Description of Neuropsychological Profile in Patients with 22q11 Syndrome
Abstract
1. Introduction
2. Materials and Methods
2.1. Sample
2.2. Measuring Instruments
Statistical Analysis
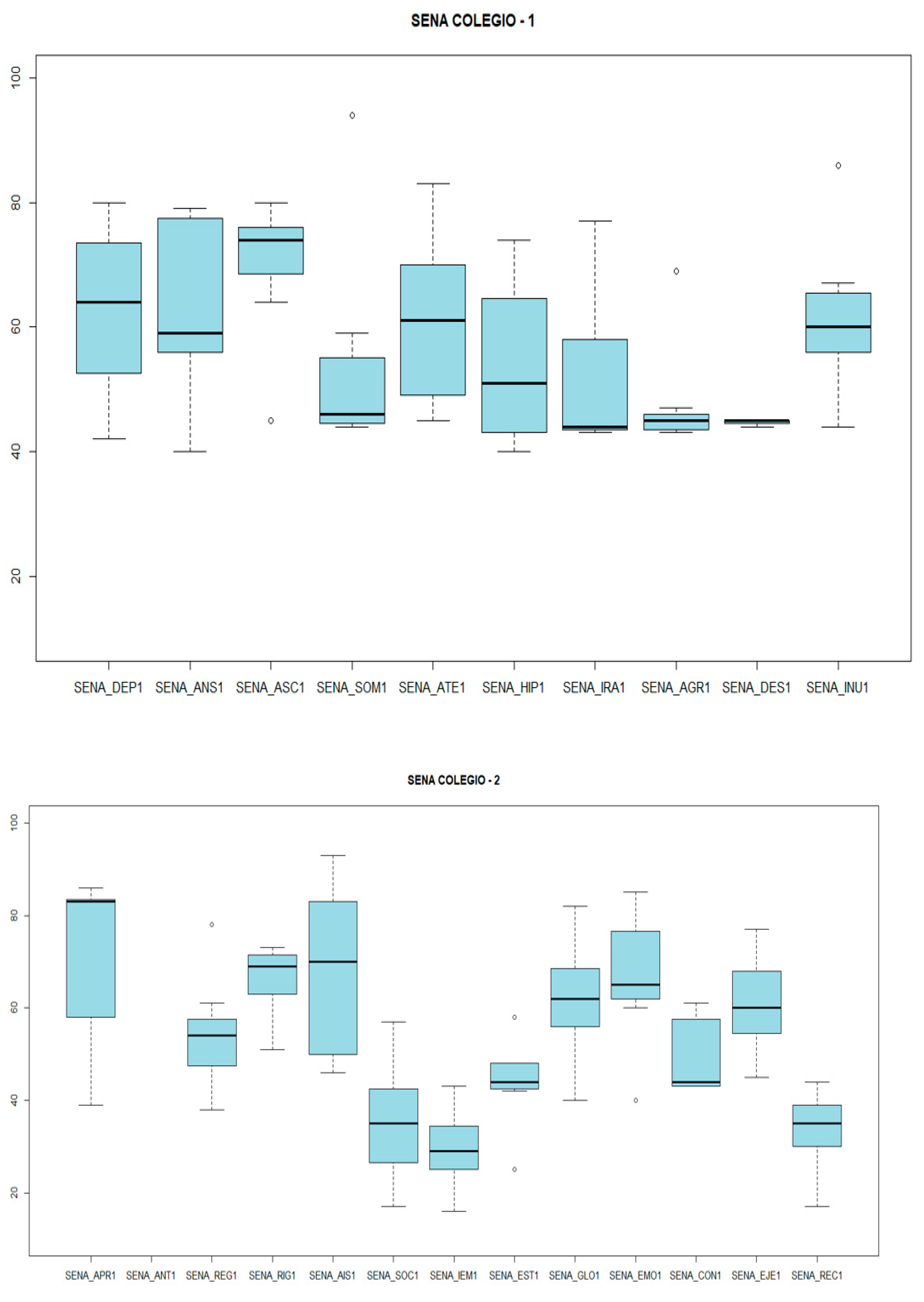
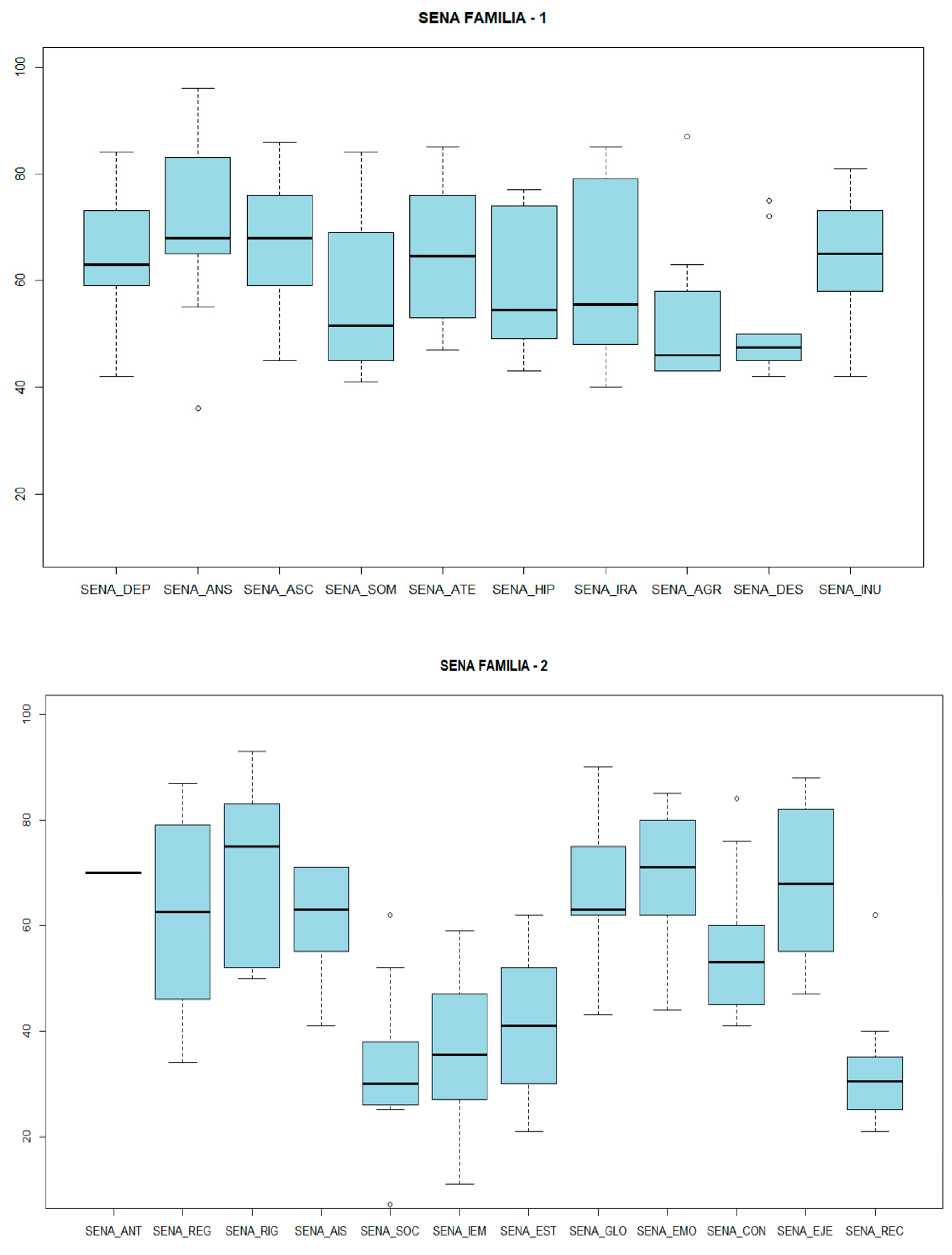
3. Results
4. Discussion
Limitations
5. Conclusions
Author Contributions
Funding
Institutional Review Board Statement
Informed Consent Statement
Data Availability Statement
Acknowledgments
Conflicts of Interest
References
- Orphanet Orphanet: 22q11.2 Deletion Syndrome. Available online: https://www.orpha.net/consor/cgibin//Disease_Search.php?lng=EN&data_id=126&Disease_Disease_Search_diseaseGroup=22q11-2&Disease_Disease_Search_diseaseType=Pat&Disease(s)/diseasegroup=S-ndrome-de-deleci-n-22q11-2&title=S%EDndromededeleci%F3n (accessed on 10 May 2023).
