Synergistic Activation of VDR-RXR Heterodimers by Vitamin D and Rexinoids in Human Kidney and Brain Cells
Abstract
1. Introduction
1.1. Vitamin D, VDR, and VDREs
1.2. Retinoid X Receptor
1.3. Rexinoids and Bexarotene
2. Materials and Methods
2.1. Mammalian Cell Culture
2.2. Luciferase Assay
2.2.1. Plating and Transfection of Human Embryonic Kidney 293 and U87 Cell Lines
2.2.2. Treatment of the Cells with Various RXR Analogs and/or 1,25D at Different Concentrations, Cellular Lysis, and Luciferase Assay
2.3. Compound Properties and Principal Component Analysis (PCA) of Rexinoids
2.3.1. Determination of Physiochemical Characteristics
2.3.2. Principal Component Analysis
2.4. Statistical Analysis
3. Results
3.1. Rexinoids Utilized in This Study and Rationale for Use
3.2. Effect ofVDRE DNA Platforms, VDR Concentrations, and RXR Analogs
3.3. Effect of VDR Polymorphisms
3.4. Vitamin D Concentration and Its Impact on Synergism
3.5. Mammalian 2-Hybrid Testing for Synergism Source
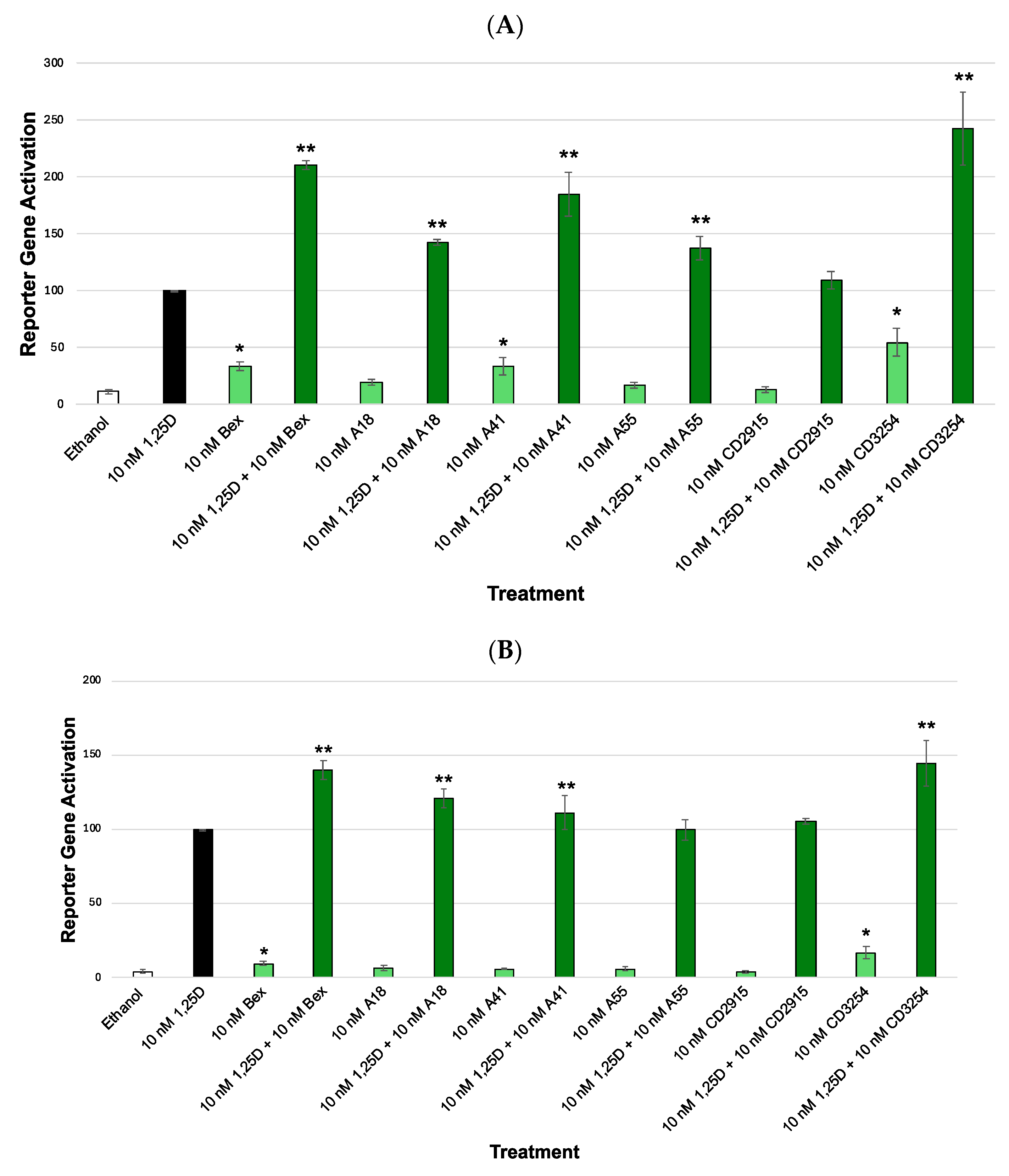
3.6. Synergism in U87 Brain Cells
4. Discussion
4.1. Effect of VDRE DNA Platforms, VDR Concentrations, and RXR Analogs
4.2. Effect of VDR Polymorphisms and Lower Levels of Vitamin D
4.3. Mammalian 2-Hybrid Testing for Mechanism of Action of Synergism
4.4. Synergism and Cellular Background
4.5. Rexinoid Compounds and Physiochemical Characteristics
5. Conclusions
Author Contributions
Funding
Institutional Review Board Statement
Informed Consent Statement
Data Availability Statement
Conflicts of Interest
References
- Haussler, M.R.; Whitfield, G.K.; Kaneko, I.; Haussler, C.A.; Hsieh, D.; Hsieh, J.C.; Jurutka, P.W. Molecular mechanisms of vitamin D action. Calcif. Tissue Int. 2013, 92, 77–98. [Google Scholar] [CrossRef] [PubMed]
- Kutuzova, G.D.; DeLuca, H.F. 1,25-Dihydroxyvitamin D3 regulates genes responsible for detoxification in intestine. Toxicol. Appl. Pharmacol. 2007, 218, 37–44. [Google Scholar] [CrossRef] [PubMed]
- Mark, K.A.; Dumas, K.J.; Bhaumik, D.; Schilling, B.; Davis, S.; Oron, T.R.; Sorensen, D.J.; Lucanic, M.; Brem, R.B.; Melov, S.; et al. Vitamin D Promotes Protein Homeostasis and Longevity via the Stress Response Pathway Genes skn-1, ire-1, and xbp-1. Cell Rep. 2016, 17, 1227–1237. [Google Scholar] [CrossRef] [PubMed]
- Aranow, C. Vitamin D and the immune system. J. Investig. Med. 2011, 59, 881–886. [Google Scholar] [CrossRef]
- Voltan, G.; Cannito, M.; Ferrarese, M.; Ceccato, F.; Camozzi, V. Vitamin D: An Overview of Gene Regulation, Ranging from Metabolism to Genomic Effects. Genes 2023, 14, 1691. [Google Scholar] [CrossRef]
