ATM Inhibition-Induced ISG15/IFI27/OASL Is Correlated with Immunotherapy Response and Inflamed Immunophenotype
Abstract
1. Introduction
2. Materials and Methods
2.1. Study Design
2.2. Cell Culture and Establishment of Cisplatin-Resistant Cancer Cells
2.3. Transcriptomic Data Sets and Gene Set Enrichment Analysis (GSEA)
2.4. Real-Time Quantitative PCR (RT-qPCR)
2.5. Kaplan–Meier Survival Analysis
2.6. Cell-Type Enrichment Analysis
3. Results
3.1. The Interferon Response Was Activated upon ATM Inhibition but Was Repressed in Cisplatin-Resistant (CDDP-R) Cancer Cells
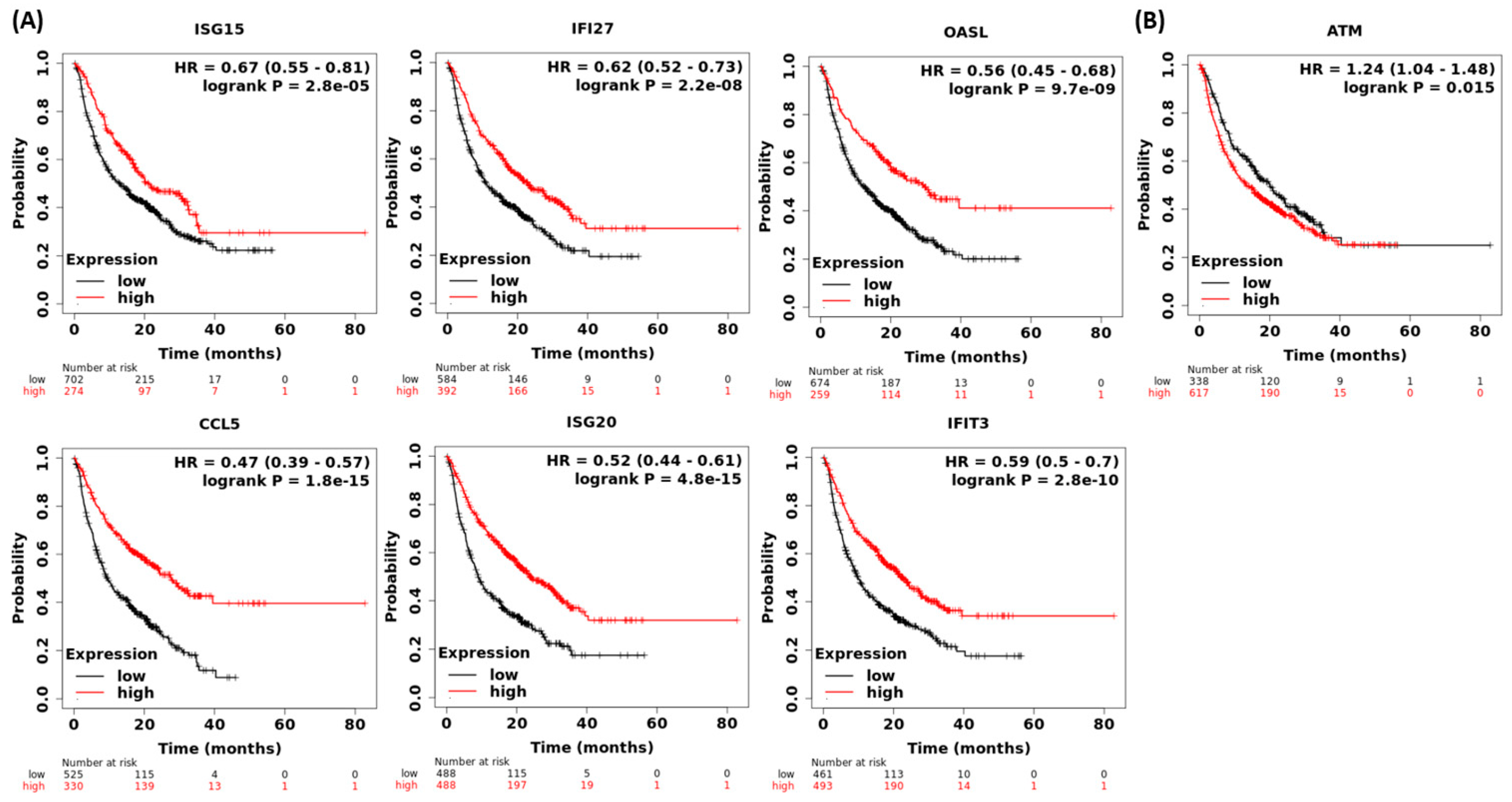
3.2. The KU55933-Induced Interferon-Stimulated Genes (ISGs) Were Associated with Overall Survival (OS) in Cancer Patients with ICB Therapy
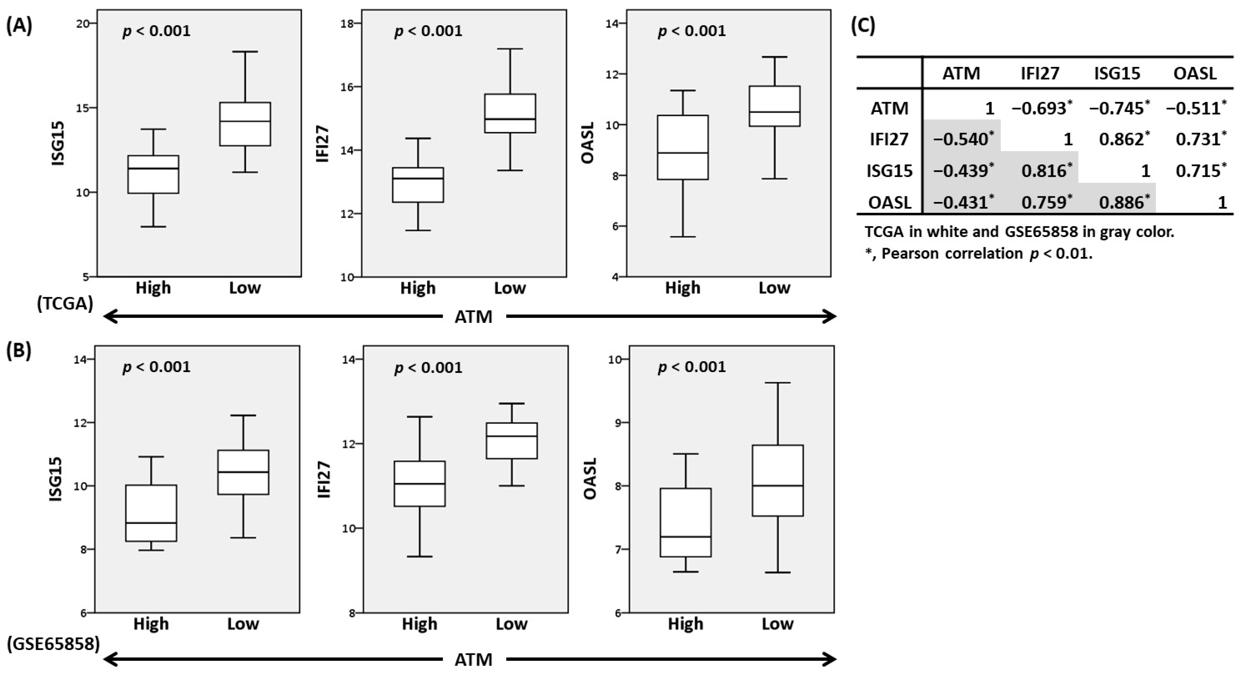
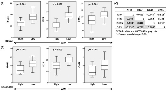
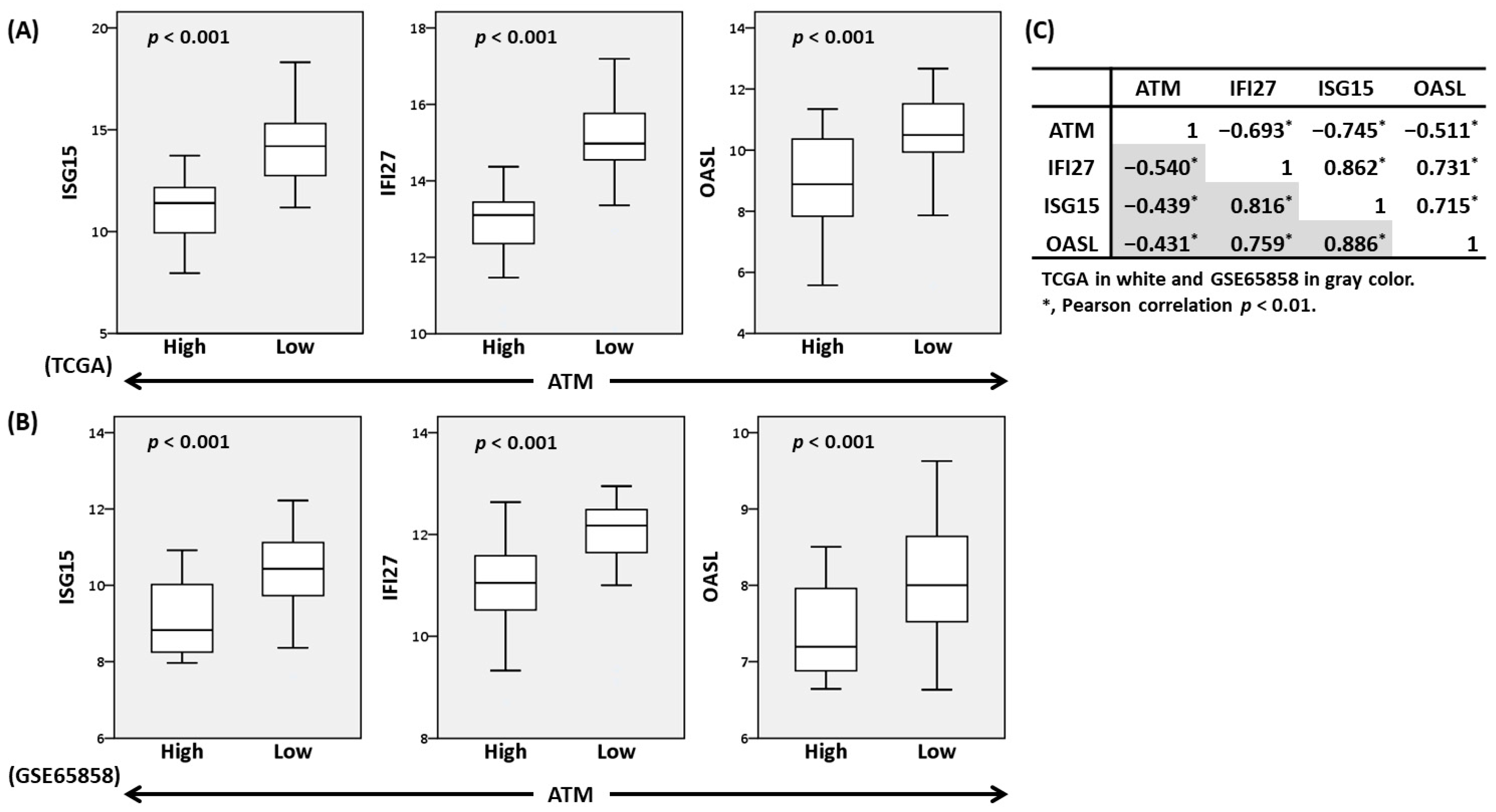
3.3. ATM and ISG15/IFI27/OASL Expression Levels Were Inversely Correlated in Oral Cancer
3.4. High-Expression of ISG15/IFI27/OASL Was Associated with the Pathways of Antigen Presentation, T-, and Natural Killer Cell-Mediated Immunity in Oral Cancer
3.5. High-Expression of ISG15/IFI27/OASL Was Associated with Enriched Signatures of Plasmacytoid Dendritic Cells (pDC), CD8+ T, and NK Cells in Oral Cancer
3.6. High Expressions of ISG15, IFI27, and OASL Were Associated with an Improved Response to Cisplatin in Cervical Cancer Patients
4. Discussion
5. Conclusions
Supplementary Materials
Author Contributions
Funding
Institutional Review Board Statement
Informed Consent Statement
Data Availability Statement
Acknowledgments
Conflicts of Interest
References
- Sung, H.; Ferlay, J.; Siegel, R.L.; Laversanne, M.; Soerjomataram, I.; Jemal, A.; Bray, F. Global Cancer Statistics 2020: GLOBOCAN Estimates of Incidence and Mortality Worldwide for 36 Cancers in 185 Countries. CA A Cancer J. Clin. 2021, 71, 209–249. [Google Scholar] [CrossRef] [PubMed]
- Irani, S. New Insights into Oral Cancer-Risk Factors and Prevention: A Review of Literature. Int. J. Prev. Med. 2020, 11, 202. [Google Scholar] [CrossRef] [PubMed]
- Kumar, M.; Nanavati, R.; Modi, T.G.; Dobariya, C. Oral cancer: Etiology and risk factors: A review. J. Cancer Res. Ther. 2016, 12, 458–463. [Google Scholar] [CrossRef] [PubMed]
- Mosaddad, S.A.; Namanloo, R.A.; Aghili, S.S.; Maskani, P.; Alam, M.; Abbasi, K.; Nouri, F.; Tahmasebi, E.; Yazdanian, M.; Tebyaniyan, H. Photodynamic therapy in oral cancer: A review of clinical studies. Med. Oncol. 2023, 40, 91. [Google Scholar] [CrossRef] [PubMed]