- McDonald-McGinn, D.M.; Sullivan, K.E.; Marino, B.; Philip, N.; Swillen, A.; Vorstman, J.A.S.; Zackai, E.H.; Emanuel, B.S.; Vermeesch, J.R.; Morrow, B.E.; et al. 22q11.2 deletion syndrome. Nat. Rev. Dis. Prim. 2015, 1, 15071. [Google Scholar] [CrossRef] [PubMed]
- Botto, L.D.; May, K.; Fernhoff, P.M.; Correa, A.; Coleman, K.; Rasmussen, S.A.; Merritt, R.K.; O’leary, L.A.; Wong, L.-Y.; Elixson, E.M.; et al. A population-based study of the 22q11.2 deletion: Phenotype, incidence, and contribution to major birth defects in the population. Pediatrics 2003, 112, 101–107. [Google Scholar] [CrossRef] [PubMed]
- Tezenas Du Montcel, S.; Mendizabai, H.; Ayme, S.; Levy, A.; Philip, N. Prevalence of 22q11microdeletion. J. Med. Genet. 1996, 33, 719. [Google Scholar] [CrossRef] [PubMed]
- Bassett, A.S.; McDonald-McGinn, D.M.; Devriendt, K.; Digilio, M.C.; Goldenberg, P.; Habel, A.; Marino, B.; Oskarsdottir, S.; Philip, N.; Sullivan, K.; et al. International 22q11.2 Deletion Syndrome Consortium. Practical Guidelines for Managing Patients with 22q11.2 Deletion Syndrome. J. Pediatr. 2011, 159, 332–339.e1. [Google Scholar] [CrossRef] [PubMed]
- De Smedt, B.; Devriendt, K.; Fryns, J.-P.; Vogels, A.; Gewillig, M.; Swillen, A. Intellectual abilities in a large sample of children with Velo? Cardio? Facial Syndrome: An update. J. Intellect. Disabil. Res. 2007, 51, 666–670. [Google Scholar] [CrossRef]
- Swillen, A.; Vandeputte, L.; Cracco, J.; Maes, B.; Ghesquière, P.; Devriendt, K.; Fryns, J.P. Neuropsychological, learning and psychosocial profile of primary school aged children with the velo-cardio-facial syndrome (22q11 deletion): Evidence for a nonverbal learning disability? Child Neuropsychol. 1999, 5, 230–241. [Google Scholar] [CrossRef]
- Hacihamdioğlu, B.; Hacihamdioglu, D.O.; Delil, K. 22q11 deletion syndrome: Current perspective. Appl. Clin. Genet. 2015, 8, 123–132. [Google Scholar] [CrossRef]
- Cunningham, A.C.; Delport, S.; Cumines, W.; Busse, M.; Linden, D.E.J.; Hall, J.; Owen, M.J.; Bree, M.B.M.V.D. Developmental coordination disorder, psychopathology and IQ in 22q11.2 deletion syndrome. Br. J. Psychiatry 2018, 212, 27–33. [Google Scholar] [CrossRef]
- Swillen, A.; Devriendt, K.; Legius, E.; Eyskens, B.; Dumoulin, M.; Gewillig, M.; Fryns, J.P. Intelligence and psychosocial adjustment in velocardiofacial syndrome: A study of 37 children and adolescents with VCFS. J. Med. Genet. 1997, 34, 453–458. [Google Scholar] [CrossRef]
- Zhao, Y.; Guo, T.; Fiksinski, A.; Breetvelt, E.; McDonald-McGinn, D.M.; Crowley, T.B.; Diacou, A.; Schneider, M.; Eliez, S.; Swillen, A.; et al. Variance of IQ is partially dependent on deletion type among 1427 22q11.2 deletion syndrome subjects. Am. J. Med. Genet. Part A 2018, 176, 2172–2181. [Google Scholar] [CrossRef]
