Secretome Analysis of Human and Rat Pancreatic Islets Co-Cultured with Adipose-Derived Stromal Cells Reveals a Signature with Enhanced Regenerative Capacities
Abstract
1. Introduction
2. Materials and Methods
2.1. Experimental Design
2.2. Human and Rat Perirenal Adipose Tissue
2.3. Medium Preparation for Culturing and Secretome Collection
2.4. prASC Isolation and Culture
2.5. Human Pancreatic Islets
2.6. Rat Pancreatic Islet Isolation
2.7. Secretome Collection
2.8. Discovery-Based Proteomics and Data Analysis
2.9. Mass Spectrometry In Silico Analysis
2.10. Quantification of Paracrine Factors
2.11. Tube Formation Assay
2.12. Picrosirius Red Staining
2.13. One-Way MLR Followed by an Antibody-Mediated Cell-Dependent Cytotoxicity Assay (CDC)
2.13.1. Human Peripheral Blood Mononuclear Cells (PBMCs)
2.13.2. Rat Splenocytes
2.13.3. One-Way MLR Followed by CDC
2.14. Statistical Analysis
3. Results
3.1. The Pancreatic Islet Secretomes After Different Culturing Conditions
3.1.1. The Human Islet Secretome
Proteomics of Human Normoxia-Derived Secretome
Proteomics of Human Cytokine-Derived Secretome
Proteomics of Human High-Glucose-Derived Secretome
Proteomics of Human Hypoxia-Derived Secretome
Proteomics of Human Hypoxia + High Glucose-Derived Secretome
3.1.2. The Rat Islet Secretome
Proteomics of Rat Normoxia-Derived Secretome
Proteomics of Rat Cytokine-Derived Secretome
Proteomics of Rat High-Glucose-Derived Secretome
Proteomics of Rat Hypoxia-Derived Secretome
Proteomics of Rat Hypoxia + High Glucose-Derived Secretome
3.2. The Impact of ASC and Islet Co-Culturing on the Secretome Under Different Culturing Conditions
3.2.1. The Human Islet and ASC Co-Culture Secretome
Proteomics of Human Normoxia-Derived Co-Culture Secretome
Proteomics of Human Cytokine-Derived Co-Culture Secretome
Proteomics of Human High-Glucose-Derived Co-Culture Secretome
Proteomics of Human Hypoxia-Derived Co-Culture Secretome
Proteomics of Human Hypoxia + High Glucose-Derived Co-Culture Secretome
3.2.2. The Rat Islet and ASC Co-Culture Secretome
Proteomics of Rat Normoxia-Derived Co-Culture Secretome
Proteomics of Rat Cytokine-Derived Co-Culture Secretome
Proteomics of Rat High-Glucose-Derived Co-Culture Secretome
Proteomics of Rat Hypoxia-Derived Co-Culture Secretome
Proteomics of Rat Hypoxia + High Glucose-Derived Co-Culture Secretome
3.3. Identification of Key Factors in the Secretomes of Islets Cultured with or Without ASCs
3.3.1. The Concentration of Key Proteins in Secretomes from Human Islets Cultured with or Without ASCs
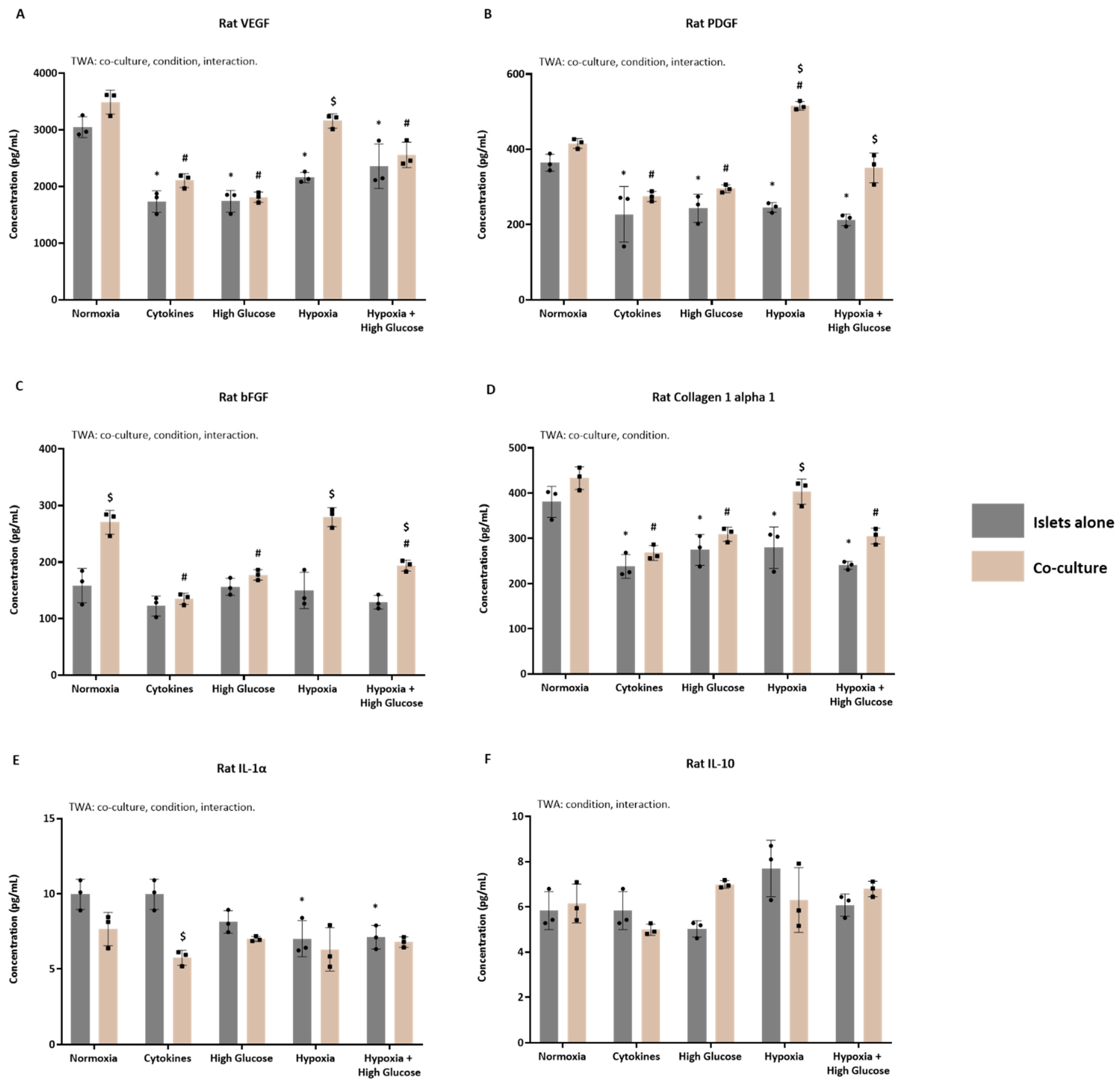
3.3.2. The Concentration of Key Proteins in Secretomes from Rat Islets Cultured with or Without ASCs
3.4. In Vitro Functional Properties of Islet (Cultured with or Without ASC) Secretomes
3.4.1. The Proangiogenic Potential of Human Secretomes
3.4.2. The Proangiogenic Potential of Rat Secretomes
3.4.3. The Potential of Human Secretomes to Modulate Collagen Deposition
3.4.4. The Potential of Rat Secretomes to Modulate Collagen Deposition
3.4.5. The Immunomodulatory Potential of Human Secretomes
3.4.6. The Immunomodulatory Potential of Rat Secretomes
4. Discussion
Supplementary Materials
Author Contributions
Funding
Institutional Review Board Statement
Informed Consent Statement
Data Availability Statement
Acknowledgments
Conflicts of Interest
References
