Identifying Prognostic Biomarkers Related to m6A Modification and Immune Infiltration in Renal Cell Carcinoma
Abstract
1. Introduction
2. Materials and Methods
2.1. Data Collection
2.2. DEG Identification
2.3. PPI (Protein–Protein Interaction) Network Construction and Candidate Hub Gene Identification
2.4. GO Enrichment and KEGG Pathway Analysis of Candidate Hub Genes
2.5. cMAP Analysis of Candidate Hub Genes
2.6. Hub Gene Identification
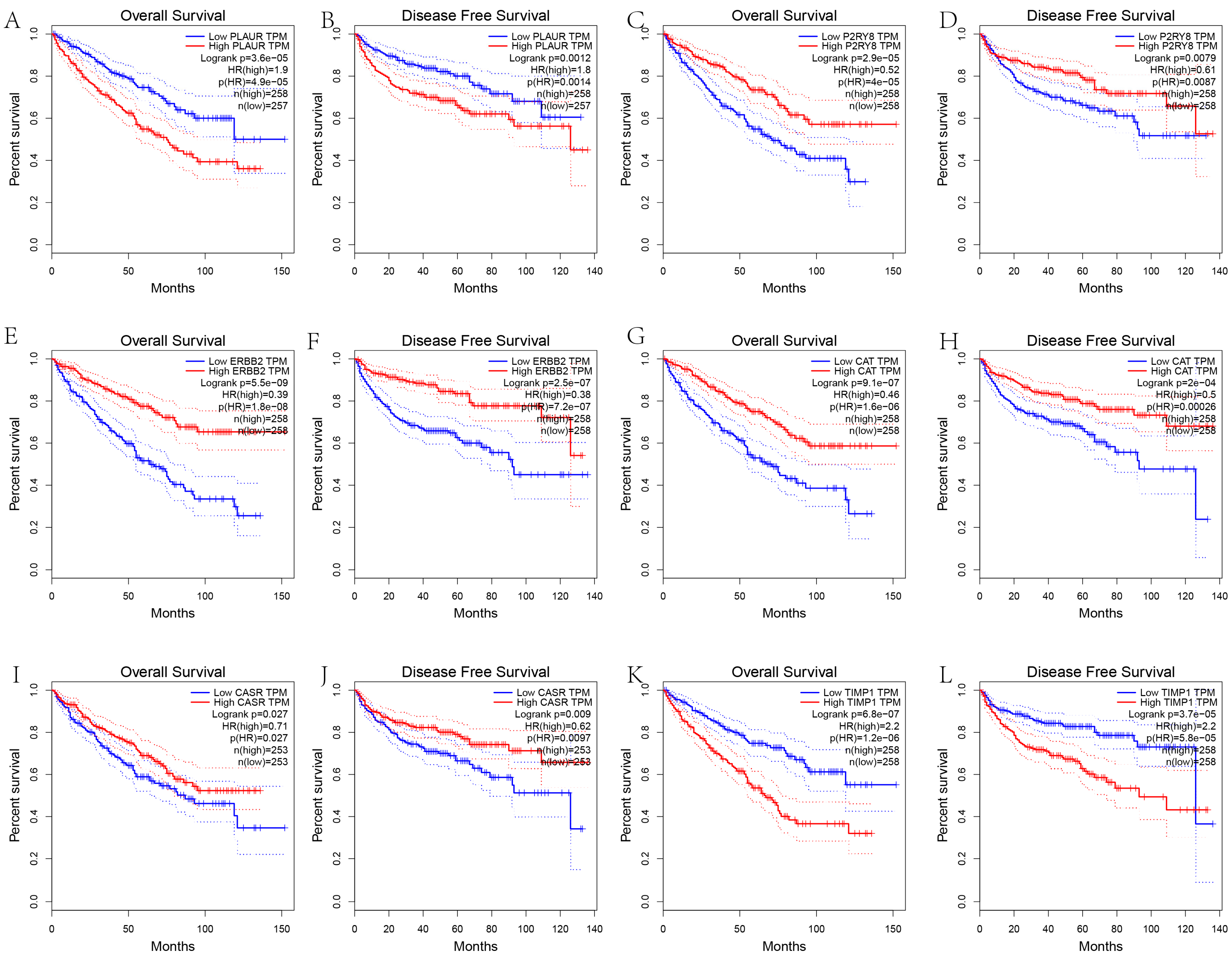
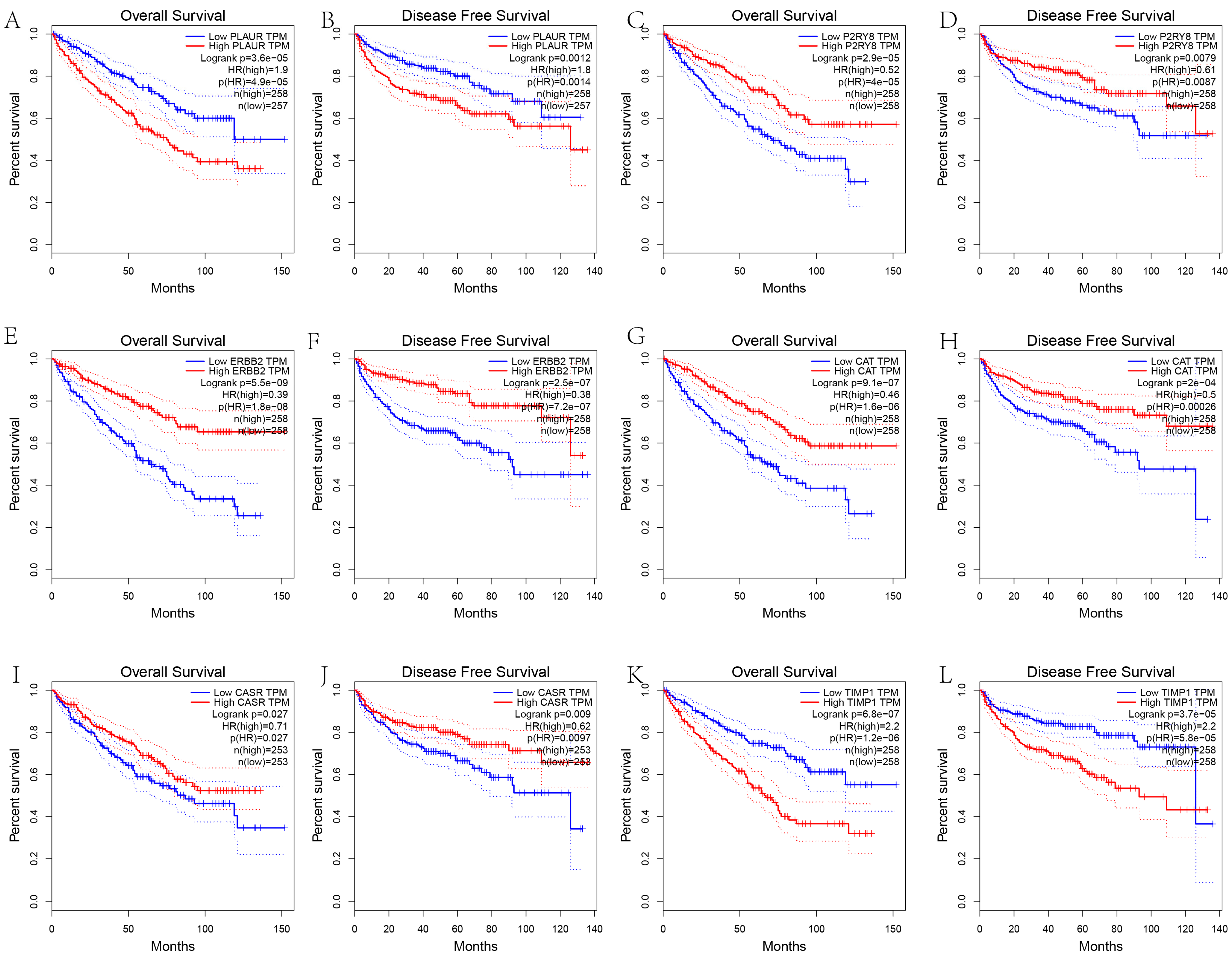
2.7. Survival and Clinicopathological Characteristic Analysis of Hub Genes
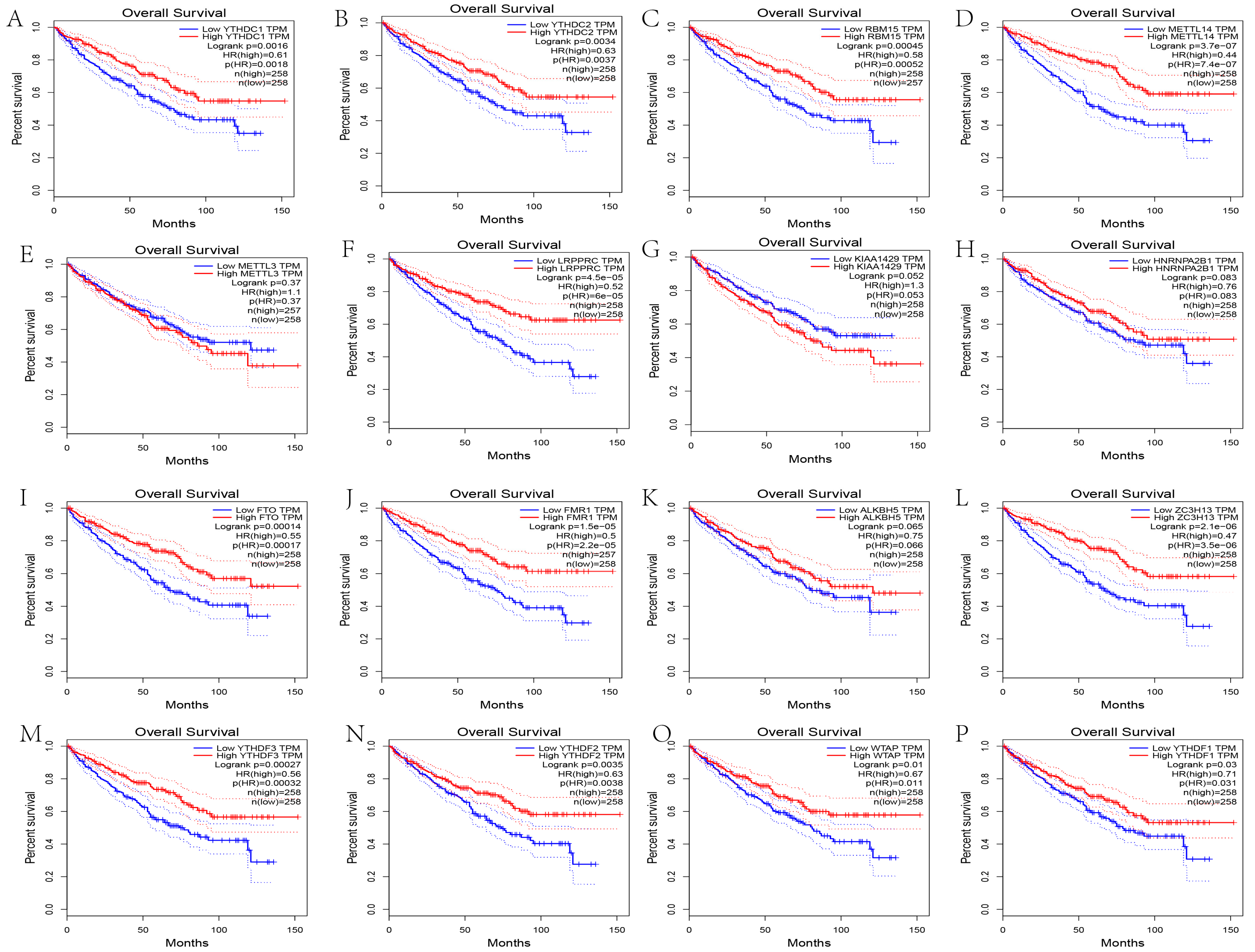
2.8. Correlation between Hub Genes and m6A-Related Genes
2.9. Immune Infiltration Analysis
3. Results
3.1. DEG Identification in RCC
3.2. PPI Interaction Network and Identification of Candidate Hub Genes
3.3. GO and KEGG Enrichment Analysis
3.4. cMAP Analysis of Candidate Hub Genes
3.5. Hub Gene Identification
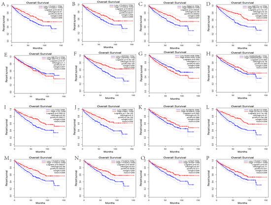
3.6. Survival and Clinicopathological Characteristic Analysis of Hub Genes
3.7. Immune Infiltration Analysis
3.8. Correlation Analysis between Hub Genes and m6A-Related Genes
4. Discussion
5. Conclusions
Supplementary Materials
Author Contributions
Funding
Institutional Review Board Statement
Informed Consent Statement
Data Availability Statement
Acknowledgments
Conflicts of Interest
References
- Miller, K.D.; Nogueira, L.; Mariotto, A.B.; Rowland, J.H.; Yabroff, K.R.; Alfano, C.M.; Siegel, R.L. Cancer treatment and survivorship statistics, 2019. CA Cancer J. Clin. 2019, 69, 363–385. [Google Scholar] [CrossRef] [PubMed]
- Barata, P.C.; Rini, B.I. Treatment of renal cell carcinoma: Current status and future directions. CA Cancer J. Clin. 2017, 67, 507–524. [Google Scholar] [CrossRef] [PubMed]
- Vasudev, N.S.; Selby, P.J.; Banks, R.E. Renal cancer biomarkers: The promise of personalized care. BMC Med. 2012, 10, 112. [Google Scholar] [CrossRef] [PubMed]
