4. Gene Structure, Domain Analysis, Motif Analysis, and Cis-Regulatory Analysis
4.5. Protein Three-Dimensional Structure, Signal Peptide, and Transmembrane Helices Prediction of HvCOBL Proteins
4.6. Plant Treatment and Quantitative RT-PCR
Supplementary Materials
Author Contributions
Funding
Institutional Review Board Statement
Informed Consent Statement
Data Availability Statement
Conflicts of Interest
References
- Ringli, C. Monitoring the Outside: Cell Wall-Sensing Mechanisms. Plant Physiol. 2010, 153, 1445–1452. [Google Scholar] [CrossRef] [PubMed]
- Borner, G.H.H.; Lilley, K.S.; Stevens, T.J.; Dupree, P. Identification of Glycosylphosphatidylinositol-Anchored Proteins in Arabidopsis. A Proteomic and Genomic Analysis. Plant Physiol. 2003, 132, 568–577. [Google Scholar] [CrossRef] [PubMed]
- Roudier, F.; Schindelman, G.; DeSalle, R.; Benfey, P.N. The COBRA Family of Putative GPI-Anchored Proteins in Arabidopsis. A New Fellowship in Expansion. Plant Physiol. 2002, 130, 538–548. [Google Scholar] [CrossRef] [PubMed]
- Liu, L.; Shang-Guan, K.; Zhang, B.; Liu, X.; Yan, M.; Zhang, L.; Shi, Y.; Zhang, M.; Qian, Q.; Li, J.; et al. Brittle Culm1, a COBRA-Like Protein, Functions in Cellulose Assembly through Binding Cellulose Microfibrils. PLoS Genet. 2013, 9, e1003704. [Google Scholar] [CrossRef] [PubMed]
- Courtneidge, S.A.; Fumagalli, S.; Koegl, M.; Superti-Furga, G.; Twamley-Stein, G.M. The Src family of protein tyrosine kinases: Regulation and functions. Development 1993, 119, 57–64. [Google Scholar] [CrossRef]
- Roudier, F.; Fernandez, A.G.; Fujita, M.; Himmelspach, R.; Borner, G.H.H.; Schindelman, G.; Song, S.; Baskin, T.I.; Dupree, P.; Wasteneys, G.O.; et al. COBRA, an Arabidopsis Extracellular Glycosyl-Phosphatidyl Inositol-Anchored Protein, Specifically Controls Highly Anisotropic Expansion through Its Involvement in Cellulose Microfibril Orientation. Plant Cell 2005, 17, 1749–1763. [Google Scholar] [CrossRef]
- Brown, D.M.; Zeef, L.A.H.; Ellis, J.; Goodacre, R.; Turner, S.R. Identification of Novel Genes in Arabidopsis Involved in Secondary Cell Wall Formation Using Expression Profiling and Reverse Genetics. Plant Cell 2005, 17, 2281–2295. [Google Scholar] [CrossRef] [PubMed]
- Sato, K.; Suzuki, R.; Nishikubo, N.; Takenouchi, S.; Ito, S.; Nakano, Y.; Nakaba, S.; Sano, Y.; Funada, R.; Kajita, S.; et al. Isolation of a novel cell wall architecture mutant of rice with defective Arabidopsis COBL4 ortholog BC1 required for regulated deposition of secondary cell wall components. Planta 2010, 232, 257–270. [Google Scholar] [CrossRef] [PubMed]
- Li, S.; Ge, F.-R.; Xu, M.; Zhao, X.-Y.; Huang, G.-Q.; Zhou, L.-Z.; Wang, J.-G.; Kombrink, A.; McCormick, S.; Zhang, X.S.; et al. Arabidopsis COBRA-LIKE 10, a GPI-anchored protein, mediates directional growth of pollen tubes. Plant J. 2013, 74, 486–497. [Google Scholar] [CrossRef]
