Advances in Therapeutic L-Nucleosides and L-Nucleic Acids with Unusual Handedness
Abstract
:1. Introduction
2. Nucleoside Analogs as Therapeutic Antiviral and Antitumor Agents
2.1. L-Type Neplanocin Compounds as Anti-Norovirus Therapies
2.2. L-Enantiomer of Immucillin Analogue as an Anti-T-Cell Leukaemia Agent
2.3. L-d4T and L-ddC Derivatives as Anti-HIV Agents
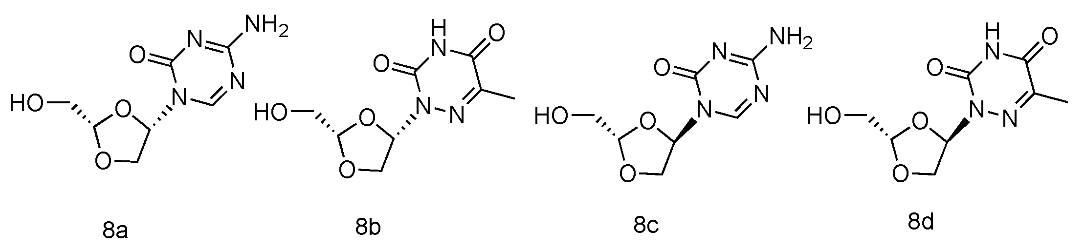
2.4. L-Azanucleoside as Anti-HBV Agents
2.5. L-4′-Thionucleosides as Anti-Tumor Agents
2.6. L-5-Fluoronucleoside to Treat Leukemia
2.7. LdT as Anti-HBV Agent
2.8. 3TC and FTC to Treat HIV
2.9. L-3′-Azido-2′,3′-dideoxypurine Nucleosides as Anti-HIV and Anti-HBV Agents
2.10. L-5′-Ethylenic and Acetylenic Modified Nucleosides
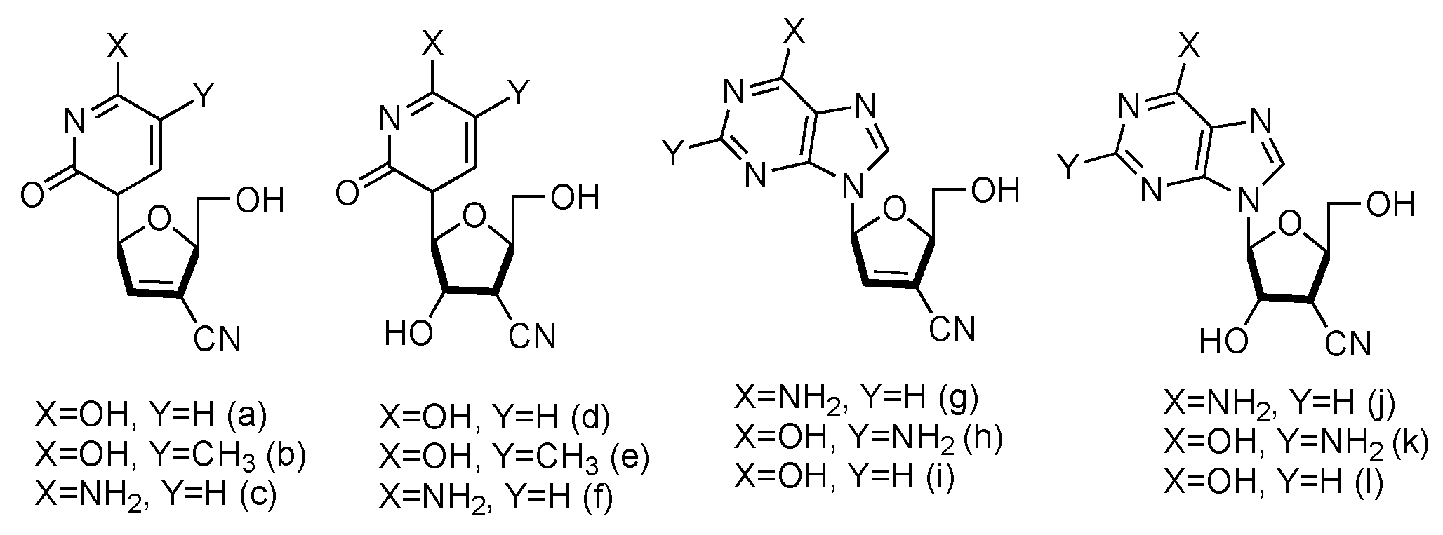
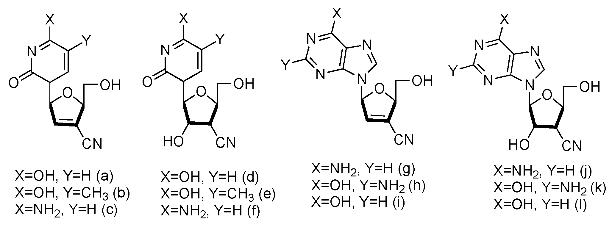
2.11. L-3′-Cyano Modified Nucleosides
2.12. L-Enantiomer of Ribavirin
2.13. L-Dideoxy Bicyclic Pyrimidine
3. L-Nuclei Acid Aptamers to Target Disease-Related Elements
3.1. L-Aptamers Bind to Small Molecules
3.2. L-Aptamers Bind to RNA Motifs
3.3. L-Aptamers Bind to Amino Acids and Proteins
4. L-Nucleic Acid Nanoparticles as Drug Delivery Tools
5. Conclusions and Outlook
Author Contributions
Funding
Institutional Review Board Statement
Informed Consent Statement
Data Availability Statement
Acknowledgments
Conflicts of Interest
References
- Crick, F. Central dogma of molecular biology. Nature 1970, 227, 561–563. [Google Scholar] [CrossRef]
- Watson, J.D.; Crick, F.H. Molecular structure of nucleic acids: A structure for deoxyribose nucleic acid. Nature 1953, 171, 737–738. [Google Scholar] [CrossRef] [PubMed]
- Doherty, E.A.; Doudna, J.A. Ribozyme structures and mechanisms. Annu. Rev. Biophys. Biomol. Struct. 2001, 30, 457–475. [Google Scholar] [CrossRef] [PubMed]
- Bonner, W.A. Chirality and life. Orig. Life Evol. Biosph. 1995, 25, 175–190. [Google Scholar] [CrossRef]
- Ohide, H.; Miyoshi, Y.; Maruyama, R.; Hamase, K.; Konno, R. d-Amino acid metabolism in mammals: Biosynthesis, degradation and analytical aspects of the metabolic study. J. Chromatogr. B 2011, 879, 3162–3168. [Google Scholar] [CrossRef]
- Volkmann, R.; Heck, S. Biosynthesis of d-amino acid-containing peptides: Exploring the role of peptide isomerases. EXS 1998, 85, 87–105. [Google Scholar]
- Chen, Y.; Ma, W. The origin of biological homochirality along with the origin of life. PLoS Comput. Biol. 2020, 16, e1007592. [Google Scholar] [CrossRef]
- Garay, J. Active centrum hypothesis: The origin of chiral homogeneity and the RNA-world. Biosystems 2011, 103, 1–12. [Google Scholar] [CrossRef] [PubMed]
- Cech, T.R. The RNA worlds in context. Cold Spring Harb. Perspect. Biol. 2012, 4, a006742. [Google Scholar] [CrossRef] [Green Version]
- Hauser, N.C.; Martinez, R.; Jacob, A.; Rupp, S.; Hoheisel, J.D.; Matysiak, S. Utilising the left-helical conformation of l-DNA for analysing different marker types on a single universal microarray platform. Nucleic Acids Res. 2006, 34, 5101–5111. [Google Scholar] [CrossRef] [Green Version]
- Gleave, M.E.; Monia, B.P. Antisense therapy for cancer. Nat. Rev. Cancer 2005, 5, 468–479. [Google Scholar] [CrossRef]
- Wilson, R.C.; Doudna, J.A. Molecular mechanisms of RNA interference. Annu. Rev. Biophys. 2013, 42, 217–239. [Google Scholar] [CrossRef] [Green Version]
- Ellington, A.D.; Szostak, J.W. In vitro selection of RNA molecules that bind specific ligands. Nature 1990, 346, 818–822. [Google Scholar] [CrossRef] [PubMed]
- Tuerk, C.; Gold, L. Systematic evolution of ligands by exponential enrichment: RNA ligands to bacteriophage T4 DNA polymerase. Science 1990, 249, 505–510. [Google Scholar] [CrossRef]
- Acton, E.M.; Ryan, K.J.; Goodman, L. Synthesis of l-ribofuranose and l-adenosine. J. Am. Chem. Soc. 1964, 86, 5352–5354. [Google Scholar] [CrossRef]
- Ke, G.; Wang, C.; Ge, Y.; Zheng, N.; Zhu, Z.; Yang, C.J. l-DNA molecular beacon: A safe, stable, and accurate intracellular nano-thermometer for temperature sensing in living cells. J. Am. Chem. Soc. 2012, 134, 18908–18911. [Google Scholar] [CrossRef]
- Vater, A.; Klussmann, S. Turning mirror-image oligonucleotides into drugs: The evolution of Spiegelmer® therapeutics. Drug Discov. Today 2015, 20, 147–155. [Google Scholar] [CrossRef] [Green Version]
- Young, B.E.; Kundu, N.; Sczepanski, J.T. Mirror-image oligonucleotides: History and emerging applications. Chemistry 2019, 25, 7981. [Google Scholar] [CrossRef] [PubMed]
- De Clercq, E. Strategies in the design of antiviral drugs. Nat. Rev. Drug Discov. 2002, 1, 13–25. [Google Scholar] [CrossRef]
- De Clercq, E. Antivirals and antiviral strategies. Nat. Rev. Microbiol. 2004, 2, 704–720. [Google Scholar] [CrossRef] [PubMed]
