Radon Improves Clinical Response in an Animal Model of Rheumatoid Arthritis Accompanied by Increased Numbers of Peripheral Blood B Cells and Interleukin-5 Concentration
Abstract
1. Introduction
2. Materials and Methods
2.1. Animal Upkeep and Clinical Evaluation
2.2. Cell Culture Experiments
2.3. Radon Treatment
2.4. Multicolor Flow Cytometry Analysis
2.5. MSD® Multi-Spot Assay System and Enzyme-Linked Immunosorbent Assays
2.6. RNA Isolation and cDNA Synthesis
2.7. Quantitative Real-Time PCR (qPCR)
2.8. Statistics
3. Results
3.1. Exposure to Radon Gas Significantly Improves Clinical Score in K/BxN Serum-Induced C57Bl76 Mice
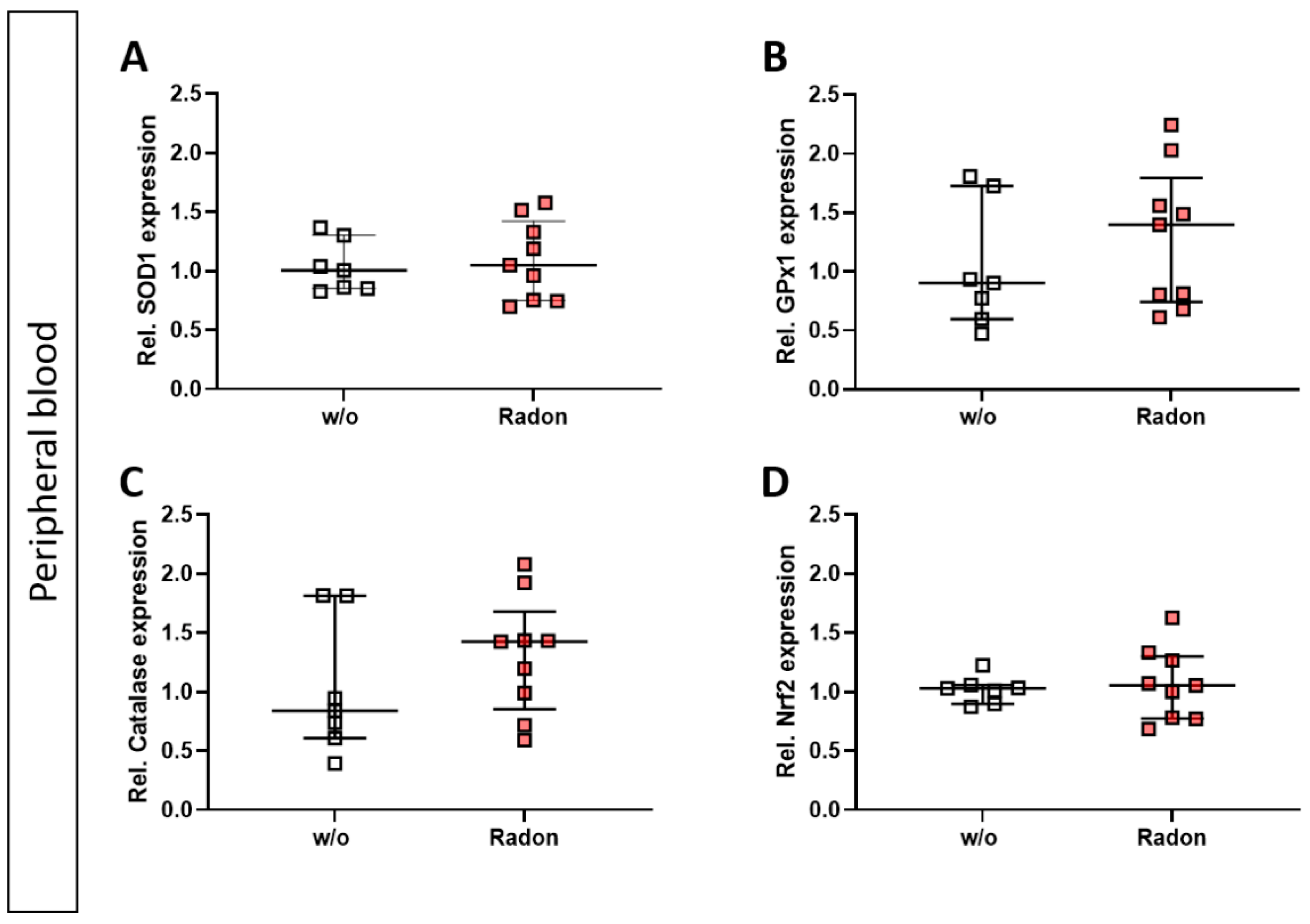
3.2. The Anti-Oxidative System Has No Influence on the Clinical Response of K/BxN Serum-Induced Mice after Radon Therapy
3.3. Radon Treatment Alters Immune Cell Subsets in the Peripheral Blood but Not in the Bone Marrow
3.4. Radon Significantly Increases IL-5 Expression in the Serum of K/BxN Serum-Induced Mice
3.5. Radon Does Not Enhance Cell Death in Isolated Bone Marrow or Ex Vivo Differentiated Monocytes and Macrophages
3.6. Activation of Macrophages Increases the Expression of Anti-Oxidative Factors and Decreases ROS while Radon Exposure Only Moderately Changes the Anti-Oxidative System of Ex Vivo Cultivated Immune Cells

4. Discussion
5. Conclusions
Author Contributions
Funding
Institutional Review Board Statement
Informed Consent Statement
Data Availability Statement
Acknowledgments
Conflicts of Interest
Appendix A
| Target | Fluorochrome | Supplier |
|---|---|---|
| Myeloid Cells Panel | ||
| Live/Dead | Zombie NIR | BioLegend |
| MHC-II | e-Fluor450 | eBioscience |
| Ly-6G | PE-Cy7 | BD |
| Ly-6C | FITC | BD |
| CD11b | APC | eBioscience |
| Siglec-F | PE | BD |
| CD45.2 | PerCP-Cy5.5 | eBioscience |
| PDCA-1 | Brilliant Violet 650 | BioLegend |
| CD11c | Brilliant Violet 510 | BD |
| Myeloid and Precursors Panel | ||
| Live/dead | Zombie NIR | BioLegend |
| MHC-II | e-Fluor450 | eBioscience |
| Ly-6G | PE-Cy7 | BD |
| Ly-6C | FITC | BD |
| CD11b | APC | eBioscience |
| Siglec-F | PE | BD |
| CD45.2 | PerCP-Cy5.5 | eBioscience |
| CD34 | Brilliant Violet 650 | BD |
| CD115 | Brilliant Violet 510 | BD |
| Lymphocytes Panel | ||
| Live Dead | Zombie Aqua | BioLegend |
| CD62L | PE-Cy7 | BD |
| CD8 | Brilliant Violet 605 | BioLegend |
| FcεR1α | PE | BBioLegend |
| CD4 | FITC | BD |
| CD19 | APC-Cy7 | BD |
| CD3e | V 450 | BD |
| CD45.2 | PerCP-Cy5.5 | eBioscience |
| CD49b | APC | BioLegend |
| PD-1 | PE-Dazzle 594 | BioLegend |
| Macrophage/Monocyte Panel | ||
| Live/Dead | Zombie NIR | BioLegend |
| CD11b | FITC | BD |
| MHC-II | eFluor450 | eBioscience |
| F4/80 | eFluor660 | eBioscience |
| CD80 | PE | BD |
| Ly-6C | PE-Cy7 | BD |
| CD86 | PerCP-Vio700 | Miltenyi Biotech |
