Easy and Affordable: A New Method for the Studying of Bacterial Biofilm Formation
Abstract
1. Introduction
2. Materials and Methods
2.1. 3D-Printing of the Devices
2.2. Bacterial Cultivation and Biofilm Formation
2.3. Measurements of Developed Biofilms
2.3.1. Modified Crystal Violet Technique
2.3.2. Optical Coherence Tomography (OCT), Scanning Electron Microscopy (SEM) and Fourier Transform Infrared (FTIR) Spectroscopy
2.4. Statistical Analysis
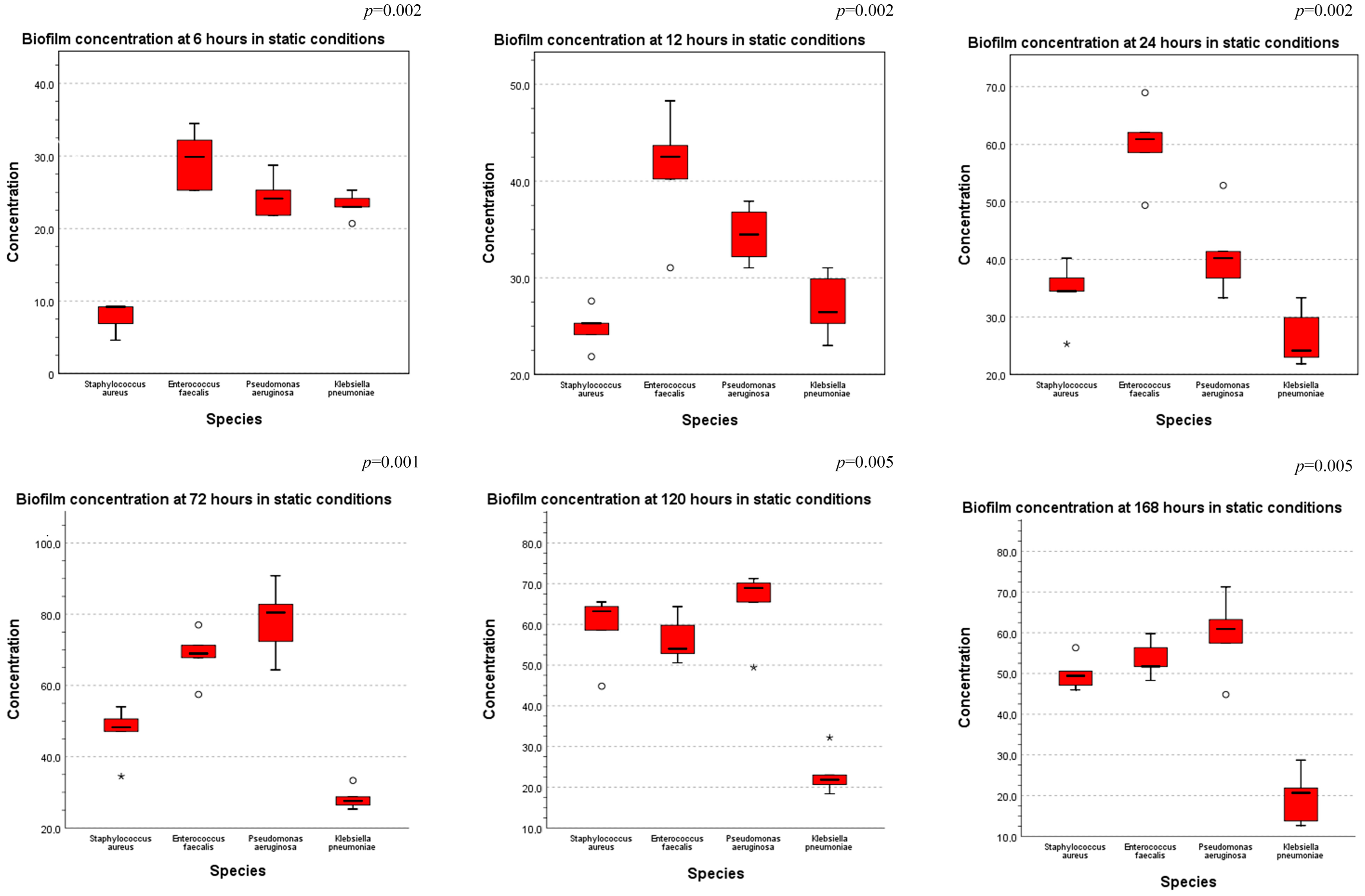
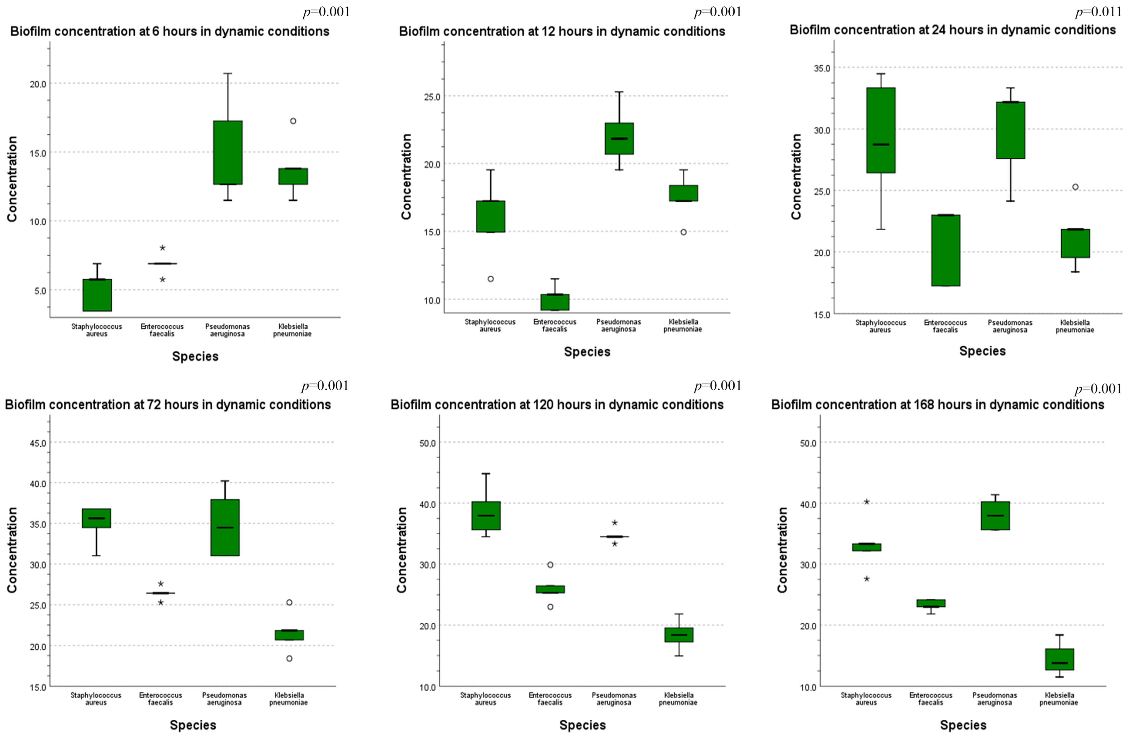
3. Results
4. Discussion
5. Conclusions
Author Contributions
Funding
Institutional Review Board Statement
Informed Consent Statement
Data Availability Statement
Acknowledgments
Conflicts of Interest
References
- Assefa, M.; Amare, A. Biofilm-Associated Multi-Drug Resistance in Hospital-Acquired Infections: A Review. Infect. Drug Resist. 2022, 15, 5061–5068. [Google Scholar] [CrossRef] [PubMed]
- Geraldes, C.; Tavares, L.; Gil, S.; Oliveira, M. Enterococcus Virulence and Resistant Traits Associated with Its Permanence in the Hospital Environment. Antibiotics 2022, 11, 857. [Google Scholar] [CrossRef] [PubMed]
- Rather, M.A.; Gupta, K.; Mandal, M. Microbial biofilm: Formation, architecture, antibiotic resistance, and control strategies. Braz. J. Microbiol. 2021, 52, 1701–1718. [Google Scholar] [CrossRef] [PubMed]
- Werneburg, G.T. Catheter-Associated Urinary Tract Infections: Current Challenges and Future Prospects. Res. Rep. Urol. 2022, 14, 109–133. [Google Scholar] [CrossRef] [PubMed]
- Vestby, L.K.; Grønseth, T.; Simm, R.; Nesse, L.L. Bacterial Biofilm and its Role in the Pathogenesis of Disease. Antibiotics 2020, 9, 59. [Google Scholar] [CrossRef]
- Lerche, C.J.; Schwartz, F.; Theut, M.; Fosbøl, E.L.; Iversen, K.; Bundgaard, H.; Høiby, N.; Moser, C. Anti-biofilm Approach in Infective Endocarditis Exposes New Treatment Strategies for Improved Outcome. Front. Cell Dev. Biol. 2021, 9, 643335. [Google Scholar] [CrossRef]