- Yang, Y.; Hsu, P.J.; Chen, Y.S.; Yang, Y.G. Dynamic transcriptomic m(6)A decoration: Writers, erasers, readers and functions in RNA metabolism. Cell Res. 2018, 28, 616–624. [Google Scholar] [CrossRef]
- Tong, J.; Cao, G.; Zhang, T.; Sefik, E.; Amezcua Vesely, M.C.; Broughton, J.P.; Li, H.B. m(6)A mRNA methylation sustains Treg suppressive functions. Cell Res. 2018, 28, 253–256. [Google Scholar] [CrossRef]
- He, L.; Li, H.; Wu, A.; Peng, Y.; Shu, G.; Yin, G. Functions of N6-methyladenosine and its role in cancer. Mol. Cancer 2019, 18, 176. [Google Scholar] [CrossRef]
- Mao, X.; Xu, J.; Wang, W.; Liang, C.; Hua, J.; Liu, J.; Shi, S. Crosstalk between cancer-associated fibroblasts and immune cells in the tumor microenvironment: New findings and future perspectives. Mol. Cancer 2021, 20, 131. [Google Scholar] [CrossRef]
- Zhang, S.; Zhang, E.; Long, J.; Hu, Z.; Peng, J.; Liu, L.; Zeng, Z. Immune infiltration in renal cell carcinoma. Cancer Sci. 2019, 110, 1564–1572. [Google Scholar] [CrossRef]
- Wang, B.; Chen, D.; Hua, H. TBC1D3 family is a prognostic biomarker and correlates with immune infiltration in kidney renal clear cell carcinoma. Mol. Ther. Oncolytics 2021, 22, 528–538. [Google Scholar] [CrossRef]
- Cheng, X.; Wang, X.; Nie, K.; Cheng, L.; Zhang, Z.; Hu, Y.; Peng, W. Systematic Pan-Cancer Analysis Identifies TREM2 as an Immunological and Prognostic Biomarker. Front. Immunol. 2021, 12, 646523. [Google Scholar] [CrossRef]
- Szklarczyk, D.; Gable, A.L.; Lyon, D.; Junge, A.; Wyder, S.; Huerta-Cepas, J.; Mering, C.V. STRING v11: Protein-protein association networks with increased coverage, supporting functional discovery in genome-wide experimental datasets. Nucleic Acids Res. 2019, 47, D607–D613. [Google Scholar] [CrossRef] [PubMed]
- Shannon, P.; Markiel, A.; Ozier, O.; Baliga, N.S.; Wang, J.T.; Ramage, D.; Ideker, T. Cytoscape: A software environment for integrated models of biomolecular interaction networks. Genome Res. 2003, 13, 2498–2504. [Google Scholar] [CrossRef] [PubMed]
