Genome-Wide Identification of the B-Box Gene Family and Expression Analysis Suggests Their Potential Role in Photoperiod-Mediated β-Carotene Accumulation in the Endocarp of Cucumber (Cucumis sativus L.) Fruit
Abstract
:1. Introduction
2. Materials and Methods
2.1. Identification and Annotation of BBX Genes in the Cucumber Genome
2.2. Alignment and Phylogenetic Analysis
2.3. Analysis of Gene Structures and Conserved Motifs of CsaBBXs
2.4. Chromosomal Locations, Patterns of Gene Duplication, and Synteny Analysis
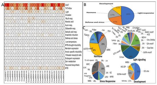
2.5. Cis-Acting Element Analysis in the Promoter of CsaBBXs
2.6. Gene Ontology (GO) and Functional Annotation
2.7. Plant Materials, Photoperiod Treatment, and Expression of CsaBBX
2.8. β-Carotene Extraction and HPLC Analysis
2.9. Quantitative RT-PCR Analysis
3. Results
3.1. Identification and Characterization of Cucumber BBX Genes
3.2. Phylogeny, Protein Structure, and Conserved Domains of the Cucumber BBX Proteins
3.3. Analysis of Phylogeny, Exon–Intron Structures, and Conserved Protein Motifs of CsaBBX Genes
3.4. Chromosomal Location, Homologous Gene Pairs, and Synteny Analysis
3.5. Identification of Cis-Elements in the Promoters of CsaBBX Genes
3.6. Gene Ontology Annotation Analysis of CsaBBX Genes
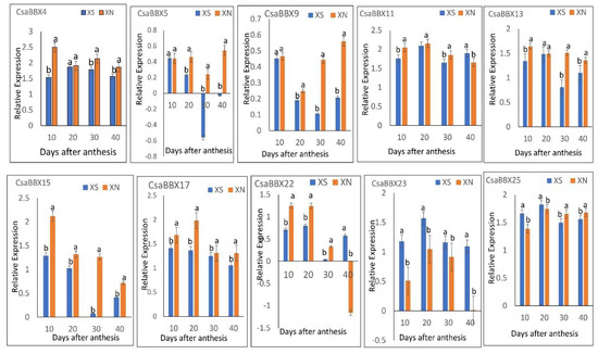
3.7. Potential CsaBBX Proteins Involved in β-Carotene Biosynthesis in the Endocarp of Orange-Fleshed Xishuangbanna Cucumber Fruits and Their Expression Profiles under Photoperiod Treatment
3.8. qRT-PCR Analysis of Selected CsaBBX Genes Involved in Carotenoid Differentiation in the Endocarp of “XIS” Fruit under Photoperiodic Conditions
4. Discussion
4.1. Characteristics of the Cucumber BBX Gene Family
4.2. Potential Role of CsaBBX Genes in β-Carotene Biosynthesis in the Endocarp of “XIS” Cucumber and Photoperiod Response
5. Conclusions
Supplementary Materials
Author Contributions
Funding
Institutional Review Board Statement
Informed Consent Statement
Data Availability Statement
Acknowledgments
Conflicts of Interest
References
- Manna, M.; Thakur, T.; Chirom, O.; Mandlik, R.; Deshmukh, R.; Salvi, P. Transcription factors as key molecular target to strengthen the drought stress tolerance in plants. Physiol. Plant. 2021, 172, 847–868. [Google Scholar] [CrossRef] [PubMed]
- Khanna, R.; Kronmiller, B.; Maszle, D.R.; Coupland, G.; Holm, M.; Mizuno, T.; Wu, S.-H. The Arabidopsis B-Box Zinc Finger Family. Plant Cell 2009, 21, 3416–3420. [Google Scholar] [CrossRef] [PubMed] [Green Version]
- Crocco, C.D.; Botto, J.F. BBX proteins in green plants: Insights into their evolution, structure, feature and functional diversification. Gene 2013, 531, 44–52. [Google Scholar] [CrossRef] [PubMed]
