Genome-Wide Identification, Characterization of the ORA (Olfactory Receptor Class A) Gene Family, and Potential Roles in Bile Acid and Pheromone Recognition in Mandarin Fish (Siniperca chuatsi)
Abstract
1. Introduction
2. Materials and Methods
2.1. Genome-Wide Identification and Physicochemical Properties Analysis of ORA Genes
2.2. Sequence and Phylogenetic Analysis of ORAs
2.3. Sample Collections, Total RNA Extraction and Reverse Transcription
2.4. qRT–PCR
2.5. Histology Analysis
2.6. Fluorescence In Situ Hybridization (FISH)
2.7. 3D Structure Modeling and Molecular Docking
3. Results
3.1. Five ORAs of Mandarin Fish Are Localized on Two Different Chromosomes
3.2. ORAs Are Highly Conserved in Evolution
3.3. ORAs Maintain a Conserved Exon–Intron Structure Typical of Teleosts
3.4. Mandarin Fish ORAs Have Conserved Motifs
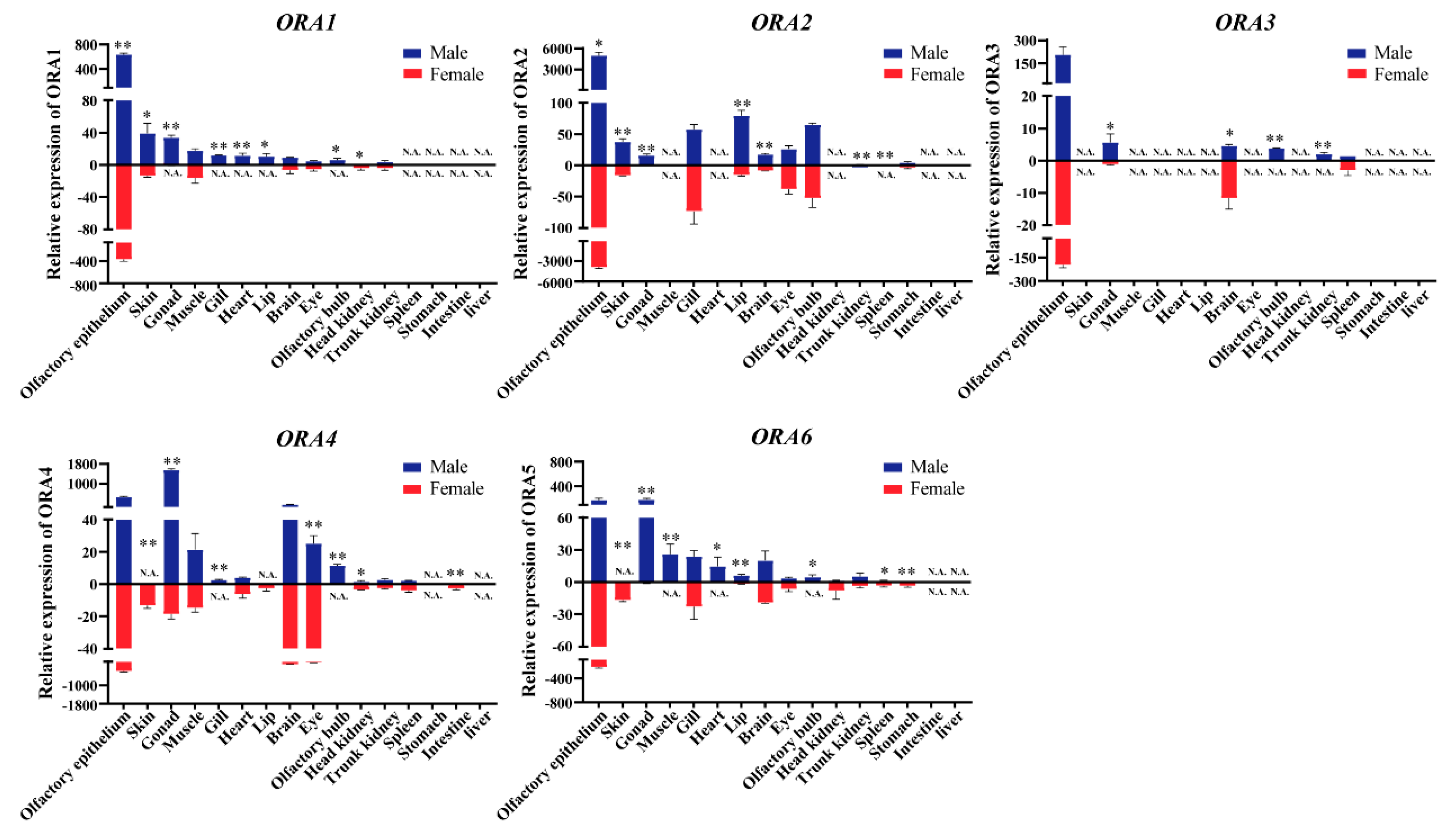
3.5. ORAs Exhibit Distinct Expression Profiles in Various Tissues with Notable Sexual Dimorphism
3.6. ORAs Are Expressed in Microvillus Olfactory Receptor Neurons or Crypt Cells in the Olfactory Epithelium
3.7. ORAs Exhibit an Affinity for Bile Acids and Sex Pheromones
4. Discussion
5. Conclusions
Supplementary Materials
Author Contributions
Funding
Institutional Review Board Statement
Informed Consent Statement
Data Availability Statement
Acknowledgments
Conflicts of Interest
References
- Laberge, F.; Hara, T.J. Neurobiology of fish olfaction: A review. Brain Res. Rev. 2001, 36, 46–59. [Google Scholar] [CrossRef] [PubMed]
- Sorensen, P.W.; Stacey, N.E. Brief review of fish pheromones and discussion of their possible uses in the control of non-indigenous teleost fishes. N. Z. J. Mar. Freshw. Res. 2004, 38, 399–417. [Google Scholar] [CrossRef]
- Grus, W.E.; Zhang, J.Z. Origin and evolution of the vertebrate vomeronasal system viewed through system-specific genes. Bioessays 2006, 28, 709–718. [Google Scholar] [CrossRef]
- Buck, L.; Axel, R. A novel multigene family may encode odorant receptors—A molecular-basis for odor recognition. Cell 1991, 65, 175–187. [Google Scholar] [CrossRef] [PubMed]
- Dulac, C.; Axel, R. A novel family of genes encoding putative pheromone receptors in mammals. Cell 1995, 83, 195–206. [Google Scholar] [CrossRef]
- Herrada, G.; Dulac, C. A novel family of putative pheromone receptors in mammals with a topographically organized and sexually dimorphic distribution. Cell 1997, 90, 763–773. [Google Scholar] [CrossRef]