- Kin, T.; Senior, P.; O’Gorman, D.; Richer, B.; Salam, A.; Shapiro, A.M. Risk factors for islet loss during culture prior to transplantation. Transpl. Int. 2008, 21, 1029–1035. [Google Scholar] [CrossRef]
- Marzorati, S.; Antonioli, B.; Nano, R.; Maffi, P.; Piemonti, L.; Giliola, C.; Secchi, A.; Lakey, J.R.; Bertuzzi, F. Culture medium modulates proinflammatory conditions of human pancreatic islets before transplantation. Am. J. Transplant. 2006, 6, 2791–2795. [Google Scholar] [CrossRef] [PubMed]
- Kabakchieva, P.; Assyov, Y.; Gerasoudis, S.; Vasilev, G.; Peshevska-Sekulovska, M.; Sekulovski, M.; Lazova, S.; Miteva, D.G.; Gulinac, M.; Tomov, L.; et al. Islet transplantation-immunological challenges and current perspectives. World J. Transplant. 2023, 13, 107–121. [Google Scholar] [CrossRef] [PubMed]
- Parsons, R.F.; Baquerizo, A.; Kirchner, V.A.; Malek, S.; Desai, C.S.; Schenk, A.; Finger, E.B.; Brennan, T.V.; Parekh, K.R.; MacConmara, M.; et al. Challenges, highlights, and opportunities in cellular transplantation: A white paper of the current landscape. Am. J. Transplant. 2021, 21, 3225–3238. [Google Scholar] [CrossRef] [PubMed]
- Smink, A.M.; Faas, M.M.; de Vos, P. Toward engineering a novel transplantation site for human pancreatic islets. Diabetes 2013, 62, 1357–1364. [Google Scholar] [CrossRef]
- De Souza, B.M.; Boucas, A.P.; Oliveira, F.D.; Reis, K.P.; Ziegelmann, P.; Bauer, A.C.; Crispim, D. Effect of co-culture of mesenchymal stem/stromal cells with pancreatic islets on viability and function outcomes: A systematic review and meta-analysis. Islets 2017, 9, 30–42. [Google Scholar] [CrossRef]
- Gamble, A.; Pawlick, R.; Pepper, A.R.; Bruni, A.; Adesida, A.; Senior, P.A.; Korbutt, G.S.; Shapiro, A.M.J. Improved islet recovery and efficacy through co-culture and co-transplantation of islets with human adipose-derived mesenchymal stem cells. PLoS ONE 2018, 13, e0206449. [Google Scholar] [CrossRef] [PubMed]
- Park, K.S.; Kim, Y.S.; Kim, J.H.; Choi, B.; Kim, S.H.; Tan, A.H.; Lee, M.S.; Lee, M.K.; Kwon, C.H.; Joh, J.W.; et al. Trophic molecules derived from human mesenchymal stem cells enhance survival, function, and angiogenesis of isolated islets after transplantation. Transplantation 2010, 89, 509–517. [Google Scholar] [CrossRef]
- Yoshimatsu, G.; Sakata, N.; Tsuchiya, H.; Minowa, T.; Takemura, T.; Morita, H.; Hata, T.; Fukase, M.; Aoki, T.; Ishida, M.; et al. The co-transplantation of bone marrow derived mesenchymal stem cells reduced inflammation in intramuscular islet transplantation. PLoS ONE 2015, 10, e0117561. [Google Scholar] [CrossRef] [PubMed]
- Ugurlu, B.; Karaoz, E. Comparison of similar cells: Mesenchymal stromal cells and fibroblasts. Acta Histochem. 2020, 122, 151634. [Google Scholar] [CrossRef]
- Dominici, M.; Le Blanc, K.; Mueller, I.; Slaper-Cortenbach, I.; Marini, F.; Krause, D.; Deans, R.; Keating, A.; Prockop, D.; Horwitz, E. Minimal criteria for defining multipotent mesenchymal stromal cells. The International Society for Cellular Therapy position statement. Cytotherapy 2006, 8, 315–317. [Google Scholar] [CrossRef]
- Ceccarelli, S.; Pontecorvi, P.; Anastasiadou, E.; Napoli, C.; Marchese, C. Immunomodulatory Effect of Adipose-Derived Stem Cells: The Cutting Edge of Clinical Application. Front. Cell Dev. Biol. 2020, 8, 236. [Google Scholar] [CrossRef] [PubMed]