- Chang, C.-S.J.; Maloof, J.N.; Wu, S.-H. COP1-Mediated Degradation of BBX22/LZF1 Optimizes Seedling Development in Arabidopsis. Plant Physiol. 2011, 156, 228–239. [Google Scholar] [CrossRef] [Green Version]
- Wang, L.; Sun, J.; Ren, L.; Zhou, M.; Han, X.; Ding, L.; Zhang, F.; Guan, Z.; Fang, W.; Chen, S.; et al. CmBBX8 accelerates flowering by targeting CmFTL1 directly in summer chrysanthemum. Plant Biotechnol. J. 2020, 18, 1562–1572. [Google Scholar] [CrossRef] [Green Version]
- Shalmani, A.; Fan, S.; Jia, P.; Li, G.; Muhammad, I.; Li, Y.; Sharif, R.; Dong, F.; Zuo, X.; Li, K.; et al. Genome Identification of B-BOX Gene Family Members in Seven Rosaceae Species and Their Expression Analysis in Response to Flower Induction in Malus domestica. Molecules 2018, 23, 1763. [Google Scholar] [CrossRef] [Green Version]
- Crocco, C.D.; Holm, M.; Yanovsky, M.J.; Botto, J.F. Function of B-BOX under shade. Plant Signal. Behav. 2011, 6, 101–104. [Google Scholar] [CrossRef] [PubMed] [Green Version]
- Ma, J.; Dai, J.-X.; Liu, X.-W.; Lin, D. Genome-wide and expression analysis of B-box gene family in pepper. BMC Genom. 2021, 22, 883. [Google Scholar] [CrossRef]
- Fan, X.-Y.; Sun, Y.; Cao, D.-M.; Bai, M.-Y.; Luo, X.-M.; Yang, H.-J.; Wei, C.-Q.; Zhu, S.-W.; Sun, Y.; Chong, K.; et al. BZS1, a B-box Protein, Promotes Photomorphogenesis Downstream of Both Brassinosteroid and Light Signaling Pathways. Mol. Plant 2012, 5, 591–600. [Google Scholar] [CrossRef] [Green Version]
- Yadav, A.; Lingwan, M.; Yadukrishnan, P.; Masakapalli, S.K.; Datta, S. BBX31 promotes hypocotyl growth, primary root elongation and UV-B tolerance in Arabidopsis. Plant Signal. Behav. 2019, 14, e1588672. [Google Scholar] [CrossRef]
- Liu, Y.; Chen, H.; Ping, Q.; Zhang, Z.; Guan, Z.; Fang, W.; Chen, S.; Chen, F.; Jiang, J.; Zhang, F. The heterologous expression of CmBBX22 delays leaf senescence and improves drought tolerance in Arabidopsis. Plant Cell Rep. 2019, 38, 15–24. [Google Scholar] [CrossRef] [PubMed]
- Wu, H.; Wang, X.; Cao, Y.; Zhang, H.; Hua, R.; Liu, H.; Sui, S. CpBBX19, a B-Box Transcription Factor Gene of Chimonanthus praecox, Improves Salt and Drought Tolerance in Arabidopsis. Genes 2012, 12, 1456. [Google Scholar] [CrossRef] [PubMed]
- Liu, X.; Li, R.; Dai, Y.; Yuan, L.; Sun, Q.; Zhang, S.; Wang, X. A B-box zinc finger protein, MdBBX10, enhanced salt and drought stresses tolerance in Arabidopsis. Plant Mol. Biol. 2019, 99, 437–447. [Google Scholar] [CrossRef]
- Zhang, X.; Zhang, L.; Ji, M.; Wu, Y.; Zhang, S.; Zhu, Y.; Yao, J.; Li, Z.; Gao, H.; Wang, X. Genome-wide identification and expression analysis of the B-box transcription factor gene family in grapevine (Vitis vinifera L.). BMC Genom. 2021, 22, 221. [Google Scholar] [CrossRef] [PubMed]