| CD206 | Brilliant Violet 650 | BioLegend |
| CD45.2 | PE-Dazzle 594 | BioLegend |
| Checkpoint Panel | ||
| Live/Dead | Zombie NIR | BioLegend |
| PD-L1 | PE-Cy7 | eBioscience |
| PD-L2 | Brilliant Violet 510 | BD |
| HVEM/CD270 | APC | BioLegend |
| Ox40L | PerCP-eFLuor710 | eBioscience |
| Galectin-9 | Brilliant Violet 421 | BD |
| 4-1BBL/CD137L | VioBright FITC | Miltenyi Biotech |
| VISTA/PD-1H | PE-Dazzle 594 | BioLegend |
| B7-H3/CD276 | Brilliant Violet 650 | BD |
| Gene | Primer/Probe | Sequence (5′→3′) | Reference |
|---|---|---|---|
| mSOD1 | Forward | GGACGGTGTGGCCAATGT | [56] |
| Reverse | CGGCCAATGATGGAATGC | ||
| Probe | [FAM] TGTGATCTCACTCTCAGGAG [TAMRA] | ||
| mGPx1 | Forward | CCCCACTGCGCTCATGA | [57] |
| Reverse | GGCACACCGGAGACCAAA | ||
| Probe | [FAM] CGACCCCAAGTACATC [TAMRA] | ||
| mCatalase | Forward | TTCAGAAGAAAGCGGTCAAGAAT | [57] |
| Reverse | GATGCGGGCCCCATAGTC | ||
| Probe | [FAM] CACTGACGTCCACCC [TAMRA] | ||
| mNfe2l2 | Forward | CAAGACTTGGGCCACTTAAAAGAC | [58,59] |
| Reverse | AGTAAGGCTTTCCATCCTCATCAC | ||
| Probe | [FAM] AGGCGGCTCAGCACCTTGTATCTTGA [TAMRA] | ||
| mHPRT | Forward | TGAAGAGCTACTGTAATGATCAGTCAAC | [60] |
| Reverse | AGCAAGCTTGCAACCTTAACCA | ||
| Probe | [FAM] TGCTTTCCCTGGTTAAGCAGTACAGCCC [TAMRA] |


References
- Gaisberger, M.; Fuchs, J.; Riedl, M.; Edtinger, S.; Reischl, R.; Grasmann, G.; Hölzl, B.; Landauer, F.; Dobias, H.; Eckstein, F.; et al. Endogenous anandamide and self-reported pain are significantly reduced after a 2-week multimodal treatment with and without radon therapy in patients with knee osteoarthritis: A pilot study. Int. J. Biometeorol. 2021, 65, 1151–1160. [Google Scholar] [CrossRef]
- Maier, A.; Wiedemann, J.; Rapp, F.; Papenfuß, F.; Rödel, F.; Hehlgans, S.; Gaipl, U.S.; Kraft, G.; Fournier, C.; Frey, B. Radon Exposure—Therapeutic Effect and Cancer Risk. Int. J. Mol. Sci. 2021, 22, 316. [Google Scholar] [CrossRef] [PubMed]
- Rühle, P.F.; Wunderlich, R.; Deloch, L.; Fournier, C.; Maier, A.; Klein, G.; Fietkau, R.; Gaipl, U.S.; Frey, B. Modulation of the peripheral immune system after low-dose radon spa therapy: Detailed longitudinal immune monitoring of patients within the RAD-ON01 study. Autoimmunity 2017, 50, 133–140. [Google Scholar] [CrossRef] [PubMed]
- Paz, N.; Hartel, C.; Nasonova, E.; Donaubauer, A.J.; Frey, B.; Ritter, S. Chromosome Aberrations in Lymphocytes of Patients Undergoing Radon Spa Therapy: An Explorative mFISH Study. Int. J. Environ. Res. Public Health 2021, 18, 10757. [Google Scholar] [CrossRef]
- Rühle, P.F.; Klein, G.; Rung, T.; Tiep Phan, H.; Fournier, C.; Fietkau, R.; Gaipl, U.S.; Frey, B. Impact of radon and combinatory radon/carbon dioxide spa on pain and hypertension: Results from the explorative RAD-ON01 study. Mod. Rheumatol. 2019, 29, 165–172. [Google Scholar] [CrossRef]