- Subramanian, A.; Narayan, R.; Corsello, S.M.; Peck, D.D.; Natoli, T.E.; Lu, X.; Golub, T.R. A Next Generation Connectivity Map: L1000 Platform and the First 1,000,000 Profiles. Cell 2017, 171, 1437–1452.e17. [Google Scholar] [CrossRef]
- Dai, B.; Sun, F.; Cai, X.; Li, C.; Liu, H.; Shang, Y. Significance of RNA N6-Methyladenosine Regulators in the Diagnosis and Subtype Classification of Childhood Asthma Using the Gene Expression Omnibus Database. Front. Genet. 2021, 12, 634162. [Google Scholar] [CrossRef] [PubMed]
- Tang, Z.; Li, C.; Kang, B.; Gao, G.; Li, C.; Zhang, Z. GEPIA: A web server for cancer and normal gene expression profiling and interactive analyses. Nucleic Acids Res. 2017, 45, W98–W102. [Google Scholar] [CrossRef] [PubMed]
- Chandrashekar, D.S.; Karthikeyan, S.K.; Korla, P.K.; Patel, H.; Shovon, A.R.; Athar, M.; Varambally, S. UALCAN: An update to the integrated cancer data analysis platform. Neoplasia 2022, 25, 18–27. [Google Scholar] [CrossRef]
- Zhang, B.; Wu, Q.; Li, B.; Wang, D.; Wang, L.; Zhou, Y.L. m(6)A regulator-mediated methylation modification patterns and tumor microenvironment infiltration characterization in gastric cancer. Mol. Cancer 2020, 19, 53. [Google Scholar] [CrossRef]
- Li, T.; Fu, J.; Zeng, Z.; Cohen, D.; Li, J.; Chen, Q.; Liu, X.S. TIMER2.0 for analysis of tumor-infiltrating immune cells. Nucleic Acids Res. 2020, 48, W509–W514. [Google Scholar] [CrossRef]
- Zhou, Y.; Zeng, P.; Li, Y.H.; Zhang, Z.; Cui, Q. SRAMP: Prediction of mammalian N6-methyladenosine (m6A) sites based on sequence-derived features. Nucleic Acids Res. 2016, 44, e91. [Google Scholar] [CrossRef]
- Armaos, A.; Colantoni, A.; Proietti, G.; Rupert, J.; Tartaglia, G.G. catRAPID omics v2.0: Going deeper and wider in the prediction of protein-RNA interactions. Nucleic Acids Res. 2021, 49, W72–W79. [Google Scholar] [CrossRef]