- Mosaddad, S.A.; Beigi, K.; Doroodizadeh, T.; Haghnegahdar, M.; Golfeshan, F.; Ranjbar, R.; Tebyanian, H. Therapeutic applications of herbal/synthetic/bio-drug in oral cancer: An update. Eur. J. Pharmacol. 2021, 890, 173657. [Google Scholar] [CrossRef]
- Chow, L.Q.M. Head and Neck Cancer. N. Engl. J. Med. 2020, 382, 60–72. [Google Scholar] [CrossRef]
- Siegel, R.L.; Miller, K.D.; Jemal, A. Cancer statistics, 2019. CA A Cancer J. Clin. 2019, 69, 7–34. [Google Scholar] [CrossRef]
- Korman, A.J.; Garrett-Thomson, S.C.; Lonberg, N. The foundations of immune checkpoint blockade and the ipilimumab approval decennial. Nat. Rev. Drug Discov. 2022, 21, 509–528. [Google Scholar] [CrossRef]
- Yarchoan, M.; Hopkins, A.; Jaffee, E.M. Tumor Mutational Burden and Response Rate to PD-1 Inhibition. N. Engl. J. Med. 2017, 377, 2500–2501. [Google Scholar] [CrossRef]
- Zheng, M. Tumor mutation burden for predicting immune checkpoint blockade response: The more, the better. J. Immunother. Cancer 2022, 10, e003087. [Google Scholar] [CrossRef]
- Le, D.T.; Uram, J.N.; Wang, H.; Bartlett, B.R.; Kemberling, H.; Eyring, A.D.; Skora, A.D.; Luber, B.S.; Azad, N.S.; Laheru, D.; et al. PD-1 Blockade in Tumors with Mismatch-Repair Deficiency. N. Engl. J. Med. 2015, 372, 2509–2520. [Google Scholar] [CrossRef]
- Le, D.T.; Durham, J.N.; Smith, K.N.; Wang, H.; Bartlett, B.R.; Aulakh, L.K.; Lu, S.; Kemberling, H.; Wilt, C.; Luber, B.S.; et al. Mismatch repair deficiency predicts response of solid tumors to PD-1 blockade. Science 2017, 357, 409–413. [Google Scholar] [CrossRef] [PubMed]
- Mandal, R.; Samstein, R.M.; Lee, K.W.; Havel, J.J.; Wang, H.; Krishna, C.; Sabio, E.Y.; Makarov, V.; Kuo, F.; Blecua, P.; et al. Genetic diversity of tumors with mismatch repair deficiency influences anti-PD-1 immunotherapy response. Science 2019, 364, 485–491. [Google Scholar] [CrossRef] [PubMed]
- Grothey, A. Pembrolizumab in MSI-H-dMMR Advanced Colorectal Cancer—A New Standard of Care. N. Engl. J. Med. 2020, 383, 2283–2285. [Google Scholar] [CrossRef]
- Germano, G.; Lamba, S.; Rospo, G.; Barault, L.; Magri, A.; Maione, F.; Russo, M.; Crisafulli, G.; Bartolini, A.; Lerda, G.; et al. Inactivation of DNA repair triggers neoantigen generation and impairs tumour growth. Nature 2017, 552, 116–120. [Google Scholar] [CrossRef] [PubMed]
- Chabanon, R.M.; Rouanne, M.; Lord, C.J.; Soria, J.C.; Pasero, P.; Postel-Vinay, S. Targeting the DNA damage response in immuno-oncology: Developments and opportunities. Nat. Rev. Cancer 2021, 21, 701–717. [Google Scholar] [CrossRef]
- Huang, J.L.; Chang, Y.T.; Hong, Z.Y.; Lin, C.S. Targeting DNA Damage Response and Immune Checkpoint for Anticancer Therapy. Int. J. Mol. Sci. 2022, 23, 3238. [Google Scholar] [CrossRef] [PubMed]