- Périgaud, C.; Gosselin, G.; Imbach, J. Nucleoside analogues as chemotherapeutic agents: A review. Nucleosides Nucleotides Nucleic Acids 1992, 11, 903–945. [Google Scholar] [CrossRef]
- Clercq, E.D. Antiviral activity spectrum and target of action of different classes of nucleoside analogues. Nucleosides Nucleotides Nucleic Acids 1994, 13, 1271–1295. [Google Scholar] [CrossRef]
- Chien, M.; Anderson, T.K.; Jockusch, S.; Tao, C.; Li, X.; Kumar, S.; Russo, J.J.; Kirchdoerfer, R.N.; Ju, J. Nucleotide analogues as inhibitors of SARS-CoV-2 polymerase, a key drug target for COVID-19. J. Proteome Res. 2020, 19, 4690–4697. [Google Scholar] [CrossRef] [PubMed]
- Feng, J.Y. Addressing the selectivity and toxicity of antiviral nucleosides. Antivir. Chem. Chemother. 2018, 26, 2040206618758524. [Google Scholar] [CrossRef]
- De Clercq, E.; Cools, M.; Balzarini, J.; Marquez, V.E.; Borcherding, D.R.; Borchardt, R.T.; Drach, J.C.; Kitaoka, S.; Konno, T. Broad-spectrum antiviral activities of neplanocin A, 3-deazaneplanocin A, and their 5′-nor derivatives. Antimicrob. Agents Chemother. 1989, 33, 1291–1297. [Google Scholar] [CrossRef] [Green Version]
- Qi Chen, A.D. Synthesis, conformational study and antiviral activity of l-like neplanocin derivatives. Bioorg. Med. Chem. Lett. 2017, 27, 4436–4439. [Google Scholar] [CrossRef]
- Liu, C.; Chen, Q.; Schneller, S.W. Enantiomeric 3-deaza-1′,6′-isoneplanocin and its 3-bromo analogue: Synthesis by the Ullmann reaction and their antiviral properties. Bioorg. Med. Chem. Lett. 2016, 26, 928–930. [Google Scholar] [CrossRef]
- Kicska, G.A.; Long, L.; Hörig, H.; Fairchild, C.; Tyler, P.C.; Furneaux, R.H.; Schramm, V.L.; Kaufman, H.L. Immucillin H, a powerful transition-state analog inhibitor of purine nucleoside phosphorylase, selectively inhibits human T lymphocytes. Proc. Natl. Acad. Sci. USA 2001, 98, 4593–4598. [Google Scholar] [CrossRef] [Green Version]
- Evans, G.B.; Furneaux, R.H.; Lewandowicz, A.; Schramm, V.L.; Tyler, P.C. Exploring structure− activity relationships of transition state analogues of human purine nucleoside phosphorylase. J. Med. Chem. 2003, 46, 3412–3423. [Google Scholar] [CrossRef] [PubMed]
- Shi, W.; Ting, L.-M.; Kicska, G.A.; Lewandowicz, A.; Tyler, P.C.; Evans, G.B.; Furneaux, R.H.; Kim, K.; Almo, S.C.; Schramm, V.L. Plasmodium falciparum purine nucleoside phosphorylase: Crystal structures, immucillin inhibitors, and dual catalytic function. J. Biol. Chem. 2004, 279, 18103–18106. [Google Scholar] [CrossRef] [Green Version]
- Ho, M.-C.; Shi, W.; Rinaldo-Matthis, A.; Tyler, P.C.; Evans, G.B.; Clinch, K.; Almo, S.C.; Schramm, V.L. Four generations of transition-state analogues for human purine nucleoside phosphorylase. Proc. Natl. Acad. Sci. USA 2010, 107, 4805–4812. [Google Scholar] [CrossRef] [PubMed] [Green Version]
- Clinch, K.; Evans, G.B.; Fleet, G.W.; Furneaux, R.H.; Johnson, S.W.; Lenz, D.H.; Mee, S.P.; Rands, P.R.; Schramm, V.L.; Ringia, E.A.T.; et al. Syntheses and bio-activities of the l-enantiomers of two potent transition state analogue inhibitors of purine nucleoside phosphorylases. Org. Biomol. Chem. 2006, 4, 1131–1139. [Google Scholar] [CrossRef]
- Evans, G.B.; Furneaux, R.H.; Tyler, P.C.; Schramm, V.L. Synthesis of a transition state analogue inhibitor of purine nucleoside phosphorylase via the Mannich reaction. Org. Lett. 2003, 5, 3639–3640. [Google Scholar] [CrossRef] [PubMed]
- De Clercq, E. Current lead natural products for the chemotherapy of human immunodeficiency virus (HIV) infection. Med. Res. Rev. 2000, 20, 323–349. [Google Scholar] [CrossRef]
- Götte, M.; Rausch, J.W.; Marchand, B.; Sarafianos, S.; Le Grice, S.F. Reverse transcriptase in motion: Conformational dynamics of enzyme–substrate interactions. Biochim. Biophys. Acta Proteins Proteom. 2010, 1804, 1202–1212. [Google Scholar] [CrossRef] [Green Version]
- D’Andrea, G.; Brisdelli, F.; Bozzi, A. AZT: An old drug with new perspectives. Curr. Clin. Pharmacol. 2008, 3, 20–37. [Google Scholar] [PubMed]
- Perry, C.M.; Noble, S. Didanosine. Drugs 1999, 58, 1099–1135. [Google Scholar] [CrossRef] [PubMed]
- Baba, M.; Pauwels, R.; Herdewijn, P.; De Clercq, E.; Desmyter, J.; Vandeputte, M. Both 2′,3′-dideoxythymidine and its 2′,3′-unsaturated derivative (2′,3′-dideoxythymidinene) are potent and selective inhibitors of human immunodeficiency virus replication in vitro. Biochem. Biophys. Res. Commun. 1987, 142, 128–134. [Google Scholar] [CrossRef]
- Hitchcock, M. 2′,3′-Didehydro-2′,3′-dideoxythymidine (D4T), an anti-HIV agent. Antivir. Chem. Chemother. 1991, 2, 125–132. [Google Scholar] [CrossRef]
- Gavriliu, D.; Fossey, C.; Fontaine, G.; Benzaria, S.; Ciurea, A.; Delbederi, Z.; Lelong, B.; Laduree, D.; Aubertin, A.; Kirn, A. Synthesis and antiviral activity of C-5 substituted analogues of d4T bearing methylamino-or methyldiamino-linker arms. Nucleosides Nucleotides Nucleic Acids 2000, 19, 1017–1031. [Google Scholar] [CrossRef]