- Franke, A.; Reiner, L.; Pratzel, H.G.; Franke, T.; Resch, K.L. Long-term efficacy of radon spa therapy in rheumatoid arthritis—A randomized, sham-controlled study and follow-up. Rheumatology 2000, 39, 894–902. [Google Scholar] [CrossRef]
- Franke, A.; Reiner, L.; Resch, K.L. Long-term benefit of radon spa therapy in the rehabilitation of rheumatoid arthritis: A randomised, double-blinded trial. Rheumatol. Int. 2007, 27, 703–713. [Google Scholar] [CrossRef] [PubMed]
- Herold, M.; Lind-Albrecht, G. Radon within therapeutic strategies of ankylosing spondylitis. Wien. Med. Wochenschr. 2008, 158, 209–212. [Google Scholar] [CrossRef] [PubMed]
- Rühle, A.; Tkotsch, E.; Mravlag, R.; Haehl, E.; Spohn, S.K.B.; Zamboglou, C.; Huber, P.E.; Debus, J.; Grosu, A.-L.; Sprave, T.; et al. Low-dose radiotherapy for painful osteoarthritis of the elderly: A multicenter analysis of 970 patients with 1185 treated sites. Strahlenther. Onkol. 2021, 197, 895–902. [Google Scholar] [CrossRef] [PubMed]
- Falkenbach, A.; Kovacs, J.; Franke, A.; Jörgens, K.; Ammer, K. Radon therapy for the treatment of rheumatic diseases—Review and meta-analysis of controlled clinical trials. Rheumatol. Int. 2005, 25, 205–210. [Google Scholar] [CrossRef]
- Van Tubergen, A.; Boonen, A.; Landewé, R.; Rutten-Van Mölken, M.; Van Der Heijde, D.; Hidding, A.; Van Der Linden, S. Cost effectiveness of combined spa-exercise therapy in ankylosing spondylitis: A randomized controlled trial. Arthritis Rheum. 2002, 47, 459–467. [Google Scholar] [CrossRef] [PubMed]
- van Tubergen, A.; Landewé, R.; van der Heijde, D.; Hidding, A.; Wolter, N.; Asscher, M.; Falkenbach, A.; Genth, E.; Thè, H.G.; van der Linden, S. Combined spa-exercise therapy is effective in patients with ankylosing spondylitis: A randomized controlled trial. Arthritis Rheum. 2001, 45, 430–438. [Google Scholar] [CrossRef]
- Kataoka, T. Study of antioxidative effects and anti-inflammatory effects in mice due to low-dose X-irradiation or radon inhalation. J. Radiat. Res. 2013, 54, 587–596. [Google Scholar] [CrossRef] [PubMed]
- Kataoka, T.; Kanzaki, N.; Sakoda, A.; Shuto, H.; Yano, J.; Naoe, S.; Tanaka, H.; Hanamoto, K.; Terato, H.; Mitsunobu, F.; et al. Evaluation of the redox state in mouse organs following radon inhalation. J. Radiat. Res. 2021, 62, 206–216. [Google Scholar] [CrossRef]
- Kataoka, T.; Shuto, H.; Naoe, S.; Yano, J.; Kanzaki, N.; Sakoda, A.; Tanaka, H.; Hanamoto, K.; Mitsunobu, F.; Terato, H.; et al. Radon inhalation decreases DNA damage induced by oxidative stress in mouse organs via the activation of antioxidative functions. J. Radiat. Res. 2021, 62, 861–867. [Google Scholar] [CrossRef] [PubMed]