- Silva, L.; Antunes, A. Vomeronasal receptors in vertebrates and the evolution of pheromone detection. Annu. Rev. Anim. Biosci. 2017, 5, 353–370. [Google Scholar] [CrossRef]
- Pfister, P.; Rodriguez, I. Olfactory expression of a single and highly variable V1r pheromone receptor-like gene in fish species. Proc. Natl. Acad. Sci. USA 2005, 102, 5489–5494. [Google Scholar] [CrossRef]
- Nara, K.; Saraiva, L.R.; Ye, X.L.; Buck, L.B. A large-scale analysis of odor coding in the olfactory epithelium. J. Neurosci. 2011, 31, 9179–9191. [Google Scholar] [CrossRef]
- Boschat, C.; Pélofi, C.; Randin, O.; Roppolo, D.; Lüscher, C.; Broillet, M.C.; Rodriguez, I. Pheromone detection mediated by a V1r vomeronasal receptor. Nat. Neurosci. 2002, 5, 1261–1262. [Google Scholar] [CrossRef]
- Saraiva, L.R.; Korsching, S.I. A novel olfactory receptor gene family in teleost fish: Phylogenomics and cell type expression. Chem. Senses 2008, 33, S149–S150. [Google Scholar]
- Saraiva, L.R.; Korsching, S.I. A novel olfactory receptor gene family in teleost fish. Genome Res. 2007, 17, 1448–1457. [Google Scholar] [CrossRef] [PubMed]
- Shi, P.; Zhang, J.Z. Comparative genomic analysis identifies an evolutionary shift of vomeronasal receptor gene repertoires in the vertebrate transition from water to land. Genome Res. 2007, 17, 166–174. [Google Scholar] [CrossRef] [PubMed]
- Pfister, P.; Randall, J.; Montoya-Burgos, J.I.; Rodriguez, I. Divergent evolution among teleost v1r receptor genes. PLoS ONE 2007, 2, e379. [Google Scholar] [CrossRef]
- Cong, X.; Topin, J.; Golebiowski, J. Class A GPCRs: Structure, function, modeling and structure-based ligand design. Curr. Pharm. Design 2017, 23, 4390–4409. [Google Scholar] [CrossRef]
- Weltzien, F.A.; Höglund, E.; Hamdani, E.H.; Doving, K.B. Does the lateral bundle of the medial olfactory tract mediate reproductive behavior in male crucian carp? Chem. Senses 2003, 28, 293–300. [Google Scholar] [CrossRef]
- Oka, Y.; Saraiva, L.R.; Korsching, S.I. Crypt neurons express a single v1r-related ora gene. Chem. Senses 2012, 37, 219–227. [Google Scholar] [CrossRef]
- Hamdani, E.H.; Doving, K.B. Specific projection of the sensory crypt cells in the olfactory system in crucian carp, Carassius carassius. Chem. Senses 2006, 31, 63–67. [Google Scholar] [CrossRef]
- Behrens, M.; Frank, O.; Rawel, H.; Ahuja, G.; Potting, C.; Hofmann, T.; Meyerhof, W.; Korsching, S. ORA1, a zebrafish olfactory receptor ancestral to all mammalian genes, recognizes 4-hydroxyphenylacetic acid, a putative reproductive pheromone. J. Biol. Chem. 2014, 289, 19778–19788. [Google Scholar] [CrossRef]
