Sign in to use this feature.

Years

Between: -

Subjects

remove_circle_outline
remove_circle_outline
remove_circle_outline
remove_circle_outline
remove_circle_outline
remove_circle_outline
remove_circle_outline

Journals

Article Types

Countries / Regions

Search Results (17)

Search Parameters:
Keywords = radon therapy

Order results
Result details
Results per page
Select all
Export citation of selected articles as:
22 pages, 6253 KB  
Review
Lung Cancer in Never-Smokers: Risk Factors, Driver Mutations, and Therapeutic Advances
by Po-Ming Chen, Yu-Han Huang and Chia-Ying Li
Diagnostics 2026, 16(2), 245; https://doi.org/10.3390/diagnostics16020245 - 12 Jan 2026
Viewed by 267
Abstract
Background and Objectives: Lung cancer in never-smokers (LCINS) has become a major global health concern, ranking as the fifth leading cause of cancer-related mortality. Unlike smoking-related lung cancer, LCINS arises from complex interactions between environmental carcinogens and distinct genomic alterations. This review [...] Read more.
Background and Objectives: Lung cancer in never-smokers (LCINS) has become a major global health concern, ranking as the fifth leading cause of cancer-related mortality. Unlike smoking-related lung cancer, LCINS arises from complex interactions between environmental carcinogens and distinct genomic alterations. This review summarizes current evidence on environmental risks, molecular features, and therapeutic progress shaping lung cancer management. Methods: A narrative review was conducted to examine risk factors for lung cancer in non-smokers. Studies reporting driver mutations in never-smokers and smokers were identified across major lung cancer histological subtypes, including small-cell lung cancer (SCLC), lung adenocarcinoma (LUAD), squamous cell carcinoma (SCC), and large-cell carcinoma (LCC). In addition, PubMed was searched for phase III trials and studies on targeted therapies related to driver mutations published between 2016 and 2025. Results: Environmental factors such as cooking oil fumes, radon, asbestos, arsenic, and fine particulate matter (PM2.5) are strongly associated with LCINS through oxidative stress, DNA damage, and chronic inflammation. EGFR, PIK3CA, OS9, MET, and STK11 mutations are characteristic of never-smokers, in contrast to TP53 mutations, which are more common in smokers. Recent advances in targeted therapy and immunotherapy have improved survival and quality of life, emphasizing the importance of molecular profiling for treatment selection. Conclusions: LCINS represents a distinct clinical and molecular entity shaped by complex interactions between environmental exposures and genetic susceptibility. Genetic alterations promote tumor immune evasion, facilitating cancer development and progression. Continued advances in air quality control, molecular diagnostics, and precision therapies are essential for prevention, early detection, and reduction of the global disease burden. Full article
(This article belongs to the Special Issue Lung Cancer: Screening, Diagnosis and Management: 2nd Edition)
Show Figures

Figure 1

16 pages, 424 KB  
Review
Lifestyle and Selected Issues Related to Sexual Health: The Importance of Specialist Care in Balneology, Dietetics, and Physiotherapy
by Agata Puszcz, Paulina Kozłowska, Justyna Wójcik, Anna Morawska, Małgorzata Wójcik, Katarzyna Plagens-Rotman, Monika Englert-Golon, Jakub Mroczyk, Małgorzata Mizgier, Ewa Jakubek, Magdalena Pisarska-Krawczyk, Stefan Sajdak, Klaudyna Madziar, Witold Kędzia and Grażyna Jarząbek-Bielecka
J. Clin. Med. 2026, 15(1), 307; https://doi.org/10.3390/jcm15010307 - 31 Dec 2025
Viewed by 490
Abstract
Background/Objectives: Sexual health is shaped by lifestyle factors alongside biomedical determinants. This review synthesises evidence on physiotherapy, balneology/peloidotherapy, and diet therapy as preventive and therapeutic adjuncts for female sexual dysfunctions and related gynaecological conditions. Methods: A structured narrative review of PubMed [...] Read more.
Background/Objectives: Sexual health is shaped by lifestyle factors alongside biomedical determinants. This review synthesises evidence on physiotherapy, balneology/peloidotherapy, and diet therapy as preventive and therapeutic adjuncts for female sexual dysfunctions and related gynaecological conditions. Methods: A structured narrative review of PubMed and Google Scholar (June–July 2025) was conducted by three independent reviewers using predefined keywords in English and Polish. Case reports, preprints, and studies before 2015 were excluded. From 7322 records, 47 studies met the inclusion criteria for qualitative synthesis. Results: Physiotherapy—particularly pelvic floor muscle training, multimodal manual therapy, neuromuscular electrical stimulation (including PTNS), magnetostimulation, short-wave diathermy, and capacitive–resistive monopolar radiofrequency—was consistently associated with reductions in dyspareunia, chronic pelvic pain, and urinary symptoms, with parallel improvements in sexual function and quality of life. Balneological procedures (brine baths/irrigations, crenotherapy, selected radon/sulphide/iodine–bromine applications) and peloidotherapy demonstrated analgesic, anti-inflammatory, and perfusion-enhancing effects, with signals of benefit in vulvodynia, endometriosis, and infertility support. Dietary measures—higher fruit intake (notably citrus), adequate vitamin D, targeted omega-3 use in PCOS, a Mediterranean dietary pattern, and prudent red-meat limitation—were associated with favourable endocrine–metabolic profiles and, in selected contexts, reduced disease risk. Conclusions: Integrating lifestyle–medicine modalities with standard care may meaningfully prevent and manage female sexual dysfunctions by addressing pain, perfusion, neuromuscular control, and endocrine–metabolic drivers. Implementation frameworks and high-quality trials are warranted to refine indications, dosing, and long-term effectiveness. Full article
(This article belongs to the Section Reproductive Medicine & Andrology)
Show Figures