- Kobashi, Y.; Kataoka, T.; Kanzaki, N.; Ishida, T.; Sakoda, A.; Tanaka, H.; Ishimori, Y.; Mitsunobu, F.; Yamaoka, K. Comparison of antioxidative effects between radon and thoron inhalation in mouse organs. Radiat. Environ. Biophys. 2020, 59, 473–482. [Google Scholar] [CrossRef] [PubMed]
- Kuciel-Lewandowska, J.; Gnus, J.; Pawlik-Sobecka, L.; Płaczkowska, S.; Kokot, I.; Kasperczak, M.; Paprocka-Borowicz, M. The Assessment of the Integrated Antioxidant System of the Body in the Course of Radon Therapy: A Pilot Study. Biomed. Res. Int. 2018, 2018, 6038106. [Google Scholar] [CrossRef]
- Nie, J.H.; Chen, Z.H.; Liu, X.; Wu, Y.W.; Li, J.X.; Cao, Y.; Hei, T.K.; Tong, J. Oxidative damage in various tissues of rats exposed to radon. J. Toxicol. Environ. Health A 2012, 75, 694–699. [Google Scholar] [CrossRef]
- Nagarkatti, M.; Nagarkatti, P.S.; Brooks, A. Effect of radon on the immune system: Alterations in the cellularity and functions of T cells in lymphoid organs of mouse. J. Toxicol. Environ. Health 1996, 47, 535–552. [Google Scholar] [CrossRef]
- Cucu, A.; Shreder, K.; Kraft, D.; Rühle, P.F.; Klein, G.; Thiel, G.; Frey, B.; Gaipl, U.S.; Fournier, C. Decrease of Markers Related to Bone Erosion in Serum of Patients with Musculoskeletal Disorders after Serial Low-Dose Radon Spa Therapy. Front. Immunol. 2017, 8, 882. [Google Scholar] [CrossRef]
- Kullmann, M.; Rühle, P.F.; Harrer, A.; Donaubauer, A.; Becker, I.; Sieber, R.; Klein, G.; Fournier, C.; Fietkau, R.; Gaipl, U.S.; et al. Temporarily increased TGFβ following radon spa correlates with reduced pain while serum IL-18 is a general predictive marker for pain sensitivity. Radiat. Environ. Biophys. 2019, 58, 129–135. [Google Scholar] [CrossRef] [PubMed]
- Arenas, M.; Algara, M.; De Febrer, G.; Rubio, C.; Sanz, X.; de la Casa, M.A.; Vasco, C.; Marín, J.; Fernández-Letón, P.; Villar, J.; et al. Could pulmonary low-dose radiation therapy be an alternative treatment for patients with COVID-19 pneumonia? Preliminary results of a multicenter SEOR-GICOR nonrandomized prospective trial (IPACOVID trial). Strahlenther. Onkol. 2021, 197, 1010–1020. [Google Scholar] [CrossRef] [PubMed]
- Droge, W. Free radicals in the physiological control of cell function. Physiol. Rev. 2002, 82, 47–95. [Google Scholar] [CrossRef] [PubMed]
- Ray, P.D.; Huang, B.W.; Tsuji, Y. Reactive oxygen species (ROS) homeostasis and redox regulation in cellular signaling. Cell. Signal. 2012, 24, 981–990. [Google Scholar] [CrossRef]
- Kaspar, J.W.; Niture, S.K.; Jaiswal, A.K. Nrf2:INrf2 (Keap1) signaling in oxidative stress. Free Radic. Biol. Med. 2009, 47, 1304–1309. [Google Scholar] [CrossRef]
- Craige, S.M.; Kant, S.; Keaney, J.F., Jr. Reactive oxygen species in endothelial function—From disease to adaptation. Circ. J. 2015, 79, 1145–1155. [Google Scholar] [CrossRef]