- Schneider, M.; Debbané, M.; Bassett, A.S.; Chow, E.W.; Fung, W.L.A.; Bree, M.B.V.D.; Owen, M.; Murphy, K.C.; Niarchou, M.; Kates, W.R.; et al. Psychiatric Disorders from Childhood to Adulthood in 22q11.2 Deletion Syndrome: Results from the International Consortium on Brain and Behavior in 22q11.2 Deletion Syndrome. Am. J. Psychiatry 2014, 171, 627–639. [Google Scholar] [CrossRef]
- Cabaral, M.H.; Beaton, E.A.; Stoddard, J.; Simon, T.J. Impaired multiple object tracking in children with chromosome 22q11.2 deletion syndrome. J. Neurodev. Disord. 2012, 4, 6. [Google Scholar] [CrossRef]
- Campbell, L.; McCabe, K.; Leadbeater, K.; Schall, U.; Loughland, C.; Rich, D. Visual scanning of faces in 22q11.2 deletion syndrome: Attention to the mouth or the eyes? Psychiatry Res. 2010, 177, 211–215. [Google Scholar] [CrossRef]
- Bearden, C.; Woodin, M.F.; Wang, P.P.; Moss, E.; McDonald-McGinn, D.; Zackai, E.; Emannuel, B.; Cannon, T.D. The neurocognitive phenotype of the 22Q11.2 deletion syndrome: Selective deficit in visual-spatial memory. J. Clin. Exp. Neuropsychol. 2001, 23, 447–464. [Google Scholar] [CrossRef]
- Chawner, S.J.R.A.; Doherty, J.L.; Moss, H.; Niarchou, M.; Walters, J.T.R.; Owen, M.J.; Bree, M.B.M.V.D. Childhood cognitive development in 22q11.2 deletion syndrome: Case-control study. Br. J. Psychiatry 2017, 211, 223–230. [Google Scholar] [CrossRef]
- Moss, E.M.; Batshaw, M.L.; Solot, C.B.; Gerdes, M.; McDonald-McGinn, D.M.; Driscoll, D.A.; Emanuel, B.S.; Zackai, E.H.; Wang, P.P. Psychoeducational profile of the 22q11.2 microdeletion: A complex pattern. J. Pediatr. 1999, 134, 193–198. [Google Scholar] [CrossRef]
- Woodin, M.; Wang, P.P.; Aleman, D.; McDonald-McGinn, D.; Zackai, E.; Moss, E. Neuropsychological profile of children and adolescents with the 22q11.2 microdeletion. Genet. Med. 2001, 3, 34–39. [Google Scholar] [CrossRef]
- Vorstman, J.A.; Morcus, M.E.; Duijff, S.N.; Klaassen, P.W.; Heineman-de Boer, J.A.; Beemer, F.A.; Beemer, F.A.; Swaab, H.; Kahn, R.S.; van Engeland, H. The 22q11.2 deletion in children: High rate of autistic disorders and early onset of psychotic symptoms. J. Am. Acad. Child Adolesc. Psychiatry 2006, 45, 1104–1113. [Google Scholar] [CrossRef]
- Sobin, C.; Kiley-Brabeck, K.; Karayiorgou, M. Associations between prepulse inhibition and executive visual attention in children with the 22q11 deletion syndrome. Mol. Psychiatry 2005, 10, 553–562. [Google Scholar] [CrossRef]
- Kiley-Brabeck, K.; Sobin, C. Social skills and executive function deficits in children with the 22q11 deletion syndrome. Appl. Neuropsychol. 2006, 13, 258–268. [Google Scholar] [CrossRef]
- Jalal, R.; Nair, A.; Lin, A.; Eckfeld, A.; Kushan, L.; Zinberg, J.; Karlsgodt, K.H.; Cannon, T.D.; Bearden, C.E. Social cognition in 22q11.2 deletion syndrome and idiopathic developmental neuropsychiatric disorders. J. Neurodev. Disord. 2021, 13, 15. [Google Scholar] [CrossRef] [PubMed]