- Shi, C.; Qin, K.; Lin, A.; Jiang, A.; Cheng, Q.; Liu, Z.; Zhang, J.; Luo, P. The role of DNA damage repair (DDR) system in response to immune checkpoint inhibitor (ICI) therapy. J. Exp. Clin. Cancer Res. CR 2022, 41, 268. [Google Scholar] [CrossRef]
- Sen, T.; Rodriguez, B.L.; Chen, L.; Corte, C.M.D.; Morikawa, N.; Fujimoto, J.; Cristea, S.; Nguyen, T.; Diao, L.; Li, L.; et al. Targeting DNA Damage Response Promotes Antitumor Immunity through STING-Mediated T-cell Activation in Small Cell Lung Cancer. Cancer Discov. 2019, 9, 646–661. [Google Scholar] [CrossRef]
- Yu, R.; Zhu, B.; Chen, D. Type I interferon-mediated tumor immunity and its role in immunotherapy. Cell. Mol. Life Sci. CMLS 2022, 79, 191. [Google Scholar] [CrossRef]
- Kwon, J.; Bakhoum, S.F. The Cytosolic DNA-Sensing cGAS-STING Pathway in Cancer. Cancer Discov. 2020, 10, 26–39. [Google Scholar] [CrossRef] [PubMed]
- Hu, M.; Zhou, M.; Bao, X.; Pan, D.; Jiao, M.; Liu, X.; Li, F.; Li, C.Y. ATM inhibition enhances cancer immunotherapy by promoting mtDNA leakage and cGAS/STING activation. J. Clin. Investig. 2021, 131, e139333. [Google Scholar] [CrossRef] [PubMed]
- Wang, L.; Yang, L.; Wang, C.; Zhao, W.; Ju, Z.; Zhang, W.; Shen, J.; Peng, Y.; An, C.; Luu, Y.T.; et al. Inhibition of the ATM/Chk2 axis promotes cGAS/STING signaling in ARID1A-deficient tumors. J. Clin. Investig. 2020, 130, 5951–5966. [Google Scholar] [CrossRef]
- Zhang, Q.; Green, M.D.; Lang, X.; Lazarus, J.; Parsels, J.D.; Wei, S.; Parsels, L.A.; Shi, J.; Ramnath, N.; Wahl, D.R.; et al. Inhibition of ATM Increases Interferon Signaling and Sensitizes Pancreatic Cancer to Immune Checkpoint Blockade Therapy. Cancer Res. 2019, 79, 3940–3951. [Google Scholar] [CrossRef]
- Sun, L.; Wang, R.C.; Zhang, Q.; Guo, L.L. ATM mutations as an independent prognostic factor and potential biomarker for immune checkpoint therapy in endometrial cancer. Pathol. Res. Pract. 2020, 216, 153032. [Google Scholar] [CrossRef] [PubMed]
- Samstein, R.M.; Lee, C.H.; Shoushtari, A.N.; Hellmann, M.D.; Shen, R.; Janjigian, Y.Y.; Barron, D.A.; Zehir, A.; Jordan, E.J.; Omuro, A.; et al. Tumor mutational load predicts survival after immunotherapy across multiple cancer types. Nat. Genet. 2019, 51, 202–206. [Google Scholar] [CrossRef] [PubMed]
- Pan, Y.H.; Zhang, J.X.; Chen, X.; Liu, F.; Cao, J.Z.; Chen, Y.; Chen, W.; Luo, J.H. Predictive Value of the TP53/PIK3CA/ATM Mutation Classifier for Patients With Bladder Cancer Responding to Immune Checkpoint Inhibitor Therapy. Front. Immunol. 2021, 12, 643282. [Google Scholar] [CrossRef]