- Gallo, J.; Nieslanikova, E. Prevention of Prosthetic Joint Infection: From Traditional Approaches towards Quality Improvement and Data Mining. J. Clin. Med. 2020, 9, 2190. [Google Scholar] [CrossRef]
- Buetti, N.; Timsit, J.-F. Management and Prevention of Central Venous Catheter-Related Infections in the ICU. Semin. Respir. Crit. Care Med. 2019, 40, 508–523. [Google Scholar] [CrossRef]
- Verderosa, A.D.; Totsika, M.; Fairfull-Smith, K.E. Bacterial Biofilm Eradication Agents: A Current Review. Front. Chem. 2019, 7, 824. [Google Scholar] [CrossRef]
- Roy, R.; Tiwari, M.; Donelli, G.; Tiwari, V. Strategies for combating bacterial biofilms: A focus on anti-biofilm agents and their mechanisms of action. Virulence 2018, 9, 522–554. [Google Scholar] [CrossRef]
- Hu, H.; Luo, F.; Liu, Y.; Zeng, X. Function of quorum sensing and cell signaling in wastewater treatment systems. Water Sci. Technol. 2021, 83, 515–531. [Google Scholar] [CrossRef] [PubMed]
- di Pippo, F.; di Gregorio, L.; Congestri, R.; Tandoi, V.; Rossetti, S. Biofilm growth and control in cooling water industrial systems. FEMS Microbiol. Ecol. 2018, 94, fiy044. [Google Scholar] [CrossRef] [PubMed]
- Winkelstroter, L.; Teixeira, F.B.D.R.; Silva, E.P.; Alves, V.F.; De Martinis, E.C.P. Unraveling Microbial Biofilms of Importance for Food Microbiology. Microb. Ecol. 2014, 68, 35–46. [Google Scholar] [CrossRef]
- Azeredo, J.; Azevedo, N.F.; Briandet, R.; Cerca, N.; Coenye, T.; Costa, A.R.; Desvaux, M.; Di Bonaventura, G.; Hébraud, M.; Jaglic, Z.; et al. Critical review on biofilm methods. Crit. Rev. Microbiol. 2017, 43, 313–351. [Google Scholar] [CrossRef] [PubMed]
- Goeres, D.M.; Parker, A.E.; Walker, D.K.; Meier, K.; Lorenz, L.A.; Buckingham-Meyer, K. Drip flow reactor method exhibits excellent reproducibility based on a 10-laboratory collaborative study. J. Microbiol. Methods 2020, 174, 105963. [Google Scholar] [CrossRef]