Figure 1

14 pages, 3659 KB  
Article
Laser Deflection Acoustic Field Quantification: A Non-Invasive Measurement Technique for Focused Ultrasound Field Characterization
by Yang Xu, Hongde Liu, Yaoan Ma, Xiaoxue Bai, Qiangwei Hu, Yunpiao Cai, Hui Zhang, Tao Huang, Mengmeng Liu, Jing Li, Mingyue Ding and Ming Yuchi
Bioengineering 2026, 13(1), 22; https://doi.org/10.3390/bioengineering13010022 - 26 Dec 2025
Viewed by 315
Abstract
Focused ultrasound (FU) technology is extensively employed in clinical applications such as tumor ablation, Parkinson’s disease treatment, and neuropathic pain management. The safety and efficacy of FU therapy critically depend on the accurate quantification of the acoustic field, particularly the high-pressure distribution in [...] Read more.
Focused ultrasound (FU) technology is extensively employed in clinical applications such as tumor ablation, Parkinson’s disease treatment, and neuropathic pain management. The safety and efficacy of FU therapy critically depend on the accurate quantification of the acoustic field, particularly the high-pressure distribution in focal region. To address the limitations of existing acoustic measurement techniques—including invasiveness, inability to measure high sound pressure, and system complexity—this study proposes a non-invasive method termed Laser Deflection Acoustic Field Quantification (LDAQ), based on the laser deflection principle. An experimental system was constructed utilizing the acousto-optic deflection effect, which incorporates precision displacement control, rotational scanning, and synchronized triggering. Through tomographic scanning, laser deflection images of the acoustic field were acquired at multiple orientations. An inversion algorithm using Radon transforms was proposed to reconstruct the refractive index gradient distributions from the variations of light intensity and spot displacement. An adaptive weighted fusion strategy was then employed to map these optical signals to the sound pressure field. To validate the LDAQ technique, an acoustic field generated by an FU transducer operating at 0.84 MHz was measured. The reconstructed results were compared with both hydrophone measurements and numerical simulations. The findings demonstrated high consistency among all three results within the focal zone. Full-field analysis yielded a root mean square error (RMSE) of 0.1102 between LDAQ and simulation, and an RMSE of 0.1422 between LDAQ and hydrophone measurements. These results confirm that LDAQ enables non-invasive and high-precision quantification of megapascal-level focused acoustic fields, offering a reliable methodology for acoustic field characterization to support FU treatment optimization and device standardization. Full article
Show Figures