- Park, A.-Y.; Kim, W.H.; Kang, J.-A.; Lee, H.J.; Lee, C.-K.; Moon, H.R. Synthesis of enantiomerically pure d-and l-bicyclo[3.1.0] hexenyl carbanucleosides and their antiviral evaluation. Bioorg. Med. Chem. 2011, 19, 3945–3955. [Google Scholar] [CrossRef]
- Park, A.-Y.; Moon, H.R.; Kim, K.R.; Chun, M.W.; Jeong, L.S. Synthesis of novel l-N-MCd4T as a potent anti-HIV agent. Org. Biomol. Chem. 2006, 4, 4065–4067. [Google Scholar] [CrossRef]
- Gosselin, G.; Schinazi, R.F.; Sommadossi, J.-P.; Mathé, C.; Bergogne, M.-C.; Aubertin, A.-M.; Kirn, A.; Imbach, J.-L. Anti-human immunodeficiency virus activities of the β-L enantiomer of 2′,3′-dideoxycytidine and its 5-fluoro derivative in vitro. Antimicrob. Agents Chemother. 1994, 38, 1292–1297. [Google Scholar] [CrossRef] [Green Version]
- Shi, J.; McAtee, J.J.; Schlueter Wirtz, S.; Tharnish, P.; Juodawlkis, A.; Liotta, D.C.; Schinazi, R.F. Synthesis and biological evaluation of 2′,3′-didehydro-2′,3′-dideoxy-5-fluorocytidine (D4FC) analogues: Discovery of carbocyclic nucleoside triphosphates with potent inhibitory activity against HIV-1 reverse transcriptase. J. Med. Chem. 1999, 42, 859–867. [Google Scholar] [CrossRef]
- Lin, T.-S.; Luo, M.-Z.; Liu, M.-C.; Zhu, Y.-L.; Gullen, E.; Dutschman, G.E.; Cheng, Y.-C. Design and synthesis of 2′,3′-dideoxy-2′,3′-didehydro-β-l-cytidine (β-l-d4C) and 2′,3′-dideoxy-2′,3′-didehydro-β-l-5-fluorocytidine (β-l-Fd4C), two exceptionally potent inhibitors of human hepatitis B virus (HBV) and potent inhibitors of human immunodeficiency virus (HIV) in vitro. J. Med. Chem. 1996, 39, 1757–1759. [Google Scholar]
- Schinazi, R.F.; McMillan, A.; Cannon, D.; Mathis, R.; Lloyd, R.M.; Peck, A.; Sommadossi, J.-P.; St Clair, M.; Wilson, J.; Furman, P. Selective inhibition of human immunodeficiency viruses by racemates and enantiomers of cis-5-fluoro-1-[2-(hydroxymethyl)-1, 3-oxathiolan-5-yl] cytosine. Antimicrob. Agents Chemother. 1992, 36, 2423–2431. [Google Scholar] [CrossRef] [Green Version]
- Soudeyns, H.; Yao, X.; Gao, Q.; Belleau, B.; Kraus, J.-L.; Nguyen-Ba, N.; Spira, B.; Wainberg, M.A. Anti-human immunodeficiency virus type 1 activity and in vitro toxicity of 2′-deoxy-3′-thiacytidine (BCH-189), a novel heterocyclic nucleoside analog. Antimicrob. Agents Chemother. 1991, 35, 1386–1390. [Google Scholar] [CrossRef] [Green Version]
- Coates, J.; Cammack, N.; Jenkinson, H.; Mutton, I.; Pearson, B.; Storer, R.; Cameron, J.; Penn, C. The separated enantiomers of 2′-deoxy-3′-thiacytidine (BCH 189) both inhibit human immunodeficiency virus replication in vitro. Antimicrob. Agents Chemother. 1992, 36, 202–205. [Google Scholar] [CrossRef] [Green Version]
- Krooth, R.S.; Wen-Luan, H.; Lam, G.F. Effect of 6-azauracil, and of certain structurally similar compounds, on three pyridoxal-phosphate requiring enzymes involved in neurotransmitter metabolism. Biochem. Pharmacol. 1979, 28, 1071–1076. [Google Scholar] [CrossRef]
- Karon, M.; Sieger, L.; Leimbrock, S.; Finklestein, J.Z.; Nesbit, M.E.; Swaney, J.J. 5-Azacytidine: A new active agent for the treatment of acute leukemia. Blood 1973, 42, 359–365. [Google Scholar] [CrossRef]
- Luo, M.-Z.; Liu, M.-C.; Mozdziesz, D.E.; Lin, T.-S.; Dutschman, G.E.; Gullen, E.A.; Cheng, Y.-C.; Sartorelli, A.C. Synthesis and biological evaluation of l-and d-configuration 1, 3-dioxolane 5-azacytosine and 6-azathymine nucleosides. Bioorg. Med. Chem. Lett. 2000, 10, 2145–2148. [Google Scholar] [CrossRef]
- Pejanović, V.; Stokić, Z.; Stojanović, B.; Piperski, V.; Popsavin, M.; Popsavin, V. Synthesis and biological evaluation of some novel 4′-Thio-l-ribonucleosides with modified nucleobase moieties. Bioorg. Med. Chem. Lett. 2003, 13, 1849–1852. [Google Scholar] [CrossRef]
- Döhner, H.; Estey, E.H.; Amadori, S.; Appelbaum, F.R.; Büchner, T.; Burnett, A.K.; Dombret, H.; Fenaux, P.; Grimwade, D.; Larson, R.A. Diagnosis and management of acute myeloid leukemia in adults: Recommendations from an international expert panel, on behalf of the European LeukemiaNet. Blood 2010, 115, 453–474. [Google Scholar] [CrossRef]
- Capizzi, R.; White, J.C.; Powell, B.; Perrino, F. Effect of dose on the pharmacokinetic and pharmacodynamic effects of cytarabine. Semin. Hematol. 1991, 28, 54–69. [Google Scholar]
- Galmarini, C.M.; Thomas, X.; Calvo, F.; Rousselot, P.; El Jafaari, A.; Cros, E.; Dumontet, C. Potential mechanisms of resistance to cytarabine in AML patients. Leuk. Res. 2002, 26, 621–629. [Google Scholar] [CrossRef]