- Gangappa, S.N.; Botto, J.F. The BBX family of plant transcription factors. Trends Plant Sci. 2014, 19, 460–470. [Google Scholar] [CrossRef] [PubMed]
- Ordoñez-Herrera, N.; Trimborn, L.; Menje, M.; Henschel, M.; Robers, L.; Kaufholdt, D.; Hänsch, R.; Adrian, J.; Ponnu, J.; Hoecker, U. The Transcription Factor COL12 Is a Substrate of the COP1/SPA E3Ligase and Regulates Flowering Time and Plant Architecture. Plant Physiol. 2018, 176, 1327–1340. [Google Scholar] [CrossRef] [Green Version]
- Zhao, X.; Heng, Y.; Wang, X.; Deng, X.W.; Xu, D. A Positive Feedback Loop of BBX11-BBX21-HY5 Promotes Photomorphogenic Development in Arabidopsis. Plant Commun. 2020, 1, 100045. [Google Scholar] [CrossRef]
- Xiong, C.; Luo, D.; Lin, A.; Zhang, C.; Shan, L.; He, P.; Li, B.; Zhang, Q.; Hua, B.; Yuan, Z.; et al. A tomato B-box protein Sl BBX 20 modulates carotenoid biosynthesis by directly activating PHYTOENE SYNTHASE 1, and is targeted for 26S proteasome-mediated degradation. New Phytol. 2019, 221, 279–294. [Google Scholar] [CrossRef] [Green Version]
- Bai, S.; Tao, R.; Tang, Y.; Yin, L.; Ma, Y.; Ni, J.; Yan, X.; Yang, Q.; Wu, Z.; Zeng, Y.; et al. BBX16, a B-box protein, positively regulates light-induced anthocyanin accumulation by activatingMYB10 in red pear. Plant Biotechnol. J. 2019, 17, 1985–1997. [Google Scholar] [CrossRef] [Green Version]
- Liu, H.; Liu, Z.; Wu, Y.; Zheng, L.; Zhang, G. Regulatory Mechanisms of Anthocyanin Biosynthesis in Apple and Pear. Int. J. Mol. Sci. 2021, 22, 8441. [Google Scholar] [CrossRef]
- Fang, H.; Dong, Y.; Yue, X.; Hu, J.; Jiang, S.; Xu, H.; Wang, Y.; Su, M.; Zhang, J.; Zhang, Z.; et al. The B-box zinc finger protein MdBBX20 integrates anthocyanin accumulation in response to ultraviolet radiation and low temperature. Plant Cell Environ. 2019, 42, 2090–2104. [Google Scholar] [CrossRef] [PubMed]
- Xu, D.; Jiang, Y.; Li, J.; Lin, F.; Holm, M.; Deng, X.W. BBX21, an Arabidopsis B-box protein, directly activates HY5 and is targeted by COP1 for 26S proteasome-mediated degradation. Proc. Natl. Acad. Sci. USA 2016, 113, 7655–7660. [Google Scholar] [CrossRef] [PubMed] [Green Version]
- Chang, C.-S.J.; Li, Y.-H.; Chen, L.-T.; Chen, W.-C.; Hsieh, W.-P.; Shin, J.; Jane, W.-N.; Chou, S.-J.; Choi, G.; Hu, J.-M.; et al. LZF1, a HY5-regulated transcriptional factor, functions in Arabidopsis de-etiolation. Plant J. Cell Mol. Biol. 2008, 54, 205–219. [Google Scholar] [CrossRef] [PubMed]