- Al Mheid, I.; Patel, R.; Murrow, J.; Morris, A.; Rahman, A.; Fike, L.; Kavtaradze, N.; Uphoff, I.; Hooper, C.; Tangpricha, V.; et al. Vitamin D status is associated with arterial stiffness and vascular dysfunction in healthy humans. J. Am. Coll. Cardiol. 2011, 58, 186–192. [Google Scholar] [CrossRef]
- Athanassiou, L.; Kostoglou-Athanassiou, I.; Koutsilieris, M.; Shoenfeld, Y. Vitamin D and Autoimmune Rheumatic Diseases. Biomolecules 2023, 13, 709. [Google Scholar] [CrossRef]
- Zhou, C.; Assem, M.; Tay, J.C.; Watkins, P.B.; Blumberg, B.; Schuetz, E.G.; Thummel, K.E. Steroid and xenobiotic receptor and vitamin D receptor crosstalk mediates CYP24 expression and drug-induced osteomalacia. J. Clin. Investig. 2006, 116, 1703–1712. [Google Scholar] [CrossRef]
- Martin Gimenez, V.M.; Menendez, S.G.; Holick, M.F.; Manucha, W. Vitamin D: A Repurposed Anti-inflammatory Drug at the Cardiovascular Level. Curr. Protein Pept. Sci. 2023, 24, 533–535. [Google Scholar] [CrossRef]
- Della Nera, G.; Sabatino, L.; Gaggini, M.; Gorini, F.; Vassalle, C. Vitamin D Determinants, Status, and Antioxidant/Anti-inflammatory-Related Effects in Cardiovascular Risk and Disease: Not the Last Word in the Controversy. Antioxidants 2023, 12, 948. [Google Scholar] [CrossRef]
- Kim, H.L. Anti-Inflammatory Effect of Vitamin D via Suppression of YKL-40 Production: One of the Possible Mechanisms for Cardiovascular Protection. Korean Circ. J. 2023, 53, 103–105. [Google Scholar] [CrossRef] [PubMed]
- Jusu, S.; Presley, J.F.; Williams, C.; Das, S.K.; Jean-Claude, B.; Kremer, R. Examination of VDR/RXR/DRIP205 Interaction, Intranuclear Localization, and DNA Binding in Ras-Transformed Keratinocytes and Its Implication for Designing Optimal Vitamin D Therapy in Cancer. Endocrinology 2018, 159, 1303–1327. [Google Scholar] [CrossRef] [PubMed]
- Sana, S.; Kayani, M.A. Role of Vitamin D deficiency and mRNA expression of VDR and RXR in haematological cancers. Mol. Biol. Rep. 2021, 48, 4431–4439. [Google Scholar] [CrossRef] [PubMed]
- Baker, A.R.; McDonnell, D.P.; Hughes, M.; Crisp, T.M.; Mangelsdorf, D.J.; Haussler, M.R.; Pike, J.W.; Shine, J.; O’Malley, B.W. Cloning and expression of full-length cDNA encoding human vitamin D receptor. Proc. Natl. Acad. Sci. USA 1988, 85, 3294–3298. [Google Scholar] [CrossRef] [PubMed]
- Mangelsdorf, D.J.; Evans, R.M. The RXR heterodimers and orphan receptors. Cell 1995, 83, 841–850. [Google Scholar] [CrossRef]
- Evans, R.M.; Mangelsdorf, D.J. Nuclear Receptors, RXR, and the Big Bang. Cell 2014, 157, 255–266. [Google Scholar] [CrossRef]
- Chitranshi, N.; Dheer, Y.; Kumar, S.; Graham, S.L.; Gupta, V. Molecular docking, dynamics, and pharmacology studies on bexarotene as an agonist of ligand-activated transcription factors, retinoid X receptors. J. Cell Biochem. 2019, 120, 11745–11760. [Google Scholar] [CrossRef]