- Bankar, A.; Siriwardena, T.P.; Rizoska, B.; Rydergård, C.; Kylefjord, H.; Rraklli, V.; Eneroth, A.; Pinho, P.; Norin, S.; Bylund, J. Novel l-nucleoside analog, 5-fluorotroxacitabine, displays potent efficacy against acute myeloid leukemia. Haematologica 2021, 106, 574. [Google Scholar] [CrossRef] [Green Version]
- Dienstag, J.; Easley, C.; Kirkpatrick, P. Telbivudine. Nat. Rev. Drug Discov. 2007, 6, 267–268. [Google Scholar] [CrossRef]
- Férir, G.; Kaptein, S.; Neyts, J.; De Clercq, E. Antiviral treatment of chronic hepatitis B virus infections: The past, the present and the future. Rev. Med. Virol. 2008, 18, 19–34. [Google Scholar] [CrossRef]
- Venhoff, N.; Setzer, B.; Melkaoui, K.; Walker, U.A. Mitochondrial toxicity of tenofovir, emtricitabine and abacavir alone and in combination with additional nucleoside reverse transcriptase inhibitors. Antivir. Ther. 2007, 12, 1075. [Google Scholar]
- Zhang, H.-W.; Detorio, M.; Herman, B.D.; Solomon, S.; Bassit, L.; Nettles, J.H.; Obikhod, A.; Tao, S.-J.; Mellors, J.W.; Sluis-Cremer, N. Synthesis, antiviral activity, cytotoxicity and cellular pharmacology of l-3′-azido-2′,3′-dideoxypurine nucleosides. Eur. J. Med. Chem. 2011, 46, 3832–3844. [Google Scholar] [CrossRef] [PubMed] [Green Version]
- Busch, H. The function of the 5′cap of mRNA and nuclear RNA species. Perspect. Biol. Med. 1976, 19, 549–567. [Google Scholar] [CrossRef]
- Dong, H.; Zhang, B.; Shi, P.-Y. Flavivirus methyltransferase: A novel antiviral target. Antiviral Res. 2008, 80, 1–10. [Google Scholar] [CrossRef] [PubMed] [Green Version]
- Cools, M.; De Clercq, E. Correlation between the antiviral activity of acyclic and carbocyclic adenosine analogues in murine L929 cells and their inhibitory effect on L929 cell S-adenosylhomocysteine hydrolase. Biochem. Pharmacol. 1989, 38, 1061–1067. [Google Scholar] [CrossRef]
- Wang, J.-F.; Yang, X.-D.; Zhang, L.-R.; Yang, Z.-J.; Zhang, L.-H. Synthesis and biological activities of 5′-ethylenic and acetylenic modified l-nucleosides and isonucleosides. Tetrahedron 2004, 60, 8535–8546. [Google Scholar] [CrossRef]
- Zhu, W.; Gumina, G.; Schinazi, R.F.; Chu, C.K. Synthesis and anti-HIV activity of l-β-3′-C-cyano-2′,3′-unsaturated nucleosides and l-3′-C-cyano-3′-deoxyribonucleosides. Tetrahedron 2003, 59, 6423–6431. [Google Scholar] [CrossRef]
- Hall, C.B.; McBride, J.T.; Walsh, E.E.; Bell, D.M.; Gala, C.L.; Hildreth, S.; Ten Eyck, L.G.; Hall, W.J. Aerosolized ribavirin treatment of infants with respiratory syncytial viral infection: A randomized double-blind study. N. Engl. J. Med. 1983, 308, 1443–1447. [Google Scholar] [CrossRef] [PubMed]
- Reichard, O.; Norkrans, G.; Frydén, A.; Braconier, J.-H.; Sönnerborg, A.; Weiland, O.; Group, S.S. Randomised, double-blind, placebo-controlled trial of interferon α-2b with and without ribavirin for chronic hepatitis C. Lancet 1998, 351, 83–87. [Google Scholar] [CrossRef]
- Tam, R.C.; Lim, C.; Bard, J.; Pai, B. Contact hypersensitivity responses following ribavirin treatment in vivo are influenced by type 1 cytokine polarization, regulation of IL-10 expression, and costimulatory signaling. J. Immunol. 1999, 163, 3709–3717. [Google Scholar]
- Ramasamy, K.S.; Tam, R.C.; Bard, J.; Averett, D.R. Monocyclic l-nucleosides with type 1 cytokine-inducing activity. J. Med. Chem. 2000, 43, 1019–1028. [Google Scholar] [CrossRef]
- Krauer, F.; Riesen, M.; Reveiz, L.; Oladapo, O.T.; Martínez-Vega, R.; Porgo, T.V.; Haefliger, A.; Broutet, N.J.; Low, N.; Group, W.Z.C.W. Zika virus infection as a cause of congenital brain abnormalities and Guillain–Barré syndrome: Systematic review. PLoS Med. 2017, 14, e1002203. [Google Scholar] [CrossRef] [Green Version]
- Bassetto, M.; Cima, C.M.; Basso, M.; Salerno, M.; Schwarze, F.; Friese, D.; Bugert, J.J.; Brancale, A. Novel Nucleoside Analogues as Effective Antiviral Agents for Zika Virus Infections. Molecules 2020, 25, 4813. [Google Scholar] [CrossRef] [PubMed]
- Miralles-Llumà, R.; Figueras, A.; Busqué, F.; Alvarez-Larena, A.; Balzarini, J.; Figueredo, M.; Font, J.; Alibés, R.; Maréchal, J.D. Synthesis, antiviral evaluation, and computational studies of cyclobutane and cyclobutene l-nucleoside analogues. Eur. J. Org. Chem. 2013, 2013, 7761–7775. [Google Scholar] [CrossRef]
- D’Alonzo, D.; Guaragna, A.; Van Aerschot, A.; Herdewijn, P.; Palumbo, G. Toward l-homo-DNA: Stereoselective de novo synthesis of β-L-erythro-hexopyranosyl nucleosides. J. Org. Chem. 2010, 75, 6402–6410. [Google Scholar] [CrossRef]
- Mathé, C.; Gosselin, G. Synthesis and antiviral evaluation of the β-L-enantiomers of some thymine 3′-deoxypentofuranonucleoside derivatives. Nucleosides Nucleotides Nucleic Acids 2000, 19, 1517–1530. [Google Scholar] [CrossRef]