- Maier, A.; van Beek, P.; Hellmund, J.; Durante, M.; Schardt, D.; Kraft, G.; Fournier, C. Experimental setup for radon exposure and first diffusion studies using gamma spectroscopy. Nucl. Instrum. Meth. B 2015, 362, 187–193. [Google Scholar] [CrossRef]
- Mititelu, R.R.; Pădureanu, R.; Băcănoiu, M.; Pădureanu, V.; Docea, A.O.; Calina, D.; Barbulescu, A.L.; Buga, A.M. Inflammatory and Oxidative Stress Markers—Mirror Tools in Rheumatoid Arthritis. Biomedicines 2020, 8, 125. [Google Scholar] [CrossRef]
- Christensen, A.D.; Haase, C.; Cook, A.D.; Hamilton, J.A. K/BxN Serum-Transfer Arthritis as a Model for Human Inflammatory Arthritis. Front. Immunol. 2016, 7, 213. [Google Scholar] [CrossRef]
- Kouskoff, V.; Korganow, A.S.; Duchatelle, V.; Degott, C.; Benoist, C.; Mathis, D. Organ-specific disease provoked by systemic autoimmunity. Cell 1996, 87, 811–822. [Google Scholar] [CrossRef]
- Korn, M.A.; Schmitt, H.; Angermüller, S.; Chambers, D.; Seeling, M.; Lux, U.T.; Brey, S.; Royzman, D.; Brückner, C.; Popp, V.; et al. Siglec-15 on Osteoclasts Is Crucial for Bone Erosion in Serum-Transfer Arthritis. J. Immunol. 2020, 205, 2595–2605. [Google Scholar] [CrossRef] [PubMed]
- Sanjon, E.P.; Maier, A.; Hinrichs, A.; Kraft, G.; Drossel, B.; Fournier, C. A combined experimental and theoretical study of radon solubility in fat and water. Sci. Rep. 2019, 9, 10768. [Google Scholar] [CrossRef] [PubMed]
- Rückert, M.; Deloch, L.; Frey, B.; Schlücker, E.; Fietkau, R.; Gaipl, U.S. Combinations of Radiotherapy with Vaccination and Immune Checkpoint Inhibition Differently Affect Primary and Abscopal Tumor Growth and the Tumor Microenvironment. Cancers 2021, 13, 714. [Google Scholar] [CrossRef]
- Deloch, L.; Rückert, M.; Fietkau, R.; Frey, B.; Gaipl, U.S. Low-Dose Radiotherapy Has No Harmful Effects on Key Cells of Healthy Non-Inflamed Joints. Int. J. Mol. Sci. 2018, 19, 3197. [Google Scholar] [CrossRef] [PubMed]
- Deloch, L.; Derer, A.; Hueber, A.J.; Herrmann, M.; Schett, G.A.; Wölfelschneider, J.; Hahn, J.; Rühle, P.F.; Stillkrieg, W.; Fuchs, J.; et al. Low-Dose Radiotherapy Ameliorates Advanced Arthritis in hTNF-α tg Mice by Particularly Positively Impacting on Bone Metabolism. Front. Immunol. 2018, 9, 1834. [Google Scholar] [CrossRef] [PubMed]
- Henshaw, D.L.; Eatough, J.P.; Richardson, R.B. Radon as a causative factor in induction of myeloid leukaemia and other cancers. Lancet 1990, 335, 1008–1012. [Google Scholar] [CrossRef]
- Bouaziz, J.D.; Yanaba, K.; Tedder, T.F. Regulatory B cells as inhibitors of immune responses and inflammation. Immunol. Rev. 2008, 224, 201–214. [Google Scholar] [CrossRef]
- Fetter, T.; Niebel, D.; Braegelmann, C.; Wenzel, J. Skin-Associated B Cells in the Pathogenesis of Cutaneous Autoimmune Diseases-Implications for Therapeutic Approaches. Cells 2020, 9, 2627. [Google Scholar] [CrossRef]
