PFHxS Exposure and the Risk of Non-Alcoholic Fatty Liver Disease
Abstract
1. Introduction
2. Materials and Methods
3. Results and Discussion
3.1. Developmental Toxicities of PFHxS across Zebrafish Studies
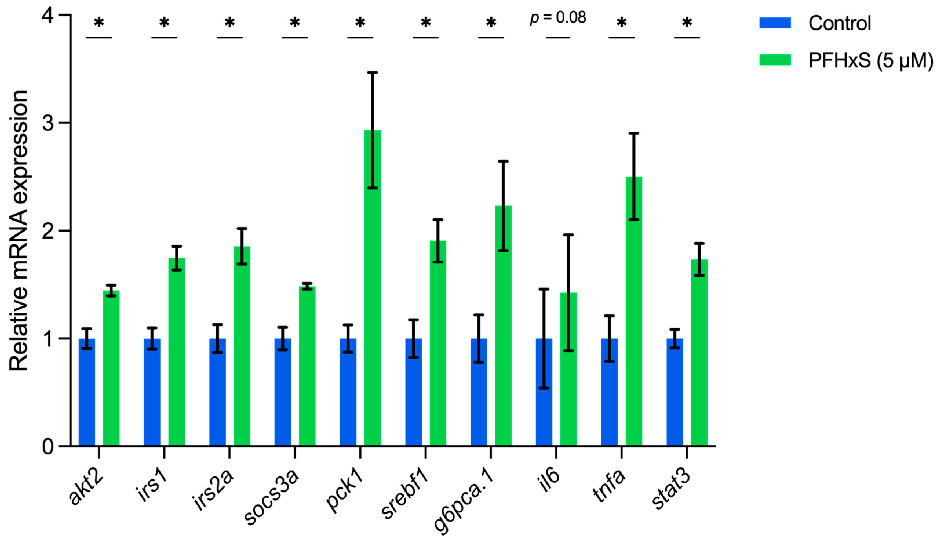
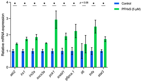
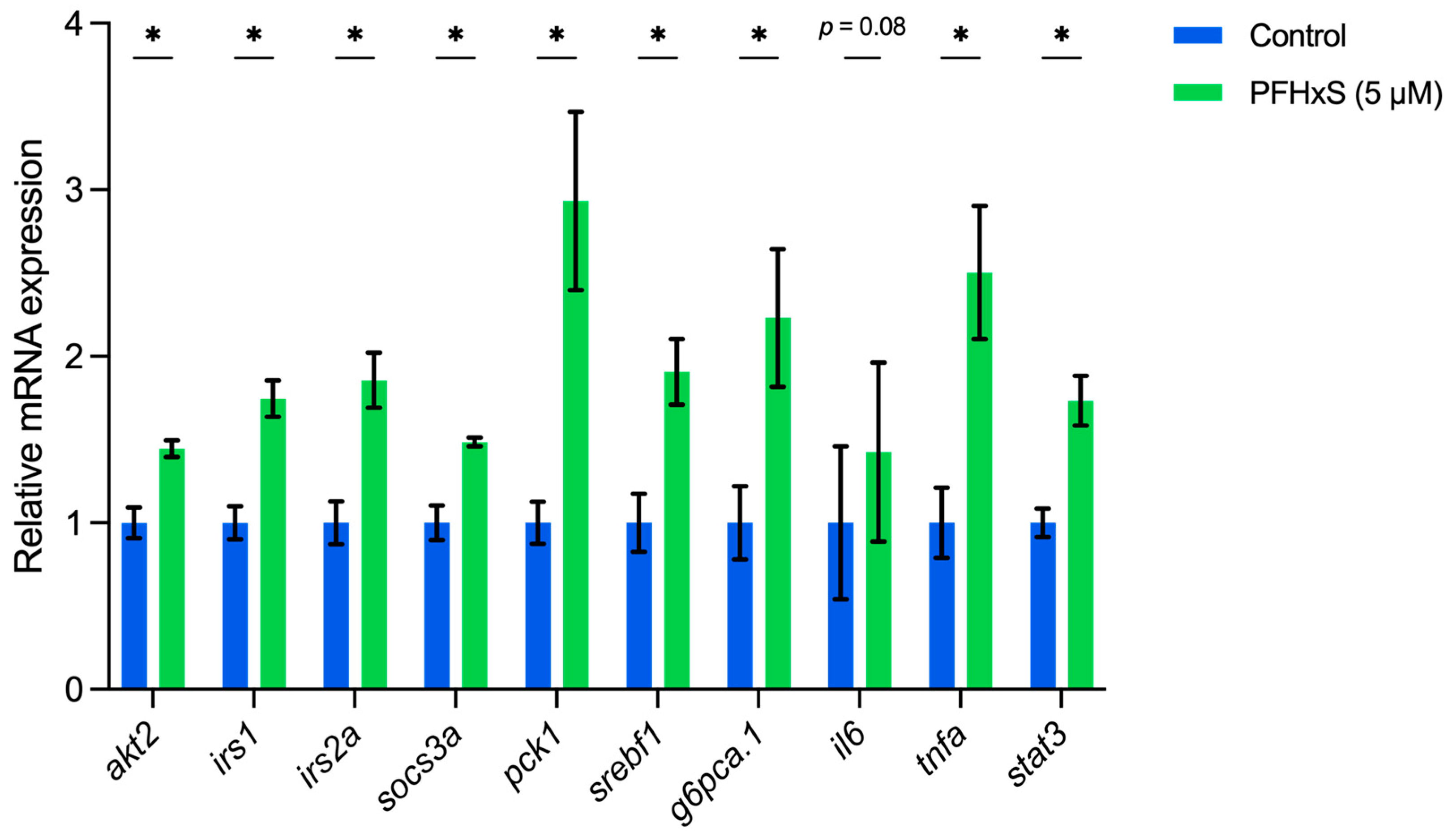
3.2. Possible Mechanism of PFHxS Induced the Development of NAFLD
4. Conclusions
Supplementary Materials
Author Contributions
Funding
Institutional Review Board Statement
Informed Consent Statement
Data Availability Statement
Conflicts of Interest
References
- Costello, E.; Rock, S.; Stratakis, N.; Eckel, S.P.; Walker, D.I.; Valvi, D.; Cserbik, D.; Jenkins, T.; Xanthakos, S.A.; Kohli, R.; et al. Exposure to Per- and Polyfluoroalkyl Substances and Markers of Liver Injury: A Systematic Review and Meta-Analysis. Environ. Health Perspect. 2022, 130, 046001. [Google Scholar] [CrossRef] [PubMed]
- Ducatman, A.; Fenton, S.E. Invited Perspective: PFAS and Liver Disease: Bringing All the Evidence Together. Environ. Health Perspect. 2022, 130, 041303. [Google Scholar] [CrossRef]
- Pouwels, S.; Sakran, N.; Graham, Y.; Leal, A.; Pintar, T.; Yang, W.; Kassir, R.; Singhal, R.; Mahawar, K.; Ramnarain, D. Non-Alcoholic Fatty Liver Disease (NAFLD): A Review of Pathophysiology, Clinical Management and Effects of Weight Loss. BMC Endocr. Disord. 2022, 22, 63. [Google Scholar] [CrossRef] [PubMed]
- Mitra, S.; De, A.; Chowdhury, A. Epidemiology of Non-Alcoholic and Alcoholic Fatty Liver Diseases. Transl. Gastroenterol. Hepatol. 2020, 5, 16. [Google Scholar] [CrossRef] [PubMed]
- Chalasani, N.; Younossi, Z.; Lavine, J.E.; Charlton, M.; Cusi, K.; Rinella, M.; Harrison, S.A.; Brunt, E.M.; Sanyal, A.J. The Diagnosis and Management of Nonalcoholic Fatty Liver Disease: Practice Guidance from the American Association for the Study of Liver Diseases. Hepatology 2018, 67, 328–357. [Google Scholar] [CrossRef] [PubMed]
- Goodrich, J.A.; Walker, D.; Lin, X.; Wang, H.; Lim, T.; McConnell, R.; Conti, D.V.; Chatzi, L.; Setiawan, V.W. Exposure to Perfluoroalkyl Substances and Risk of Hepatocellular Carcinoma in a Multiethnic Cohort. JHEP Rep. 2022, 4, 100550. [Google Scholar] [CrossRef] [PubMed]
- Wahlang, B.; Jin, J.; Beier, J.I.; Hardesty, J.E.; Daly, E.F.; Schnegelberger, R.D.; Falkner, K.C.; Prough, R.A.; Kirpich, I.A.; Cave, M.C. Mechanisms of Environmental Contributions to Fatty Liver Disease. Curr. Environ. Health Rep. 2019, 6, 80–94. [Google Scholar] [CrossRef] [PubMed]