- Heck, M.C.; Wagner, C.E.; Shahani, P.H.; MacNeill, M.; Grozic, A.; Darwaiz, T.; Shimabuku, M.; Deans, D.G.; Robinson, N.M.; Salama, S.H.; et al. Modeling, Synthesis, and Biological Evaluation of Potential Retinoid X Receptor (RXR)-Selective Agonists: Analogues of 4- 1-(3,5,5,8,8-Pentamethyl-5,6,7,8-tetrahydro-2-naphthyl)ethynyl benzoi c Acid (Bexarotene) and 6-(Ethyl(5,5,8,8-tetrahydronaphthalen-2-yl)amino)nicotinic Acid (NEt-TMN). J. Med. Chem. 2016, 59, 8924–8940. [Google Scholar] [CrossRef]
- Blutt, S.E.; Allegretto, E.A.; Pike, J.W.; Weigel, N.L. 1,25-dihydroxyvitamin D3 and 9-cis-retinoic acid act synergistically to inhibit the growth of LNCaP prostate cells and cause accumulation of cells in G1. Endocrinology 1997, 138, 1491–1497. [Google Scholar] [CrossRef]
- Jurutka, P.W.; Kaneko, I.; Yang, J.; Bhogal, J.S.; Swierski, J.C.; Tabacaru, C.R.; Montano, L.A.; Huynh, C.C.; Jama, R.A.; Mahelona, R.D.; et al. Modeling, synthesis, and biological evaluation of potential retinoid X receptor (RXR) selective agonists: Novel analogues of 4-[1-(3,5,5,8,8-pentamethyl-5,6,7,8-tetrahydro-2-naphthyl)ethynyl]benzoic acid (bexarotene) and (E)-3-(3-(1,2,3,4-tetrahydro-1,1,4,4,6-pentamethylnaphthalen-7-yl)-4-hydroxyphenyl)acrylic acid (CD3254). J. Med. Chem. 2013, 56, 8432–8454. [Google Scholar] [CrossRef]
- Warda, A.; Staniszewski, L.J.P.; Sabir, Z.; Livingston, S.; Sausedo, M.; Reshi, S.; Ron, E.; Applegate, M.T.; Haddad, D.; Khamisi, M.; et al. Development of Bexarotene Analogs for Treating Cutaneous T-Cell Lymphomas. Cells 2023, 12, 2575. [Google Scholar] [CrossRef] [PubMed]
- Jurutka, P.W.; di Martino, O.; Reshi, S.; Mallick, S.; Sausedo, M.A.; Moen, G.A.; Lee, I.J.; Ivan, D.J.; Krall, T.D.; Peoples, S.J.; et al. An Isochroman Analog of CD3254 and Allyl-, Isochroman-Analogs of NEt-TMN Prove to Be More Potent Retinoid-X-Receptor (RXR) Selective Agonists Than Bexarotene. Int. J. Mol. Sci. 2022, 23, 6213. [Google Scholar] [CrossRef] [PubMed]
- Jurutka, P.W.; di Martino, O.; Reshi, S.; Mallick, S.; Sabir, Z.L.; Staniszewski, L.J.P.; Warda, A.; Maiorella, E.L.; Minasian, A.; Davidson, J.; et al. Modeling, Synthesis, and Biological Evaluation of Potential Retinoid-X-Receptor (RXR) Selective Agonists: Analogs of 4-[1-(3,5,5,8,8-Pentamethyl-5,6,7,8-tetrahyro-2-naphthyl)ethynyl]benzoic Acid (Bexarotene) and 6-(Ethyl(4-isobutoxy-3-isopropylphenyl)amino)nicotinic Acid (NEt-4IB). Int. J. Mol. Sci. 2021, 22, 2371. [Google Scholar] [CrossRef] [PubMed]
- Janakiram, N.B.; Mohammed, A.; Zhang, Y.; Brewer, M.; Bryant, T.; Lightfoot, S.; Steele, V.E.; Rao, C.V. Chemopreventive efficacy of raloxifene, bexarotene, and their combination on the progression of chemically induced colon adenomas to adenocarcinomas in rats. Cancer Prev. Res. 2013, 6, 1251–1261. [Google Scholar] [CrossRef] [PubMed]