- Ching, A.; Dhugga, K.S.; Appenzeller, L.; Meeley, R.; Bourett, T.M.; Howard, R.J.; Rafalski, A. Brittle stalk 2 encodes a putative glycosylphosphatidylinositol-anchored protein that affects mechanical strength of maize tissues by altering the composition and structure of secondary cell walls. Planta 2006, 224, 1174–1184. [Google Scholar] [CrossRef]
- Li, Y.; Qian, Q.; Zhou, Y.; Yan, M.; Sun, L.; Zhang, M.; Fu, Z.; Wang, Y.; Han, B.; Pang, X.; et al. BRITTLE CULM1, Which Encodes a COBRA-Like Protein, Affects the Mechanical Properties of Rice Plants. Plant Cell 2003, 15, 2020–2031. [Google Scholar] [CrossRef] [PubMed]
- Ben-Tov, D.; Abraham, Y.; Stav, S.; Thompson, K.; Loraine, A.; Elbaum, R.; de Souza, A.; Pauly, M.; Kieber, J.J.; Harpaz-Saad, S. COBRA-LIKE2, a Member of the Glycosylphosphatidylinositol-Anchored COBRA-LIKE Family, Plays a Role in Cellulose Deposition in Arabidopsis Seed Coat Mucilage Secretory Cells. Plant Physiol. 2015, 167, 711–724. [Google Scholar] [CrossRef] [PubMed]
- Cao, Y.; Tang, X.; Giovannoni, J.; Xiao, F.; Liu, Y. Functional characterization of a tomato COBRA-likegene functioning in fruit development and ripening. BMC Plant Biol. 2012, 12, 211. [Google Scholar] [CrossRef] [PubMed]
- Bai, Y.; Zhao, X.; Yao, X.; Yao, Y.; Li, X.; Hou, L.; An, L.; Wu, K.; Wang, Z. Comparative transcriptome analysis of major lodging resistant factors in hulless barley. Front. Plant Sci. 2023, 14, 1230792. [Google Scholar] [CrossRef] [PubMed]
- Lou, H.; Tucker, M.R.; Shirley, N.J.; Lahnstein, J.; Yang, X.; Ma, C.; Schwerdt, J.; Fusi, R.; Burton, R.A.; Band, L.R.; et al. The cellulose synthase-like F3 (CslF3) gene mediates cell wall polysaccharide synthesis and affects root growth and differentiation in barley. Plant J. 2022, 110, 1681–1699. [Google Scholar] [CrossRef] [PubMed]
- Guo, B.; Huang, X.; Qi, J.; Sun, H.; Lv, C.; Wang, F.; Zhu, J.; Xu, R. Brittle culm 3, encoding a cellulose synthase subunit 5, is required for cell wall biosynthesis in barley (Hordeum vulgare L.). Front. Plant Sci. 2022, 13, 989406. [Google Scholar] [CrossRef]
- Douchkov, D.; Lueck, S.; Hensel, G.; Kumlehn, J.; Rajaraman, J.; Johrde, A.; Doblin, M.S.; Beahan, C.T.; Kopischke, M.; Fuchs, R.; et al. The barley (Hordeum vulgare) cellulose synthase-like D2 gene (HvCslD2) mediates penetration resistance to host-adapted and nonhost isolates of the powdery mildew fungus. New Phytol. 2016, 212, 421–433. [Google Scholar] [CrossRef] [PubMed]
- Houston, K.; Burton, R.A.; Sznajder, B.; Rafalski, A.J.; Dhugga, K.S.; Mather, D.E.; Taylor, J.; Steffenson, B.J.; Waugh, R.; Fincher, G.B. A Genome-Wide Association Study for Culm Cellulose Content in Barley Reveals Candidate Genes Co-Expressed with Members of the CELLULOSE SYNTHASE A Gene Family. PLoS ONE 2015, 10, e0130890. [Google Scholar] [CrossRef]