- Lin, C.S.; Wang, Y.C.; Huang, J.L.; Hung, C.C.; Chen, J.Y. Autophagy and reactive oxygen species modulate cytotoxicity induced by suppression of ATM kinase activity in head and neck cancer cells. Oral Oncol. 2012, 48, 1152–1158. [Google Scholar] [CrossRef]
- Wang, Y.C.; Lee, K.W.; Tsai, Y.S.; Lu, H.H.; Chen, S.Y.; Hsieh, H.Y.; Lin, C.S. Downregulation of ATM and BRCA1 Predicts Poor Outcome in Head and Neck Cancer: Implications for ATM-Targeted Therapy. J. Pers. Med. 2021, 11, 389. [Google Scholar] [CrossRef]
- Huang, Y.C.; Huang, J.L.; Tseng, L.C.; Yu, P.H.; Chen, S.Y.; Lin, C.S. High Expression of Interferon Pathway Genes CXCL10 and STAT2 Is Associated with Activated T-Cell Signature and Better Outcome of Oral Cancer Patients. J. Pers. Med. 2022, 12, 140. [Google Scholar] [CrossRef]
- Subramanian, A.; Tamayo, P.; Mootha, V.K.; Mukherjee, S.; Ebert, B.L.; Gillette, M.A.; Paulovich, A.; Pomeroy, S.L.; Golub, T.R.; Lander, E.S.; et al. Gene set enrichment analysis: A knowledge-based approach for interpreting genome-wide expression profiles. Proc. Natl. Acad. Sci. USA 2005, 102, 15545–15550. [Google Scholar] [CrossRef] [PubMed]
- Kovacs, S.A.; Gyorffy, B. Transcriptomic datasets of cancer patients treated with immune-checkpoint inhibitors: A systematic review. J. Transl. Med. 2022, 20, 249. [Google Scholar] [CrossRef] [PubMed]
- Aran, D.; Hu, Z.; Butte, A.J. xCell: Digitally portraying the tissue cellular heterogeneity landscape. Genome Biol. 2017, 18, 220. [Google Scholar] [CrossRef] [PubMed]
- Petersen, A.J.; Rimkus, S.A.; Wassarman, D.A. ATM kinase inhibition in glial cells activates the innate immune response and causes neurodegeneration in Drosophila. Proc. Natl. Acad. Sci. USA 2012, 109, E656–E664. [Google Scholar] [CrossRef]
- Perlman, S.L.; Boder Deceased, E.; Sedgewick, R.P.; Gatti, R.A. Ataxia-telangiectasia. Handb. Clin. Neurol. 2012, 103, 307–332. [Google Scholar] [CrossRef]
- Hartlova, A.; Erttmann, S.F.; Raffi, F.A.; Schmalz, A.M.; Resch, U.; Anugula, S.; Lienenklaus, S.; Nilsson, L.M.; Kroger, A.; Nilsson, J.A.; et al. DNA damage primes the type I interferon system via the cytosolic DNA sensor STING to promote anti-microbial innate immunity. Immunity 2015, 42, 332–343. [Google Scholar] [CrossRef]
- Mellone, M.; Piotrowska, K.; Venturi, G.; James, L.; Bzura, A.; Lopez, M.A.; James, S.; Wang, C.; Ellis, M.J.; Hanley, C.J.; et al. ATM Regulates Differentiation of Myofibroblastic Cancer-Associated Fibroblasts and Can Be Targeted to Overcome Immunotherapy Resistance. Cancer Res. 2022, 82, 4571–4585. [Google Scholar] [CrossRef]
- Liu, X.; Si, F.; Bagley, D.; Ma, F.; Zhang, Y.; Tao, Y.; Shaw, E.; Peng, G. Blockades of effector T cell senescence and exhaustion synergistically enhance antitumor immunity and immunotherapy. J. Immunother. Cancer 2022, 10, e005020. [Google Scholar] [CrossRef]