- Miyagaki, T.; Fujimoto, M.; Sato, S. Regulatory B cells in human inflammatory and autoimmune diseases: From mouse models to clinical research. Int. Immunol. 2015, 27, 495–504. [Google Scholar] [CrossRef]
- Mauri, C. Regulation of immunity and autoimmunity by B cells. Curr. Opin. Immunol. 2010, 22, 761–767. [Google Scholar] [CrossRef]
- Mizoguchi, A.; Bhan, A.K. A case for regulatory B cells. J. Immunol. 2006, 176, 705–710. [Google Scholar] [CrossRef] [PubMed]
- DiLillo, D.J.; Matsushita, T.; Tedder, T.F. B10 cells and regulatory B cells balance immune responses during inflammation, autoimmunity, and cancer. Ann. N. Y. Acad. Sci. 2010, 1183, 38–57. [Google Scholar] [CrossRef] [PubMed]
- Wilson, N.J.; Boniface, K.; Chan, J.R.; McKenzie, B.S.; Blumenschein, W.M.; Mattson, J.D.; Basham, B.; Smith, K.; Chen, T.; Morel, F.; et al. Development, cytokine profile and function of human interleukin 17-producing helper T cells. Nat. Immunol. 2007, 8, 950–957. [Google Scholar] [CrossRef] [PubMed]
- Tran, G.T.; Hodgkinson, S.J.; Carter, N.M.; Verma, N.D.; Plain, K.M.; Boyd, R.; Robinson, C.M.; Nomura, M.; Killingsworth, M.; Hall, B.M. IL-5 promotes induction of antigen-specific CD4+CD25+ T regulatory cells that suppress autoimmunity. Blood 2012, 119, 4441–4450. [Google Scholar] [CrossRef]
- Hogan, S.P.; Koskinen, A.; Matthaei, K.I.; Young, I.G.; Foster, P.S. Interleukin-5-producing CD4+ T cells play a pivotal role in aeroallergen-induced eosinophilia, bronchial hyperreactivity, and lung damage in mice. Am. J. Respir. Crit. Care Med. 1998, 157, 210–218. [Google Scholar] [CrossRef]
- Hogan, S.P.; Matthaei, K.I.; Young, J.M.; Koskinen, A.; Young, I.G.; Foster, P.S. A novel T cell-regulated mechanism modulating allergen-induced airways hyperreactivity in BALB/c mice independently of IL-4 and IL-5. J. Immunol. 1998, 161, 1501–1509. [Google Scholar]
- Hogan, S.P.; Mould, A.; Kikutani, H.; Ramsay, A.J.; Foster, P.S. Aeroallergen-induced eosinophilic inflammation, lung damage, and airways hyperreactivity in mice can occur independently of IL-4 and allergen-specific immunoglobulins. J. Clin. Investig. 1997, 99, 1329–1339. [Google Scholar] [CrossRef][Green Version]
- Takatsu, K.; Moon, B.-G.; Itakura, A.; Tsukamoto, Y.; Horikawa, K.; Ikutani, M.; Kouro, T.; Takaki, S. Role of IL-5 in the innate immune system and disease control. Int. Congr. Ser. 2005, 1285, 145–154. [Google Scholar] [CrossRef]
- Harriman, G.R.; Kunimoto, D.Y.; Elliott, J.F.; Paetkau, V.; Strober, W. The role of IL-5 in IgA B cell differentiation. J. Immunol. 1988, 140, 3033–3039. [Google Scholar]
- Kuciel-Lewandowska, J.M.; Pawlik-Sobecka, L.; Płaczkowska, S.; Kokot, I.; Paprocka-Borowicz, M. The assessment of the integrated antioxidant system of the body and the phenomenon of spa reaction in the course of radon therapy: A pilot study. Adv. Clin. Exp. Med. 2018, 27, 1341–1346. [Google Scholar] [CrossRef]
