Reconstruction of Single-Cell Trajectories Using Stochastic Tree Search
Abstract
1. Introduction
2. Methods
2.1. Preprocessing
2.2. Penalized Likelihood
2.3. Projection of the Data to the Tree
2.4. Updating Vertex Embedding Location
- 1.
- 2.
- 3.
- Continue the iteration until we have .
2.5. Tree Similarity Score
2.6. Stochastic Optimization
2.6.1. Initial Tree Generation
2.6.2. Grow Trees by Adding Nodes
2.6.3. Optimizing Tree with Data
2.6.4. Final Optimal Tree
2.7. Pseudotime Calculation
2.8. Extension from Linear Trees to Nonlinear Trees
3. Simulation
3.1. Design
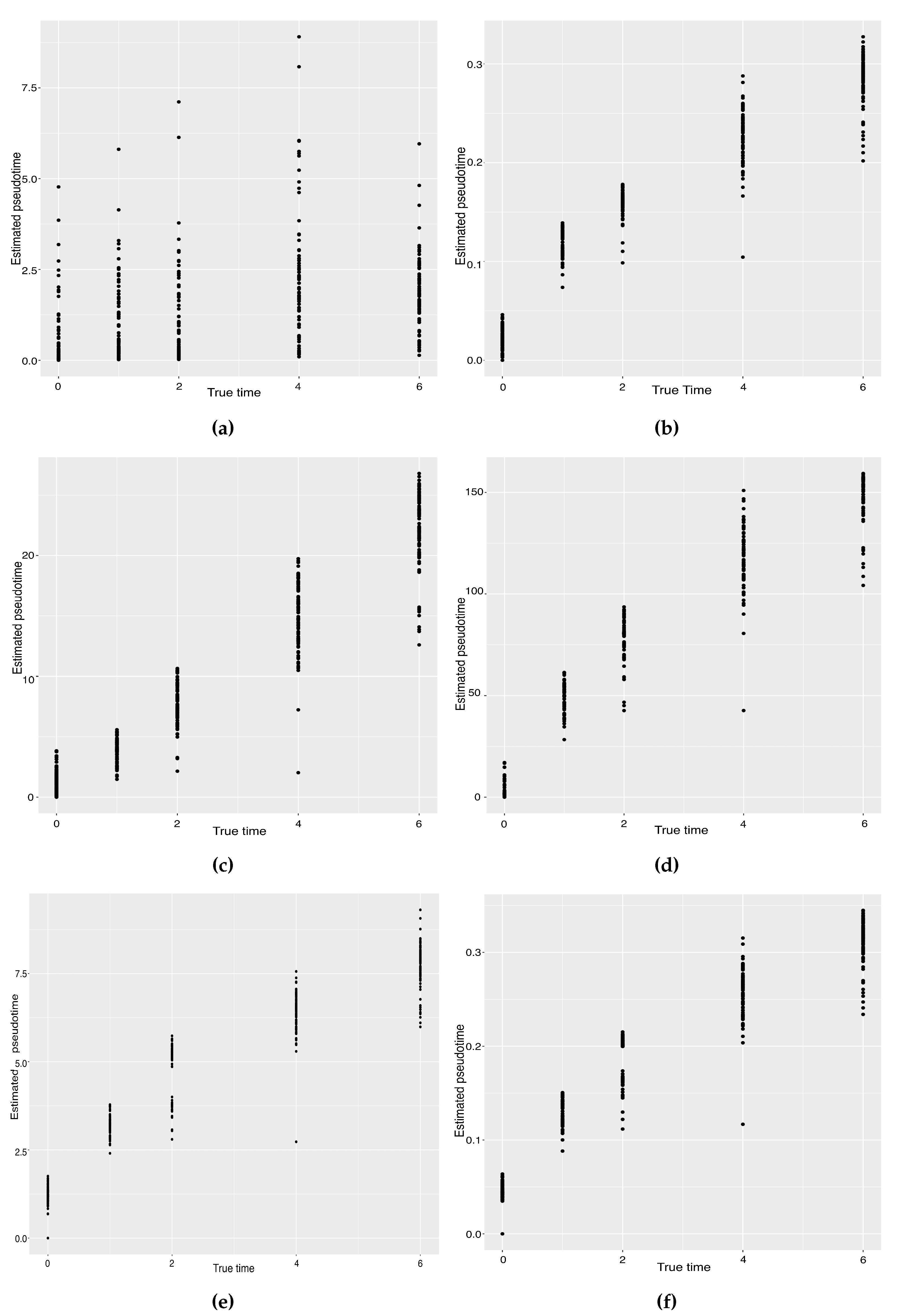