- Kong, J.N.; He, Q.; Wang, G.; Dasgupta, S.; Dinkins, M.B.; Zhu, G.; Kim, A.; Spassieva, S.; Bieberich, E. Guggulsterone and bexarotene induce secretion of exosome-associated breast cancer resistance protein and reduce doxorubicin resistance in MDA-MB-231 cells. Int. J. Cancer 2015, 137, 1610–1620. [Google Scholar] [CrossRef]
- Zhang, Q.; Lee, S.B.; Chen, X.; Stevenson, M.E.; Pan, J.; Xiong, D.; Zhou, Y.; Miller, M.S.; Lubet, R.A.; Wang, Y.; et al. Optimized Bexarotene Aerosol Formulation Inhibits Major Subtypes of Lung Cancer in Mice. Nano Lett. 2019, 19, 2231–2242. [Google Scholar] [CrossRef]
- Assaf, C.; Bagot, M.; Dummer, R.; Duvic, M.; Gniadecki, R.; Knobler, R.; Ranki, A.; Schwandt, P.; Whittaker, S. Minimizing adverse side-effects of oral bexarotene in cutaneous T-cell lymphoma: An expert opinion. Br. J. Dermatol. 2006, 155, 261–266. [Google Scholar] [CrossRef]
- Schrader, M.; Bendik, I.; Becker-Andre, M.; Carlberg, C. Interaction between retinoic acid and vitamin D signaling pathways. J. Biol. Chem. 1993, 268, 17830–17836. [Google Scholar] [CrossRef]
- Dampf Stone, A.; Batie, S.F.; Sabir, M.S.; Jacobs, E.T.; Lee, J.H.; Whitfield, G.K.; Haussler, M.R.; Jurutka, P.W. Resveratrol potentiates vitamin D and nuclear receptor signaling. J. Cell Biochem. 2015, 116, 1130–1143. [Google Scholar] [CrossRef]
- Hsieh, J.C.; Jurutka, P.W.; Galligan, M.A.; Terpening, C.M.; Haussler, C.A.; Samuels, D.S.; Shimizu, Y.; Shimizu, N.; Haussler, M.R. Human vitamin D receptor is selectively phosphorylated by protein kinase C on serine 51, a residue crucial to its trans-activation function. Proc. Natl. Acad. Sci. USA 1991, 88, 9315–9319. [Google Scholar] [CrossRef]
- Jurutka, P.W.; Remus, L.S.; Whitfield, G.K.; Thompson, P.D.; Hsieh, J.C.; Zitzer, H.; Tavakkoli, P.; Galligan, M.A.; Dang, H.T.; Haussler, C.A.; et al. The polymorphic N terminus in human vitamin D receptor isoforms influences transcriptional activity by modulating interaction with transcription factor IIB. Mol. Endocrinol. 2000, 14, 401–420. [Google Scholar] [CrossRef] [PubMed]
- Jurutka, P.W.; Thompson, P.D.; Whitfield, G.K.; Eichhorst, K.R.; Hall, N.; Dominguez, C.E.; Hsieh, J.C.; Haussler, C.A.; Haussler, M.R. Molecular and functional comparison of 1,25-dihydroxyvitamin D(3) and the novel vitamin D receptor ligand, lithocholic acid, in activating transcription of cytochrome P450 3A4. J. Cell Biochem. 2005, 94, 917–943. [Google Scholar] [CrossRef] [PubMed]