- Holtan, H.E.; Bandong, S.; Marion, C.M.; Adam, L.; Tiwari, S.; Shen, Y.; Maloof, J.; Maszle, D.R.; Ohto, M.-A.; Preuss, S.; et al. BBX32, an Arabidopsis B-Box Protein, Functions in Light Signaling by Suppressing HY5-Regulated Gene Expression and Interacting with STH2/BBX21. Plant Physiol. 2011, 156, 2109–2123. [Google Scholar] [CrossRef] [Green Version]
- Datta, S.; Johansson, H.; Hettiarachchi, C.; Irigoyen, M.L.; Desai, M.; Rubio, V.; Holm, M. LZF1/SALT TOLERANCE HOMOLOG3, Arabidopsis B-Box Protein Involved in Light-Dependent Development and Gene Expression, Undergoes COP1-Mediated Ubiquitination. Plant Cell 2008, 20, 2324–2338. [Google Scholar] [CrossRef] [PubMed] [Green Version]
- Huang, S.; Li, R.; Zhang, Z.; Li, L.; Gu, X.; Fan, W.; Lucas, W.J.; Wang, X.; Xie, B.; Ni, P.; et al. The genome of the cucumber, Cucumis sativus L. Nat. Genet. 2009, 41, 1275–1281. [Google Scholar] [CrossRef] [PubMed] [Green Version]
- Ling, J.; Jiang, W.; Zhang, Y.; Yu, H.; Mao, Z.; Gu, X.; Huang, S.; Xie, B. Genome-wide analysis of WRKY gene family in Cucumis sativus. BMC Genom. 2011, 12, 471. [Google Scholar] [CrossRef] [Green Version]
- Hu, L.F.; Liu, S.Q. Genome-wide analysis of the MADS-box gene family in cucumber. Genome 2012, 55, 245–256. [Google Scholar] [CrossRef]
- Morata, J.; Puigdomènech, P. Variability among Cucurbitaceae species (melon, cucumber, and watermelon) in a genomic region containing a cluster of NBS-LRR genes. BMC Genom. 2017, 18, 138. [Google Scholar] [CrossRef] [Green Version]
- Baloglu, M.C.; Eldem, V.; Hajyzadeh, M.; Unver, T. Genome-Wide Analysis of the bZIP Transcription Factors in Cucumber. PLoS ONE 2014, 9, e96014. [Google Scholar] [CrossRef] [Green Version]
- Altunoğlu, Y.C.; Baloglu, P.; Yer, E.N.; Pekol, S.; Baloglu, M.C. Identification and expression analysis of LEA gene family members in cucumber genome. Plant Growth Regul. 2016, 80, 225–241. [Google Scholar] [CrossRef]
- Qin, N.; Gao, Y.; Cheng, X.; Yang, Y.; Wu, J.; Wang, J.; Li, S.; Xing, G. Genome-wide identification of CLE gene family and their potential roles in bolting and fruit bearing in cucumber (Cucumis sativus L.). BMC Plant Biol. 2021, 21, 143. [Google Scholar] [CrossRef] [PubMed]
- Chen, C.; Chen, H.; Zhang, Y.; Thomas, H.R.; Frank, M.H.; He, Y.; Xia, R. Tbtools: An integrative toolkit developed for interactive analyses of big biological data. Mol. Plant 2020, 13, 1194–1202. [Google Scholar] [CrossRef] [PubMed]
- Lynch, M.; Conery, J.S. The Evolutionary Fate and Consequences of Duplicate Genes. Science 2000, 290, 1151–1155. [Google Scholar] [CrossRef] [Green Version]
- Lescot, M.; Déhais, P.; Thijs, G.; Marchal, K.; Moreau, Y.; Van de Peer, Y.; Rouzé, P.; Rombauts, S. PlantCARE, a database of plant cis-acting regulatory elements and a portal to tools for in silico analysis of promoter sequences. Nucleic Acids Res. 2000, 30, 325–327. [Google Scholar] [CrossRef] [PubMed]