- Kitano, K.; Kohgo, S.; Yamada, K.; Sakata, S.; Ashida, N.; Hayakawa, H.; Nameki, D.; Kodama, E.; Matsuoka, M.; Mitsuya, H. Attempt to reduce cytotoxicity by synthesizing the l-enantiomer of 4′-C-ethynyl-2′-deoxypurine nucleosides as antiviral agents against HIV and HBV. Antivir. Chem. Chemother. 2004, 15, 161–167. [Google Scholar] [CrossRef]
- Sørensen, M.D.; Kværnø, L.; Bryld, T.; Håkansson, A.E.; Verbeure, B.; Gaubert, G.; Herdewijn, P.; Wengel, J. α-L-ribo-configured locked nucleic acid (α-L-LNA): Synthesis and properties. J. Am. Chem. Soc. 2002, 124, 2164–2176. [Google Scholar] [CrossRef] [PubMed]
- Babu, B.R.; Sørensen, M.D.; Parmar, V.S.; Harrit, N.H.; Wengel, J. Oligodeoxynucleotides containing α-l-ribo configured LNA-type C-aryl nucleotides. Org. Biomol. Chem. 2004, 2, 80–89. [Google Scholar]
- Seth, P.P.; Allerson, C.A.; Østergaard, M.E.; Swayze, E.E. Synthesis and biophysical evaluation of 3′-Me-α-l-LNA–Substitution in the minor groove of α-l-LNA duplexes. Bioorg. Med. Chem. Lett. 2011, 21, 4690–4694. [Google Scholar] [CrossRef]
- Kumar, T.S.; Madsen, A.S.; Wengel, J.; Hrdlicka, P.J. Synthesis and hybridization studies of 2′-amino-α-L-LNA and tetracyclic “Locked LNA”. J. Org. Chem. 2006, 71, 4188–4201. [Google Scholar] [CrossRef]
- Seela, F.; Lin, W.; Kazimierczuk, Z.; Rosemeyer, H.; Glaçon, V.; Peng, X.; He, Y.; Ming, X.; Andrzejewska, M.; Gorska, A. l-nucleosides containing modified nucleobases. Nucleosides Nucleotides Nucleic Acids 2005, 24, 859–863. [Google Scholar] [CrossRef]
- Jessel, S.; Meier, C. Synthesis of 2′,3′-Modified Carbocyclic l-Nucleoside Analogues. Eur. J. Org. Chem. 2011, 2011, 1702–1713. [Google Scholar] [CrossRef]
- Song, W.-S.; Liu, S.-X.; Chang, C.-C. Synthesis of l-Deoxyribonucleosides from d-Ribose. J. Org. Chem. 2018, 83, 14923–14932. [Google Scholar] [CrossRef]
- Aragonès, S.; Bravo, F.; Díaz, Y.; Matheu, M.I.; Castillón, S. Stereoselective synthesis of l-isonucleosides. Tetrahedron Lett. 2003, 44, 3771–3773. [Google Scholar] [CrossRef]
- Mathé, C.; Gosselin, G. l-nucleoside enantiomers as antivirals drugs: A mini-review. Antivir. Res. 2006, 71, 276–281. [Google Scholar] [CrossRef]
- Mahmoud, S.; Hasabelnaby, S.; Hammad, S.; Sakr, T. Antiviral nucleoside and nucleotide analogs: A review. J. Adv. Pharm. Res. 2018, 2, 73–88. [Google Scholar] [CrossRef] [Green Version]
- Klussmann, S.; Nolte, A.; Bald, R.; Erdmann, V.A.; Fürste, J.P. Mirror-image RNA that binds d-adenosine. Nat. Biotechnol. 1996, 14, 1112–1115. [Google Scholar] [CrossRef] [PubMed]
- Alderman, D. Malachite green: A review. J. Fish Dis. 1985, 8, 289–298. [Google Scholar] [CrossRef]
- Srivastava, S.; Sinha, R.; Roy, D. Toxicological effects of malachite green. Aquat. Toxicol. 2004, 66, 319–329. [Google Scholar] [CrossRef]
- Luo, X.; Chen, Z.; Li, H.; Li, W.; Cui, L.; Huang, J. Exploiting the application of l-aptamer with excellent stability: An efficient sensing platform for malachite green in fish samples. Analyst 2019, 144, 4204–4209. [Google Scholar] [CrossRef]
- Feng, X.-N.; Cui, Y.-X.; Zhang, J.; Tang, A.-N.; Mao, H.-B.; Kong, D.-M. Chiral interaction is a decisive factor to replace d-DNA with l-DNA aptamers. Anal. Chem. 2020, 92, 6470–6477. [Google Scholar] [CrossRef]
- Chen, H.; Xie, S.; Liang, H.; Wu, C.; Cui, L.; Huan, S.-Y.; Zhang, X. Generation of biostable l-aptamers against achiral targets by chiral inversion of existing d-aptamers. Talanta 2017, 164, 662–667. [Google Scholar] [CrossRef]
- Sczepanski, J.T.; Joyce, G.F. Specific inhibition of microRNA processing using l-RNA aptamers. J. Am. Chem. Soc. 2015, 137, 16032–16037. [Google Scholar] [CrossRef] [Green Version]
- Dey, S.; Sczepanski, J.T. In vitro selection of l-DNA aptamers that bind a structured d-RNA molecule. Nucleic Acids Res. 2020, 48, 1669–1680. [Google Scholar] [CrossRef]
- Kabza, A.M.; Sczepanski, J.T. An l-RNA aptamer with expanded chemical functionality that Inhibits microRNA biogenesis. ChemBioChem 2017, 18, 1824–1827. [Google Scholar] [CrossRef]
- Sczepanski, J.T.; Joyce, G.F. Binding of a structured d-RNA molecule by an l-RNA aptamer. J. Am. Chem. Soc. 2013, 135, 13290–13293. [Google Scholar] [CrossRef] [PubMed] [Green Version]
- Umar, M.I.; Kwok, C.K. Specific suppression of d-RNA G-quadruplex–protein interaction with an l-RNA aptamer. Nucleic Acids Res. 2020, 48, 10125–10141. [Google Scholar] [CrossRef]
- Chan, C.Y.; Kwok, C.K. Specific binding of a d-RNA G-quadruplex structure with an l-RNA aptamer. Angew. Chem. Int. Ed. 2020, 132, 5331–5335. [Google Scholar] [CrossRef]
- Collie, G.W.; Parkinson, G.N. The application of DNA and RNA G-quadruplexes to therapeutic medicines. Chem. Soc. Rev. 2011, 40, 5867–5892. [Google Scholar] [CrossRef]
- Brázda, V.; Hároníková, L.; Liao, J.C.; Fojta, M. DNA and RNA quadruplex-binding proteins. Int. J. Mol. Sci. 2014, 15, 17493–17517. [Google Scholar] [CrossRef] [Green Version]