- Newman, A.M.; Liu, C.L.; Green, M.R.; Gentles, A.J.; Feng, W.; Xu, Y.; Alizadeh, A.A. Robust enumeration of cell subsets from tissue expression profiles. Nat. Methods 2015, 12, 453–457. [Google Scholar] [CrossRef] [PubMed]
- Braun, D.A.; Street, K.; Burke, K.P.; Cookmeyer, D.L.; Denize, T.; Pedersen, C.B.; Wu, C.J. Progressive immune dysfunction with advancing disease stage in renal cell carcinoma. Cancer Cell 2021, 39, 632–648.e8. [Google Scholar] [CrossRef] [PubMed]
- Ochocki, J.D.; Khare, S.; Hess, M.; Ackerman, D.; Qiu, B.; Daisak, J.I.; Simon, M.C. Arginase 2 Suppresses Renal Carcinoma Progression via Biosynthetic Cofactor Pyridoxal Phosphate Depletion and Increased Polyamine Toxicity. Cell Metab. 2018, 27, 1263–1280.e6. [Google Scholar] [CrossRef] [PubMed]
- Diaz-Montero, C.M.; Rini, B.I.; Finke, J.H. The immunology of renal cell carcinoma. Nat. Rev. Nephrol. 2020, 16, 721–735. [Google Scholar] [CrossRef] [PubMed]
- Wang, H.; Liu, C.; Han, J.; Zhen, L.; Zhang, T.; He, X.; Li, M. HER2 expression in renal cell carcinoma is rare and negatively correlated with that in normal renal tissue. Oncol. Lett. 2012, 4, 194–198. [Google Scholar] [CrossRef]
- Frees, S.; Breuksch, I.; Haber, T.; Bauer, H.K.; Chavez-Munoz, C.; Raven, P.; Brenner, W. Calcium-sensing receptor (CaSR) promotes development of bone metastasis in renal cell carcinoma. Oncotarget 2018, 9, 15766–15779. [Google Scholar] [CrossRef]
- Shou, Y.; Liu, Y.; Xu, J.; Liu, J.; Xu, T.; Tong, J.; Zhang, X. TIMP1 Indicates Poor Prognosis of Renal Cell Carcinoma and Accelerates Tumorigenesis via EMT Signaling Pathway. Front. Genet. 2022, 13, 648134. [Google Scholar] [CrossRef]
- Li, M.; Bu, R. Biological Support to Obesity Paradox in Renal Cell Carcinoma: A Review. Urol. Int. 2020, 104, 837–848. [Google Scholar] [CrossRef]
- Zhu, D.; Liu, Y.; Chen, J.; Wang, Q.; Li, Y.; Zhu, Y.; Jiang, J. The methyltransferase METTL3 promotes tumorigenesis via mediating HHLA2 mRNA m6A modification in human renal cell carcinoma. J. Transl. Med. 2022, 20, 298. [Google Scholar] [CrossRef]