Figure 1

20 pages, 279 KB  
Review
Radon Exposure and Cancer Risk: Assessing Genetic and Protein Markers in Affected Populations
by Yerlan Kashkinbayev, Baglan Kazhiyakhmetova, Nursulu Altaeva, Meirat Bakhtin, Pavel Tarlykov, Elena Saifulina, Moldir Aumalikova, Danara Ibrayeva and Aidos Bolatov
Biology 2025, 14(5), 506; https://doi.org/10.3390/biology14050506 - 6 May 2025
Cited by 6 | Viewed by 3897
Abstract
Radon is an inert gas produced by the radioactive decay of uranium-238, commonly found in the environment. Radon and its decay products are the main sources of human exposure to radiation from natural sources. When inhaled, radon’s alpha particles impact lung tissue, potentially [...] Read more.
Radon is an inert gas produced by the radioactive decay of uranium-238, commonly found in the environment. Radon and its decay products are the main sources of human exposure to radiation from natural sources. When inhaled, radon’s alpha particles impact lung tissue, potentially causing lung cancer by damaging DNA and altering oxidative processes. This review article addresses the need for a deeper understanding of the genetic and molecular changes associated with radon-induced lung cancer, aiming to clarify key genetic mutations and protein markers linked to carcinogenesis. Particular attention in recent studies has been given to mutations in tumor suppressor genes (RASSF1, TP53), oncogenes (KRAS, EGFR), and changes in the expression levels of protein biomarkers associated with inflammation, stress, and apoptosis. Identifying these markers is critical for developing effective screening methods for radon-induced lung cancer, enabling timely identification of high-risk patients and supporting effective preventive strategies. Summarizing current genetic and protein biomarkers, this review highlights the importance of a comprehensive approach to studying radon-induced carcinogenesis. Understanding these molecular mechanisms could ultimately improve early diagnostic methods and enhance therapy for cancers associated with radon exposure. Full article
19 pages, 5428 KB  
Article
Gene Signature Associated with Nervous System in an Experimental Radiation- and Estrogen-Induced Breast Cancer Model
by Gloria M. Calaf, Debasish Roy, Lilian Jara, Francisco Aguayo and Leodan A. Crispin
Biomedicines 2023, 11(12), 3111; https://doi.org/10.3390/biomedicines11123111 - 22 Nov 2023
Cited by 1 | Viewed by 2243
Abstract
Breast cancer is frequently the most diagnosed female cancer in the world. The experimental studies on cancer seldom focus on the relationship between the central nervous system and cancer. Despite extensive research into the treatment of breast cancer, chemotherapy resistance is an important [...] Read more.
Breast cancer is frequently the most diagnosed female cancer in the world. The experimental studies on cancer seldom focus on the relationship between the central nervous system and cancer. Despite extensive research into the treatment of breast cancer, chemotherapy resistance is an important issue limiting the efficacy of treatment. Novel biomarkers to predict prognosis or sensitivity to chemotherapy are urgently needed. This study examined nervous-system-related genes. The profiling of differentially expressed genes indicated that high-LET radiation, such as that emitted by radon progeny, in the presence of estrogen, induced a cascade of events indicative of tumorigenicity in human breast epithelial cells. Bioinformatic tools allowed us to analyze the genes involved in breast cancer and associated with the nervous system. The results indicated that the gene expression of the Ephrin A1 gene (EFNA1), the roundabout guidance receptor 1 (ROBO1), and the kallikrein-related peptidase 6 (KLK6) was greater in T2 and A5 than in the A3 cell line; the LIM domain kinase 2 gene (LIMK2) was greater in T2 than A3 and A5; the kallikrein-related peptidase 7 (KLK7), the neuroligin 4 X-linked gene (NLGN4X), and myelin basic protein (MBP) were greater than A3 only in T2; and the neural precursor cell expressed, developmentally down-regulated 9 gene (NEDD9) was greater in A5 than in the A3 and E cell lines. Concerning the correlation, it was found a positive correlation between ESR1 and EFNA1 in BRCA-LumA patients; with ROBO1 in BRCA-Basal patients, but this correlation was negative with the kallikrein-related peptidase 6 (KLK6) in BRCA-LumA and –LumB, as well as with LIMK2 and ROBO1 in all BRCA. It was also positive with neuroligin 4 X-linked (NLGN4X) in BRCA-Her2 and BRCA-LumB, and with MBP in BRCA-LumA and –LumB, but negative with KLK7 in all BRCA and BRCA-LumA and NEDD9 in BRCA-Her2. The differential gene expression levels between the tumor and adjacent tissue indicated that the ROBO1, KLK6, LIMK2, KLK7, NLGN4X, MBP, and NEDD9 gene expression levels were higher in normal tissues than in tumors; however, EFNA1 was higher in the tumor than the normal ones. EFNA1, LIMK2, ROBO1, KLK6, KLK7, and MBP gene expression had a negative ER status, whereas NEDD9 and NLGN4X were not significant concerning ER status. In conclusion, important markers have been analyzed concerning genes related to the nervous system, opening up a new avenue of studies in breast cancer therapy. Full article
(This article belongs to the Section Cancer Biology and Oncology)
Show Figures