- Li, J.; Sczepanski, J. Targeting a conserved structural element from the SARS-CoV-2 genome using l-DNA aptamers. RSC Chem. Biol. 2022. [Google Scholar] [CrossRef]
- Gilbert, C.; Tengs, T. No species-level losses of s2m suggests critical role in replication of SARS-related coronaviruses. Sci. Rep. 2021, 11, 16145. [Google Scholar] [CrossRef] [PubMed]
- Nolte, A.; Klußmann, S.; Bald, R.; Erdmann, V.A.; Fürste, J.P. Mirror-design of l-oligonucleotide ligands binding to l-arginine. Nat. Biotechnol. 1996, 14, 1116–1119. [Google Scholar] [CrossRef] [PubMed]
- Ravelet, C.; Boulkedid, R.; Ravel, A.; Grosset, C.; Villet, A.; Fize, J.; Peyrin, E. A l-RNA aptamer chiral stationary phase for the resolution of target and related compounds. J. Chromatogr. A 2005, 1076, 62–70. [Google Scholar] [CrossRef] [PubMed]
- Brumbt, A.; Ravelet, C.; Grosset, C.; Ravel, A.; Villet, A.; Peyrin, E. Chiral stationary phase based on a biostable l-RNA aptamer. Anal. Chem. 2005, 77, 1993–1998. [Google Scholar] [CrossRef] [PubMed]
- Ruta, J.; Ravelet, C.; Grosset, C.; Fize, J.; Ravel, A.; Villet, A.; Peyrin, E. Enantiomeric separation using an l-RNA aptamer as chiral additive in partial-filling capillary electrophoresis. Anal. Chem. 2006, 78, 3032–3039. [Google Scholar] [CrossRef] [PubMed]
- Ruta, J.; Grosset, C.; Ravelet, C.; Fize, J.; Villet, A.; Ravel, A.; Peyrin, E. Chiral resolution of histidine using an anti-d-histidine l-RNA aptamer microbore column. J. Chromatogr. B 2007, 845, 186–190. [Google Scholar] [CrossRef]
- Jørgensen, A.S.; Hansen, L.H.; Vester, B.; Wengel, J. Improvement of a streptavidin-binding aptamer by LNA-and α-l-LNA-substitutions. Bioorg. Med. Chem. Lett. 2014, 24, 2273–2277. [Google Scholar] [CrossRef]
- Ricklin, D.; Hajishengallis, G.; Yang, K.; Lambris, J.D. Complement: A key system for immune surveillance and homeostasis. Nat. Immunol. 2010, 11, 785–797. [Google Scholar] [CrossRef] [Green Version]
- Bosmann, M.; Ward, P.A. Role of C3, C5 and anaphylatoxin receptors in acute lung injury and in sepsis. In Current Topics in Innate Immunity II; Springer Nature: London, UK, 2012; pp. 147–159. [Google Scholar]
- Czermak, B.J.; Sarma, V.; Pierson, C.L.; Warner, R.L.; Huber-Lang, M.; Bless, N.M.; Schmal, H.; Friedl, H.P.; Ward, P.A. Protective effects of C5a blockade in sepsis. Nat. Med. 1999, 5, 788–792. [Google Scholar] [CrossRef] [PubMed]
- Hoehlig, K.; Maasch, C.; Shushakova, N.; Buchner, K.; Huber-Lang, M.; Purschke, W.G.; Vater, A.; Klussmann, S. A novel C5a-neutralizing mirror-image (l-) aptamer prevents organ failure and improves survival in experimental sepsis. Mol. Ther. 2013, 21, 2236–2246. [Google Scholar] [CrossRef] [Green Version]
- Chakraborty, S.; Winkelmann, V.E.; Braumüller, S.; Palmer, A.; Schultze, A.; Klohs, B.; Ignatius, A.; Vater, A.; Fauler, M.; Frick, M. Role of the C5a-C5a receptor axis in the inflammatory responses of the lungs after experimental polytrauma and hemorrhagic shock. Sci. Rep. 2021, 11, 2158. [Google Scholar] [CrossRef] [PubMed]
- Yatime, L.; Maasch, C.; Hoehlig, K.; Klussmann, S.; Andersen, G.R.; Vater, A. Structural basis for the targeting of complement anaphylatoxin C5a using a mixed l-RNA/l-DNA aptamer. Nat. Commun. 2015, 6, 6481. [Google Scholar] [CrossRef] [PubMed]
- Weisberg, E.L.; Sattler, M.; Azab, A.K.; Eulberg, D.; Kruschinski, A.; Manley, P.W.; Stone, R.; Griffin, J.D. Inhibition of SDF-1-induced migration of oncogene-driven myeloid leukemia by the l-RNA aptamer (Spiegelmer), NOX-A12, and potentiation of tyrosine kinase inhibition. Oncotarget 2017, 8, 109973. [Google Scholar] [CrossRef] [PubMed] [Green Version]
- Citro, A.; Pellegrini, S.; Dugnani, E.; Eulberg, D.; Klussmann, S.; Piemonti, L. CCL 2/MCP-1 and CXCL 12/SDF-1 blockade by l-aptamers improve pancreatic islet engraftment and survival in mouse. Am. J. Transplant. 2019, 19, 3131–3138. [Google Scholar] [CrossRef] [PubMed]
- Eulberg, D.; Purschke, W.; Anders, H.-J.; Selve, N.; Klussmann, S. Spiegelmer NOX-E36 for Renal Diseases. In Therapeutic Oligonucleotides, 1st ed.; Royal Society of Chemistry: Cambridge, UK, 2008; Volume 12, pp. 200–225. [Google Scholar]
- Oberthür, D.; Achenbach, J.; Gabdulkhakov, A.; Buchner, K.; Maasch, C.; Falke, S.; Rehders, D.; Klussmann, S.; Betzel, C. Crystal structure of a mirror-image l-RNA aptamer (Spiegelmer) in complex with the natural l-protein target CCL2. Nat. Commun. 2015, 6, 6923. [Google Scholar] [CrossRef] [Green Version]
- Pyne, N.J.; Pyne, S. Sphingosine 1-phosphate and cancer. Nat. Rev. Cancer 2010, 10, 489–503. [Google Scholar] [CrossRef] [Green Version]
- Gandy, K.A.O.; Obeid, L.M. Targeting the sphingosine kinase/sphingosine 1-phosphate pathway in disease: Review of sphingosine kinase inhibitors. Biochim. Biophys. Acta Mol. Cell. Biol. Lipids 2013, 1831, 157–166. [Google Scholar] [CrossRef] [Green Version]