- Lampugnani, E.R.; Flores-Sandoval, E.; Tan, Q.W.; Mutwil, M.; Bowman, J.L.; Persson, S. Cellulose Synthesis–Central Components and Their Evolutionary Relationships. Trends Plant Sci. 2019, 24, 402–412. [Google Scholar] [CrossRef]
- Pedersen, G.B.; Blaschek, L.; Frandsen, K.E.H.; Noack, L.C.; Persson, S. Cellulose synthesis in land plants. Mol. Plant 2023, 16, 206–231. [Google Scholar] [CrossRef]
- Li, P.; Liu, Y.; Tan, W.; Chen, J.; Zhu, M.; Lv, Y.; Liu, Y.; Yu, S.; Zhang, W.; Cai, H. Brittle Culm 1 Encodes a COBRA-Like Protein Involved in Secondary Cell Wall Cellulose Biosynthesis in Sorghum. Plant Cell Physiol. 2018, 60, 788–801. [Google Scholar] [CrossRef]
- Yang, Q.; Wang, S.; Chen, H.; You, L.; Liu, F.; Liu, Z. Genome-wide identification and expression profiling of the COBRA-like genes reveal likely roles in stem strength in rapeseed (Brassica napus L.). PLoS ONE 2021, 16, e0260268. [Google Scholar] [CrossRef]
- Rui, Y.; Anderson, C.T. Functional Analysis of Cellulose and Xyloglucan in the Walls of Stomatal Guard Cells of Arabidopsis. Plant Physiol. 2016, 170, 1398–1419. [Google Scholar] [CrossRef] [PubMed]
- Ge, S.; Sun, P.; Wu, W.; Chen, X.; Wang, Y.; Zhang, M.; Huang, J.; Liang, Y.-K. COBL7 is required for stomatal formation via regulation of cellulose deposition in Arabidopsis. New Phytol. 2024, 241, 227–242. [Google Scholar] [CrossRef] [PubMed]
- Somssich, M.; Vandenbussche, F.; Ivakov, A.; Funke, N.; Ruprecht, C.; Vissenberg, K.; Straeten, D.V.; Persson, S.; Suslov, D. Brassinosteroids Influence Arabidopsis Hypocotyl Graviresponses through Changes in Mannans and Cellulose. Plant Cell Physiol. 2021, 62, 678–692. [Google Scholar] [CrossRef]
- Niu, E.; Fang, S.; Shang, X.; Guo, W. Ectopic expression of GhCOBL9A, a cotton glycosyl-phosphatidyl inositol-anchored protein encoding gene, promotes cell elongation, thickening and increased plant biomass in transgenic Arabidopsis. Mol. Genet. Genom. 2018, 293, 1191–1204. [Google Scholar] [CrossRef]
- Sun, X.; Xiong, H.; Jiang, C.; Zhang, D.; Yang, Z.; Huang, Y.; Zhu, W.; Ma, S.; Duan, J.; Wang, X.; et al. Natural variation of DROT1 confers drought adaptation in upland rice. Nat. Commun. 2022, 13, 4265. [Google Scholar] [CrossRef] [PubMed]
- Zaheer, M.; Rehman, S.U.; Khan, S.H.; Shahid, S.; Rasheed, A.; Naz, R.; Sajjad, M. Characterization of new COBRA like (COBL) genes in wheat (Triticum aestivum) and their expression analysis under drought stress. Mol. Biol. Rep. 2022, 49, 1379–1387. [Google Scholar] [CrossRef]
- Qiu, C.; Chen, J.; Wu, W.; Liao, B.; Zheng, X.; Li, Y.; Huang, J.; Shi, J.; Hao, Z. Genome-Wide Analysis and Abiotic Stress-Responsive Patterns of COBRA-like Gene Family in Liriodendron chinense. Plants 2023, 12, 1616. [Google Scholar] [CrossRef]