Graphical abstract

11 pages, 2022 KB  
Article
Radon Solubility in Different Tissues after Short Term Exposure
by Annika Hinrichs, Michaela Schmitt, Franziska Papenfuß, Mirjam Roth, Claudia Fournier, Gerhard Kraft and Andreas Maier
Int. J. Environ. Res. Public Health 2023, 20(3), 1773; https://doi.org/10.3390/ijerph20031773 - 18 Jan 2023
Cited by 8 | Viewed by 2450
Abstract
Radon, a naturally occurring radioactive noble gas, contributes significantly to lung cancer when incorporated from our natural environment. However, despite having unknown underlying mechanisms, radon is also used for therapeutic purposes to treat inflammatory diseases such as rheumatoid arthritis. Data on the distribution [...] Read more.
Radon, a naturally occurring radioactive noble gas, contributes significantly to lung cancer when incorporated from our natural environment. However, despite having unknown underlying mechanisms, radon is also used for therapeutic purposes to treat inflammatory diseases such as rheumatoid arthritis. Data on the distribution and accumulation of radon in different tissues represent an important factor in dose determination for risk estimation, the explanation of potential therapeutic effects and the calculation of doses to different tissues using biokinetic dosimetry models. In this paper, radon’s solubility in bones, muscle tissue, adipose tissue, bone marrow, blood, a dissolved gelatin and oleic acid were determined. In analogy to current radon use in therapies, samples were exposed to radon gas for 1 h using two exposure protocols combined with established γ-spectroscopic measurements. Solubility data varied over two orders of magnitude, with the lowest values from the dissolved gelatin and muscle tissue; radon’s solubility in flat bones, blood and adipose tissue was one order of magnitude higher. The highest values for radon solubility were measured in bone marrow and oleic acid. The data for long bones as well as bone marrow varied significantly. The radon solubility in the blood suggested a radon distribution within the body that occurred via blood flow, reaching organs and tissues that were not in direct contact with radon gas during therapy. Tissues with similar compositions were expected to reveal similar radon solubilities; however, yellow bone marrow and adipose tissue showed differences in solubility even though their chemical composition is nearly the same—indicating that interactions on the microscopic scale between radon and the solvent might be important. We found high solubility in bone marrow—where sensitive hematopoietic cells are located—and in adipose tissue, where the biological impact needs to be further elucidated. Full article
Show Figures

Figure 1

14 pages, 5408 KB  
Article
Changes in Sulfur Metabolism in Mouse Brains following Radon Inhalation
by Norie Kanzaki, Akihiro Sakoda, Takahiro Kataoka, Lue Sun, Hiroshi Tanaka, Iwao Ohtsu and Kiyonori Yamaoka
Int. J. Environ. Res. Public Health 2022, 19(17), 10750; https://doi.org/10.3390/ijerph191710750 - 29 Aug 2022
Cited by 2 | Viewed by 2374
Abstract
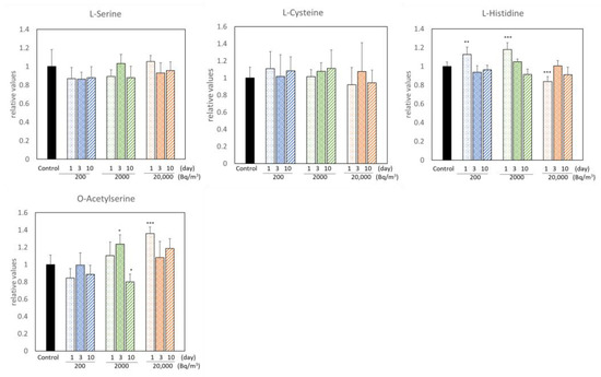
Therapy using hot springs, including the high-level radioactive gas “radon”, is traditionally conducted as an alternative treatment for various diseases. Oxidative-stress-related diseases are inhibited by the enhancement of antioxidative functions following radon inhalation. We have reported that radon inhalation increased the level of [...] Read more.
Therapy using hot springs, including the high-level radioactive gas “radon”, is traditionally conducted as an alternative treatment for various diseases. Oxidative-stress-related diseases are inhibited by the enhancement of antioxidative functions following radon inhalation. We have reported that radon inhalation increased the level of anti-oxidants, such as glutathione (G-SH), in the brain and had a protective antioxidative effect against transient global cerebral ischemic injury. However, no studies have yet revealed the changes in G-SH associated substances after radon inhalation. In this study, we comprehensively analyzed several metabolites, focusing on G-SH. Mice were exposed to radon at concentrations of 200, 2000, or 20,000 Bq/m3 for 1, 3, or 10 days. We detected 27 metabolites in the mouse brains. The result showed that the L-methionine levels increased, whereas the levels of urea, glutathione, and sulfite ion decreased under any condition. Although the ratio of G-SH to oxidized glutathione (GS-SG) decreased, glutathione monosulfide (G-S-SH) and cysteine monosulfide (Cys-S-SH) increased after radon inhalation. G-S-SH and Cys-S-SH can produce a biological defense against the imbalance of the redox state at very low-dose irradiation following radon inhalation because they are strong scavengers of reactive oxygen species. Additionally, we performed an overall assessment of high-dimensional data and showed some specific characteristics. We showed the changes in metabolites after radon inhalation using partial least squares-discriminant analysis and self-organizing maps. The results showed the health effects of radon, especially the state of sulfur-related metabolites in mouse brains under the exposure conditions for radon therapy. Full article
Show Figures