- Purschke, W.G.; Hoehlig, K.; Buchner, K.; Zboralski, D.; Schwoebel, F.; Vater, A.; Klussmann, S. Identification and characterization of a mirror-image oligonucleotide that binds and neutralizes sphingosine 1-phosphate, a central mediator of angiogenesis. Biochem. J. 2014, 462, 153–162. [Google Scholar] [CrossRef] [Green Version]
- Russo, A.F. Calcitonin gene-related peptide (CGRP): A new target for migraine. Annu. Rev. Pharmacol. Toxicol. 2015, 55, 533–552. [Google Scholar] [CrossRef] [Green Version]
- Fischer, M.J.; Schmidt, J.; Koulchitsky, S.; Klussmann, S.; Vater, A.; Messlinger, K. Effect of a calcitonin gene-related peptide-binding l-RNA aptamer on neuronal activity in the rat spinal trigeminal nucleus. J. Headache Pain 2018, 19, 3. [Google Scholar] [CrossRef] [Green Version]
- Sumter, T.; Xian, L.; Huso, T.; Koo, M.; Chang, Y.-T.; Almasri, T.; Chia, L.; Inglis, C.; Reid, D.; Resar, L. The high mobility group A1 (HMGA1) transcriptome in cancer and development. Curr. Mol. Med. 2016, 16, 353–393. [Google Scholar] [CrossRef] [PubMed] [Green Version]
- Maasch, C.; Vater, A.; Buchner, K.; Purschke, W.G.; Eulberg, D.; Vonhoff, S.; Klussmann, S. Polyetheylenimine-polyplexes of Spiegelmer NOX-A50 directed against intracellular high mobility group protein A1 (HMGA1) reduce tumor growth in vivo. J. Med. Chem. 2010, 285, 40012–40018. [Google Scholar] [CrossRef] [PubMed] [Green Version]
- Olea Jr, C.; Weidmann, J.; Dawson, P.E.; Joyce, G.F. An l-RNA aptamer that binds and inhibits RNase. Chem. Biol. 2015, 22, 1437–1441. [Google Scholar] [CrossRef] [PubMed] [Green Version]
- Wlotzka, B.; Leva, S.; Eschgfäller, B.; Burmeister, J.; Kleinjung, F.; Kaduk, C.; Muhn, P.; Hess-Stumpp, H.; Klussmann, S. In vivo properties of an anti-GnRH Spiegelmer: An example of an oligonucleotide-based therapeutic substance class. Proc. Natl. Acad. Sci. USA 2002, 99, 8898–8902. [Google Scholar] [CrossRef] [PubMed] [Green Version]
- Dose, C.; Ho, D.; Gaub, H.E.; Dervan, P.B.; Albrecht, C.H. Recognition of “Mirror-Image” DNA by Small Molecules. Angew. Chem. Int. Ed. 2007, 119, 8536–8539. [Google Scholar] [CrossRef]
- Williams, K.P.; Liu, X.-H.; Schumacher, T.N.; Lin, H.Y.; Ausiello, D.A.; Kim, P.S.; Bartel, D.P. Bioactive and nuclease-resistant l-DNA ligand of vasopressin. Proc. Natl. Acad. Sci. USA 1997, 94, 11285–11290. [Google Scholar] [CrossRef] [PubMed] [Green Version]
- Lin, C.; Ke, Y.; Li, Z.; Wang, J.H.; Liu, Y.; Yan, H. Mirror image DNA nanostructures for chiral supramolecular assemblies. Nano Lett. 2009, 9, 433–436. [Google Scholar] [CrossRef] [PubMed] [Green Version]
- Kim, K.-R.; Kim, H.Y.; Lee, Y.-D.; Ha, J.S.; Kang, J.H.; Jeong, H.; Bang, D.; Ko, Y.T.; Kim, S.; Lee, H. Self-assembled mirror DNA nanostructures for tumor-specific delivery of anticancer drugs. J. Control. Release 2016, 243, 121–131. [Google Scholar] [CrossRef] [PubMed]
- Walsh, A.S.; Yin, H.; Erben, C.M.; Wood, M.J.; Turberfield, A.J. DNA cage delivery to mammalian cells. ACS Nano 2011, 5, 5427–5432. [Google Scholar] [CrossRef] [PubMed]
- Lee, H.; Lytton-Jean, A.K.; Chen, Y.; Love, K.T.; Park, A.I.; Karagiannis, E.D.; Sehgal, A.; Querbes, W.; Zurenko, C.S.; Jayaraman, M. Molecularly self-assembled nucleic acid nanoparticles for targeted in vivo siRNA delivery. Nat. Nanotechnol. 2012, 7, 389–393. [Google Scholar] [CrossRef]
- Liu, X.; Xu, Y.; Yu, T.; Clifford, C.; Liu, Y.; Yan, H.; Chang, Y. A DNA nanostructure platform for directed assembly of synthetic vaccines. Nano Lett. 2012, 12, 4254–4259. [Google Scholar] [CrossRef] [Green Version]
- Kim, K.-R.; Hwang, D.; Kim, J.; Lee, C.-Y.; Lee, W.; Yoon, D.S.; Shin, D.; Min, S.-J.; Kwon, I.C.; Chung, H.S. Streptavidin-mirror DNA tetrahedron hybrid as a platform for intracellular and tumor delivery of enzymes. J. Control. Release 2018, 280, 1–10. [Google Scholar] [CrossRef] [PubMed]
- Lazo, J.S.; Sharlow, E.R. Drugging undruggable molecular cancer targets. Annu. Rev. Pharmacol. Toxicol. 2016, 56, 23–40. [Google Scholar] [CrossRef] [PubMed]
- Kabza, A.M.; Young, B.E.; Sczepanski, J.T. Heterochiral DNA strand-displacement circuits. J. Am. Chem. Soc. 2017, 139, 17715–17718. [Google Scholar] [CrossRef] [PubMed]
- Kabza, A.M.; Young, B.E.; Kundu, N.; Sczepanski, J.T. Heterochiral nucleic acid circuits. Emerg. Top. Life Sci. 2019, 3, 501–506. [Google Scholar]
- Zhang, N.-N.; Li, X.-F.; Deng, Y.-Q.; Zhao, H.; Huang, Y.-J.; Yang, G.; Huang, W.-J.; Gao, P.; Zhou, C.; Zhang, R.-R. A thermostable mRNA vaccine against COVID-19. Cell 2020, 182, 1271–1283.e16. [Google Scholar] [CrossRef] [PubMed]