- Wechsler, D. Escala de Inteligencia de Wechsler Para Ninos—V; Pearson Educación: Madrid, Spain, 2015. [Google Scholar]
- Wiig, E.H.; Semel, E.; Secord, W.A. Evaluación Clínica de los Fundamentos del Lenguaje, Quinta Edición (CELF-5) (CELF-5); Pearson Educación: Madrid, Spain, 2013. [Google Scholar]
- Korkman, M.; Kirk, U.; Kemp, S. NEPSY-II; Pearson Educación: Madrid, Spain, 2014. [Google Scholar]
- Gioia, G.A.; Isquith, P.K.; Guy, S.C.; Kenworthy, L. Evaluacion Conductual de la Funcion Ejecutiva. In BRIEF-2; Maldonado, M.J., Fournier, M., Martínez-Arias, R., Gonzalez-Marques, J., Espejo-Saavedra, J., Santamaría, P., Eds.; TEA Ediciones: Madrid, Spain, 2017. [Google Scholar]
- Thurstone, L.L.; Yela, M. Caras—Test De Percepción De Diferencias—Revi-Sado; TEA Ediciones: Madrid, Spain, 1985. [Google Scholar]
- Toulouse, E.; Piéron, H. Toulouse-Pieron Revisado (TP-R); TEA EDICIONES: Madrid, Spain, 2013. [Google Scholar]
- Servera, M.; Llabrés, J. Tarea de Atención Sostenida en la Infancia—Revisada (C-SAT); TEA EDICIONES: Madrid, Spain, 2015. [Google Scholar]
- Lord, C.; Rutter, M.; DiLavore, P.C.; Risi, S.; Gotham, K.; Bishop, S.L. ADOS-2. Escala de Observación para el Diagnóstico del Autismo—2. In Manual (Parte I): Módulos 1–4 (T. luque, Adaptadora); TEA Ediciones: Madrid, Spain, 2015. [Google Scholar]
- Henderson, S.E.; Sudgen, D.A.; Barnett, A.L. MABC-2, Batería de Evaluación del Movimiento Para Niños, 2nd ed.; Pearson Educación: Madrid, Spain, 2013. [Google Scholar]
- Fernandez-Pinto, I.; Santamaría, P.; Sanchez-Sanchez, F.; Carrasco, M.A.; del Barrio, V. SENA, Sistema de Evaluacion’ de Niños Y Adolescentes; TEA Ediciones: Madrid, Spain, 2015. [Google Scholar]
- DuPaul, G.J.; Power, T.J.; Anastopoulos, A.D.; Reid, R. ADHD Rating Scale-IV; The Guilford Press: New York, NY, USA, 1998. [Google Scholar]
- Rutter, M.; Bailey, A.; Lord, C. SCQ, Cuestionario de Comunicación Social; Pereña, J., Santamaría, P., Eds.; TEA Ediciones: Madrid, Spain, 2019. [Google Scholar]
- Berument, S.K.; Rutter, M.; Lord, C.; Pickles, A.; Bailey, A. Autism screening questionnaire: Diagnostic validity. Br. J. Psychiatry 1999, 175, 444–451. [Google Scholar] [CrossRef] [PubMed]
- Tassé, M.J.; Schalock, R.L.; Balboni, G.; Bersani, H.; Borthwick-Duffy, S.A.; Spreat, S.; Thissen, D.; Widaman, K.F.; Zhang, D. DABS, Escala de Diagnóstico de Conducta Adaptativa; Verdugo, M., Arias, B., Navas, P., Eds.; TEA Ediciones: Madrid, Spain, 2021. [Google Scholar]
- Harrison, P.L.; Oakland, T. ABAS-II. In Sistema de Evaluacion de la Conducta Adaptativa, 2nd ed.; TEA Ediciones: Madrid, Spain, 2013. [Google Scholar]
- RStudio Team. RStudio: Integrated Development for R. RStudio; PBC: Boston, MA, USA, 2020. [Google Scholar]