- Chiu, L.Y.; Sun, Q.; Zenke, F.T.; Blaukat, A.; Vassilev, L.T. Selective ATM inhibition augments radiation-induced inflammatory signaling and cancer cell death. Aging 2023, 15, 492–512. [Google Scholar] [CrossRef]
- Yi, R.; Lin, A.; Cao, M.; Xu, A.; Luo, P.; Zhang, J. ATM Mutations Benefit Bladder Cancer Patients Treated With Immune Checkpoint Inhibitors by Acting on the Tumor Immune Microenvironment. Front. Genet. 2020, 11, 933. [Google Scholar] [CrossRef]
- Zhang, W.; Zhang, L.; Jiang, H.; Li, Y.; Wang, S.; Wang, Q. Mutations in DNA damage response pathways as a potential biomarker for immune checkpoint blockade efficacy: Evidence from a seven-cancer immunotherapy cohort. Aging 2021, 13, 24136–24154. [Google Scholar] [CrossRef] [PubMed]
- Chen, Y.; Chen, G.; Li, J.; Huang, Y.Y.; Li, Y.; Lin, J.; Chen, L.Z.; Lu, J.P.; Wang, Y.Q.; Wang, C.X.; et al. Association of Tumor Protein p53 and Ataxia-Telangiectasia Mutated Comutation With Response to Immune Checkpoint Inhibitors and Mortality in Patients With Non-Small Cell Lung Cancer. JAMA Netw. Open 2019, 2, e1911895. [Google Scholar] [CrossRef] [PubMed]
- Cerniglia, M.; Xiu, J.; Grothey, A.; Pishvaian, M.J.; Baca, Y.; Hwang, J.J.; Marshall, J.L.; VanderWalde, A.M.; Shields, A.F.; Lenz, H.J.; et al. Association of Homologous Recombination-DNA Damage Response Gene Mutations with Immune Biomarkers in Gastroesophageal Cancers. Mol. Cancer Ther. 2022, 21, 227–236. [Google Scholar] [CrossRef] [PubMed]
- Dong, P.; Zhang, X.; Peng, Y.; Zhang, Y.; Liu, R.; Li, Y.; Pan, Q.; Wei, W.; Guo, S.; Zhang, Z.; et al. Genomic Characteristics and Single-Cell Profiles After Immunotherapy in Fumarate Hydratase-Deficient Renal Cell Carcinoma. Clin. Cancer Res. Off. J. Am. Assoc. Cancer Res. 2022, 28, 4807–4819. [Google Scholar] [CrossRef]
- Green, A.R.; Aleskandarany, M.A.; Ali, R.; Hodgson, E.G.; Atabani, S.; De Souza, K.; Rakha, E.A.; Ellis, I.O.; Madhusudan, S. Clinical Impact of Tumor DNA Repair Expression and T-cell Infiltration in Breast Cancers. Cancer Immunol. Res. 2017, 5, 292–299. [Google Scholar] [CrossRef]
- Bogunovic, D.; Byun, M.; Durfee, L.A.; Abhyankar, A.; Sanal, O.; Mansouri, D.; Salem, S.; Radovanovic, I.; Grant, A.V.; Adimi, P.; et al. Mycobacterial disease and impaired IFN-gamma immunity in humans with inherited ISG15 deficiency. Science 2012, 337, 1684–1688. [Google Scholar] [CrossRef]
- Padovan, E.; Terracciano, L.; Certa, U.; Jacobs, B.; Reschner, A.; Bolli, M.; Spagnoli, G.C.; Borden, E.C.; Heberer, M. Interferon stimulated gene 15 constitutively produced by melanoma cells induces e-cadherin expression on human dendritic cells. Cancer Res. 2002, 62, 3453–3458. [Google Scholar]