- Chen, J.F.; Zhang, S.L.; Zhang, X.G. The Xishuangbanna gourd (Cucumis sativus var. Xishuangbanna is Qi et Yuan), a traditionally cultivated plant of the Hanai People, Xishuangbanna, Yunnan, China. Cucurbit Genet. Coop. Rpt. 1994, 17, 18–20. [Google Scholar]
- Bo, K.; Ma, Z.; Chen, J.; Weng, Y. Molecular mapping reveals structural rearrangements and quantitative trait loci underlying traits with local adaptation in semi-wild Xishuangbanna cucumber (Cucumis sativus L. var. xishuangbannanesis Qi et Yuan). Theor. Appl. Genet. 2015, 128, 25–39. [Google Scholar] [CrossRef] [PubMed]
- Tian, Z.; Jahn, M.; Qin, X.; Obel, H.; Yang, F.; Li, J.; Chen, J. Genetic and Transcriptomic Analysis Reveal the Molecular Basis of Photoperiod-Regulated Flowering in Xishuangbanna Cucumber (Cucumis sativus L. var. xishuangbannesis Qi et Yuan). Genes 2021, 12, 1064. [Google Scholar] [CrossRef]
- Alagoz, Y.; Dhami, N.; Mitchell, C.; Cazzonelli, C.I. cis/trans Carotenoid Extraction, Purification, Detection, Quantification, and Profiling in Plant Tissues. Methods Mol. Biol. 2020, 2083, 145–163. [Google Scholar] [CrossRef]
- Livak, K.J.; Schmittgen, T.D. Analysis of Relative Gene Expression Data Using Real-Time Quantitative PCR and the 2(-Delta Delta C(T)) Method. Methods 2001, 25, 402–408. [Google Scholar] [CrossRef]
- Cannon, S.B.; Mitra, A.; Baumgarten, A.; Young, N.D.; May, G. The roles of segmental and tandem gene duplication in the evolution of large gene families in Arabidopsis thaliana. BMC Plant Biol. 2004, 4, 10. [Google Scholar] [CrossRef] [PubMed] [Green Version]
- Huang, J.; Zhao, X.; Weng, X.; Wang, L.; Xie, W. The Rice B-Box Zinc Finger Gene Family: Genomic Identification, Characterization, Expression Profiling and Diurnal Analysis. PLoS ONE 2012, 7, e48242. [Google Scholar] [CrossRef] [PubMed] [Green Version]
- Jin, H.; Xing, M.; Cai, C.; Li, S. Characterization of B-box proteins and their contribution to plant development in Arachis duranensis. Res. Sq. 2019. [Google Scholar] [CrossRef]
- Liu, X.; Li, R.; Dai, Y.; Chen, X.; Wang, X. Genome-wide identification and expression analysis of the B-box gene family in the Apple (Malus domestica Borkh.) genome. Mol. Genet. Genom. 2017, 293, 303–315. [Google Scholar] [CrossRef]
- Cao, Y.; Han, Y.; Meng, D.; Li, D.; Jiao, C.; Jin, Q.; Lin, Y.; Cai, Y. B-BOX genes: Genome-wide identification, evolution and their contribution to pollen growth in pear (Pyrus bretschneideri Rehd.). BMC Plant Biol. 2017, 17, 156. [Google Scholar] [CrossRef] [Green Version]
- Chu, Z.; Wang, X.; Li, Y.; Yu, H.; Li, J.; Lu, Y.; Li, H.; Ouyang, B. Genomic Organization, Phylogenetic and Expression Analysis of the B-BOX Gene Family in Tomato. Front. Plant Sci. 2016, 7, 1552. [Google Scholar] [CrossRef] [Green Version]