- Wagner, C.E.; Jurutka, P.W.; Marshall, P.A.; Groy, T.L.; van der Vaart, A.; Ziller, J.W.; Furmick, J.K.; Graeber, M.E.; Matro, E.; Miguel, B.V.; et al. Modeling, synthesis and biological evaluation of potential retinoid X receptor (RXR) selective agonists: Novel analogues of 4-[1-(3,5,5,8,8-pentamethyl-5,6,7,8-tetrahydro-2-naphthyl)ethynyl]benzoic acid (bexarotene). J. Med. Chem. 2009, 52, 5950–5966. [Google Scholar] [CrossRef] [PubMed]
- Shifera, A.S.; Hardin, J.A. Factors modulating expression of Renilla luciferase from control plasmids used in luciferase reporter gene assays. Anal. Biochem. 2010, 396, 167–172. [Google Scholar] [CrossRef]
- Hackney, J.F.; Broatch, J.E.; Dallal, R.A.; Brotherson, C.; Livingston, S.; Sabir, Z.; Reshi, S.M.; Faltermeier Petras, S.R.; Mallick, S.; Applegate, M.T.; et al. Rexinoids Induce Differential Gene Expression in Human Glioblastoma Cells and Protein-Protein Interactions in a Yeast Two-Hybrid System. ACS Chem. Neurosci. 2024, 15, 2897–2915. [Google Scholar] [CrossRef]
- Sander, T.; Freyss, J.; von Korff, M.; Rufener, C. DataWarrior: An open-source program for chemistry aware data visualization and analysis. J. Chem. Inf. Model. 2015, 55, 460–473. [Google Scholar] [CrossRef] [PubMed]
- Daina, A.; Michielin, O.; Zoete, V. SwissADME: A free web tool to evaluate pharmacokinetics, drug-likeness and medicinal chemistry friendliness of small molecules. Sci. Rep. 2017, 7, 42717. [Google Scholar] [CrossRef]
- Wager, T.T.; Hou, X.; Verhoest, P.R.; Villalobos, A. Central Nervous System Multiparameter Optimization Desirability: Application in Drug Discovery. ACS Chem. Neurosci. 2016, 7, 767–775. [Google Scholar] [CrossRef]
- Lipinski, C.A. Drug-like properties and the causes of poor solubility and poor permeability. J. Pharmacol. Toxicol. Methods 2000, 44, 235–249. [Google Scholar] [CrossRef]
- Metsalu, T.; Vilo, J. ClustVis: A web tool for visualizing clustering of multivariate data using Principal Component Analysis and heatmap. Nucleic Acids Res. 2015, 43, W566–W570. [Google Scholar] [CrossRef]
- SAS Institute Inc. SAS® OnDemand for Academics: User’s Guide; SAS Institute Inc.: Cary, NC, USA, 2014. [Google Scholar]
- Gianni, M.; Ponzanelli, I.; Mologni, L.; Reichert, U.; Rambaldi, A.; Terao, M.; Garattini, E. Retinoid-dependent growth inhibition, differentiation and apoptosis in acute promyelocytic leukemia cells. Expression and activation of caspases. Cell Death Differ. 2000, 7, 447–460. [Google Scholar] [CrossRef] [PubMed]
- Perez Santin, E.; Germain, P.; Quillard, F.; Khanwalkar, H.; Rodriguez-Barrios, F.; Gronemeyer, H.; de Lera, A.R.; Bourguet, W. Modulating retinoid X receptor with a series of (E)-3-[4-hydroxy-3-(3-alkoxy-5,5,8,8-tetramethyl-5,6,7,8-tetrahydronaphthalen-2-yl)phenyl]acrylic acids and their 4-alkoxy isomers. J. Med. Chem. 2009, 52, 3150–3158. [Google Scholar] [CrossRef] [PubMed]