- Sunderland, E.M.; Hu, X.C.; Dassuncao, C.; Tokranov, A.K.; Wagner, C.C.; Allen, J.G. A Review of the Pathways of Human Exposure to Poly- and Perfluoroalkyl Substances (PFASs) and Present Understanding of Health Effects. J. Expo. Sci. Environ. Epidemiol. 2019, 29, 131–147. [Google Scholar] [CrossRef]
- DeLuca, N.M.; Minucci, J.M.; Mullikin, A.; Slover, R.; Cohen Hubal, E.A. Human Exposure Pathways to Poly- and Perfluoroalkyl Substances (PFAS) from Indoor Media: A Systematic Review. Environ. Int. 2022, 162, 107149. [Google Scholar] [CrossRef]
- Fenton, S.E.; Ducatman, A.; Boobis, A.; DeWitt, J.C.; Lau, C.; Ng, C.; Smith, J.S.; Roberts, S.M. Per- and Polyfluoroalkyl Substance Toxicity and Human Health Review: Current State of Knowledge and Strategies for Informing Future Research. Environ. Toxicol. Chem. 2021, 40, 606–630. [Google Scholar] [CrossRef]
- Presentato, A.; Lampis, S.; Vantini, A.; Manea, F.; Daprà, F.; Zuccoli, S.; Vallini, G. On the Ability of Perfluorohexane Sulfonate (PFHxS) Bioaccumulation by Two Pseudomonas Sp. Strains Isolated from PFAS-Contaminated Environmental Matrices. Microorganisms 2020, 8, 92. [Google Scholar] [CrossRef] [PubMed]
- Ulhaq, Z.S.; Tse, W.K.F. Perfluorohexanesulfonic Acid (PFHxS) Induces Oxidative Stress and Causes Developmental Toxicities in Zebrafish Embryos. J. Hazard. Mater. 2023, 457, 131722. [Google Scholar] [CrossRef]
- Vierke, L.; Staude, C.; Biegel-Engler, A.; Drost, W.; Schulte, C. Perfluorooctanoic Acid (PFOA)—Main Concerns and Regulatory Developments in Europe from an Environmental Point of View. Environ. Sci. Eur. 2012, 24, 16. [Google Scholar] [CrossRef]
- Ateia, M.; Maroli, A.; Tharayil, N.; Karanfil, T. The Overlooked Short- and Ultrashort-Chain Poly- and Perfluorinated Substances: A Review. Chemosphere 2019, 220, 866–882. [Google Scholar] [CrossRef] [PubMed]
- Lee, Y.J.; Choi, S.-Y.; Yang, J.-H. PFHxS Induces Apoptosis of Neuronal Cells via ERK1/2-Mediated Pathway. Chemosphere 2014, 94, 121–127. [Google Scholar] [CrossRef] [PubMed]
- Zhang, X.; Zhao, L.; Ducatman, A.; Deng, C.; von Stackelberg, K.E.; Danford, C.J.; Zhang, X. Association of Per- and Polyfluoroalkyl Substance Exposure with Fatty Liver Disease Risk in US Adults. JHEP Rep. 2023, 5, 100694. [Google Scholar] [CrossRef] [PubMed]