- Vizoso, F.J.; Eiro, N.; Cid, S.; Schneider, J.; Perez-Fernandez, R. Mesenchymal Stem Cell Secretome: Toward Cell-Free Therapeutic Strategies in Regenerative Medicine. Int. J. Mol. Sci. 2017, 18, 1852. [Google Scholar] [CrossRef]
- Han, Y.; Yang, J.; Fang, J.; Zhou, Y.; Candi, E.; Wang, J.; Hua, D.; Shao, C.; Shi, Y. The secretion profile of mesenchymal stem cells and potential applications in treating human diseases. Signal Transduct. Target. Ther. 2022, 7, 92. [Google Scholar] [CrossRef] [PubMed]
- Fan, X.L.; Zhang, Y.; Li, X.; Fu, Q.L. Mechanisms underlying the protective effects of mesenchymal stem cell-based therapy. Cell Mol. Life Sci. 2020, 77, 2771–2794. [Google Scholar] [CrossRef] [PubMed]
- Karaoz, E.; Genc, Z.S.; Demircan, P.C.; Aksoy, A.; Duruksu, G. Protection of rat pancreatic islet function and viability by coculture with rat bone marrow-derived mesenchymal stem cells. Cell Death Dis. 2010, 1, e36. [Google Scholar] [CrossRef] [PubMed]
- Lu, Y.; Jin, X.; Chen, Y.; Li, S.; Yuan, Y.; Mai, G.; Tian, B.; Long, D.; Zhang, J.; Zeng, L.; et al. Mesenchymal stem cells protect islets from hypoxia/reoxygenation-induced injury. Cell Biochem. Funct. 2010, 28, 637–643. [Google Scholar] [CrossRef]
- Rackham, C.L.; Dhadda, P.K.; Chagastelles, P.C.; Simpson, S.J.; Dattani, A.A.; Bowe, J.E.; Jones, P.M.; King, A.J. Pre-culturing islets with mesenchymal stromal cells using a direct contact configuration is beneficial for transplantation outcome in diabetic mice. Cytotherapy 2013, 15, 449–459. [Google Scholar] [CrossRef]
- Hubber, E.L.; Rackham, C.L.; Jones, P.M. Protecting islet functional viability using mesenchymal stromal cells. Stem Cells Transl. Med. 2021, 10, 674–680. [Google Scholar] [CrossRef]
- Jung, E.J.; Kim, S.C.; Wee, Y.M.; Kim, Y.H.; Choi, M.Y.; Jeong, S.H.; Lee, J.; Lim, D.G.; Han, D.J. Bone marrow-derived mesenchymal stromal cells support rat pancreatic islet survival and insulin secretory function in vitro. Cytotherapy 2011, 13, 19–29. [Google Scholar] [CrossRef]
- Pinheiro-Machado, E.; Faas, M.M.; de Haan, B.J.; Moers, C.; Smink, A.M. Culturing Conditions Dictate the Composition and Pathways Enrichment of Human and Rat Perirenal Adipose-Derived Stromal Cells’ Secretomes. Stem Cell Rev. Rep. 2024, 20, 1869–1888. [Google Scholar] [CrossRef] [PubMed]
- Nijhoff, M.F.; Engelse, M.A.; Dubbeld, J.; Braat, A.E.; Ringers, J.; Roelen, D.L.; van Erkel, A.R.; Spijker, H.S.; Bouwsma, H.; van der Boog, P.J.; et al. Glycemic Stability Through Islet-After-Kidney Transplantation Using an Alemtuzumab-Based Induction Regimen and Long-Term Triple-Maintenance Immunosuppression. Am. J. Transplant. 2016, 16, 246–253. [Google Scholar] [CrossRef] [PubMed]
- Ichii, H.; Inverardi, L.; Pileggi, A.; Molano, R.D.; Cabrera, O.; Caicedo, A.; Messinger, S.; Kuroda, Y.; Berggren, P.O.; Ricordi, C. A novel method for the assessment of cellular composition and beta-cell viability in human islet preparations. Am. J. Transplant. 2005, 5, 1635–1645. [Google Scholar] [CrossRef] [PubMed]
- Smink, A.M.; Rodriquez, S.; Li, S.; Ceballos, B.; Corrales, N.; Alexander, M.; Koster, T.; de Haan, B.J.; Lakey, J.R.T.; de Vos, P. Successful Islet Transplantation into a Subcutaneous Polycaprolactone Scaffold in Mice and Pigs. Transplant. Direct 2023, 9, e1417. [Google Scholar] [CrossRef] [PubMed]