Figure 1

12 pages, 1698 KB  
Article
Immunomodulatory Effects of Radon Inhalation on Lipopolysaccharide-Induced Inflammation in Mice
by Takahiro Kataoka, Shota Naoe, Kaito Murakami, Yuki Fujimoto, Ryohei Yukimine, Ayumi Tanaka and Kiyonori Yamaoka
Int. J. Environ. Res. Public Health 2022, 19(17), 10632; https://doi.org/10.3390/ijerph191710632 - 26 Aug 2022
Cited by 2 | Viewed by 2177
Abstract
Typical indications for radon therapy include autoimmune diseases such as rheumatoid arthritis (RA). We had previously reported that radon inhalation inhibits Th17 immune responses in RA mice by activating Th1 and Th2 immune responses. However, there are no reports on how radon inhalation [...] Read more.
Typical indications for radon therapy include autoimmune diseases such as rheumatoid arthritis (RA). We had previously reported that radon inhalation inhibits Th17 immune responses in RA mice by activating Th1 and Th2 immune responses. However, there are no reports on how radon inhalation affects the activated Th1 and Th17 immune responses, and these findings may be useful for identifying new indications for radon therapy. Therefore, in this study, we investigated the effect of radon inhalation on the lipopolysaccharide (LPS)-induced inflammatory response, focusing on the expression of related cytokines and antioxidant function. Male BALB/c mice were exposed to 2000 Bq/m3 radon for one day. Immediately after radon inhalation, LPS was administered intraperitoneally at 1.0 mg/kg body weight for 4 h. LPS administration increased the levels of Th1- and Th17-prone cytokines, such as interleukin-2, tumor necrosis factor-α, and granulocyte-macrophage colony-stimulating factor, compared to no treatment control (sham). However, these effects were suppressed by radon inhalation. IL-10 levels were significantly increased by LPS administration, with or without radon inhalation, compared to sham. However, radon inhalation did not inhibit oxidative stress induced by LPS administration. These findings suggest that radon inhalation has immunomodulatory but not antioxidative functions in LPS-induced injury. Full article
Show Figures