- Xu, Y.; Zhou, J.; Li, L.; Yang, W.; Zhang, Z.; Zhang, K.; Gong, K. FTO-mediated autophagy promotes progression of clear cell renal cell carcinoma via regulating SIK2 mRNA stability. Int. J. Biol. Sci. 2022, 18, 5943–5962. [Google Scholar] [CrossRef]
- Liu, T.; Wang, H.; Fu, Z.; Wang, Z.; Wang, J.; Gan, X.; Wang, L. Methyltransferase-like 14 suppresses growth and metastasis of renal cell carcinoma by decreasing long noncoding RNA NEAT1. Cancer Sci. 2022, 113, 446–458. [Google Scholar] [CrossRef] [PubMed]
- Wang, J.; Zhang, C.; He, W.; Gou, X. Effect of m(6)A RNA Methylation Regulators on Malignant Progression and Prognosis in Renal Clear Cell Carcinoma. Front. Oncol. 2020, 10, 3. [Google Scholar] [CrossRef]
- Zhao, F.; Ge, F.; Xie, M.; Li, Z.; Zang, C.; Kong, L.; Tan, Y. FTO mediated ERBB2 demethylation promotes tumor progression in esophageal squamous cell carcinoma cells. Clin. Exp. Metastasis 2022, 39, 623–639. [Google Scholar] [CrossRef] [PubMed]
- Lin, S.; Xu, H.; Zhang, A.; Ni, Y.; Xu, Y.; Meng, T.; Lou, M. Prognosis Analysis and Validation of m(6)A Signature and Tumor Immune Microenvironment in Glioma. Front. Oncol. 2020, 10, 541401. [Google Scholar] [CrossRef] [PubMed]
- Chen, J.; Sun, Y.; Xu, X.; Wang, D.; He, J.; Zhou, H.; Xu, M. YTH domain family 2 orchestrates epithelial-mesenchymal transition/proliferation dichotomy in pancreatic cancer cells. Cell Cycle 2017, 16, 2259–2271. [Google Scholar] [CrossRef]
- Lin, S.; Choe, J.; Du, P.; Triboulet, R.; Gregory, R.I. The m(6)A Methyltransferase METTL3 Promotes Translation in Human Cancer Cells. Mol. Cell 2016, 62, 335–345. [Google Scholar] [CrossRef]
- Liang, Z.; Geng, Y.; Gu, X. Adenine Methylation: New Epigenetic Marker of DNA and mRNA. Mol. Plant 2018, 11, 1219–1221. [Google Scholar] [CrossRef] [PubMed]
- Mao, Y.; Dong, L.; Liu, X.M.; Guo, J.; Ma, H.; Shen, B.; Qian, S.B. m(6)A in mRNA coding regions promotes translation via the RNA helicase-containing YTHDC2. Nat. Commun. 2019, 10, 5332. [Google Scholar] [CrossRef]