- Lin, C.; Jans, A.; Wolters, J.C.; Mohamed, M.R.; Van der Vorst, E.P.C.; Trautwein, C.; Bartneck, M. Targeting Ligand Independent Tropism of siRNA-LNP by Small Molecules for Directed Therapy of Liver or Myeloid Immune Cells. Adv. Healthc. Mater. 2024, 13, e2202670. [Google Scholar] [CrossRef] [PubMed]
- Wolters, J.C.; Ciapaite, J.; van Eunen, K.; Niezen-Koning, K.E.; Matton, A.; Porte, R.J.; Horvatovich, P.; Bakker, B.M.; Bischoff, R.; Permentier, H.P. Translational Targeted Proteomics Profiling of Mitochondrial Energy Metabolic Pathways in Mouse and Human Samples. J. Proteome Res. 2016, 15, 3204–3213. [Google Scholar] [CrossRef] [PubMed]
- Zhou, Y.; Zhou, B.; Pache, L.; Chang, M.; Khodabakhshi, A.H.; Tanaseichuk, O.; Benner, C.; Chanda, S.K. Metascape provides a biologist-oriented resource for the analysis of systems-level datasets. Nat. Commun. 2019, 10, 1523. [Google Scholar] [CrossRef]
- Suh, S.H.; Vennekens, R.; Manolopoulos, V.G.; Freichel, M.; Schweig, U.; Prenen, J.; Flockerzi, V.; Droogmans, G.; Nilius, B. Characterisation of explanted endothelial cells from mouse aorta: Electrophysiology and Ca2+ signalling. Pflugers Arch. 1999, 438, 612–620. [Google Scholar] [CrossRef] [PubMed]
- Schindelin, J.; Arganda-Carreras, I.; Frise, E.; Kaynig, V.; Longair, M.; Pietzsch, T.; Preibisch, S.; Rueden, C.; Saalfeld, S.; Schmid, B.; et al. Fiji: An open-source platform for biological-image analysis. Nat. Methods 2012, 9, 676–682. [Google Scholar] [CrossRef]
- Nejaddehbashi, F.; Bayati, V.; Mashali, L.; Hashemitabar, M.; Abbaspour, M.; Moghimipour, E.; Orazizadeh, M. Isolating human dermal fibroblasts using serial explant culture. Stem Cell Investig. 2019, 6, 23. [Google Scholar] [CrossRef] [PubMed]
- Xu, Q.; Norman, J.T.; Shrivastav, S.; Lucio-Cazana, J.; Kopp, J.B. In vitro models of TGF-beta-induced fibrosis suitable for high-throughput screening of antifibrotic agents. Am. J. Physiol. Renal Physiol. 2007, 293, F631–F640. [Google Scholar] [CrossRef]
- Pissas, G.; Eleftheriadis, T. Assessment of Humoral Alloimmunity in Mixed Lymphocyte Reaction. Bio Protoc. 2019, 9, e3139. [Google Scholar] [CrossRef]
- Eleftheriadis, T.; Pissas, G.; Antoniadi, G.; Liakopoulos, V.; Stefanidis, I. A comparative analysis between proteasome and immunoproteasome inhibition in cellular and humoral alloimmunity. Int. Immunopharmacol. 2017, 50, 48–54. [Google Scholar] [CrossRef] [PubMed]
- Elderman, M.; Hugenholtz, F.; Belzer, C.; Boekschoten, M.; de Haan, B.; de Vos, P.; Faas, M. Changes in intestinal gene expression and microbiota composition during late pregnancy are mouse strain dependent. Sci. Rep. 2018, 8, 10001. [Google Scholar] [CrossRef]
- Rahavi, H.; Hashemi, S.M.; Soleimani, M.; Mohammadi, J.; Tajik, N. Adipose tissue-derived mesenchymal stem cells exert in vitro immunomodulatory and beta cell protective functions in streptozotocin-induced diabetic mice model. J. Diabetes Res. 2015, 2015, 878535. [Google Scholar] [CrossRef]
- Ren, G.; Rezaee, M.; Razavi, M.; Taysir, A.; Wang, J.; Thakor, A.S. Adipose tissue-derived mesenchymal stem cells rescue the function of islets transplanted in sub-therapeutic numbers via their angiogenic properties. Cell Tissue Res. 2019, 376, 353–364. [Google Scholar] [CrossRef] [PubMed]
- Llacua, L.A.; de Haan, B.J.; de Vos, P. Laminin and collagen IV inclusion in immunoisolating microcapsules reduces cytokine-mediated cell death in human pancreatic islets. J. Tissue Eng. Regen. Med. 2018, 12, 460–467. [Google Scholar] [CrossRef] [PubMed]