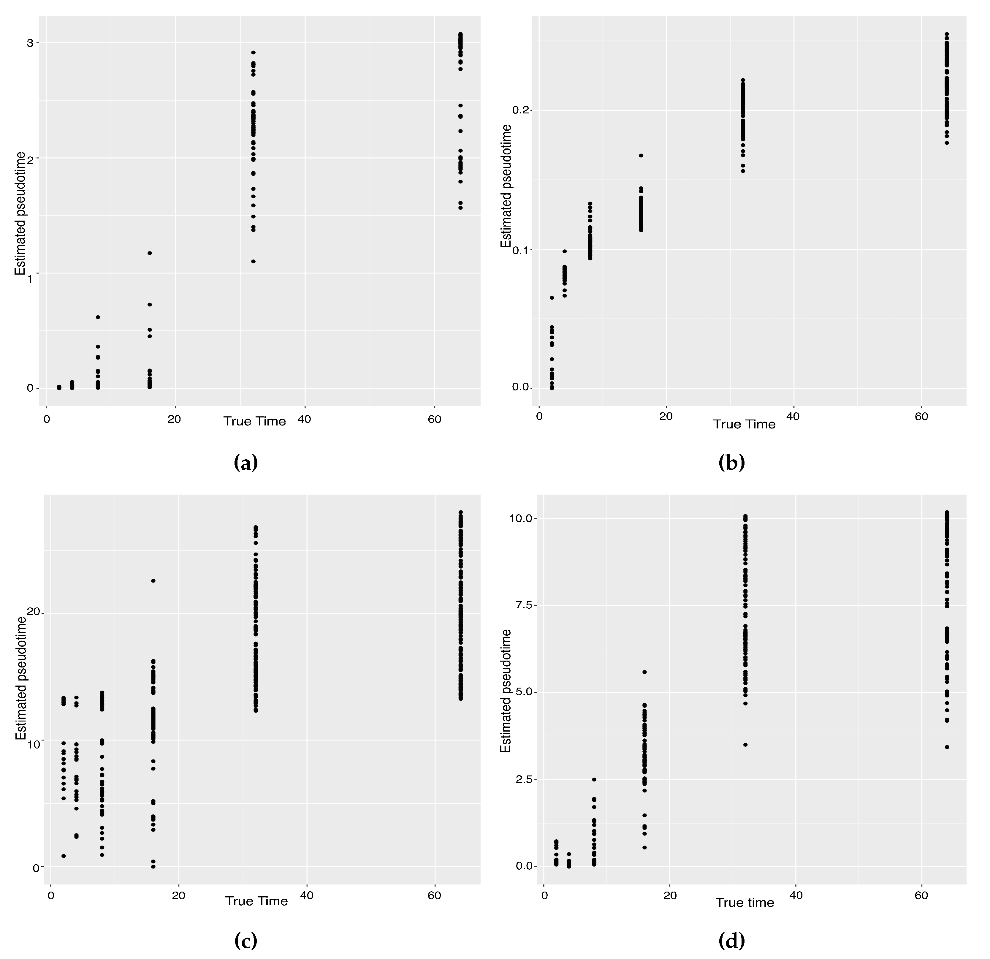
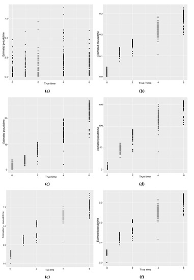
3.2. Comparison with Other Methods
3.3. Comparison between Linear and Curved Tree Methods
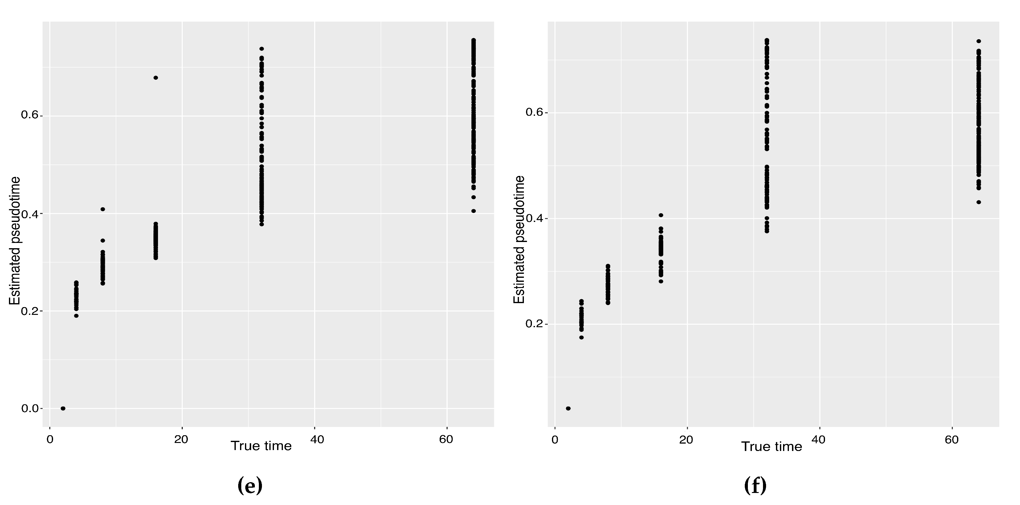
4. Application
4.1. Induction of Mouse Embryonic Stem (ES) Cell Differentiation
4.2. Resolution of Cell Fate Decisions from Zygote to Blastocyst
5. Discussion
Author Contributions
Funding
Data Availability Statement
Conflicts of Interest
Abbreviations
| TR | Trajectory Reconstruction |
| PCA | Principal Component Analysis |
| ICA | Independent Component Analysis |
| LLE | Locally Linear Embedding |
| MST | Minimal Spanning Tree |
| KNN | K-nearest Neighbor |
| DPT | Diffusion Pseudotime |
| STS | Stochastic Tree Search |
| RGE | Reversed Graph Embedding |
Appendix A. Updating Vertex Embedding Location with a Closed-Form Solution
Appendix B. Extension to Curved Tree Method
Appendix B.1. Curved Embedding Tree
Appendix B.2. Penalized Likelihood
Appendix B.3. Projection of the Data to the Tree
Appendix B.4. Updating Vertex Embedding Location
- 1.
- ,
- 2.
- 3.
- Continue the iteration until .
- 1.
- ,
- 2.
- ,
- 3.
- Continue the iteration until .