- Cong, X.J.; Zheng, Q.; Ren, W.W.; Chéron, J.B.; Fiorucci, S.; Wen, T.Q.; Zhang, C.B.; Yu, H.M.; Golebiowski, J.; Yu, Y.Q. Zebrafish olfactory receptors ORAs differentially detect bile acids and bile salts. J. Biol. Chem. 2019, 294, 6762–6771. [Google Scholar] [CrossRef]
- Wang, Y.P.; Tang, H.B.; DeBarry, J.D.; Tan, X.; Li, J.P.; Wang, X.Y.; Lee, T.H.; Jin, H.Z.; Marler, B.; Guo, H.; et al. MCScanX: A toolkit for detection and evolutionary analysis of gene synteny and collinearity. Nucleic Acids Res. 2012, 40, e49. [Google Scholar] [CrossRef] [PubMed]
- Deng, Q.; Li, K.Y.; Chen, H.; Dai, J.H.; Zhai, Y.Y.; Wang, Q.; Li, N.; Wang, Y.P.; Han, Z.G. RNA interference against cancer/testis genes Identifies dual specificity phosphatase 21 as a potential therapeutic target in human hepatocellular carcinoma. Hepatology 2014, 59, 518–530. [Google Scholar] [CrossRef] [PubMed]
- Livak, K.J.; Schmittgen, T.D. Analysis of relative gene expression data using real-time quantitative PCR and the 2−ΔΔCT method. Methods 2001, 25, 402–408. [Google Scholar] [CrossRef] [PubMed]
- Wang, X.; Allen, W.E.; Wright, M.A.; Sylwestrak, E.L.; Samusik, N.; Vesuna, S.; Evans, K.; Liu, C.; Ramakrishnan, C.; Liu, J.; et al. Three-dimensional intact-tissue sequencing of single-cell transcriptional states. Science 2018, 361, eaat5691. [Google Scholar] [CrossRef] [PubMed]
- Wu, X.F.; Xu, W.Z.; Deng, L.L.; Li, Y.; Wang, Z.C.; Sun, L.Q.; Gao, A.R.; Wang, H.Q.; Yang, X.D.; Wu, C.C.; et al. Spatial multi-omics at subcellular resolution via high-throughput in situ pairwise sequencing. Nat. Biomed. Eng. 2024, 8, 872–889. [Google Scholar] [CrossRef]
- Abramson, J.; Adler, J.; Dunger, J.; Evans, R.; Green, T.; Pritzel, A.; Ronneberger, O.; Willmore, L.; Ballard, A.J.; Bambrick, J.; et al. Accurate structure prediction of biomolecular interactions with AlphaFold 3. Nature 2024, 630, 493–500. [Google Scholar] [CrossRef]
- Chen, D.X.; Chu, W.Y.; Liu, X.L.; Nong, X.X.; Li, Y.L.; Du, S.J.; Zhang, J.S. Phylogenetic studies of three sinipercid fishes (Perciformes: Sinipercidae) based on complete mitochondrial DNA sequences. Mitochondrial DNA 2012, 23, 70–76. [Google Scholar] [CrossRef]
- Bazáes, A.; Olivares, J.; Schmachtenberg, O. Properties, projections, and tuning of teleost olfactory receptor neurons. J. Chem. Ecol. 2013, 39, 451–464. [Google Scholar] [CrossRef]