- Llacua, L.A.; Hoek, A.; de Haan, B.J.; de Vos, P. Collagen type VI interaction improves human islet survival in immunoisolating microcapsules for treatment of diabetes. Islets 2018, 10, 60–68. [Google Scholar] [CrossRef] [PubMed]
- Abadpour, S.; Niemi, E.M.; Orrhult, L.S.; Hermanns, C.; de Vries, R.; Nogueira, L.P.; Haugen, H.J.; Josefsen, D.; Krauss, S.; Gatenholm, P.; et al. Adipose-Derived Stromal Cells Preserve Pancreatic Islet Function in a Transplantable 3D Bioprinted Scaffold. Adv. Healthc. Mater. 2023, 12, 2300640. [Google Scholar] [CrossRef]
- Lee, Y.N.; Yi, H.J.; Kim, Y.H.; Lee, S.; Oh, J.; Okano, T.; Shim, I.K.; Kim, S.C. Evaluation of Multi-Layered Pancreatic Islets and Adipose-Derived Stem Cell Sheets Transplanted on Various Sites for Diabetes Treatment. Cells 2020, 9, 1999. [Google Scholar] [CrossRef]
- Zacharovová, K.; Berková, Z.; Girman, P.; Saudek, F. Adipose tissue–derived mesenchymal stem cells promote the vascularization of pancreatic islets transplanted into decellularized pancreatic skeletons. Transplant. Immunol. 2024, 86, 102106. [Google Scholar] [CrossRef]
- Llacua, L.A.; Faas, M.M.; de Vos, P. Extracellular matrix molecules and their potential contribution to the function of transplanted pancreatic islets. Diabetologia 2018, 61, 1261–1272. [Google Scholar] [CrossRef]
- Wieland, F.C.; van Blitterswijk, C.A.; van Apeldoorn, A.; LaPointe, V.L.S. The functional importance of the cellular and extracellular composition of the islets of Langerhans. J. Immunol. Regen. Med. 2021, 13, 100048. [Google Scholar] [CrossRef]
- Zhu, Y.; Yang, M.; Xu, W.; Zhang, Y.; Pan, L.; Wang, L.; Wang, F.; Lu, Y. The collagen matrix regulates the survival and function of pancreatic islets. Endocrine 2024, 83, 537–547. [Google Scholar] [CrossRef] [PubMed]
- Eldor, R.; Abel, R.; Sever, D.; Sadoun, G.; Peled, A.; Sionov, R.; Melloul, D. Inhibition of Nuclear Factor-κB Activation in Pancreatic β-Cells Has a Protective Effect on Allogeneic Pancreatic Islet Graft Survival. PLoS ONE 2013, 8, e56924. [Google Scholar] [CrossRef]
- Barachini, S.; Biso, L.; Kolachalam, S.; Petrini, I.; Maggio, R.; Scarselli, M.; Longoni, B. Mesenchymal Stem Cell in Pancreatic Islet Transplantation. Biomedicines 2023, 11, 1426. [Google Scholar] [CrossRef] [PubMed]
- Dietrich, I.; Girdlestone, J.; Giele, H. Differential cytokine expression in direct and indirect co-culture of islets and mesenchymal stromal cells. Cytokine 2022, 150, 155779. [Google Scholar] [CrossRef]
- Navarro Chica, C.E.; Qin, T.; Pinheiro-Machado, E.; de Haan, B.J.; Faas, M.M.; Smink, A.M.; Sierra, L.; Lopez, B.L.; de Vos, P. Species-dependent impact of immunosuppressive squalene-gusperimus nanoparticles and adipose-derived stem cells on isolated human and rat pancreatic islets. Islets 2022, 14, 164–183. [Google Scholar] [CrossRef]
- Eguchi, N.; Vaziri, N.D.; Dafoe, D.C.; Ichii, H. The Role of Oxidative Stress in Pancreatic β Cell Dysfunction in Diabetes. Int. J. Mol. Sci. 2021, 22, 1509. [Google Scholar] [CrossRef] [PubMed]
- Zraika, S.; Hull, R.L.; Udayasankar, J.; Aston-Mourney, K.; Subramanian, S.L.; Kisilevsky, R.; Szarek, W.A.; Kahn, S.E. Oxidative stress is induced by islet amyloid formation and time-dependently mediates amyloid-induced beta cell apoptosis. Diabetologia 2009, 52, 626–635. [Google Scholar] [CrossRef]