- Recht, M.; Borden, E.C.; Knight, E., Jr. A human 15-kDa IFN-induced protein induces the secretion of IFN-gamma. J. Immunol. 1991, 147, 2617–2623. [Google Scholar] [CrossRef]
- Kang, J.A.; Kim, Y.J.; Jeon, Y.J. The diverse repertoire of ISG15: More intricate than initially thought. Exp. Mol. Med. 2022, 54, 1779–1792. [Google Scholar] [CrossRef]
- Villarreal, D.O.; Wise, M.C.; Siefert, R.J.; Yan, J.; Wood, L.M.; Weiner, D.B. Ubiquitin-like Molecule ISG15 Acts as an Immune Adjuvant to Enhance Antigen-specific CD8 T-cell Tumor Immunity. Mol. Ther. 2015, 23, 1653–1662. [Google Scholar] [CrossRef]
- Nguyen, H.M.; Oladejo, M.; Paulishak, W.; Wood, L.M. A Listeria-based vaccine targeting ISG15 exerts anti-tumor efficacy in renal cell carcinoma. Cancer Immunol. Immunother. CII, 2022; Online ahead of print. [Google Scholar] [CrossRef]
- Mallardo, D.; Simeone, E.; Vanella, V.; Vitale, M.G.; Palla, M.; Scarpato, L.; Paone, M.; De Cristofaro, T.; Borzillo, V.; Cortellini, A.; et al. Concomitant medication of cetirizine in advanced melanoma could enhance anti-PD-1 efficacy by promoting M1 macrophages polarization. J. Transl. Med. 2022, 20, 436. [Google Scholar] [CrossRef] [PubMed]
- Hussain, A.; Tebyaniyan, H.; Khayatan, D. The Role of Epigenetic in Dental and Oral Regenerative Medicine by Different Types of Dental Stem Cells: A Comprehensive Overview. Stem Cells Int. 2022, 2022, 5304860. [Google Scholar] [CrossRef] [PubMed]
- Huang, J.L.; Chen, S.Y.; Lin, C.S. Targeting Cancer Stem Cells through Epigenetic Modulation of Interferon Response. J. Pers. Med. 2022, 12, 556. [Google Scholar] [CrossRef] [PubMed]
- Wang, J.M.; Liu, B.Q.; Zhang, Q.; Hao, L.; Li, C.; Yan, J.; Zhao, F.Y.; Qiao, H.Y.; Jiang, J.Y.; Wang, H.Q. ISG15 suppresses translation of ABCC2 via ISGylation of hnRNPA2B1 and enhances drug sensitivity in cisplatin resistant ovarian cancer cells. Biochim. Et Biophys. Acta. Mol. Cell Res. 2020, 1867, 118647. [Google Scholar] [CrossRef] [PubMed]
- Zhang, Q.; Wang, J.; Qiao, H.; Huyan, L.; Liu, B.; Li, C.; Jiang, J.; Zhao, F.; Wang, H.; Yan, J. ISG15 is downregulated by KLF12 and implicated in maintenance of cancer stem cell-like features in cisplatin-resistant ovarian cancer. J. Cell. Mol. Med. 2021, 25, 4395–4407. [Google Scholar] [CrossRef]
- Mehra, R.; Seiwert, T.Y.; Gupta, S.; Weiss, J.; Gluck, I.; Eder, J.P.; Burtness, B.; Tahara, M.; Keam, B.; Kang, H.; et al. Efficacy and safety of pembrolizumab in recurrent/metastatic head and neck squamous cell carcinoma: Pooled analyses after long-term follow-up in KEYNOTE-012. Br. J. Cancer 2018, 119, 153–159. [Google Scholar] [CrossRef]