- Jin, R.; McConnell, R.; Catherine, C.; Xu, S.; Walker, D.I.; Stratakis, N.; Jones, D.P.; Miller, G.W.; Peng, C.; Conti, D.V.; et al. Perfluoroalkyl Substances and Severity of Nonalcoholic Fatty Liver in Children: An Untargeted Metabolomics Approach. Environ. Int. 2020, 134, 105220. [Google Scholar] [CrossRef] [PubMed]
- Heberle, H.; Meirelles, G.V.; da Silva, F.R.; Telles, G.P.; Minghim, R. InteractiVenn: A Web-Based Tool for the Analysis of Sets through Venn Diagrams. BMC Bioinform. 2015, 16, 169. [Google Scholar] [CrossRef]
- Ulhaq, Z.S.; Okamoto, K.; Ogino, Y.; Tse, W.K.F. Dysregulation of Spliceosomes Complex Induces Retinitis Pigmentosa–Like Characteristics in Sf3b4-Depleted Zebrafish. Am. J. Pathol. 2023, 193, 1223–1233. [Google Scholar] [CrossRef]
- Ulhaq, Z.S.; Ogino, Y.; Tse, W.K.F. Deciphering the Pathogenesis of Retinopathy Associated with Carnitine Palmitoyltransferase I Deficiency in Zebrafish Model. Biochem. Biophys. Res. Commun. 2023, 664, 100–107. [Google Scholar] [CrossRef]
- Ulhaq, Z.S.; Ogino, Y.; Tse, W.K.F. FGF8 Rescues Motor Deficits in Zebrafish Model of Limb-Girdle Muscular Dystrophy R18. Biochem. Biophys. Res. Commun. 2023, 652, 76–83. [Google Scholar] [CrossRef] [PubMed]
- Ulhaq, Z.S.; Boncan, D.A.T.; Chan, T.F.; Tse, W.K.F. Insights from Metabolomics and Transcriptomics Studies on Perfluorohexanesulfonic Acid (PFHxS) Exposed Zebrafish Embryos. Sci. Total Environ. 2023, 904, 166833. [Google Scholar] [CrossRef] [PubMed]
- Annunziato, K.M.; Doherty, J.; Lee, J.; Clark, J.M.; Liang, W.; Clark, C.W.; Nguyen, M.; Roy, M.A.; Timme-Laragy, A.R. Chemical Characterization of a Legacy Aqueous Film-Forming Foam Sample and Developmental Toxicity in Zebrafish (Danio rerio). Environ. Health Perspect. 2020, 128, 097006. [Google Scholar] [CrossRef] [PubMed]
- Annunziato, K.M.; Jantzen, C.E.; Gronske, M.C.; Cooper, K.R. Subtle Morphometric, Behavioral and Gene Expression Effects in Larval Zebrafish Exposed to PFHxA, PFHxS and 6:2 FTOH. Aquat. Toxicol. Amst. Neth. 2019, 208, 126–137. [Google Scholar] [CrossRef] [PubMed]
- Gaballah, S.; Swank, A.; Sobus, J.R.; Howey, X.M.; Schmid, J.; Catron, T.; McCord, J.; Hines, E.; Strynar, M.; Tal, T. Evaluation of Developmental Toxicity, Developmental Neurotoxicity, and Tissue Dose in Zebrafish Exposed to GenX and Other PFAS. Environ. Health Perspect. 2020, 128, 47005. [Google Scholar] [CrossRef] [PubMed]