- Gomez, E.; Powell, M.L.; Greenman, I.C.; Herbert, T.P. Glucose-stimulated Protein Synthesis in Pancreatic β-Cells Parallels an Increase in the Availability of the Translational Ternary Complex (eIF2-GTP·Met-tRNAi) and the Dephosphorylation of eIF2α*. J. Biol. Chem. 2004, 279, 53937–53946. [Google Scholar] [CrossRef] [PubMed]
- Scheuner, D.; Kaufman, R.J. The unfolded protein response: A pathway that links insulin demand with beta-cell failure and diabetes. Endocr. Rev. 2008, 29, 317–333. [Google Scholar] [CrossRef] [PubMed]
- Back, S.H.; Kaufman, R.J. Endoplasmic reticulum stress and type 2 diabetes. Annu. Rev. Biochem. 2012, 81, 767–793. [Google Scholar] [CrossRef]
- Bukowska, J.; Slowinska, M.; Cierniak, P.; Kopcewicz, M.; Walendzik, K.; Frazier, T.; Gawronska-Kozak, B. The effect of hypoxia on the proteomic signature of pig adipose-derived stromal/stem cells (pASCs). Sci. Rep. 2020, 10, 20035. [Google Scholar] [CrossRef]
- Strong, A.L.; Bowles, A.C.; MacCrimmon, C.P.; Lee, S.J.; Frazier, T.P.; Katz, A.J.; Gawronska-Kozak, B.; Bunnell, B.A.; Gimble, J.M. Characterization of a Murine Pressure Ulcer Model to Assess Efficacy of Adipose-derived Stromal Cells. Plast. Reconstr. Surg. Glob. Open 2015, 3, e334. [Google Scholar] [CrossRef] [PubMed]
- Komatsu, H.; Kandeel, F.; Mullen, Y. Impact of Oxygen on Pancreatic Islet Survival. Pancreas 2018, 47, 533–543. [Google Scholar] [CrossRef] [PubMed]
- Kale, A.; Rogers, N.M. No Time to Die-How Islets Meet Their Demise in Transplantation. Cells 2023, 12, 796. [Google Scholar] [CrossRef] [PubMed]
- Miao, G.; Ostrowski, R.P.; Mace, J.; Hough, J.; Hopper, A.; Peverini, R.; Chinnock, R.; Zhang, J.; Hathout, E. Dynamic Production of Hypoxia-Inducible Factor-1α in Early Transplanted Islets. Am. J. Transplant. 2006, 6, 2636–2643. [Google Scholar] [CrossRef]
- Roemeling-van Rhijn, M.; Mensah, F.K.; Korevaar, S.S.; Leijs, M.J.; van Osch, G.J.; Ijzermans, J.N.; Betjes, M.G.; Baan, C.C.; Weimar, W.; Hoogduijn, M.J. Effects of Hypoxia on the Immunomodulatory Properties of Adipose Tissue-Derived Mesenchymal Stem cells. Front. Immunol. 2013, 4, 203. [Google Scholar] [CrossRef]
- Lee, E.Y.; Xia, Y.; Kim, W.S.; Kim, M.H.; Kim, T.H.; Kim, K.J.; Park, B.S.; Sung, J.H. Hypoxia-enhanced wound-healing function of adipose-derived stem cells: Increase in stem cell proliferation and up-regulation of VEGF and bFGF. Wound Repair. Regen. 2009, 17, 540–547. [Google Scholar] [CrossRef] [PubMed]
- Stubbs, S.L.; Hsiao, S.T.; Peshavariya, H.M.; Lim, S.Y.; Dusting, G.J.; Dilley, R.J. Hypoxic preconditioning enhances survival of human adipose-derived stem cells and conditions endothelial cells in vitro. Stem Cells Dev. 2012, 21, 1887–1896. [Google Scholar] [CrossRef]









| Donor | Age | Gender | BMI (kg/m2) | Islet Isolation Center | Death Cause | Purity (%) | Viability (%) |
|---|---|---|---|---|---|---|---|
| 1 | 29 | M | 28 | LUMC | Non-cardiac | 25 | >80 |
| 2 | 52 | F | 22.7 | ECIT | Trauma | 80 | 90 |
| 3 | 52 | M | 25 | LUMC | Non-cardiac | 60 | >80 |
| 4 | 53 | F | 27 | ECIT | Cerebral bleeding | 75 | 90 |
| 5 | 56 | F | 19.4 | ECIT | Cerebral bleeding | 70 | 95 |
| 6 | 57 | F | 27 | ECIT | Cerebral bleeding | 60 | 95 |
| 7 | 59 | M | 23 | ECIT | Cerebral bleeding | 80 | 95 |
| 8 | 63 | M | 21 | LUMC | Non-cardiac | 60 | >80 |
| 9 | 74 | F | 26 | LUMC | Non-cardiac | 75 | >80 |