- Kriesi, C.; Steinert, M.; Marmaras, A.; Danzer, C.; Meskenaite, V.; Kurtcuoglu, V. Integrated flow chamber device for live cell microscopy. Front. Bioeng. Biotechnol. 2019, 7, 91. [Google Scholar] [CrossRef]
- Ceri, H.; Olson, M.E.; Stremick, C.; Read, R.R.; Morck, D.; Buret, A. The Calgary Biofilm Device: New Technology for Rapid Determination of Antibiotic Susceptibilities of Bacterial Biofilms. J. Clin. Microbiol. 1999, 37, 1771–1776. [Google Scholar] [CrossRef]
- Coenye, T.; de Prijck, K.; de Wever, B.; Nelis, H.J. Use of the modified Robbins device to study the in vitro biofilm removal efficacy of NitrAdineTM, a novel disinfecting formula for the maintenance of oral medical devices. J. Appl. Microbiol. 2008, 105, 733–740. [Google Scholar] [CrossRef]
- Yawata, Y.; Nguyen, J.; Stocker, R.; Rusconi, R. Microfluidic Studies of Biofilm Formation in Dynamic Environments. J. Bacteriol. 2016, 198, 2589–2595. [Google Scholar] [CrossRef]
- Paoli, R.; Di Giuseppe, D.; Badiola-Mateos, M.; Martinelli, E.; Lopez-Martinez, M.; Samitier, J. Rapid Manufacturing of Multilayered Microfluidic Devices for Organ on a Chip Applications. Sensors 2021, 21, 1382. [Google Scholar] [CrossRef]
- Scott, S.; Ali, Z. Fabrication Methods for Microfluidic Devices: An Overview. Micromachines 2021, 12, 319. [Google Scholar] [CrossRef] [PubMed]
- Racka-Szmidt, K.; Stonio, B.; Żelazko, J.; Filipiak, M.; Sochacki, M. A Review: Inductively Coupled Plasma Reactive Ion Etching of Silicon Carbide. Materials 2022, 15, 123. [Google Scholar] [CrossRef] [PubMed]
- Liang, R.; Gu, Y.; Wu, Y.; Bunpetch, V.; Zhang, S. Lithography-Based 3D Bioprinting and Bioinks for Bone Repair and Regeneration. ACS Biomater. Sci. Eng. 2021, 7, 806–816. [Google Scholar] [CrossRef]