- Singh, S.; Chhapekar, S.S.; Ma, Y.; Rameneni, J.J.; Oh, S.H.; Kim, J.; Lim, Y.P.; Choi, S.R. Genome-Wide Identification, Evolution, and Comparative Analysis of B-Box Genes in Brassica rapa, B. oleracea, and B. napus and Their Expression Profiling in B. rapa in Response to Multiple Hormones and Abiotic Stresses. Int. J. Mol. Sci. 2021, 22, 10367. [Google Scholar] [CrossRef]
- Zou, Z.; Wang, R.; Wang, R.; Yang, S.; Yang, Y. Genome-wide identification, phylogenetic analysis, and expression profiling of the BBX family genes in pear. J. Hort. Sci. Biotechnol. 2018, 93, 37–50. [Google Scholar] [CrossRef]
- Talar, U.; Kiełbowicz-Matuk, A.; Czarnecka, J.; Rorat, T. Genome-wide survey of B-box proteins in potato (Solanum tuberosum)—Identification, characterization and expression patterns during diurnal cycle, etiolation and de-etiolation. PLoS ONE 2017, 12, e0177471. [Google Scholar] [CrossRef] [Green Version]
- Fang, K.; Zhang, A.; Xi, W. Genome-wide identification and expression analysis of the B-box gene family in peach fruit during postharvest cold storage and subsequent shelf life. Postharvest Biol. Technol. 2021, 172, 111387. [Google Scholar] [CrossRef]
- Ye, Y.; Liu, Y.; Li, X.; Wang, G.; Zhou, Q.; Chen, Q.; Li, J.; Wang, X.; Tang, H. An Evolutionary Analysis of B-Box Transcription Factors in Strawberry Reveals the Role of FaBBx28c1 in the Regulation of Flowering Time. Int. J. Mol. Sci. 2021, 22, 11766. [Google Scholar] [CrossRef] [PubMed]
- Wang, Y.; Zhai, Z.; Sun, Y.; Feng, C.; Peng, X.; Zhang, X.; Xiao, Y.; Zhou, X.; Wang, W.; Jiao, J.; et al. Genome-Wide Identification of the B-box Genes that Respond to Multiple Ripening Related Signals in Sweet Cherry Fruit. Int. J. Mol. Sci. 2021, 22, 1622. [Google Scholar] [CrossRef] [PubMed]
- Vaishak, K.P.; Yadukrishnan, P.; Bakshi, S.; Kushwaha, A.K.; Ramachandran, H.; Job, N.; Babu, D.; Datta, S. The B-box bridge between light and hormones in plants. J. Photochem. Photobiol. B Biol. 2019, 191, 164–174. [Google Scholar] [CrossRef] [PubMed]










| Location | |||||||||||||
|---|---|---|---|---|---|---|---|---|---|---|---|---|---|
| Gene Name | Accession Number | Gene ID | Chr. | Start | End | CDS/bp | AA | PI | MW (kDa) | I | AI | G | Localization Predicted | 
| CsaBBX1 | KGN63817 | Csa1G023050 | 1 | 2339530 | 2339655 | 1486 | 360 | 5.25 | 41631 | 51.6 | 64.97 | −0.99 | chlo: 5, nucl: 4, mito: 4 | 
| CsaBBX2 | KGN64618 | Csa1G071810 | 1 | 7206080 | 7206187 | 517 | 124 | 5.35 | 13749 | 51.88 | 71.53 | −0.44 | nucl: 7, chlo: 4, extra: 2 | 