- McKenzie, L.K.; El-Khoury, R.; Thorpe, J.D.; Damha, M.J.; Hollenstein, M. Recent progress in non-native nucleic acid modifications. Chem. Soc. Rev. 2021, 50, 5126–5164. [Google Scholar] [CrossRef] [PubMed]
- Dantsu, Y.; Zhang, Y.; Zhang, W. Synthesis and Structural Characterization of 2′-Deoxy-2′-fluoro-l-uridine Nucleic Acids. Org. Lett. 2021, 23, 5007–5011. [Google Scholar] [CrossRef]
- Dantsu, Y.; Zhang, Y.; Zhang, W. Synthesis of 2′-deoxy-2′-fluoro-l-cytidine and fluorinated l-nucleic acids for structural studies. ChemistrySelect 2021, 6, 10597–10600. [Google Scholar] [CrossRef]
- Jiang, W.; Zhang, B.; Fan, C.; Wang, M.; Wang, J.; Deng, Q.; Liu, X.; Chen, J.; Zheng, J.; Liu, L. Mirror-image polymerase chain reaction. Cell Discov. 2017, 3, 17037. [Google Scholar] [CrossRef] [PubMed]
- Fan, C.; Deng, Q.; Zhu, T.F. Bioorthogonal information storage in l-DNA with a high-fidelity mirror-image Pfu DNA polymerase. Nat. Biotechnol. 2021, 39, 1548–1555. [Google Scholar] [CrossRef]
- Wang, M.; Jiang, W.; Liu, X.; Wang, J.; Zhang, B.; Fan, C.; Liu, L.; Pena-Alcantara, G.; Ling, J.-J.; Chen, J. Mirror-image gene transcription and reverse transcription. Chem 2019, 5, 848–857. [Google Scholar] [CrossRef] [Green Version]
- Pech, A.; Achenbach, J.; Jahnz, M.; Schülzchen, S.; Jarosch, F.; Bordusa, F.; Klussmann, S. A thermostable d-polymerase for mirror-image PCR. Nucleic Acids Res. 2017, 45, 3997–4005. [Google Scholar] [CrossRef] [Green Version]
- MenáDuong, T.H.; SukáChung, H. The crystal structure of a natural DNA polymerase complexed with mirror DNA. Chem. Commun. 2020, 56, 2186–2189. [Google Scholar]
- Dedkova, L.M.; Fahmi, N.E.; Golovine, S.Y.; Hecht, S.M. Enhanced d-amino acid incorporation into protein by modified ribosomes. J. Am. Chem. Soc. 2003, 125, 6616–6617. [Google Scholar] [CrossRef] [PubMed]
- Achenbach, J.; Jahnz, M.; Bethge, L.; Paal, K.; Jung, M.; Schuster, M.; Albrecht, R.; Jarosch, F.; Nierhaus, K.H.; Klussmann, S. Outwitting EF-Tu and the ribosome: Translation with d-amino acids. Nucleic Acids Res. 2015, 43, 5687–5698. [Google Scholar] [CrossRef] [Green Version]
- Dedkova, L.M.; Fahmi, N.E.; Golovine, S.Y.; Hecht, S.M. Construction of modified ribosomes for incorporation of d-amino acids into proteins. Biochemistry 2006, 45, 15541–15551. [Google Scholar] [CrossRef]














| Evaluated Analogues | Nucleobase | Sugar | Activity |
|---|---|---|---|
| Neplanocin analogues | Adenine analogue | Cyclopentenol analogue | Anti-norovirus and Ebola virus. |
| Immucillin analogues | Inosine analogue | Iminoribitol analogue | Treatment of T-cell acute lymphoblastic leukemia |
| L-Pyrimidine analogues | Modified pyrimidine | Dideoxy ribose | Anti-HIV |
| L-Azapyrimidine analogues | Azapyrimidine | Dioxolane | Anti-HBV |
| L-4′-Thionucleosides | 5-Fluoropyrimidine, 6-thioguanine | 4′-Thioribose | Anti-tumor |
| 5-Fluorotroxacitabine (5FTRX) | 5-Fluorocytosine | Dioxolane | Treatment of leukemia |
| LdT | Thymidine | Deoxyribose | Anti-HBV |
| Lamivudine and Emtricitabine | Cytidine and fluoro-cytidine | Oxathiolane rings | Anti-HIV and Anti-HBV |
| L-3′-Azido-2′,3′-dideoxypurine nucleosides | Modified purines | 3′-Azido-2′,3′-dideoxyribose | Anti-HIV and Anti-HBV |
| L-5′-Ethylenic and acetylenic modified nucleosides | Adenine | 5′-Ethylenicand acetylenic ribose | Inhibit SAH for virus treatment |
| L-3′-Cyano nucleosides | Modified purine and pyrimidine | 3′-C-cyano-2′,3′-unsaturated and 3′-C-cyano-3′-deoxyribose | Anti-HIV |
| L-Isomer of ribavirin | 1,2,4-triazole-3-carboxamide | Ribose | Induce type 1 cytokine for viral treatment |
| L-Dideoxy bicyclic pyrimidine | Bicyclic pyrimidine | Dideoxy ribose | Anti-ZIKA virus |
Publisher’s Note: MDPI stays neutral with regard to jurisdictional claims in published maps and institutional affiliations. |
© 2021 by the authors. Licensee MDPI, Basel, Switzerland. This article is an open access article distributed under the terms and conditions of the Creative Commons Attribution (CC BY) license (https://creativecommons.org/licenses/by/4.0/).
Share and Cite
Dantsu, Y.; Zhang, Y.; Zhang, W. Advances in Therapeutic L-Nucleosides and L-Nucleic Acids with Unusual Handedness. Genes 2022, 13, 46. https://doi.org/10.3390/genes13010046
Dantsu Y, Zhang Y, Zhang W. Advances in Therapeutic L-Nucleosides and L-Nucleic Acids with Unusual Handedness. Genes. 2022; 13(1):46. https://doi.org/10.3390/genes13010046
Chicago/Turabian StyleDantsu, Yuliya, Ying Zhang, and Wen Zhang. 2022. "Advances in Therapeutic L-Nucleosides and L-Nucleic Acids with Unusual Handedness" Genes 13, no. 1: 46. https://doi.org/10.3390/genes13010046
APA StyleDantsu, Y., Zhang, Y., & Zhang, W. (2022). Advances in Therapeutic L-Nucleosides and L-Nucleic Acids with Unusual Handedness. Genes, 13(1), 46. https://doi.org/10.3390/genes13010046