- Csapai, A.; Toc, D.A.; Popa, F.; Tosa, N.; Pascalau, V.; Costache, C.; Botan, A.; Popa, C.O. 3D Printed Microfluidic Bioreactors Used for the Preferential Growth of Bacterial Biofilms through Dielectrophoresis. Micromachines 2022, 13, 1377. [Google Scholar] [CrossRef] [PubMed]
- Helm, D.; Schallehn, G.; Naumann, D. Classification and identification of bacteria by Fourier-transform infrared spectroscopy. J. Gen. Microbiol. 1991, 137, 69–79. [Google Scholar] [CrossRef] [PubMed]
- Burgula, Y.; Khali, D.; Kim, S.; Krishnan, S.S.; Cousin, M.A.; Gore, J.P.; Reuhs, B.L.; Mauer, L.J. Review of mid-intrared Fourier Transform-Infrared spectroscopy applications for bacterial detection. J. Rapid Methods Autom. Microbiol. 2007, 15, 146–175. [Google Scholar] [CrossRef]
- Paragkumar, N.T.; Edith, D.; Six, J.L. Surface characteristics of PLA and PLGA films. Appl. Surf. Sci. 2006, 253, 2758–2764. [Google Scholar] [CrossRef]
- Cuiffo, M.A.; Snyder, J.; Elliott, A.M.; Romero, N.; Kannan, S.; Halada, G.P. Impact of the Fused Deposition (FDM) Printing Process on Polylactic Acid (PLA) Chemistry and Structure. Appl. Sci. 2017, 7, 579. [Google Scholar] [CrossRef]
- Cheeseman, S.; Shaw, Z.; Vongsvivut, J.; Crawford, R.; Dupont, M.; Boyce, K.; Gangadoo, S.; Bryant, S.; Bryant, G.; Cozzolino, D.; et al. Analysis of Pathogenic Bacterial and Yeast Biofilms Using the Combination of Synchrotron ATR-FTIR Microspectroscopy and Chemometric Approaches. Molecules 2021, 26, 3890. [Google Scholar] [CrossRef]
- Chirman, D.; Pleshko, N. Characterization of bacterial biofilm infections with Fourier transform infrared spectroscopy: A review. Appl. Spectrosc. Rev. 2021, 56, 673–701. [Google Scholar] [CrossRef]
- Ojeda, J.J.; Dittrich, M. Fourier Transform Infrared Spectroscopy for Molecular Analysis of Microbial Cells. Methods Mol. Biol. 2012, 881, 187–211. [Google Scholar] [CrossRef] [PubMed]