- Huang, J.; Liu, Y.; Wang, Q.; Yi, J.; Lai, H.; Sun, L.; Mennigen, J.A.; Tu, W. Concentration-Dependent Toxicokinetics of Novel PFOS Alternatives and Their Chronic Combined Toxicity in Adult Zebrafish. Sci. Total Environ. 2022, 839, 156388. [Google Scholar] [CrossRef] [PubMed]
- Menger, F.; Pohl, J.; Ahrens, L.; Carlsson, G.; Örn, S. Behavioural Effects and Bioconcentration of Per- and Polyfluoroalkyl Substances (PFASs) in Zebrafish (Danio rerio) Embryos. Chemosphere 2020, 245, 125573. [Google Scholar] [CrossRef] [PubMed]
- Phelps, D.W.; Palekar, A.I.; Conley, H.E.; Ferrero, G.; Driggers, J.H.; Linder, K.E.; Kullman, S.W.; Reif, D.M.; Sheats, M.K.; DeWitt, J.C.; et al. Legacy and Emerging Per- and Polyfluoroalkyl Substances Suppress the Neutrophil Respiratory Burst. J. Immunotoxicol. 2023, 20, 2176953. [Google Scholar] [CrossRef]
- Vogs, C.; Johanson, G.; Näslund, M.; Wulff, S.; Sjödin, M.; Hellstrandh, M.; Lindberg, J.; Wincent, E. Toxicokinetics of Perfluorinated Alkyl Acids Influences Their Toxic Potency in the Zebrafish Embryo (Danio rerio). Environ. Sci. Technol. 2019, 53, 3898–3907. [Google Scholar] [CrossRef]
- Xu, M.; Legradi, J.; Leonards, P. A Comprehensive Untargeted Metabolomics Study in Zebrafish Embryos Exposed to Perfluorohexane Sulfonate (PFHxS). Sci. Total Environ. 2023, 887, 163770. [Google Scholar] [CrossRef]
- Xu, M.; Legradi, J.; Leonards, P. Using Comprehensive Lipid Profiling to Study Effects of PFHxS during Different Stages of Early Zebrafish Development. Sci. Total Environ. 2022, 808, 151739. [Google Scholar] [CrossRef]
- Cheng, J.; Lv, S.; Nie, S.; Liu, J.; Tong, S.; Kang, N.; Xiao, Y.; Dong, Q.; Huang, C.; Yang, D. Chronic Perfluorooctane Sulfonate (PFOS) Exposure Induces Hepatic Steatosis in Zebrafish. Aquat. Toxicol. Amst. Neth. 2016, 176, 45–52. [Google Scholar] [CrossRef] [PubMed]
- Fai Tse, W.K.; Li, J.W.; Kwan Tse, A.C.; Chan, T.F.; Hin Ho, J.C.; Sun Wu, R.S.; Chu Wong, C.K.; Lai, K.P. Fatty Liver Disease Induced by Perfluorooctane Sulfonate: Novel Insight from Transcriptome Analysis. Chemosphere 2016, 159, 166–177. [Google Scholar] [CrossRef] [PubMed]
- Jensen, R.C.; Glintborg, D.; Timmermann, C.A.G.; Nielsen, F.; Kyhl, H.B.; Andersen, H.R.; Grandjean, P.; Jensen, T.K.; Andersen, M. Perfluoroalkyl Substances and Glycemic Status in Pregnant Danish Women: The Odense Child Cohort. Environ. Int. 2018, 116, 101–107. [Google Scholar] [CrossRef] [PubMed]