- Dieris, M.; Kowatschew, D.; Korsching, S.I. Olfactory function in the trace amine-associated receptor family (TAARs) evolved twice independently. Sci. Rep. 2021, 11, 7807. [Google Scholar] [CrossRef]
- Silva, L.; Mendes, T.; Ramos, L.; Zhang, G.J.; Antunes, A. Parallel evolution of fish bi-modal breathing and expansion of olfactory receptor (OR) genes: Toward a universal ORs nomenclature. J. Genet. Genom. 2023, 50, 600–610. [Google Scholar] [CrossRef]
- Liu, H.; Chen, C.H.; Lv, M.L.; Liu, N.; Hu, Y.F.; Zhang, H.L.; Enbody, E.D.; Gao, Z.X.; Andersson, L.; Wang, W.M. A chromosome-level assembly of blunt snout bream (Megalobrama amblycephala) genome reveals an expansion of olfactory receptor genes in freshwater fish. Mol. Biol. Evol. 2021, 38, 4238–4251. [Google Scholar] [CrossRef] [PubMed]
- Hashiguchi, Y.; Nishida, M. Evolution of vomeronasal-type odorant receptor genes in the zebrafish genome. Gene 2005, 362, 19–28. [Google Scholar] [CrossRef] [PubMed]
- Policarpo, M.; Baldwin, M.W.; Casane, D.; Salzburger, W. Diversity and evolution of the vertebrate chemoreceptor gene repertoire. Nat. Commun. 2024, 15, 1421. [Google Scholar] [CrossRef] [PubMed]
- Zapilko, V.; Korsching, S.I. Tetrapod V1R-like ora genes in an early-diverging ray-finned fish species: The canonical six ora gene repertoire of teleost fish resulted from gene loss in a larger ancestral repertoire. BMC Genom. 2016, 17, 83. [Google Scholar] [CrossRef]
- Suzuki, H.; Nishida, H.; Kondo, H.; Yoda, R.; Iwata, T.; Nakayama, K.; Enomoto, T.; Wu, J.Q.; Moriya-Ito, K.; Miyazaki, M.; et al. A single pheromone receptor gene conserved across 400 My of vertebrate evolution. Mol. Biol. Evol. 2018, 35, 2928–2939. [Google Scholar] [CrossRef]
- Lee, S.J.; Depoortere, I.; Hatt, H. Therapeutic potential of ectopic olfactory and taste receptors. Nat. Rev. Drug Discov. 2019, 18, 116–138. [Google Scholar] [CrossRef]
- Berry, M.D.; Gainetdinov, R.R.; Hoener, M.C.; Shahid, M. Pharmacology of human trace amine-associated receptors: Therapeutic opportunities and challenges. Pharmacol. Ther. 2017, 180, 161–180. [Google Scholar] [CrossRef]
- Griffin, C.A.; Kafadar, K.A.; Pavlath, G.K. MOR23 promotes muscle regeneration and regulates cell adhesion and migration. Dev. Cell 2009, 17, 649–661. [Google Scholar] [CrossRef]