- Ch’ng, J.-H.; Muthu, M.; Chong, K.K.L.; Wong, J.J.; Tan, C.A.Z.; Koh, Z.J.S.; Lopez, D.; Matysik, A.; Nair, Z.J.; Barkham, T.; et al. Heme cross-feeding can augment Staphylococcus aureus and Enterococcus faecalis dual species biofilms. ISME J. 2022, 16, 2015–2026. [Google Scholar] [CrossRef] [PubMed]
- da Silva Fernandes, M.; Kabuki, D.Y.; Kuaye, A.Y. Biofilms of Enterococcus faecalis and Enterococcus faecium isolated from the processing of ricotta and the control of these pathogens through cleaning and sanitization procedures. Int. J. Food Microbiol. 2015, 200, 97–103. [Google Scholar] [CrossRef] [PubMed]
- van Wamel, W.J.B.; Hendrickx, A.P.A.; Bonten, M.J.M.; Top, J.; Posthuma, G.; Willems, R.J.L. Growth condition-dependent Esp expression by Enterococcus faecium affects initial adherence and biofilm formation. Infect. Immun. 2007, 75, 924–931. [Google Scholar] [CrossRef] [PubMed]
- Liu, Y.-J.; Xie, J.; Zhao, L.-J.; Qian, Y.-F.; Zhao, Y.; Liu, X. Biofilm Formation Characteristics of Pseudomonas lundensis Isolated from Meat. J. Food Sci. 2015, 80, M2904–M2910. [Google Scholar] [CrossRef]
- Harrison-balestra, C.; Cazzaniga, A.L.; Davis, S.C.; Mertz, P.M. A Wound-Isolated Pseudomonas aeruginosa Grows a Biofilm In Vitro Within 10 Hours and Is Visualized by Light Microscopy. Dermatol. Surg. 2003, 29, 631–635. [Google Scholar]
- Desai, S.; Sanghrajka, K.; Gajjar, D. High Adhesion and Increased Cell Death Contribute to Strong Biofilm Formation in Klebsiella pneumoniae. Pathogens 2019, 8, 277. [Google Scholar] [CrossRef]
- Stewart, P.; Camper, A.; Handran, S.; Huang, C.-T.; Warnecke, M. Spatial Distribution and Coexistence of Klebsiella pneumoniae and Pseudomonas aeruginosa in Biofilms. Microb. Ecol. 1997, 33, 2–10. [Google Scholar] [CrossRef]
- Moteeb, S.H. Quantitative and qualitative assays of bacterial biofilm produced by Pseudomonas aeruginosa and Klebsiella spp. J of al-anbar university for pure science. J. Al-Anbar Univ. Pure Sci. 2008, 2, 6–13. Available online: www.pdffactory.com (accessed on 15 September 2022).