Figure 1

15 pages, 4359 KB  
Article
Pixel Image Analysis and Its Application with an Alcohol-Based Liquid Scintillator for Particle Therapy
by Ji-Won Choi, Ji-Young Choi, Hanil Jang, Kyung-Kwang Joo and Byoung-Chan Kim
Sensors 2022, 22(13), 4876; https://doi.org/10.3390/s22134876 - 28 Jun 2022
Cited by 1 | Viewed by 2477
Abstract
We synthesized an alcohol-based liquid scintillator (AbLS), and we implemented an auxiliary monitoring system with short calibration intervals using AbLS for particle therapy. The commercial liquid scintillator used in previous studies did not allow the user to control the chemical ratio and its [...] Read more.
We synthesized an alcohol-based liquid scintillator (AbLS), and we implemented an auxiliary monitoring system with short calibration intervals using AbLS for particle therapy. The commercial liquid scintillator used in previous studies did not allow the user to control the chemical ratio and its composition. In our study, the chemical ratio of AbLS was freely controlled by simultaneously mixing water and alcohol. To make an equivalent substance to the human body, 2-ethoxyethanol was used. There was no significant difference between AbLS and water in areal density. As an application of AbLS, the range was measured with AbLS using an electron beam in an image analysis that combined AbLS and a digital phone camera. Given a range–energy relationship for the electron expressed as areal density, the electron beam range (cm) in water can be easily estimated. To date, no literature report for the direct comparison of a pixel image analysis and Monte Carlo (MC) simulation has been published. Furthermore, optical tomography of the inverse problem was performed with AbLS and a mobile phone camera. Analyses of optical tomography images provide deeper insight into Radon transformation. In addition, the human phantom, which is difficult to compose with semiconductor diodes, was easily implemented as an image acquisition and analysis system. Full article
(This article belongs to the Special Issue Fluorescence Imaging and Sensing)
Show Figures

Figure 1

23 pages, 5231 KB  
Article
Radon Improves Clinical Response in an Animal Model of Rheumatoid Arthritis Accompanied by Increased Numbers of Peripheral Blood B Cells and Interleukin-5 Concentration
by Lisa Deloch, Stephanie Hehlgans, Michael Rückert, Andreas Maier, Annika Hinrichs, Ann-Sophie Flohr, Denise Eckert, Thomas Weissmann, Michaela Seeling, Falk Nimmerjahn, Rainer Fietkau, Franz Rödel, Claudia Fournier, Benjamin Frey and Udo S. Gaipl
Cells 2022, 11(4), 689; https://doi.org/10.3390/cells11040689 - 16 Feb 2022
Cited by 9 | Viewed by 5123
Abstract
Radon treatment is used as an established therapy option in chronic painful inflammatory diseases. While analgesic effects are well described, little is known about the underlying molecular effects. Among the suspected mechanisms are modulations of the anti-oxidative and the immune system. Therefore, we [...] Read more.
Radon treatment is used as an established therapy option in chronic painful inflammatory diseases. While analgesic effects are well described, little is known about the underlying molecular effects. Among the suspected mechanisms are modulations of the anti-oxidative and the immune system. Therefore, we aimed for the first time to examine the beneficial effects of radon exposure on clinical outcome as well as the underlying mechanisms by utilizing a holistic approach in a controlled environment of a radon chamber with an animal model: K/BxN serum-induced arthritic mice as well as isolated cells were exposed to sham or radon irradiation. The effects on the anti-oxidative and the immune system were analyzed by flow-cytometry, qPCR or ELISA. We found a significantly improved clinical disease progression score in the mice, alongside significant increase of peripheral blood B cells and IL-5. No significant alterations were visible in the anti-oxidative system or regarding cell death. We conclude that neither cell death nor anti-oxidative systems are responsible for the beneficial effects of radon exposure in our preclinical model. Rather, radon slightly affects the immune system. However, more research is still needed in order to fully understand radon-mediated effects and to carry out reasonable risk-benefit considerations. Full article
Show Figures

Graphical abstract

19 pages, 576 KB  
Article
Dosimetric Comparison of Exposure Pathways to Human Organs and Tissues in Radon Therapy
by Werner Hofmann, Herbert Lettner and Alexander Hubmer
Int. J. Environ. Res. Public Health 2021, 18(20), 10870; https://doi.org/10.3390/ijerph182010870 - 15 Oct 2021
Cited by 6 | Viewed by 2936
Abstract
Three therapeutic applications are presently prescribed in the radon spas in Gastein, Austria: exposure to radon in a thermal bath, exposure to radon vapor in an exposure chamber (vapor bath), and exposure to radon in the thermal gallery, a former mine. The radiological [...] Read more.
Three therapeutic applications are presently prescribed in the radon spas in Gastein, Austria: exposure to radon in a thermal bath, exposure to radon vapor in an exposure chamber (vapor bath), and exposure to radon in the thermal gallery, a former mine. The radiological exposure pathways to human organs and tissues in these therapeutic radon applications are inhalation of radon and radon progeny via the lungs, radon transfer from water or air through the skin, and radon-progeny deposition on the skin in water or air. The objectives of the present study were to calculate radon and radon-progeny doses for selected organs and tissues for the different exposure pathways and therapeutic applications. Doses incurred in red bone marrow, liver, kidneys, and Langerhans cells in the skin may be correlated with potential therapeutic benefits, while doses to the lungs and the basal cells of the skin indicate potential carcinogenic effects. The highest organ doses among the three therapeutic applications were produced in the thermal gallery by radon progeny via inhalation, with lung doses of 5.0 mSv, and attachment to the skin, with skin doses of 4.4 mSv, while the radon contribution was less significant. For comparison, the primary exposure pathways in the thermal bath are the radon uptake through the skin, with lung doses of 334 μSv, and the radon-progeny attachment to the skin, with skin doses of 216 μSv, while the inhalation route can safely be neglected. Full article
Show Figures