- Polko, J.K.; Kieber, J.J. The Regulation of Cellulose Biosynthesis in Plants. Plant Cell 2019, 31, 282–296. [Google Scholar] [CrossRef]
- Zhong, R.; Cui, D.; Ye, Z.-H. Secondary cell wall biosynthesis. New Phytol. 2019, 221, 1703–1723. [Google Scholar] [CrossRef] [PubMed]
- Kaur, S.; Dhugga, K.S.; Beech, R.; Singh, J. Genome-wide analysis of the cellulose synthase-like (Csl) gene family in bread wheat (Triticum aestivum L.). BMC Plant Biol. 2017, 17, 193. [Google Scholar] [CrossRef] [PubMed]
- Richmond, T.A.; Somerville, C.R. The Cellulose Synthase Superfamily1. Plant Physiol. 2000, 124, 495–498. [Google Scholar] [CrossRef]
- Hoffmann, N.; King, S.; Samuels, A.L.; McFarlane, H.E. Subcellular coordination of plant cell wall synthesis. Dev. Cell 2021, 56, 933–948. [Google Scholar] [CrossRef]
- Brady, S.M.; Song, S.; Dhugga, K.S.; Rafalski, J.A.; Benfey, P.N. Combining Expression and Comparative Evolutionary Analysis. The COBRA Gene Family. Plant Physiol. 2006, 143, 172–187. [Google Scholar] [CrossRef]
- Visioni, A.; Basile, B.; Amri, A.; Sanchez-Garcia, M.; Corrado, G. Advancing the Conservation and Utilization of Barley Genetic Resources: Insights into Germplasm Management and Breeding for Sustainable Agriculture. Plants 2023, 12, 3186. [Google Scholar] [CrossRef] [PubMed]
- Jayawardhane, K.N.; Singer, S.D.; Ozga, J.A.; Rizvi, S.M.; Weselake, R.J.; Chen, G. Seed-specific down-regulation of Arabidopsis CELLULOSE SYNTHASE 1 or 9 reduces seed cellulose content and differentially affects carbon partitioning. Plant Cell Rep. 2020, 39, 953–969. [Google Scholar] [CrossRef] [PubMed]
- Ma, X.; Li, C.; Huang, R.; Zhang, K.; Wang, Q.; Fu, C.; Liu, W.; Sun, C.; Wang, P.; Wang, F.; et al. Rice Brittle Culm19 Encoding Cellulose Synthase Subunit CESA4 Causes Dominant Brittle Phenotype But has No Distinct Influence on Growth and Grain Yield. Rice 2021, 14, 95. [Google Scholar] [CrossRef]
- Livak, K.J.; Schmittgen, T.D. Analysis of relative gene expression data using real-time quantitative PCR and the 2(T)(-Delta Delta C) method. Methods 2001, 25, 402–408. [Google Scholar] [CrossRef]






| Gene Name | Chr | Gene Location (from to) | Size | Number of Amino Acids | Mw (KD) | pI | Instability Index | Aliphatic Index | GRAVY | |
|---|---|---|---|---|---|---|---|---|---|---|
| HvCOBL1 | 2 | 30,152,814 | 30,154,812 | 1998 | 665 | 71.02 | 5.02 | 39.35 | 79.71 | 0.039 |
| HvCOBL2 | 2 | 11,084,0647 | 110,844,319 | 3672 | 452 | 50.35 | 8.23 | 33.83 | 74.25 | −0.208 |
| HvCOBL3 | 2 | 110,845,455 | 110,847,441 | 1986 | 444 | 48.93 | 8.96 | 32.58 | 73.13 | −0.111 |
| HvCOBL4 | 2 | 572,266,296 | 572,268,346 | 2050 | 528 | 58.99 | 7.14 | 57.86 | 75.68 | −0.216 |
| HvCOBL5 | 3 | 14,401,920 | 14,403,700 | 1780 | 449 | 49.2 | 8.86 | 27.41 | 74.32 | −0.112 |
| HvCOBL6 | 4 | 47,365,044 | 47,368,680 | 3636 | 463 | 51.25 | 8.87 | 32.07 | 78.75 | −0.097 |