- Reich, L.A.; Moerland, J.A.; Leal, A.S.; Zhang, D.; Carapellucci, S.; Lockwood, B.; Jurutka, P.W.; Marshall, P.A.; Wagner, C.E.; Liby, K.T. The rexinoid V-125 reduces tumor growth in preclinical models of breast and lung cancer. Sci. Rep. 2022, 12, 293. [Google Scholar] [CrossRef] [PubMed]
- Marshall, P.A.; Jurutka, P.W.; Wagner, C.E.; van der Vaart, A.; Kaneko, I.; Chavez, P.I.; Ma, N.; Bhogal, J.S.; Shahani, P.; Swierski, J.C.; et al. Analysis of differential secondary effects of novel rexinoids: Select rexinoid X receptor ligands demonstrate differentiated side effect profiles. Pharmacol. Res. Perspect. 2015, 3, e00122. [Google Scholar] [CrossRef] [PubMed]
- Kliewer, S.A.; Umesono, K.; Mangelsdorf, D.J.; Evans, R.M. Retinoid X receptor interacts with nuclear receptors in retinoic acid, thyroid hormone and vitamin D3 signalling. Nature 1992, 355, 446–449. [Google Scholar] [CrossRef]
- Usategui-Martín, R.; De Luis-Román, D.A.; Fernández-Gómez, J.M.; Ruiz-Mambrilla, M.; Pérez-Castrillón, J.L. Vitamin D Receptor. Nutrients 2022, 14, 360. [Google Scholar] [CrossRef]
- Egan, J.B.; Thompson, P.A.; Vitanov, M.V.; Bartik, L.; Jacobs, E.T.; Haussler, M.R.; Gerner, E.W.; Jurutka, P.W. Vitamin D receptor ligands, adenomatous polyposis coli, and the vitamin D receptor FokI polymorphism collectively modulate beta-catenin activity in colon cancer cells. Mol. Carcinog. 2010, 49, 337–352. [Google Scholar] [CrossRef]
- Lee, J.H.; O’Keefe, J.H.; Bell, D.; Hensrud, D.D.; Holick, M.F. Vitamin D deficiency an important, common, and easily treatable cardiovascular risk factor? J. Am. Coll. Cardiol. 2008, 52, 1949–1956. [Google Scholar] [CrossRef]
- Sanchez-Martinez, R.; Castillo, A.I.; Steinmeyer, A.; Aranda, A. The retinoid X receptor ligand restores defective signalling by the vitamin D receptor. EMBO Rep. 2006, 7, 1030–1034. [Google Scholar] [CrossRef]
- Lin, L.M.; Peng, F.; Liu, Y.P.; Chai, D.J.; Ning, R.B.; Xu, C.S.; Lin, J.X. Coadministration of VDR and RXR agonists synergistically alleviates atherosclerosis through inhibition of oxidative stress: An in vivo and in vitro study. Atherosclerosis 2016, 251, 273–281. [Google Scholar] [CrossRef]
- Mrotzek, C.; Felcht, M.; Sommer, A.; Schrader, A.; Klemke, C.D.; Herling, M.; Schlaak, M.; Fabri, M. Vitamin D controls apoptosis and proliferation of cutaneous T-cell lymphoma cells. Exp. Dermatol. 2015, 24, 798–800. [Google Scholar] [CrossRef] [PubMed]
- Jackson, S.E.; Chester, J.D. Personalised cancer medicine. Int. J. Cancer 2015, 137, 262–266. [Google Scholar] [CrossRef] [PubMed]










| M4 (FF) | M1 (ff) | |
|---|---|---|
| 10 nM Bex | 9.8 (1.0)% | 8.3 (1.3)% |
| 10 nm 1,25D + 10 nm Bex * | 139.9 (6.3)% | 114.9 (8.9)% |