- Mahato, S.; Mandal, P.; Mahato, A. Biofilm Production by Uropathogens like Klebsiella spp. and Pseudomonas spp. and their Antibiotic Susceptibility. Birat J. Health Sci. 2020, 5, 902–906. [Google Scholar] [CrossRef]










| 6 h | 12 h | 24 h | 72 h | 120 h | 168 h | ||
|---|---|---|---|---|---|---|---|
| Staphylococcus aureus | Static (mol/L) | 7.81 | 24.82 | 34.25 | 46.89 | 59.31 | 49.88 | 
| Dynamic (mol/L) | 5.05 | 16.09 | 28.96 | 34.94 | 38.62 | 33.33 | |
| Mean difference (mol/L) | 2.75 | 8.73 | 5.28 | 11.95 | 20.68 | 16.55 | |
| Standard error difference | 1.14 | 1.64 | 3.38 | 3.48 | 4.22 | 2.71 | |
| p (t-test) | 0.043 | 0.001 | 0.157 | 0.009 | 0.001 | <0.001 | |
| Klebsiella pneumoniae | Static (mol/L) | 23.22 | 27.13 | 26.44 | 28.28 | 23.22 | 19.54 | 
| Dynamic (mol/L) | 13.79 | 17.47 | 21.38 | 21.61 | 18.39 | 14.48 | |
| Mean difference (mol/L) | 9.43 | 9.66 | 5.06 | 6.67 | 4.83 | 5.06 | |
| Standard error difference | 1.23 | 1.67 | 2.51 | 1.78 | 2.63 | 3.18 | |
| p (t-test) | <0.001 | <0.001 | 0.078 | 0.006 | 0.104 | 0.151 | |
| Pseudomonas aeruginosa | Static (mol/L) | 24.37 | 34.48 | 40.92 | 78.16 | 65.06 | 59.54 | 
| Dynamic (mol/L) | 14.94 | 22.07 | 29.89 | 34.94 | 34.71 | 38.16 | |
| Mean difference (mol/L) | 9.43 | 12.41 | 11.03 | 43.22 | 30.34 | 21.38 | |
| Standard error difference | 2.16 | 1.64 | 3.74 | 4.88 | 4.06 | 4.48 | |
| p (t-test) | 0.002 | <0.001 | 0.018 | <0.001 | <0.001 | 0.001 | |
| Enterococcus faecalis | Static (mol/L) | 29.43 | 41.15 | 60.00 | 68.51 | 56.32 | 53.56 | 
| Dynamic (mol/L) | 6.90 | 10.11 | 20.69 | 26.44 | 25.98 | 23.22 | |
| Mean difference (mol/L) | 22.53 | 31.03 | 39.31 | 42.07 | 30.34 | 30.34 | |
| Standard error difference | 1.87 | 2.88 | 3.46 | 3.20 | 2.76 | 2.06 | |
| p (t-test) | <0.001 | <0.001 | <0.001 | <0.001 | <0.001 | <0.001 | |
| Publisher’s Note: MDPI stays neutral with regard to jurisdictional claims in published maps and institutional affiliations. | 
© 2022 by the authors. Licensee MDPI, Basel, Switzerland. This article is an open access article distributed under the terms and conditions of the Creative Commons Attribution (CC BY) license (https://creativecommons.org/licenses/by/4.0/).
Share and Cite
Toc, D.A.; Csapai, A.; Popa, F.; Popa, C.; Pascalau, V.; Tosa, N.; Botan, A.; Mihaila, R.M.; Costache, C.A.; Colosi, I.A.; et al. Easy and Affordable: A New Method for the Studying of Bacterial Biofilm Formation. Cells 2022, 11, 4119. https://doi.org/10.3390/cells11244119
Toc DA, Csapai A, Popa F, Popa C, Pascalau V, Tosa N, Botan A, Mihaila RM, Costache CA, Colosi IA, et al. Easy and Affordable: A New Method for the Studying of Bacterial Biofilm Formation. Cells. 2022; 11(24):4119. https://doi.org/10.3390/cells11244119
Chicago/Turabian StyleToc, Dan Alexandru, Alexandra Csapai, Florin Popa, Catalin Popa, Violeta Pascalau, Nicoleta Tosa, Alexandru Botan, Razvan Marian Mihaila, Carmen Anca Costache, Ioana Alina Colosi, and et al. 2022. "Easy and Affordable: A New Method for the Studying of Bacterial Biofilm Formation" Cells 11, no. 24: 4119. https://doi.org/10.3390/cells11244119
APA StyleToc, D. A., Csapai, A., Popa, F., Popa, C., Pascalau, V., Tosa, N., Botan, A., Mihaila, R. M., Costache, C. A., Colosi, I. A., & Junie, L. M. (2022). Easy and Affordable: A New Method for the Studying of Bacterial Biofilm Formation. Cells, 11(24), 4119. https://doi.org/10.3390/cells11244119
 
        





 
       