Appendix B.5. Pseudotime Calculation
References
- Cannoodt, R.; Saelens, W.; Saeys, Y. Computational methods for trajectory inference from single-cell transcriptomics. Eur. J. Immunol. 2016, 46, 2496–2506. [Google Scholar] [CrossRef] [PubMed]
- Saelens, W.; Cannoodt, R.; Todorov, H.; Saeys, Y. A comparison of single-cell trajectory inference methods. Nat. Biotechnol. 2019, 37, 547–554. [Google Scholar] [CrossRef] [PubMed]
- Moon, K.R.; Stanley, J.S.; Burkhardt, D.; van Dijk, D.; Wolf, G.; Krishnaswamy, S. Manifold learning-based methods for analyzing single-cell RNA-sequencing data. Curr. Opin. Syst. Biol. 2018, 7, 36–46. [Google Scholar] [CrossRef]
- Bendall, S.; Davis, K.; Amir, E.a.; Tadmor, M.; Simonds, E.; Chen, T.; Shenfeld, D.; Nolan, G.; Pe’er, D. Single-Cell Trajectory Detection Uncovers Progression and Regulatory Coordination in Human B Cell Development. Cell 2014, 157, 714–725. [Google Scholar] [CrossRef] [PubMed]
- Setty, M.; Tadmor, M.D.; Reich-Zeliger, S.; Angel, O.; Salame, T.M.; Kathail, P.; Choi, K.; Bendall, S.; Friedman, N.; Pe’er, D. Wishbone identifies bifurcating developmental trajectories from single-cell data. Nat. Biotechnol. 2016, 34, 637–645. [Google Scholar] [CrossRef] [PubMed]
- Welch, J.D.; Hartemink, A.J.; Prins, J.F. SLICER: Inferring branched, nonlinear cellular trajectories from single cell RNA-seq data. Genome Biol. 2016, 17, 106. [Google Scholar] [CrossRef] [PubMed]
- Trapnell, C.; Cacchiarelli, D.; Grimsby, J.; Pokharel, P.; Li, S.; Morse, M.; Lennon, N.J.; Livak, K.J.; Mikkelsen, T.S.; Rinn, J.L. The dynamics and regulators of cell fate decisions are revealed by pseudotemporal ordering of single cells. Nat. Biotechnol. 2014, 32, 381–386. [Google Scholar] [CrossRef] [PubMed]
- Ji, Z.; Ji, H. TSCAN: Pseudo-time reconstruction and evaluation in single-cell RNA-seq analysis. Nucleic Acids Res. 2016, 44, e117. [Google Scholar] [CrossRef] [PubMed]
- Street, K.; Risso, D.; Fletcher, R.B.; Das, D.; Ngai, J.; Yosef, N.; Purdom, E.; Dudoit, S. Slingshot: Cell lineage and pseudotime inference for single-cell transcriptomics. BMC Genom. 2018, 19, 477. [Google Scholar] [CrossRef] [PubMed]
- Haghverdi, L.; Büttner, M.; Wolf, F.A.; Buettner, F.; Theis, F.J. Diffusion pseudotime robustly reconstructs lineage branching. Nat. Methods 2016, 13, 845–848. [Google Scholar] [CrossRef] [PubMed]
- Qiu, X.; Mao, Q.; Tang, Y.; Wang, L.; Chawla, R.; Pliner, H.A.; Trapnell, C. Reversed graph embedding resolves complex single-cell trajectories. Nat. Methods 2017, 14, 979–982. [Google Scholar] [CrossRef] [PubMed]
- Dijkstra, E.W. A note on two problems in connexion with graphs. Numer. Math. 1959, 1, 269–271. [Google Scholar] [CrossRef]
- Hayashi, T.; Ozaki, H.; Sasagawa, Y.; Umeda, M.; Danno, H.; Nikaido, I. Single-cell full-length total RNA sequencing uncovers dynamics of recursive splicing and enhancer RNAs. Nat. Commun. 2018, 9, 619. [Google Scholar] [CrossRef] [PubMed]
- Guo, G.; Huss, M.; Tong, G.Q.; Wang, C.; Li Sun, L.; Clarke, N.D.; Robson, P. Resolution of Cell Fate Decisions Revealed by Single-Cell Gene Expression Analysis from Zygote to Blastocyst. Dev. Cell 2010, 18, 675–685. [Google Scholar] [CrossRef] [PubMed]