- Choi, J.; Ieong, K.W.; Demirci, H.; Chen, J.; Petrov, A.; Prabhakar, A.; Puglisi, J.D. N(6)-methyladenosine in mRNA disrupts tRNA selection and translation-elongation dynamics. Nat. Struct. Mol. Biol. 2016, 23, 110–115. [Google Scholar] [CrossRef] [PubMed]
- Gao, R.; He, B.; Huang, Q.; Wang, Z.; Yan, M.; Lam EW, F.; Liu, Q. Cancer cell immune mimicry delineates onco-immunologic modulation. iScience 2021, 24, 103133. [Google Scholar] [CrossRef]













| The Predicted Antagonistic Molecules for RCC Using the cMAP Database | |||
|---|---|---|---|
| Name | Target | Moa | Raw-Score |
| miglustat | UGCG|GAA|SLC5A4 | Glycosylation inhibitor | 0.7831 |
| torasemide | SLC12A1|CYP2C8|SLC12A2 | Thromboxane receptor antagonist | 0.7433 |
| AZ-628 | BRAF|RAF1 | RAF inhibitor | 0.7421 |
| atracurium | CHRNA2 | Acetylcholine receptor antagonist | 0.733 |
| PA-824 | FASN | Nitric oxide donor | 0.729 |
| prochlorperazine | DRD2|DRD1|DRD3|DRD4 | Dopamine receptor antagonist | 0.7268 |
| wiskostatin | WAS|WASL | Neural Wiskott–Aldrich syndrome protein inhibitor | 0.722 |
| carbamazepine | SCN1A|SCN3A|SCN5A|ABCB1|CYP1A2|CYP3A4|SCN10A|SCN11A|SCN2A|SCN4A|SCN7A|SCN8A|SCN9A | Carboxamide antiepileptic | 0.721 |
| CCT-031374 | CTNNB1 | WNT inhibitor | 0.7207 |
| LFM-A13 | BTK | BTK inhibitor | 0.7199 |
| Correlation Analysis between Hub Genes and m6A Related Genes | ||||||
|---|---|---|---|---|---|---|
| CASR | CAT | ERBB2 | P2RY8 | PLAUR | TIMP1 | |
| ALKBH5 | 0.246 | 0.38 | 0.436 | 0.384 | 0.002 | −0.187 |
| FTO | 0.134 | 0.348 | 0.261 | 0.415 | 0.024 | −0.192 |
| HNRNPA2B1 | 0.162 | 0.159 | 0.203 | 0.328 | 0.081 | −0.173 |
| KIAA1429 | 0.134 | 0.298 | 0.216 | 0.434 | 0.058 | −0.137 |
| METTL14 | 0.278 | 0.574 | 0.454 | 0.538 | −0.145 | −0.417 |
| METTL3 | 0.193 | 0.119 | 0.217 | 0.265 | −0.053 | −0.236 |
| RBM15 | 0.244 | 0.309 | 0.293 | 0.515 | 0.095 | −0.232 |
| WTAP | 0.12 | 0.261 | 0.062 | 0.43 | 0.126 | −0.131 |