| Normoxia-Derived Secretome. | Cytokine-Derived Secretome | High-Glucose-Derived Secretome | Hypoxia-Derived Secretome | Hypoxia + High Glucose-Derived Secretome | ||||||
|---|---|---|---|---|---|---|---|---|---|---|
| Pathway | LogP | Pathway | LogP | Pathway | LogP | Pathway | LogP | Pathway | LogP | |
| Most enriched | Regulation of body fluid levels | −30.86 | Generation of precursor metabolites and energy | −50.24 | Regulation of body fluid levels | −33.69 | Generation of precursor metabolites and energy | −57.54 | Regulation of body fluid levels | −26.39 |
| Wound healing | −29.20 | Protein maturation | −33.89 | Hemostasis | −32.16 | Peptide metabolic process | −40.29 | Wound healing | −25.79 | |
| Hemostasis | −27.30 | Response to wounding | −33.25 | Wound healing | −31.24 | Cellular respiration | −38.34 | Hemostasis | −21.02 | |
| Cellular response to toxic substances | −22.05 | Carbohydrate metabolic process | −31.19 | Generation of precursor metabolites and energy | −22.49 | Protein maturation | −35.86 | Regulation of proteolysis | −20.57 | |
| Regulation of proteolysis | −20.62 | Monocarboxylic acid metabolic process | −29.97 | Protein maturation | −21.25 | Amide biosynthetic process | −35.83 | Protein maturation | −19.97 | |
| Normoxia-Derived Secretome | Cytokine-Derived Secretome | High-Glucose-Derived Secretome | Hypoxia-Derived Secretome | Hypoxia + High Glucose-Derived Secretome | ||||||
|---|---|---|---|---|---|---|---|---|---|---|
| Pathway | LogP | Pathway | LogP | Pathway | LogP | Pathway | LogP | Pathway | LogP | |
| Most enriched | Response to xenobiotic stimuli | −16.24 | Response to xenobiotic stimuli | −16.81 | Protein maturation | −14.24 | Protein maturation | −12.43 | Protein folding | −12.58 |
| Response to metal ions | −13.90 | Response to metal ions | −13.13 | Protein folding | −11.33 | Hemostasis | −12.26 | Protein maturation | −11.53 | |
| Protein maturation | −12.96 | Protein catabolic process | −11.99 | Hemostasis | −11.14 | Response to wounding | −11.58 | Response to metal ions | −10.34 | |
| Response to wounding | −12.25 | Generation of precursor metabolites and energy | −11.53 | Response to metal ions | −10.66 | Regulation of body fluid levels | −11.50 | Monosaccharide biosynthetic process | −9.76 | |
| Protein catabolic process | −12.08 | Monosaccharide metabolic process | −10.97 | Wound healing | −10.23 | Hydrogen peroxide metabolic process | −11.31 | Response to xenobiotic stimuli | −8.78 | |
| Normoxia-Derived Secretome | Cytokine-Derived Secretome | High-Glucose-Derived Secretome | Hypoxia-Derived Secretome | Hypoxia + High Glucose-Derived Secretome | ||||||
|---|---|---|---|---|---|---|---|---|---|---|
| Pathway | LogP | Pathway | LogP | Pathway | LogP | Pathway | LogP | Pathway | LogP | |
| Most enriched | Generation of precursor metabolites and energy | −47.40 | Protein maturation | −41.19 | Response to wounding | −35.85 | Response to wounding | −43.38 | Response to wounding | −36.89 |
| Protein maturation | −38.73 | Regulation of proteolysis | −40.88 | Regulation of body fluid levels | −31.59 | Extracellular matrix organization | −41.64 | Protein maturation | −34.22 | |
| Response to wounding | −38.05 | Peptide metabolic process | −39.15 | Extracellular matrix organization | −28.67 | Extracellular structure organization | −41.53 | Regulation of body fluid levels | −34.10 | |