| CsaBBX3 | KGN65417 | Csa1G420310 | 1 | 15201130 | 15201268 | 1516 | 368 | 5.77 | 40463 | 40.26 | 69.13 | −0.36 | cyto: 9, chlo: 4 | 
| CsaBBX4 | KGN65418 | Csa1G420320 | 1 | 15209944 | 15210082 | 1601 | 375 | 5.79 | 40992 | 42.5 | 69.89 | −0.3 | chlo: 11, cyto: 2 | 
| CsaBBX5 | KGN61122 | Csa2G057080 | 2 | 4272988 | 4273095 | 1291 | 319 | 8.2 | 35158 | 47.38 | 66.68 | −0.4 | chlo: 12, nucl: 1 | 
| CsaBBX6 | KGN61840 | Csa2G250430 | 2 | 12300987 | 12301125 | 681 | 180 | 6.64 | 19762 | 66.9 | 71.61 | −0.3 | nucl: 6, chlo: 3, cyto: 3, extra: 1 | 
| CsaBBX7 | KGN62650 | Csa2G365080 | 2 | 17594757 | 17594895 | 104 | 306 | 6.65 | 32666 | 53.09 | 71.37 | −0.22 | cyto: 5, chlo: 4, nucl: 4 | 
| CsaBBX8 | KGN63011 | Csa2G383330 | 2 | 19978464 | 19978602 | 1499 | 337 | 6.08 | 36934 | 45.36 | 68.93 | −0.05 | chlo: 5, cyto: 4, mito: 3, nucl: 1 | 
| CsaBBX9 | KGN63275 | Csa2G423550 | 2 | 21951054 | 21951195 | 1673 | 396 | 5.43 | 43904 | 52.33 | 57.65 | −0.62 | nucl: 12, cyto: 1 | 
| CsaBBX10 | KGN46619 | Csa2G423560 | 2 | 21954107 | 21954211 | 751 | 133 | 8.4 | 14655 | 28.85 | 79.92 | −0.04 | chlo: 5, cyto: 4, mito: 3, nucl: 1 | 
| CsaBBX11 | KGN59860 | Csa3G850640 | 3 | 35026996 | 35027100 | 1654 | 274 | 4.31 | 30151 | 60.43 | 53.72 | −0.83 | chlo: 10, nucl: 3 | 
| CsaBBX12 | KGN53028 | Csa4G011750 | 4 | 1767965 | 1768095 | 2043 | 491 | 5.5 | 54364 | 41.47 | 68.51 | −0.55 | nucl: 9, cyto: 4 | 
| CsaBBX13 | KGN53325 | Csa4G047370 | 4 | 3728156 | 3729702 | 1461 | 186 | 6.44 | 20762 | 51.03 | 72.37 | −0.61 | cyto: 11, chlo: 3 | 
| CsaBBX14 | KGN53580 | Csa4G083550 | 4 | 5640054 | 5641138 | 1516 | 297 | 5.31 | 32297 | 57.96 | 66.4 | −0.38 | nucl: 14 | 
| CsaBBX15 | KGN53769 | Csa4G124910 | 4 | 7615698 | 7615836 | 1228 | 344 | 5.24 | 38471 | 44.78 | 57.86 | −0.9 | nucl: 4, cyto: 4, mito: 3, cysk: 2 | 
| CsaBBX16 | KGN52081 | Csa5G609670 | 5 | 23609342 | 23609477 | 1212 | 403 | 5.55 | 45466 | 47.61 | 63.27 | −0.61 | nucl: 10, mito: 2, chlo: 1 | 
| CsaBBX17 | KGN52118 | Csa5G610520 | 5 | 23808456 | 23808597 | 1464 | 487 | 6.81 | 54842 | 63.27 | 65.66 | −0.82 | nucl: 13 | 
| CsaBBX18 | KGN45963 | Csa6G039540 | 6 | 2813042 | 2813177 | 1302 | 334 | 8.33 | 38396 | 51.69 | 74.14 | −0.29 | nucl: 5, mito: 4, chlo: 3, cyto: 2 | 
| CsaBBX19 | KGN46304 | Csa6G081450 | 6 | 5519827 | 5519962 | 1888 | 237 | 4.89 | 26092 | 41.52 | 64.43 | −0.44 | chlo: 7, nucl: 6 | 
| CsaBBX20 | KGN46619 | Csa6G113560 | 6 | 7852876 | 7853011 | 1629 | 542 | 5.52 | 60047 | 58.56 | 74.23 | −0.57 | nucl: 4, e.r.: 3, mito: 2, plas: 2, vacu: 2 | 
| CsaBBX21 | KGN48894 | Csa6G505230 | 6 | 25655601 | 25655890 | 1224 | 168 | 6.59 | 18863 | 55.67 | 74.23 | −0.57 | cyto: 13 | 
| CsaBBX22 | KGN49170 | Csa6G516780 | 6 | 26902285 | 26902397 | 461 | 123 | 5.89 | 13124 | 50.88 | 65.77 | −0.23 | cyto: 7, extr: 6 | 