| YTHDC1 | 0.276 | 0.431 | 0.528 | 0.601 | −0.119 | −0.342 |
| YTHDC2 | 0.153 | 0.397 | 0.22 | 0.418 | −0.027 | −0.3 |
| YTHDF1 | 0.222 | 0.336 | 0.395 | 0.32 | 0.019 | −0.197 |
| YTHDF2 | 0.252 | 0.41 | 0.3 | 0.542 | 0.013 | −0.182 |
| YTHDF3 | 0.245 | 0.512 | 0.228 | 0.327 | −0.029 | −0.313 |
| ZC3H13 | 0.256 | 0.426 | 0.418 | 0.578 | −0.041 | −0.27 |
| FMR1 | 0.228 | 0.413 | 0.362 | 0.319 | −0.065 | −0.304 |
| LRPPRC | 0.182 | 0.532 | 0.412 | 0.358 | −0.192 | −0.455 |
| spearman’s p: | positive correlation (p < 0.05) | |||||
| spearman’s p: | positive correlation (p < 0.05) | |||||
| spearman’s p: | positive correlation (p > 0.05) | |||||
Publisher’s Note: MDPI stays neutral with regard to jurisdictional claims in published maps and institutional affiliations. |
© 2022 by the authors. Licensee MDPI, Basel, Switzerland. This article is an open access article distributed under the terms and conditions of the Creative Commons Attribution (CC BY) license (https://creativecommons.org/licenses/by/4.0/).
Share and Cite
Ye, J.; Li, P.; Zhang, H.; Wu, Q.; Yang, D. Identifying Prognostic Biomarkers Related to m6A Modification and Immune Infiltration in Renal Cell Carcinoma. Genes 2022, 13, 2059. https://doi.org/10.3390/genes13112059
Ye J, Li P, Zhang H, Wu Q, Yang D. Identifying Prognostic Biomarkers Related to m6A Modification and Immune Infiltration in Renal Cell Carcinoma. Genes. 2022; 13(11):2059. https://doi.org/10.3390/genes13112059
Chicago/Turabian StyleYe, Junjie, Peng Li, Huijiang Zhang, Qi Wu, and Dongrong Yang. 2022. "Identifying Prognostic Biomarkers Related to m6A Modification and Immune Infiltration in Renal Cell Carcinoma" Genes 13, no. 11: 2059. https://doi.org/10.3390/genes13112059
APA StyleYe, J., Li, P., Zhang, H., Wu, Q., & Yang, D. (2022). Identifying Prognostic Biomarkers Related to m6A Modification and Immune Infiltration in Renal Cell Carcinoma. Genes, 13(11), 2059. https://doi.org/10.3390/genes13112059