- Goodrich, J.A.; Alderete, T.L.; Baumert, B.O.; Berhane, K.; Chen, Z.; Gilliland, F.D.; Goran, M.I.; Hu, X.; Jones, D.P.; Margetaki, K.; et al. Exposure to Perfluoroalkyl Substances and Glucose Homeostasis in Youth. Environ. Health Perspect. 2021, 129, 97002. [Google Scholar] [CrossRef] [PubMed]
- Alderete, T.L.; Jin, R.; Walker, D.I.; Valvi, D.; Chen, Z.; Jones, D.P.; Peng, C.; Gilliland, F.D.; Berhane, K.; Conti, D.V.; et al. Perfluoroalkyl Substances, Metabolomic Profiling, and Alterations in Glucose Homeostasis among Overweight and Obese Hispanic Children: A Proof-of-Concept Analysis. Environ. Int. 2019, 126, 445–453. [Google Scholar] [CrossRef] [PubMed]
- Zare Jeddi, M.; Dalla Zuanna, T.; Barbieri, G.; Fabricio, A.S.C.; Daprà, F.; Fletcher, T.; Russo, F.; Pitter, G.; Canova, C. Associations of Perfluoroalkyl Substances with Prevalence of Metabolic Syndrome in Highly Exposed Young Adult Community Residents-A Cross-Sectional Study in Veneto Region, Italy. Int. J. Environ. Res. Public. Health 2021, 18, 1194. [Google Scholar] [CrossRef]
- Lin, T.-W.; Chen, M.-K.; Lin, C.-C.; Chen, M.-H.; Tsai, M.-S.; Chan, D.-C.; Hung, K.-Y.; Chen, P.-C. Association between Exposure to Perfluoroalkyl Substances and Metabolic Syndrome and Related Outcomes among Older Residents Living near a Science Park in Taiwan. Int. J. Hyg. Environ. Health 2020, 230, 113607. [Google Scholar] [CrossRef]
- Christensen, K.Y.; Raymond, M.; Meiman, J. Perfluoroalkyl Substances and Metabolic Syndrome. Int. J. Hyg. Environ. Health 2019, 222, 147–153. [Google Scholar] [CrossRef]
- Chen, A.; Jandarov, R.; Zhou, L.; Calafat, A.M.; Zhang, G.; Urbina, E.M.; Sarac, J.; Augustin, D.H.; Caric, T.; Bockor, L.; et al. Association of Perfluoroalkyl Substances Exposure with Cardiometabolic Traits in an Island Population of the Eastern Adriatic Coast of Croatia. Sci. Total Environ. 2019, 683, 29–36. [Google Scholar] [CrossRef]
- Yang, Q.; Guo, X.; Sun, P.; Chen, Y.; Zhang, W.; Gao, A. Association of Serum Levels of Perfluoroalkyl Substances (PFASs) with the Metabolic Syndrome (MetS) in Chinese Male Adults: A Cross-Sectional Study. Sci. Total Environ. 2018, 621, 1542–1549. [Google Scholar] [CrossRef] [PubMed]
- Bessone, F.; Razori, M.V.; Roma, M.G. Molecular Pathways of Nonalcoholic Fatty Liver Disease Development and Progression. Cell. Mol. Life Sci. CMLS 2019, 76, 99–128. [Google Scholar] [CrossRef] [PubMed]