- Busse, D.; Kudella, P.; Grüning, N.M.; Gisselmann, G.; Ständer, S.; Luger, T.; Jacobsen, F.; Steinsträsser, L.; Paus, R.; Gkogkolou, P.; et al. A synthetic sandalwood odorant induces wound-healing processes in human keratinocytes via the olfactory receptor OR2AT4. J. Investig. Dermatol. 2014, 134, 2823–2832. [Google Scholar] [CrossRef]
- Spehr, M.; Gisselmann, G.; Poplawski, A.; Riffell, J.A.; Wetzel, C.H.; Zimmer, R.K.; Hatt, H. Identification of a testicular odorant receptor mediating human sperm chemotaxis. Science 2003, 299, 2054–2058. [Google Scholar] [CrossRef]
- Revel, F.G.; Moreau, J.L.; Pouzet, B.; Mory, R.; Bradaia, A.; Buchy, D.; Metzler, V.; Chaboz, S.; Zbinden, K.G.; Galley, G.; et al. A new perspective for schizophrenia: TAAR1 agonists reveal antipsychotic- and antidepressant-like activity, improve cognition and control body weight. Mol. Psychiatry 2013, 18, 543–556. [Google Scholar] [CrossRef] [PubMed]
- Raab, S.; Wang, H.Y.; Uhles, S.; Cole, N.; Alvarez-Sanchez, R.; Künnecke, B.; Ullmer, C.; Matile, H.; Bedoucha, M.; Norcross, R.D.; et al. Incretin-like effects of small molecule trace amine-associated receptor 1 agonists. Mol. Metab. 2016, 5, 47–56. [Google Scholar] [CrossRef] [PubMed]
- Ahuja, G.; Nia, S.B.; Zapilko, V.; Shiriagin, V.; Kowatschew, D.; Oka, Y.; Korsching, S.I. Kappe neurons, a novel population of olfactory sensory neurons. Sci. Rep. 2014, 4, 4037. [Google Scholar] [CrossRef] [PubMed]
- Koide, T.; Miyasaka, N.; Morimoto, K.; Asakawa, K.; Urasaki, A.; Kawakami, K.; Yoshihara, Y. Olfactory neural circuitry for attraction to amino acids revealed by transposon-mediated gene trap approach in zebrafish. Proc. Natl. Acad. Sci. USA 2009, 106, 9884–9889. [Google Scholar] [CrossRef]
- Bazáes, A.; Schmachtenberg, O. Odorant tuning of olfactory crypt cells from juvenile and adult rainbow trout. J. Exp. Biol. 2012, 215, 1740–1748. [Google Scholar] [CrossRef]
- Velez, Z.; Hubbard, P.C.; Welham, K.; Hardege, J.D.; Barata, E.N.; Canário, A.V.M. Identification, release and olfactory detection of bile salts in the intestinal fluid of the Senegalese sole (Solea senegalensis). J. Comp. Physiol. A 2009, 195, 691–698. [Google Scholar] [CrossRef]
- Huertas, M.; Hagey, L.; Hofmann, A.F.; Cerdà, J.; Canário, A.V.M.; Hubbard, P.C. Olfactory sensitivity to bile fluid and bile salts in the European eel (Anguilla anguilla), goldfish (Carassius auratus) and Mozambique tilapia (Oreochromis mossambics) suggests a ‘broad range’ sensitivity not confined to those produced by conspecifics alone. J. Exp. Biol. 2010, 213, 308–317. [Google Scholar] [CrossRef]