- Sakoda, A.; Ishimori, Y.; Fukao, K.; Yamaoka, K.; Kataoka, T.; Mitsunobu, F. Lung dosimetry of inhaled radon progeny in mice. Radiat. Environ. Biophys. 2012, 51, 425–442. [Google Scholar] [CrossRef] [PubMed]
- ICRP. Occupational intakes of radionuclides: Part 3. ICRP Publication 137. Ann. ICRP 2017, 46, 1–486. [Google Scholar] [CrossRef] [PubMed]
- Chelombitko, M.A. Role of Reactive Oxygen Species in Inflammation: A Minireview. Mosc. Univ. Biol. Sci. Bull. 2018, 73, 199–202. [Google Scholar] [CrossRef]
- Mittal, M.; Siddiqui, M.R.; Tran, K.; Reddy, S.P.; Malik, A.B. Reactive oxygen species in inflammation and tissue injury. Antioxid. Redox Signal. 2014, 20, 1126–1167. [Google Scholar] [CrossRef]
- Karagülle, M.; Karagülle, M.Z. Effectiveness of balneotherapy and spa therapy for the treatment of chronic low back pain: A review on latest evidence. Clin. Rheumatol. 2015, 34, 207–214. [Google Scholar] [CrossRef] [PubMed]
- Lewis, P.; Stefanovic, N.; Pete, J.; Calkin, A.C.; Giunti, S.; Thallas-Bonke, V.; Jandeleit-Dahm, K.A.; Allen, T.J.; Kola, I.; Cooper, M.E.; et al. Lack of the antioxidant enzyme glutathione peroxidase-1 accelerates atherosclerosis in diabetic apolipoprotein E-deficient mice. Circulation 2007, 115, 2178–2187. [Google Scholar] [CrossRef]
- de Haan, J.B.; Witting, P.K.; Stefanovic, N.; Pete, J.; Daskalakis, M.; Kola, I.; Stocker, R.; Smolich, J.J. Lack of the antioxidant glutathione peroxidase-1 does not increase atherosclerosis in C57BL/J6 mice fed a high-fat diet. J. Lipid Res. 2006, 47, 1157–1167. [Google Scholar] [CrossRef]
- Honkura, Y.; Matsuo, H.; Murakami, S.; Sakiyama, M.; Mizutari, K.; Shiotani, A.; Yamamoto, M.; Morita, I.; Shinomiya, N.; Kawase, T.; et al. NRF2 Is a Key Target for Prevention of Noise-Induced Hearing Loss by Reducing Oxidative Damage of Cochlea. Sci. Rep. 2016, 6, 19329. [Google Scholar] [CrossRef]
- Tsujita, T.; Peirce, V.; Baird, L.; Matsuyama, Y.; Takaku, M.; Walsh, S.V.; Griffin, J.L.; Uruno, A.; Yamamoto, M.; Hayes, J.D. Transcription factor Nrf1 negatively regulates the cystine/glutamate transporter and lipid-metabolizing enzymes. Mol. Cell. Biol. 2014, 34, 3800–3816. [Google Scholar] [CrossRef]
- Hori, S.; Nomura, T.; Sakaguchi, S. Control of regulatory T cell development by the transcription factor Foxp3. Science 2003, 299, 1057–1061. [Google Scholar] [CrossRef]








| Experiment 1 | Experiment 2 | |||
|---|---|---|---|---|
| Controls (n = 4) | Treated (n = 5) | Controls (n = 3) | Treated (n = 4) | |
| Temperature [°C] | 23.2 ± 0.2 | 23.4 ± 0.1 | 22.0 ± 0.1 | 22.3 ± 0.1 |
| Relative humidity [%] | 68.7 ± 1.4 | 71.6 ± 2.7 | 60.1 ± 3.2 | 67.1 ± 4.7 |