Figure 1

13 pages, 905 KB  
Article
Chromosome Aberrations in Lymphocytes of Patients Undergoing Radon Spa Therapy: An Explorative mFISH Study
by Nerea Paz, Carola Hartel, Elena Nasonova, Anna-Jasmina Donaubauer, Benjamin Frey and Sylvia Ritter
Int. J. Environ. Res. Public Health 2021, 18(20), 10757; https://doi.org/10.3390/ijerph182010757 - 13 Oct 2021
Cited by 6 | Viewed by 3082
Abstract
In the present exploratory study, we aim to elucidate the action of radon in vivo and to assess the possible health risks. Chromosome aberrations were analyzed in lymphocytes of two patients (P1, P2) undergoing radon spa therapy in Bad Steben (Germany). Both patients, [...] Read more.
In the present exploratory study, we aim to elucidate the action of radon in vivo and to assess the possible health risks. Chromosome aberrations were analyzed in lymphocytes of two patients (P1, P2) undergoing radon spa therapy in Bad Steben (Germany). Both patients, suffering from painful chronic degenerative disorders of the spine and joints, received nine baths (1.2 kBq/L at 34 °C) over a 3-week period. Chromosome aberrations were analyzed before and 6, 12 and 30 weeks after the start of therapy using the high-resolution multiplex fluorescence in situ hybridization (mFISH) technique. For comparison, the lymphocytes from two healthy donors (HD1, HD2) were examined. P1 had a higher baseline aberration frequency than P2 and both healthy donors (5.3 ± 1.3 vs. 2.0 ± 0.8, 1.4 ± 0.3 and 1.1 ± 0.1 aberrations/100 analyzed metaphases, respectively). Complex aberrations, biomarkers of densely ionizing radiation, were found in P1, P2 and HD1. Neither the aberration frequency nor the fraction of complex aberrations increased after radon spa treatment, i.e., based on biological dosimetry, no increased health risk was found. It is worth noting that a detailed breakpoint analysis revealed potentially clonal aberrations in both patients. Altogether, our data show pronounced inter-individual differences with respect to the number and types of aberrations, complicating the risk analysis of low doses such as those received during radon therapy. Full article
Show Figures