- Seiwert, T.Y.; Burtness, B.; Mehra, R.; Weiss, J.; Berger, R.; Eder, J.P.; Heath, K.; McClanahan, T.; Lunceford, J.; Gause, C.; et al. Safety and clinical activity of pembrolizumab for treatment of recurrent or metastatic squamous cell carcinoma of the head and neck (KEYNOTE-012): An open-label, multicentre, phase 1b trial. Lancet. Oncol. 2016, 17, 956–965. [Google Scholar] [CrossRef]
- Haddad, R.I.; Seiwert, T.Y.; Chow, L.Q.M.; Gupta, S.; Weiss, J.; Gluck, I.; Eder, J.P.; Burtness, B.; Tahara, M.; Keam, B.; et al. Influence of tumor mutational burden, inflammatory gene expression profile, and PD-L1 expression on response to pembrolizumab in head and neck squamous cell carcinoma. J. Immunother. Cancer 2022, 10, e003026. [Google Scholar] [CrossRef]
- Cristescu, R.; Mogg, R.; Ayers, M.; Albright, A.; Murphy, E.; Yearley, J.; Sher, X.; Liu, X.Q.; Lu, H.; Nebozhyn, M.; et al. Pan-tumor genomic biomarkers for PD-1 checkpoint blockade-based immunotherapy. Science 2018, 362, eaar3593. [Google Scholar] [CrossRef]







| Gene | Forward Primer (5′ to 3′) | Reverse Primer (5′ to 3′) |
|---|---|---|
| ISG15 | ACAGCCATGGGCTGGGA | CCTTCAGCTCTGACACCGAC |
| IFI27 | CGGTGAGGTCAGCTTCACAT | CCTGCTCGGGTTAATTCCGT |
| OASL | GCCAACTAAGCTGAAGAGCC | GCATAGAGAGGGGGCAGATTG |
| ISG20 | ACACGTCCACTGACAGGCTGTT | ATCTTCCACCGAGCTGTGTCCA |
| DDX58 | CACCTCAGTTGCTGATGAAGGC | GTCAGAAGGAAGCACTTGCTACC |
| DDX60 | GGCTTCCAAGGGAGATGACC | TGTCCATGACTCTGGGTTGC |
| CCL5 | CCAGCAGTCGTCTTTGTCAC | CTCTGGGTTGGCACACACTT |
| IFIT3 | AGAAAAGGTGACCTAGACAAAGC | CCTTGTAGCAGCACCCAATCT |
| GAPDH | AGCCACATCGCTCAGACAC | GCCCAATACGACCAAATCC |
| NAME (TCGA) | SIZE | NES | NOM-p | FDR-q |
|---|---|---|---|---|
| GOBP_INTERFERON_GAMMA_PRODUCTION | 116 | 3.130 | <0.001 | <0.001 |
| GOBP_RESPONSE_TO_TYPE_I_INTERFERON | 82 | 2.929 | <0.001 | <0.001 |
| GOBP_CELL_KILLING | 185 | 3.276 | <0.001 | <0.001 |
| GOBP_POSITIVE_REGULATION_OF_CELL_KILLING | 86 | 3.085 | <0.001 | <0.001 |
| GOBP_NATURAL_KILLER_CELL_MEDIATED_IMMUNITY | 76 | 3.118 | <0.001 | <0.001 |
| GOBP_NATURAL_KILLER_CELL_ACTIVATION | 97 | 2.870 | <0.001 | <0.001 |
| GOBP_T_CELL_MEDIATED_IMMUNITY | 176 | 3.005 | <0.001 | <0.001 |
| GOBP_T_CELL_MEDIATED_CYTOTOXICITY | 51 | 2.755 | <0.001 | <0.001 |
| GOBP_DENDRITIC_CELL_DIFFERENTIATION | 48 | 2.424 | <0.001 | <0.001 |
| GOBP_DENDRITIC_CELL_CYTOKINE_PRODUCTION | 18 | 1.835 | <0.001 | <0.001 |
| GOBP_ANTIGEN_PROCESSING_AND_PRESENTATION_OF_PEPTIDE_ANTIGEN | 104 | 2.972 | <0.001 | <0.001 |
| GOBP_ANTIGEN_PROCESSING_AND_PRESENTATION | 65 | 2.965 | <0.001 | <0.001 |
| NAME (GSE65858) | SIZE | NES | NOM-p | FDR-q |