| 10 nM CD3254 | 16.8 (4.0)% | 19.6 (2.8)% |
| 10 nM 1,25D + 10 nM CD3254 | 144.2 (15.4)% | 155.7 (8.6)% |
| HEK-293 | U87 | |
|---|---|---|
| 10 nM Bex | 9.8 (1.0)% | 14.5 (1.6)% |
| 10 nM 1,25D + 10 nM Bex * | 139.9 (6.3)% | 113.5 (4.3)% |
| 10 nM CD3254 | 16.8 (4.0)% | 18.7 (4.3)% |
| 10 nM 1,25D + 10 nM CD3254 * | 144.2 (15.4)% | 112.7 (8.0)% |
| Property | Bexarotene | A18 | A41 | A55 | CD2915 | CD3254 |
|---|---|---|---|---|---|---|
| MW | 348.484 | 366.474 | 364.45 | 366.503 | 348.484 | 364.483 |
| HBD | 1 | 1 | 1 | 1 | 1 | 2 |
| HBA | 2 | 2 | 3 | 4 | 2 | 3 |
| cLogP | 5.86 | 6.12 | 5.94 | 3.8596 | 5.62 | 5.27 |
| Violations | 1 | 1 | 1 | 0 | 1 | 1 |
| cLogD | 3.835 | 3.68 | 3.42 | 2.67 | 4.015 | 3.48 |
| TPSA | 37.3 | 37.3 | 37.3 | 53.43 | 37.3 | 57.53 |
| Log S | −7.62 | −7.8 | −7.48 | −6.391 | −7.17 | −6.95 |
| Water Solubility | 1 | 1 | 1 | 1 | 1 | 1 |
| CNS MPO Score | 3.8 | 3.8 | 4 | 4.2 | 3.7 | 3.7 |
Disclaimer/Publisher’s Note: The statements, opinions and data contained in all publications are solely those of the individual author(s) and contributor(s) and not of MDPI and/or the editor(s). MDPI and/or the editor(s) disclaim responsibility for any injury to people or property resulting from any ideas, methods, instructions or products referred to in the content. |
© 2024 by the authors. Licensee MDPI, Basel, Switzerland. This article is an open access article distributed under the terms and conditions of the Creative Commons Attribution (CC BY) license (https://creativecommons.org/licenses/by/4.0/).
Share and Cite
Doost, M.E.; Hong, J.; Broatch, J.E.; Applegate, M.T.; Wagner, C.E.; Marshall, P.A.; Jurutka, P.W. Synergistic Activation of VDR-RXR Heterodimers by Vitamin D and Rexinoids in Human Kidney and Brain Cells. Cells 2024, 13, 1878. https://doi.org/10.3390/cells13221878
Doost ME, Hong J, Broatch JE, Applegate MT, Wagner CE, Marshall PA, Jurutka PW. Synergistic Activation of VDR-RXR Heterodimers by Vitamin D and Rexinoids in Human Kidney and Brain Cells. Cells. 2024; 13(22):1878. https://doi.org/10.3390/cells13221878
Chicago/Turabian StyleDoost, Mobin Emran, Jennifer Hong, Jennifer E. Broatch, Michael T. Applegate, Carl E. Wagner, Pamela A. Marshall, and Peter W. Jurutka. 2024. "Synergistic Activation of VDR-RXR Heterodimers by Vitamin D and Rexinoids in Human Kidney and Brain Cells" Cells 13, no. 22: 1878. https://doi.org/10.3390/cells13221878
APA StyleDoost, M. E., Hong, J., Broatch, J. E., Applegate, M. T., Wagner, C. E., Marshall, P. A., & Jurutka, P. W. (2024). Synergistic Activation of VDR-RXR Heterodimers by Vitamin D and Rexinoids in Human Kidney and Brain Cells. Cells, 13(22), 1878. https://doi.org/10.3390/cells13221878