- Raznahan, A.; Lee, Y.; Stidd, R.; Long, R.; Greenstein, D.; Clasen, L.; Giedd, J.N. Longitudinally mapping the influence of sex and androgen signaling on the dynamics of human cortical maturation in adolescence. Proc. Natl. Acad. Sci. USA 2010, 107, 16988–16993. [Google Scholar] [CrossRef] [PubMed]
- American Psychological Association [APA]. Manual De Diagnóstico Y Estadístico De Los Tras-Tornos Mentales (Dsm-5); American Psychological Association, Ed.; Panamericana Editorial Ltd.: Bogotá, Colombia, 2014. [Google Scholar]
- Angkustsiri, K.; Goodlin-Jones, B.; Deprey, L.; Brahmbhatt, K.; Harris, S.; Simon, T.J. Social impairments in chromosome 22q11.2 deletion syndrome (22q11.2ds): Autism spectrum disorder or a different endophenotype? J. Autism Dev. Disord. 2014, 44, 739–746. [Google Scholar] [CrossRef]
- Glaser, B.; Lothe, A.; Chabloz, M.; Dukes, D.; Pasca, C.; Redoute, J.; Eliez, S. Candidate socioemotional remediation program for individuals with intellectual disability. Am. J. Intellect. Dev. Disabil. 2012, 117, 368–383. [Google Scholar] [CrossRef]
- Van Aken, K.; De Smedt, B.; Van Roie, A.; Gewillig, M.; Devriendt, K.; Fryns, J.-P.; Simons, J.; Swillen, A. Motor development in school-aged children with 22q11 deletion (velocardialfacial/DiGeorge syndrome). Dev. Med. Child Neurol. 2007, 49, 210–213. [Google Scholar] [CrossRef]
- Roizen, N.J.; Higgins, A.M.; Antshel, K.M.; Fremont, W.; Shprintzen, R.; Kates, W.R. 22q11.2 Deletion Syndrome: Are Motor Deficits More Than Expected for IQ Level? J. Pediatr. 2010, 157, 658–661. [Google Scholar] [CrossRef]










Disclaimer/Publisher’s Note: The statements, opinions and data contained in all publications are solely those of the individual author(s) and contributor(s) and not of MDPI and/or the editor(s). MDPI and/or the editor(s) disclaim responsibility for any injury to people or property resulting from any ideas, methods, instructions or products referred to in the content. |
© 2023 by the authors. Licensee MDPI, Basel, Switzerland. This article is an open access article distributed under the terms and conditions of the Creative Commons Attribution (CC BY) license (https://creativecommons.org/licenses/by/4.0/).
Share and Cite
Lorena, J.-E.; Sandra, P.-R. Description of Neuropsychological Profile in Patients with 22q11 Syndrome. Genes 2023, 14, 1347. https://doi.org/10.3390/genes14071347
Lorena J-E, Sandra P-R. Description of Neuropsychological Profile in Patients with 22q11 Syndrome. Genes. 2023; 14(7):1347. https://doi.org/10.3390/genes14071347
Chicago/Turabian StyleLorena, Joga-Elvira, and Palma-Robleda Sandra. 2023. "Description of Neuropsychological Profile in Patients with 22q11 Syndrome" Genes 14, no. 7: 1347. https://doi.org/10.3390/genes14071347
APA StyleLorena, J.-E., & Sandra, P.-R. (2023). Description of Neuropsychological Profile in Patients with 22q11 Syndrome. Genes, 14(7), 1347. https://doi.org/10.3390/genes14071347