- Pan, Q.; Fan, J.-G.; Yilmaz, Y. Pathogenetic Pathways in Nonalcoholic Fatty Liver Disease: An Incomplete Jigsaw Puzzle. Clin. Liver Dis. 2023, 27, 317–332. [Google Scholar] [CrossRef] [PubMed]
- Palma, R.; Pronio, A.; Romeo, M.; Scognamiglio, F.; Ventriglia, L.; Ormando, V.M.; Lamazza, A.; Pontone, S.; Federico, A.; Dallio, M. The Role of Insulin Resistance in Fueling NAFLD Pathogenesis: From Molecular Mechanisms to Clinical Implications. J. Clin. Med. 2022, 11, 3649. [Google Scholar] [CrossRef] [PubMed]
- Matsuda, S.; Kobayashi, M.; Kitagishi, Y. Roles for PI3K/AKT/PTEN Pathway in Cell Signaling of Nonalcoholic Fatty Liver Disease. ISRN Endocrinol. 2013, 2013, 472432. [Google Scholar] [CrossRef]
- Jeong, O.; Kim, H.-S. Dietary Chokeberry and Dried Jujube Fruit Attenuates High-Fat and High-Fructose Diet-Induced Dyslipidemia and Insulin Resistance via Activation of the IRS-1/PI3K/Akt Pathway in C57BL/6 J Mice. Nutr. Metab. 2019, 16, 38. [Google Scholar] [CrossRef]
- Yoneyama, Y.; Inamitsu, T.; Chida, K.; Iemura, S.-I.; Natsume, T.; Maeda, T.; Hakuno, F.; Takahashi, S.-I. Serine Phosphorylation by mTORC1 Promotes IRS-1 Degradation through SCFβ-TRCP E3 Ubiquitin Ligase. iScience 2018, 5, 1–18. [Google Scholar] [CrossRef]
- Donat-Vargas, C.; Bergdahl, I.A.; Tornevi, A.; Wennberg, M.; Sommar, J.; Kiviranta, H.; Koponen, J.; Rolandsson, O.; Åkesson, A. Perfluoroalkyl Substances and Risk of Type II Diabetes: A Prospective Nested Case-Control Study. Environ. Int. 2019, 123, 390–398. [Google Scholar] [CrossRef]
- Roth, K.; Petriello, M.C. Exposure to Per- and Polyfluoroalkyl Substances (PFAS) and Type 2 Diabetes Risk. Front. Endocrinol. 2022, 13, 965384. [Google Scholar] [CrossRef]
- Margolis, R.; Sant, K.E. Associations between Exposures to Perfluoroalkyl Substances and Diabetes, Hyperglycemia, or Insulin Resistance: A Scoping Review. J. Xenobiotics 2021, 11, 115–129. [Google Scholar] [CrossRef]



| No | Gene | Forward | Reverse |
|---|---|---|---|
| 1 | akt2 | ACGCGAGATCGACTGTGTTT | GCTGAAACGATTTCTGCCCC |
| 2 | irs1 | TGACTGCCTCTTTCCACGTC | CTTCGAAAGTCACAGGGGCT |
| 3 | irs2a | TTCGACGGCCTCATTTCACA | GCATGTTCTGTTGTTAAAAGCTCTG |
| 4 | socs3a | GCTTACGTTTTTGGGCCTGG | GCAAGAATGGCGCTTCAACA |
| 5 | pck1 | GAGCTCTTCAGGGTCTCGC | AGATTAACGTGTGTGTTGCGT |
| 6 | srebf1 | ACTCTGAAACCGGACGTGAC | TACGGTTGATGGGCAGCTTT |
| 7 | g6pca.1 | ACACAACGGGTGGCTACAAA | TTTGCTTCGATGAACTTGGGT |
| 8 | stat3 | ACAGTGAGCTGCTTGGGAAC | TATCCGAGACTGTGGAGGCT |