- Stewart, M.; Baker, C.F.; Cooney, T. A rapid, sensitive, and selective method for quantitation of lamprey migratory pheromones in river water. J. Chem. Ecol. 2011, 37, 1203–1207. [Google Scholar] [CrossRef]
- Buchinger, T.J.; Li, W.M.; Johnson, N.S. Bile salts as semiochemicals in fish. Chem. Senses 2014, 39, 647–654. [Google Scholar] [CrossRef]










| Gene | Exon Number | Open Reading Frame Length (bp) | Number of Amino Acids | Molecular Weight (KDa) | Theoretical pI | Instability Index | Aliphatic Index | Grand Average of Hydropathicity (GRAVY) | Number of Transmembrane Domains | Subcellular Localization |
|---|---|---|---|---|---|---|---|---|---|---|
| ORA1 | 1 | 942 | 313 | 34.12 | 9.27 | 35.52 | 116.17 | 0.707 | 7 | plasmalemma |
| ORA2 | 1 | 969 | 322 | 35.15 | 9.58 | 40.11 | 122.27 | 0.675 | 7 | plasmalemma |
| ORA3 | 4 | 1008 | 335 | 37.11 | 10.34 | 37.40 | 118.96 | 0.593 | 7 | plasmalemma |
| ORA4 | 2 | 1023 | 340 | 37.39 | 8.4 | 47.32 | 120.03 | 0.613 | 7 | plasmalemma |
| ORA6 | 1 | 924 | 307 | 34.34 | 9.08 | 33.09 | 120.52 | 0.702 | 7 | plasmalemma |
| Gene | Bile Salts | Binding Energy (kcal/mol) | ||||
|---|---|---|---|---|---|---|
| 1st | 2nd | 3rd | 4th | 5th | ||
| ORA1 | 3-KLCA | −5.77 (0) | −5.73 (0) | −5.64 (0) | −5.47 (1) | −5.41 (0) |
| 7-KLCA | −5.38 (1) | −4.96 (2) | −4.85 (0) | −4.80 (1) | −4.78 (0) | |
| 12-KLCA | −5.67 (0) | −5.64 (1) | −5.49 (1) | −5.42 (1) | −5.41 (1) | |
| CA | −5.23 (1) | −5.09 (0) | −4.94 (0) | −4.76 (0) | −4.73 (0) | |
| GLCA | −5.54 (1) | −4.84 (1) | −4.09 (0) | −4.08 (0) | −3.87 (1) | |
| LCA | −5.78 (2) | −5.53 (1) | −5.51 (0) | −5.47 (1) | −5.41 (0) | |
| TLCA | −5.60 (1) | −5.42 (1) | −5.39 (0) | −4.75 (1) | −4.67 (1) | |
| ORA2 | 3-KLCA | −5.79 (0) | −5.62 (0) | −5.12 (0) | −4.92 (1) | −4.85 (0) |
| 7-KLCA | −5.04 (2) | −4.79 (0) | −4.70 (0) | −4.44 (2) | −4.39 (2) | |
| 12-KLCA | −5.35 (1) | −5.09 (0) | −4.97 (0) | −4.97 (1) | −4.88 (0) | |
| CA | −6.64 (1) | −5.40 (1) | −5.40 (0) | −5.00 (0) | −4.94 (0) | |
| GLCA | −5.68 (0) | −5.56 (0) | −5.56 (0) | −5.38 (1) | −4.82 (1) | |
| LCA | −5.74 (1) | −5.34 (1) | −5.23 (0) | −5.07 (1) | −5.06 (1) | |
| TLCA | −5.32 (1) | −5.06 (2) | −4.73 (3) | −4.48 (0) | −4.19 (1) | |
| ORA3 | 3-KLCA | −6.77 (0) | −5.63 (0) | −5.48 (1) | −5.43 (1) | −5.31 (0) |
| 7-KLCA | −6.23 (1) | −5.61 (2) | −5.01 (0) | −4.79 (0) | −4.70 (0) | |