| HvCOBL7 | 4 | 438,450,414 | 438,452,859 | 2445 | 673 | 72.2 | 6.2 | 33.56 | 79.48 | −0.034 |
| HvCOBL8 | 5 | 126,154,671 | 126,156,383 | 1712 | 450 | 49.55 | 8.86 | 31.2 | 74.96 | −0.1 |
| HvCOBL9 | 5 | 458,128,527 | 458,131,155 | 2628 | 444 | 49.55 | 8.65 | 36.79 | 76.82 | −0.161 |
| HvCOBL10 | 5 | 528,702,303 | 528,706,060 | 3757 | 457 | 50.74 | 8.97 | 39.28 | 68.32 | −0.208 |
| HvCOBL11 | 5 | 528,808,215 | 528,811,208 | 2993 | 222 | 23.96 | 8.97 | 40.74 | 73.87 | −0.063 |
| HvCOBL12 | 6 | 548,235,850 | 548,239,243 | 3393 | 420 | 47.45 | 9.02 | 33.69 | 64.52 | −0.242 |
| HvCOBL13 | 7 | 51,952,323 | 51,954,724 | 2401 | 672 | 74.57 | 8.93 | 43.76 | 71.03 | −0.3 |
| Protein Name | Signal Peptide Prediction | TMHs Prediction | |||
|---|---|---|---|---|---|
| C-Score | S-Score | Signal Peptide | TMHs Number | TMhelix Location | |
| HvCOBL1 | 0.856 | 0.978 | YES | 1 | 84~106 |
| HvCOBL2 | 0.826 | 0.994 | YES | 0 | - |
| HvCOBL3 | 0.67 | 0.972 | YES | 0 | - |
| HvCOBL4 | 0.155 | 0.186 | NO | 2 | 5~27, 434~456 |
| HvCOBL5 | 0.834 | 0.967 | YES | 0 | - |
| HvCOBL6 | 0.869 | 0.995 | YES | 0 | - |
| HvCOBL7 | 0.78 | 0.954 | YES | 2 | 2~24, 649~671 |
| HvCOBL8 | 0.865 | 0.96 | YES | 0 | - |
| HvCOBL9 | 0.737 | 0.981 | YES | 1 | 642~664 |
| HvCOBL10 | 0.748 | 0.955 | YES | 0 | - |
| HvCOBL11 | 0.777 | 0.937 | YES | 0 | - |
| HvCOBL12 | 0.796 | 0.977 | YES | 1 | 7~24 |
| HvCOBL13 | 0.837 | 0.968 | YES | 1 | 7~24 |
Disclaimer/Publisher’s Note: The statements, opinions and data contained in all publications are solely those of the individual author(s) and contributor(s) and not of MDPI and/or the editor(s). MDPI and/or the editor(s) disclaim responsibility for any injury to people or property resulting from any ideas, methods, instructions or products referred to in the content. |
© 2024 by the authors. Licensee MDPI, Basel, Switzerland. This article is an open access article distributed under the terms and conditions of the Creative Commons Attribution (CC BY) license (https://creativecommons.org/licenses/by/4.0/).
Share and Cite
Ren, P.; Ma, L.; Bao, W.; Wang, J. Genome-Wide Identification and Hormone Response Analysis of the COBL Gene Family in Barley. Genes 2024, 15, 612. https://doi.org/10.3390/genes15050612
Ren P, Ma L, Bao W, Wang J. Genome-Wide Identification and Hormone Response Analysis of the COBL Gene Family in Barley. Genes. 2024; 15(5):612. https://doi.org/10.3390/genes15050612
Chicago/Turabian StyleRen, Panrong, Liang Ma, Wei Bao, and Jie Wang. 2024. "Genome-Wide Identification and Hormone Response Analysis of the COBL Gene Family in Barley" Genes 15, no. 5: 612. https://doi.org/10.3390/genes15050612
APA StyleRen, P., Ma, L., Bao, W., & Wang, J. (2024). Genome-Wide Identification and Hormone Response Analysis of the COBL Gene Family in Barley. Genes, 15(5), 612. https://doi.org/10.3390/genes15050612