|---|---|---|---|---|
| GOBP_RESPONSE_TO_TYPE_I_INTERFERON | 66 | 2.508 | <0.001 | <0.001 |
| GOBP_RESPONSE_TO_INTERFERON_GAMMA | 123 | 2.266 | <0.001 | <0.001 |
| GOBP_CELL_KILLING | 155 | 2.221 | <0.001 | <0.001 |
| GOBP_LEUKOCYTE_MEDIATED_CYTOTOXICITY | 117 | 2.081 | <0.001 | <0.001 |
| GOBP_NATURAL_KILLER_CELL_MEDIATED_IMMUNITY | 68 | 2.032 | <0.001 | <0.001 |
| GOBP_REGULATION_OF_NATURAL_KILLER_CELL_ACTIVATION | 37 | 1.747 | 0.005 | 0.024 |
| GOBP_REGULATION_OF_T_CELL_MEDIATED_IMMUNITY | 83 | 2.231 | <0.001 | <0.001 |
| GOBP_REGULATION_OF_T_CELL_MEDIATED_CYTOTOXICITY | 38 | 2.080 | <0.001 | <0.001 |
| GOBP_DENDRITIC_CELL_DIFFERENTIATION | 45 | 1.890 | 0.002 | 0.005 |
| GOBP_DENDRITIC_CELL_CYTOKINE_PRODUCTION | 17 | 1.707 | 0.009 | 0.035 |
| GOBP_ANTIGEN_PROCESSING_AND_PRESENTATION_OF_PEPTIDE_ANTIGEN | 61 | 2.470 | <0.001 | <0.001 |
| GOBP_ANTIGEN_PROCESSING_AND_PRESENTATION | 105 | 2.342 | <0.001 | <0.001 |
Disclaimer/Publisher’s Note: The statements, opinions and data contained in all publications are solely those of the individual author(s) and contributor(s) and not of MDPI and/or the editor(s). MDPI and/or the editor(s) disclaim responsibility for any injury to people or property resulting from any ideas, methods, instructions or products referred to in the content. |
© 2023 by the authors. Licensee MDPI, Basel, Switzerland. This article is an open access article distributed under the terms and conditions of the Creative Commons Attribution (CC BY) license (https://creativecommons.org/licenses/by/4.0/).
Share and Cite
Huang, C.-H.; Huang, Y.-C.; Xu, J.-K.; Chen, S.-Y.; Tseng, L.-C.; Huang, J.-L.; Lin, C.-S. ATM Inhibition-Induced ISG15/IFI27/OASL Is Correlated with Immunotherapy Response and Inflamed Immunophenotype. Cells 2023, 12, 1288. https://doi.org/10.3390/cells12091288
Huang C-H, Huang Y-C, Xu J-K, Chen S-Y, Tseng L-C, Huang J-L, Lin C-S. ATM Inhibition-Induced ISG15/IFI27/OASL Is Correlated with Immunotherapy Response and Inflamed Immunophenotype. Cells. 2023; 12(9):1288. https://doi.org/10.3390/cells12091288
Chicago/Turabian StyleHuang, Chi-Han, Yun-Cian Huang, Jun-Kai Xu, Si-Yun Chen, Lu-Chia Tseng, Jau-Ling Huang, and Chang-Shen Lin. 2023. "ATM Inhibition-Induced ISG15/IFI27/OASL Is Correlated with Immunotherapy Response and Inflamed Immunophenotype" Cells 12, no. 9: 1288. https://doi.org/10.3390/cells12091288
APA StyleHuang, C.-H., Huang, Y.-C., Xu, J.-K., Chen, S.-Y., Tseng, L.-C., Huang, J.-L., & Lin, C.-S. (2023). ATM Inhibition-Induced ISG15/IFI27/OASL Is Correlated with Immunotherapy Response and Inflamed Immunophenotype. Cells, 12(9), 1288. https://doi.org/10.3390/cells12091288