| 12-KLCA | −6.14 (0) | −6.02 (0) | −5.69 (1) | −5.60 (2) | −5.59 (2) | |
| CA | −6.39 (0) | −5.92 (0) | −5.71 (0) | −5.67 (0) | −5.24 (1) | |
| GLCA | −5.07 (1) | −4.16 (0) | −4.15 (0) | −4.01 (2) | −4.01 (0) | |
| LCA | −6.92 (4) | −5.60 (0) | −5.57 (0) | −5.34 (0) | −5.28 (1) | |
| TLCA | −5.74 (2) | −4.63 (0) | −4.59 (0) | −4.38 (0) | −4.34 (0) | |
| ORA4 | 3-KLCA | −5.59 (1) | −5.48 (2) | −5.05 (0) | −5.02 (0) | −5.01 (1) |
| 7-KLCA | −4.58 (1) | −4.29 (0) | −4.08 (1) | −3.93 (0) | −3.92 (1) | |
| 12-KLCA | −5.83 (1) | −5.67 (2) | −5.02 (0) | −5.00 (1) | −4.99 (0) | |
| CA | −6.29 (1) | −6.19 (0) | −6.19 (1) | −6.08 (0) | −5.64 (1) | |
| GLCA | −5.85 (1) | −5.11 (0) | −4.92 (0) | −4.71 (1) | −4.39 (1) | |
| LCA | −5.81 (0) | −5.80 (1) | −5.53 (1) | −5.44 (1) | −5.33 (0) | |
| TLCA | −4.88 (1) | −4.60 (1) | −4.59 (1) | −4.48 (1) | −4.29 (1) | |
| ORA6 | 3-KLCA | −6.10 (0) | −5.86 (0) | −5.82 (2) | −5.64 (1) | −5.44 (0) |
| 7-KLCA | −5.26 (1) | −4.84 (0) | −4.81 (0) | −4.62 (0) | −4.54 (0) | |
| 12-KLCA | −5.22 (1) | −5.19 (0) | −5.12 (2) | −5.06 (1) | −4.90 (2) | |
| CA | −6.00 (0) | −5.98 (0) | −5.39 (0) | −5.36 (2) | −5.11 (0) | |
| GLCA | −6.29 (1) | −5.59 (1) | −4.98 (1) | −4.56 (1) | −4.50 (1) | |
| LCA | −6.82 (1) | −5.72 (2) | −5.50 (1) | −5.48 (1) | −5.38 (2) | |
| TLCA | −5.13 (1) | −4.60 (0) | −4.42 (1) | −4.25 (1) | −4.12 (0) | |
| Gene | Pheromones | Binding Energy (kcal/mol) | ||||
|---|---|---|---|---|---|---|
| 1st | 2nd | 3rd | 4th | 5th | ||
| ORA1 | 4-HCA | −3.42 (2) | −3.38 (2) | −3.36 (2) | −3.31 (2) | −3.31 (2) |
| 17-DHP | −6.49 (2) | −6.13 (3) | −6.06 (0) | −5.81 (0) | −5.80 (0) | |
| AED | −7.22 (0) | −7.19 (1) | −6.78 (0) | −6.68 (0) | −6.63 (1) | |
| PGF2α | −1.90 (3) | −1.78 (1) | −1.43 (1) | −1.39 (0) | −1.24 (1) | |
| ORA2 | 4-HCA | −4.50 (1) | −3.74 (3) | −3.63 (2) | −3.06 (1) | −2.99 (2) |
| 17-DHP | −5.97 (2) | −5.65 (0) | −5.62 (0) | −5.44 (0) | −5.32 (2) | |
| AED | −7.76 (0) | −7.58 (0) | −7.23 (0) | −7.11 (0) | −6.95 (1) | |
| PGF2α | −6.10 (4) | −5.31 (4) | −3.71 (4) | −3.01 (0) | −2.32 (0) | |
| ORA3 | 4-HCA | −5.24 (2) | −4.86 (1) | −4.66 (2) | −4.59 (2) | −4.52 (2) |
| 17-DHP | −7.29 (3) | −6.97 (2) | −6.77 (1) | −6.70 (2) | −6.70 (2) | |
| AED | −9.66 (0) | −9.60 (0) | −7.39 (0) | −7.35 (1) | −7.34 (0) | |
| PGF2α | −4.61 (3) | −4.34 (3) | −3.42 (1) | −2.88 (0) | −2.46 (2) | |
| ORA4 | 4-HCA | −6.27 (2) | −6.24 (2) | −6.07 (2) | −6.01 (2) | −5.86 (3) |