| CsaBBX23 | KGN43167 | Csa7G004690 | 7 | 236770 | 236908 | 1032 | 222 | 5.88 | 24169 | 56.17 | 64.77 | −0.41 | nucl: 11, chlo: 1, cyto: 1 | 
| CsaBBX24 | KGN43392 | Csa7G031530 | 7 | 1670263 | 1670398 | 1224 | 407 | 5.42 | 44556 | 58.02 | 60.96 | −0.52 | nucl: 12.5, cyto_nucl: 7 | 
| CsaBBX25 | KGN43541 | Csa7G044810 | 7 | 2580621 | 2580725 | 426 | 132 | 6.4 | 14627 | 37.85 | 75.3 | −0.24 | chlo: 9, nucl: 3, cyto: 1 | 
| CsaBBX26 | KGN43667 | Csa7G056460 | 7 | 3310645 | 3311022 | 999 | 332 | 5.11 | 36652 | 43.78 | 86.66 | −0.03 | e.r.: 5, plas: 3, cyto: 2, nucl: 1 | 
| Publisher’s Note: MDPI stays neutral with regard to jurisdictional claims in published maps and institutional affiliations. | 
© 2022 by the authors. Licensee MDPI, Basel, Switzerland. This article is an open access article distributed under the terms and conditions of the Creative Commons Attribution (CC BY) license (https://creativecommons.org/licenses/by/4.0/).
Share and Cite
Obel, H.O.; Cheng, C.; Li, Y.; Tian, Z.; Njogu, M.K.; Li, J.; Lou, Q.; Yu, X.; Yang, Z.; Ogweno, J.O.; et al. Genome-Wide Identification of the B-Box Gene Family and Expression Analysis Suggests Their Potential Role in Photoperiod-Mediated β-Carotene Accumulation in the Endocarp of Cucumber (Cucumis sativus L.) Fruit. Genes 2022, 13, 658. https://doi.org/10.3390/genes13040658
Obel HO, Cheng C, Li Y, Tian Z, Njogu MK, Li J, Lou Q, Yu X, Yang Z, Ogweno JO, et al. Genome-Wide Identification of the B-Box Gene Family and Expression Analysis Suggests Their Potential Role in Photoperiod-Mediated β-Carotene Accumulation in the Endocarp of Cucumber (Cucumis sativus L.) Fruit. Genes. 2022; 13(4):658. https://doi.org/10.3390/genes13040658
Chicago/Turabian StyleObel, Hesbon Ochieng, Chunyan Cheng, Ying Li, Zhen Tian, Martin Kagiki Njogu, Ji Li, Qunfeng Lou, Xiaqing Yu, Zhengan Yang, Joshua Otieno Ogweno, and et al. 2022. "Genome-Wide Identification of the B-Box Gene Family and Expression Analysis Suggests Their Potential Role in Photoperiod-Mediated β-Carotene Accumulation in the Endocarp of Cucumber (Cucumis sativus L.) Fruit" Genes 13, no. 4: 658. https://doi.org/10.3390/genes13040658
APA StyleObel, H. O., Cheng, C., Li, Y., Tian, Z., Njogu, M. K., Li, J., Lou, Q., Yu, X., Yang, Z., Ogweno, J. O., & Chen, J. (2022). Genome-Wide Identification of the B-Box Gene Family and Expression Analysis Suggests Their Potential Role in Photoperiod-Mediated β-Carotene Accumulation in the Endocarp of Cucumber (Cucumis sativus L.) Fruit. Genes, 13(4), 658. https://doi.org/10.3390/genes13040658
 
         
                                                


 
       