| Atmospheric pressure [mbar] | 1011 ± 3 | 1011 ± 3 | 1017 ± 3 | 1017 ± 3 |
| Radon activity concentration [kBq/m3] | 0.0045 ± 0.0139 | 466 ± 5 | 0.008 ± 0.0046 | 489.3 ± 12.5 |
| Mean Parameters for Bone Marrow Experiments | Mean Parameters for Monocytes/Macrophages Experiments | |||
|---|---|---|---|---|
| Controls | Treated | Controls | Treated | |
| Temperature [°C] | 36.15 ± 0.21 | 36.36 ± 0.19 | 36.59 ± 0.34 | 36.37 ± 0.12 |
| Relative humidity [%] | 74.35 ± 0.35 | 73.8 ± 0.71 | 77.17 ± 0.93 | 78 ± 0.8 |
| Atmospheric pressure [mbar] | 1013.5 ± 0.71 | 1012 ± 1.41 | 1007.33 ± 7.57 | 1007 ± 6.24 |
| CO2 [%] | 4.54 ± 0.04 | 4.52 ± 0.05 | 4,53 ± 0.14 | 4.47 ± 0.13 |
| Radon activity concentration [kBq/m3] | 0.098 ± 7.07 | 167.75 ± 11.38 | 0.041 ± 0.045 | 176.83 ± 2.99 |
Publisher’s Note: MDPI stays neutral with regard to jurisdictional claims in published maps and institutional affiliations. |
© 2022 by the authors. Licensee MDPI, Basel, Switzerland. This article is an open access article distributed under the terms and conditions of the Creative Commons Attribution (CC BY) license (https://creativecommons.org/licenses/by/4.0/).
Share and Cite
Deloch, L.; Hehlgans, S.; Rückert, M.; Maier, A.; Hinrichs, A.; Flohr, A.-S.; Eckert, D.; Weissmann, T.; Seeling, M.; Nimmerjahn, F.; et al. Radon Improves Clinical Response in an Animal Model of Rheumatoid Arthritis Accompanied by Increased Numbers of Peripheral Blood B Cells and Interleukin-5 Concentration. Cells 2022, 11, 689. https://doi.org/10.3390/cells11040689
Deloch L, Hehlgans S, Rückert M, Maier A, Hinrichs A, Flohr A-S, Eckert D, Weissmann T, Seeling M, Nimmerjahn F, et al. Radon Improves Clinical Response in an Animal Model of Rheumatoid Arthritis Accompanied by Increased Numbers of Peripheral Blood B Cells and Interleukin-5 Concentration. Cells. 2022; 11(4):689. https://doi.org/10.3390/cells11040689
Chicago/Turabian StyleDeloch, Lisa, Stephanie Hehlgans, Michael Rückert, Andreas Maier, Annika Hinrichs, Ann-Sophie Flohr, Denise Eckert, Thomas Weissmann, Michaela Seeling, Falk Nimmerjahn, and et al. 2022. "Radon Improves Clinical Response in an Animal Model of Rheumatoid Arthritis Accompanied by Increased Numbers of Peripheral Blood B Cells and Interleukin-5 Concentration" Cells 11, no. 4: 689. https://doi.org/10.3390/cells11040689
APA StyleDeloch, L., Hehlgans, S., Rückert, M., Maier, A., Hinrichs, A., Flohr, A.-S., Eckert, D., Weissmann, T., Seeling, M., Nimmerjahn, F., Fietkau, R., Rödel, F., Fournier, C., Frey, B., & Gaipl, U. S. (2022). Radon Improves Clinical Response in an Animal Model of Rheumatoid Arthritis Accompanied by Increased Numbers of Peripheral Blood B Cells and Interleukin-5 Concentration. Cells, 11(4), 689. https://doi.org/10.3390/cells11040689