| 9 | il6 | CCTCAGTCCTGGTGAACGAC | TGCGAGTCCATGCGGATTTA |
| 10 | tnfa | TTGCCTTTACCGCTGGTGAT | CCTGGGTCTTATGGAGCGTG |
| 11 | β-actin | TTGACAACGGCTCCGGTATG | TCCCATGCCAACCATCACTC |
| Study | PFHxS Concentration | Major Findings | ||
|---|---|---|---|---|
| Developmental and Behavioral Toxicities | Liver Function | Endocrine/Metabolic Problems | ||
| Ulhaq and Tse, 2023 [11]; Ulhaq et al., 2023 [22] | 0.1–10 µM | Developmental toxicity can be observed to have started at 5 µM | Lipid accumulation was not assessed in the liver; however, it was observed in the GIT. | Hyperglycemia, hyperactivation of glucose uptake, |
| Annunziato et al., 2020 [23]; Annunziato et al., 2019 [24] | 100–1000 µM 0.011–0.22 ng/mL | LC50 = 340 µM PFHxS up to 22.5 mg/L did not show any morphological defect | Aqueous film-forming foam (AFF) exposure reduced liver size | AFF leads to the disruption of β cells, resulting in their fragmentation, and negatively impacting the growth and development of the pancreas |
| Gaballah et al., 2020 [25] | 0.4–80 µM | EC50 = 92.7 µM Hyperactivity at 14–25.1 µM | NA | NA |
| Huang et al., 2022 [26] | 1–100 ng/mL | NA | PFHxS tightly bind to the active pocket of ZSA and ZL-FABP, lipid accumulation in the liver possibly due to hepatocyte vacuolation | NA |
| Menger et al., 2020 [27] | 12–60 µM | Reduction in swimming activity in dark environments and increased burst swimming activity | NA | NA |
| Phelps et al., 2023 [28] | 0.03–80 µM | AC50 = 28.63 µM Suppression of respiratory burst | NA | NA |
| Vogs et al., 2019 [29] | 0.4–330 µM | EC50 = 84.5 µM | NA | NA |
| Xu et al., 2023 [30]; Xu et al., 2022 [31] | 0.3–10 µM | NA | Dysregulation of FAO | A glucose metabolism defect marked by the inhibition of the hydrolysis of large-molecular sugar |
| No. | Category | KEGG Disease Term | Size | FDR q-Value |
|---|---|---|---|---|
| 1 | H02106 | Genetic obesity | 28 | 0.000 |
| 2 | H00891 | Combined oxidative phosphorylation deficiency | 64 | 0.000 |
| 3 | H00069 | Glycogen storage disease | 52 | 0.005 |
| 4 | H00292 | Hypertrophic cardiomyopathy | 64 | 0.006 |
| 5 | H01762 | Muscle glycogen storage disease | 38 | 0.008 |
| No. | Category | KEGG Pathway Term | KEGG Pathway Term Level 1 | KEGG Pathway Term Level 2 | Size | FDR q-Value |
|---|---|---|---|---|---|---|
| 1 | 4140 | Autophagy-animal | Cellular Processes | Transport and catabolism | 184 | 0.000 |