| Extracellular matrix organization | −37.75 | Response to wounding | −37.05 | Extracellular structure organization | −28.60 | Protein maturation | −37.51 | Extracellular matrix organization | −32.79 | |
| Regulation of proteolysis | −36.19 | Extracellular matrix organization | −36.39 | Negative regulation of peptidase activity | −28.38 | Regulation of body fluid levels | −37.21 | Regulation of proteolysis | −32.63 | |
| Normoxia-Derived Secretome | Cytokine-Derived Secretome | High-Glucose-Derived Secretome | Hypoxia-Derived Secretome | Hypoxia + High Glucose-Derived Secretome | ||||||
|---|---|---|---|---|---|---|---|---|---|---|
| Pathway | LogP | Pathway | LogP | Pathway | LogP | Pathway | LogP | Pathway | LogP | |
| Most enriched | Response to xenobiotic stimuli | −17.75 | Response to xenobiotic stimuli | −19.45 | Response to xenobiotic stimuli | −18.23 | Response to xenobiotic stimuli | −18.45 | Response to wounding | −13.81 |
| Response to wounding | −13.34 | Response to metal ions | −15.02 | Response to wounding | −15.82 | Supramolecular fiber organization | −15.48 | Protein maturation | −12.27 | |
| Protein folding | −12.75 | Protein maturation | −15.00 | Protein maturation | −15.08 | Protein maturation | −14.51 | Response to xenobiotic stimuli | −12.13 | |
| Protein maturation | −12.67 | Protein catabolic process | −14.79 | Protein folding | −14.88 | Extracellular matrix organization | −13.22 | Hemostasis | −10.76 | |
| Response to metal ions | −12.53 | Protein folding | −13.74 | Response to metal ions | −12.36 | Response to reactive oxygen species | −13.22 | Protein folding | −10.51 | |
Disclaimer/Publisher’s Note: The statements, opinions and data contained in all publications are solely those of the individual author(s) and contributor(s) and not of MDPI and/or the editor(s). MDPI and/or the editor(s) disclaim responsibility for any injury to people or property resulting from any ideas, methods, instructions or products referred to in the content. |
© 2025 by the authors. Licensee MDPI, Basel, Switzerland. This article is an open access article distributed under the terms and conditions of the Creative Commons Attribution (CC BY) license (https://creativecommons.org/licenses/by/4.0/).
Share and Cite
Pinheiro-Machado, E.; de Haan, B.J.; Engelse, M.A.; Smink, A.M. Secretome Analysis of Human and Rat Pancreatic Islets Co-Cultured with Adipose-Derived Stromal Cells Reveals a Signature with Enhanced Regenerative Capacities. Cells 2025, 14, 302. https://doi.org/10.3390/cells14040302
Pinheiro-Machado E, de Haan BJ, Engelse MA, Smink AM. Secretome Analysis of Human and Rat Pancreatic Islets Co-Cultured with Adipose-Derived Stromal Cells Reveals a Signature with Enhanced Regenerative Capacities. Cells. 2025; 14(4):302. https://doi.org/10.3390/cells14040302
Chicago/Turabian StylePinheiro-Machado, Erika, Bart J. de Haan, Marten A. Engelse, and Alexandra M. Smink. 2025. "Secretome Analysis of Human and Rat Pancreatic Islets Co-Cultured with Adipose-Derived Stromal Cells Reveals a Signature with Enhanced Regenerative Capacities" Cells 14, no. 4: 302. https://doi.org/10.3390/cells14040302
APA StylePinheiro-Machado, E., de Haan, B. J., Engelse, M. A., & Smink, A. M. (2025). Secretome Analysis of Human and Rat Pancreatic Islets Co-Cultured with Adipose-Derived Stromal Cells Reveals a Signature with Enhanced Regenerative Capacities. Cells, 14(4), 302. https://doi.org/10.3390/cells14040302