Figure 1

7 pages, 238 KB  
Review
Balneotherapy with the Use of Radon–Sulphide Water: The Mechanisms of Therapeutic Effect
by Lilla Pawlik-Sobecka, Joanna Górka-Dynysiewicz and Jadwiga Kuciel-Lewandowska
Appl. Sci. 2021, 11(6), 2849; https://doi.org/10.3390/app11062849 - 23 Mar 2021
Cited by 9 | Viewed by 4779
Abstract
Despite its enormous therapeutic potential, spa treatment is not always properly perceived, hence the numerous attempts to assess its effectiveness. In the world literature, there are few reports on therapy using sulphur- and radon-containing therapeutic waters. In countries with a long tradition of [...] Read more.
Despite its enormous therapeutic potential, spa treatment is not always properly perceived, hence the numerous attempts to assess its effectiveness. In the world literature, there are few reports on therapy using sulphur- and radon-containing therapeutic waters. In countries with a long tradition of balneotherapy, activity in this field of medicine is evident. Undoubtedly, the interest in balneotherapy results also from natural resources used in spa medicine, which, as geological and balneochemical research shows, are enormous in Poland. A particular example of the occurrence of radon–sulphide waters, rare on the European scale, is the Przerzeczyn-Zdrój health resort. The mechanism of action of therapeutic waters is not fully explored, but their effectiveness in therapy is confirmed by many authors. It is believed to be an effect of combined action of many factors, the most important of which are thermal, mechanical, and chemical. Full article
(This article belongs to the Section Applied Biosciences and Bioengineering)
39 pages, 1686 KB  
Review
Radon Exposure—Therapeutic Effect and Cancer Risk
by Andreas Maier, Julia Wiedemann, Felicitas Rapp, Franziska Papenfuß, Franz Rödel, Stephanie Hehlgans, Udo S. Gaipl, Gerhard Kraft, Claudia Fournier and Benjamin Frey
Int. J. Mol. Sci. 2021, 22(1), 316; https://doi.org/10.3390/ijms22010316 - 30 Dec 2020
Cited by 66 | Viewed by 20570
Abstract
Largely unnoticed, all life on earth is constantly exposed to low levels of ionizing radiation. Radon, an imperceptible natural occurring radioactive noble gas, contributes as the largest single fraction to radiation exposure from natural sources. For that reason, radon represents a major issue [...] Read more.
Largely unnoticed, all life on earth is constantly exposed to low levels of ionizing radiation. Radon, an imperceptible natural occurring radioactive noble gas, contributes as the largest single fraction to radiation exposure from natural sources. For that reason, radon represents a major issue for radiation protection. Nevertheless, radon is also applied for the therapy of inflammatory and degenerative diseases in galleries and spas to many thousand patients a year. In either case, chronic environmental exposure or therapy, the effect of radon on the organism exposed is still under investigation at all levels of interaction. This includes the physical stage of diffusion and energy deposition by radioactive decay of radon and its progeny and the biological stage of initiating and propagating a physiologic response or inducing cancer after chronic exposure. The purpose of this manuscript is to comprehensively review the current knowledge of radon and its progeny on physical background, associated cancer risk and potential therapeutic effects. Full article
Show Figures

Figure 1

14 pages, 4202 KB  
Article
Pharmacological Inhibition of Class IIA HDACs by LMK-235 in Pancreatic Neuroendocrine Tumor Cells
by Julia Wanek, Martin Gaisberger, Marlena Beyreis, Christian Mayr, Katharina Helm, Florian Primavesi, Tarkan Jäger, Pietro Di Fazio, Martin Jakab, Andrej Wagner, Daniel Neureiter and Tobias Kiesslich
Int. J. Mol. Sci. 2018, 19(10), 3128; https://doi.org/10.3390/ijms19103128 - 12 Oct 2018
Cited by 44 | Viewed by 7298
Abstract
Histone deacetylases (HDACs) play a key role in epigenetic mechanisms in health and disease and their dysfunction is implied in several cancer entities. Analysis of expression patterns in pancreatic neuroendocrine tumors (pNETs) indicated HDAC5 to be a potential target for future therapies. As [...] Read more.
Histone deacetylases (HDACs) play a key role in epigenetic mechanisms in health and disease and their dysfunction is implied in several cancer entities. Analysis of expression patterns in pancreatic neuroendocrine tumors (pNETs) indicated HDAC5 to be a potential target for future therapies. As a first step towards a possible treatment, the aim of this study was to evaluate the in vitro cellular and molecular effects of HDAC5 inhibition in pNET cells. Two pNET cell lines, BON-1 and QGP-1, were incubated with different concentrations of the selective class IIA HDAC inhibitor, LMK-235. Effects on cell viability were determined using the resazurin-assay, the caspase-assay, and Annexin-V staining. Western Blot and immunofluorescence microscopy were performed to assess the effects on HDAC5 functionality. LMK-235 lowered overall cell viability by inducing apoptosis in a dose- and time-dependent manner. Furthermore, acetylation of histone-H3 increased with higher LMK-235 concentrations, indicating functional inhibition of HDAC4/5. Immunocytochemical analysis showed that proliferative activity (phosphohistone H3 and Ki-67) decreased at highest concentrations of LMK-235 while chromogranin and somatostatin receptor 2 (SSTR2) expression increased in a dose-dependent manner. HDAC5 expression was found to be largely unaffected by LMK-235. These findings indicate LMK-235 to be a potential therapeutic approach for the development of an effective and selective pNET treatment. Full article
(This article belongs to the Special Issue Roles of HDACs and HDAC Inhibitors in Human Cancers)
Show Figures

Figure 1

Back to TopTop