- Lu, L.; Jiang, H.; Wong, W.H. Multivariate Density Estimation by Bayesian Sequential Partitioning. J. Am. Stat. Assoc. 2013, 108, 1402–1410. [Google Scholar] [CrossRef]
- Hastie, T.; Stuetzle, W. Principal Curves. J. Am. Stat. Assoc. 1989, 84, 502–516. [Google Scholar] [CrossRef]








| Noise Level | Mean Kendall Correlation (SD) | Mean Residual Standard Error (SD) | ||
|---|---|---|---|---|
| Curved Tree | Linear Tree | Curved Tree | Linear Tree | |
| 0.01 | 0.87 (0.23) | 0.84 (0.26) | 0.0356 (0.0325) | 0.1812 (0.0365) |
| 0.05 | 0.83 (0.29) | 0.82 (0.29) | 0.0529 (0.0293) | 0.1839 (0.0399) |
| 0.10 | 0.83 (0.25) | 0.81 (0.29) | 0.0889 (0.0285) | 0.1988 (0.0410) |
| 0.15 | 0.81 (0.27) | 0.79 (0.30) | 0.0889 (0.0283) | 0.1978 (0.0403) |
| Curvature | Kendall Correlation | Residual Standard Error | ||
|---|---|---|---|---|
| Curved Tree | Linear Tree | Curved Tree | Linear Tree | |
| 0 | 0.85 (0.24) | 0.84 (0.24) | 0.0823 (0.0262) | 0.1753 (0.0452) |
| 0.5 | 0.81 (0.29) | 0.81 (0.29) | 0.0889 (0.0285) | 0.1988 (0.0410) |
| 1.0 | 0.83 (0.24) | 0.78 (0.26) | 0.1027 (0.0420) | 0.2621 (0.0366) |
| 1.5 | 0.60 (0.34) | 0.57 (0.34) | 0.1325 (0.0466) | 0.3039 (0.0376) |
| 2.0 | 0.48 (0.43) | 0.43 (0.40) | 0.1405 (0.0478) | 0.3248 (0.0409) |
| Method | Linear Tree | Cruved Tree | SLICER | Slingshot | Monocle ICA | Monocle DDRTree |
|---|---|---|---|---|---|---|
| Kendall Correlation | 0.87 | 0.87 | 0.39 | 0.87 | 0.86 | 0.87 |
| Method | Linear Tree | Curved Tree | SLICER | Slingshot | Monocle ICA | Monocle DDRTree |
|---|---|---|---|---|---|---|
| Kendall Correlation | 0.76 | 0.76 | 0.69 | 0.78 | 0.51 | 0.69 |
Disclaimer/Publisher’s Note: The statements, opinions and data contained in all publications are solely those of the individual author(s) and contributor(s) and not of MDPI and/or the editor(s). MDPI and/or the editor(s) disclaim responsibility for any injury to people or property resulting from any ideas, methods, instructions or products referred to in the content. |
© 2023 by the authors. Licensee MDPI, Basel, Switzerland. This article is an open access article distributed under the terms and conditions of the Creative Commons Attribution (CC BY) license (https://creativecommons.org/licenses/by/4.0/).
Share and Cite
Zhai, J.; Ji, H.; Jiang, H. Reconstruction of Single-Cell Trajectories Using Stochastic Tree Search. Genes 2023, 14, 318. https://doi.org/10.3390/genes14020318
Zhai J, Ji H, Jiang H. Reconstruction of Single-Cell Trajectories Using Stochastic Tree Search. Genes. 2023; 14(2):318. https://doi.org/10.3390/genes14020318
Chicago/Turabian StyleZhai, Jingyi, Hongkai Ji, and Hui Jiang. 2023. "Reconstruction of Single-Cell Trajectories Using Stochastic Tree Search" Genes 14, no. 2: 318. https://doi.org/10.3390/genes14020318
APA StyleZhai, J., Ji, H., & Jiang, H. (2023). Reconstruction of Single-Cell Trajectories Using Stochastic Tree Search. Genes, 14(2), 318. https://doi.org/10.3390/genes14020318