| 2 | 4920 | Adipocytokine signaling pathway | Organismal Systems | Endocrine system | 86 | 0.000 |
| 3 | 4657 | IL-17 signaling pathway | Organismal Systems | Immune system | 83 | 0.000 |
| 4 | 4136 | Autophagy-other | Cellular Processes | Transport and catabolism | 31 | 0.000 |
| 5 | 4137 | Mitophagy-animal | Cellular Processes | Transport and catabolism | 92 | 0.000 |
| 6 | 1230 | Biosynthesis of amino acids | Metabolism | Global and overview maps | 87 | 0.00001 |
| 7 | 4931 | Insulin resistance | Human Diseases | Endocrine and metabolic disease | 137 | 0.00005 |
| 8 | 4620 | Toll-like receptor signaling pathway | Organismal Systems | Immune system | 97 | 0.00004 |
| 9 | 970 | Aminoacyl-tRNA biosynthesis | Genetic Information Processing | Translation | 43 | 0.00039 |
| 10 | 4621 | NOD-like receptor signaling pathway | Organismal Systems | Immune system | 155 | 0.00047 |
| 11 | 20 | Citrate cycle (TCA cycle) | Metabolism | Carbohydrate metabolism | 34 | 0.00043 |
| 12 | 4932 | Non-alcoholic fatty liver disease | Human Diseases | Endocrine and metabolic disease | 188 | 0.00039 |
Disclaimer/Publisher’s Note: The statements, opinions and data contained in all publications are solely those of the individual author(s) and contributor(s) and not of MDPI and/or the editor(s). MDPI and/or the editor(s) disclaim responsibility for any injury to people or property resulting from any ideas, methods, instructions or products referred to in the content. |
© 2024 by the authors. Licensee MDPI, Basel, Switzerland. This article is an open access article distributed under the terms and conditions of the Creative Commons Attribution (CC BY) license (https://creativecommons.org/licenses/by/4.0/).
Share and Cite
Ulhaq, Z.S.; Tse, W.K.F. PFHxS Exposure and the Risk of Non-Alcoholic Fatty Liver Disease. Genes 2024, 15, 93. https://doi.org/10.3390/genes15010093
Ulhaq ZS, Tse WKF. PFHxS Exposure and the Risk of Non-Alcoholic Fatty Liver Disease. Genes. 2024; 15(1):93. https://doi.org/10.3390/genes15010093
Chicago/Turabian StyleUlhaq, Zulvikar Syambani, and William Ka Fai Tse. 2024. "PFHxS Exposure and the Risk of Non-Alcoholic Fatty Liver Disease" Genes 15, no. 1: 93. https://doi.org/10.3390/genes15010093
APA StyleUlhaq, Z. S., & Tse, W. K. F. (2024). PFHxS Exposure and the Risk of Non-Alcoholic Fatty Liver Disease. Genes, 15(1), 93. https://doi.org/10.3390/genes15010093