| 17-DHP | −6.94 (1) | −6.90 (1) | −6.89 (1) | −6.88 (3) | −6.86 (0) | |
| AED | −8.34 (0) | −7.94 (0) | −7.92 (1) | −7.92 (1) | −7.92 (1) | |
| PGF2α | −4.20 (1) | −3.24 (2) | −3.05 (0) | −2.92 (2) | −2.69 (0) | |
| ORA6 | 4-HCA | −5.61 (4) | −5.44 (4) | −5.09 (3) | −4.91 (1) | −4.42 (2) |
| 17-DHP | −7.57 (2) | −7.47 (2) | −7.09 (2) | −7.02 (2) | −6.80 (1) | |
| AED | −8.52 (1) | −8.52 (1) | −8.51 (1) | −8.47 (1) | −6.95 (0) | |
| PGF2α | −4.48 (3) | −4.37 (2) | −3.88 (1) | −3.13 (3) | −1.86 (1) | |
Disclaimer/Publisher’s Note: The statements, opinions and data contained in all publications are solely those of the individual author(s) and contributor(s) and not of MDPI and/or the editor(s). MDPI and/or the editor(s) disclaim responsibility for any injury to people or property resulting from any ideas, methods, instructions or products referred to in the content. |
© 2025 by the authors. Licensee MDPI, Basel, Switzerland. This article is an open access article distributed under the terms and conditions of the Creative Commons Attribution (CC BY) license (https://creativecommons.org/licenses/by/4.0/).
Share and Cite
Dong, X.; Lv, M.; Zeng, M.; Chen, X.; Wang, J.; Liang, X.-F. Genome-Wide Identification, Characterization of the ORA (Olfactory Receptor Class A) Gene Family, and Potential Roles in Bile Acid and Pheromone Recognition in Mandarin Fish (Siniperca chuatsi). Cells 2025, 14, 189. https://doi.org/10.3390/cells14030189
Dong X, Lv M, Zeng M, Chen X, Wang J, Liang X-F. Genome-Wide Identification, Characterization of the ORA (Olfactory Receptor Class A) Gene Family, and Potential Roles in Bile Acid and Pheromone Recognition in Mandarin Fish (Siniperca chuatsi). Cells. 2025; 14(3):189. https://doi.org/10.3390/cells14030189
Chicago/Turabian StyleDong, Xiaoru, Maolin Lv, Ming Zeng, Xiaochuan Chen, Jiale Wang, and Xu-Fang Liang. 2025. "Genome-Wide Identification, Characterization of the ORA (Olfactory Receptor Class A) Gene Family, and Potential Roles in Bile Acid and Pheromone Recognition in Mandarin Fish (Siniperca chuatsi)" Cells 14, no. 3: 189. https://doi.org/10.3390/cells14030189
APA StyleDong, X., Lv, M., Zeng, M., Chen, X., Wang, J., & Liang, X.-F. (2025). Genome-Wide Identification, Characterization of the ORA (Olfactory Receptor Class A) Gene Family, and Potential Roles in Bile Acid and Pheromone Recognition in Mandarin Fish (Siniperca chuatsi). Cells, 14(3), 189. https://doi.org/10.3390/cells14030189
